A “Double-Locked” and Enzyme/pH-Activated Theranostic Agent for Accurate Tumor Imaging and Therapy
Abstract
:1. Introduction
2. Results and Discussion
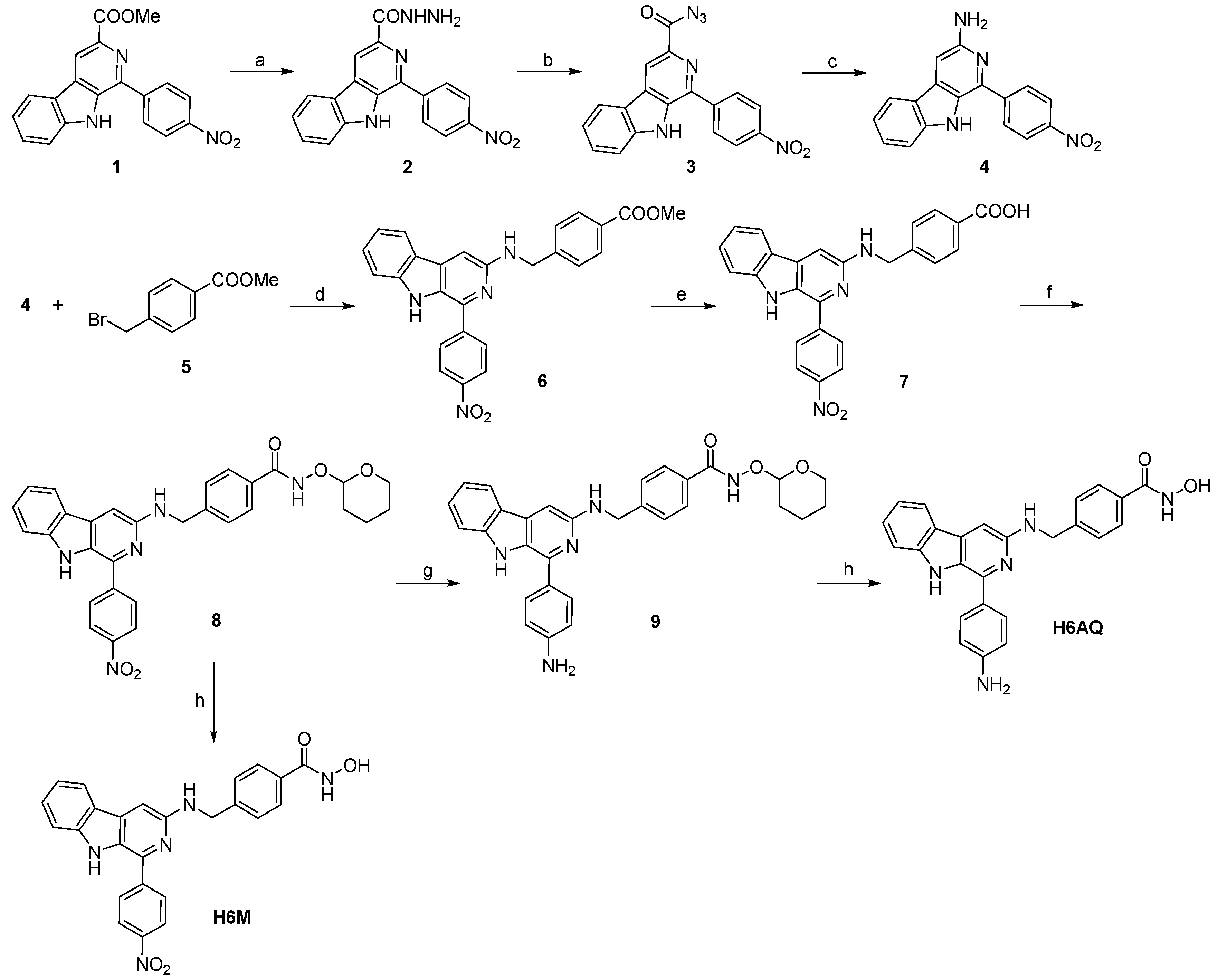
2.1. Chemistry
2.2. PH-Response of H6AQ
2.3. Optical Spectra of H6M and H6AQ
2.4. NTR/pH Dual-Response of H6M
2.5. Selective Response of H6M to NTR and Low pH
2.6. Cell Imaging
2.7. Imaging-Guided Surgery of Tumors
2.8. Antitumor Activities of H6M and H6AQ
3. Materials and Methods
3.1. General Information
3.2. Preparation of H6M
3.2.1. Synthesis of Compound 6
3.2.2. Synthesis of Compound 8
3.2.3. Synthesis of Compound 9
3.2.4. Synthesis of H6AQ
3.2.5. Synthesis of H6M
3.3. UV–Vis Absorption Spectra
3.4. Fluorescence Spectra
3.5. Cell Culture
3.6. Cytotoxicity Studies
3.7. Evaluation of Selective Fluorescence
3.8. Intracellular Fluorescence Activation
3.9. Animals and Tumor Model
3.10. In Vivo Fluorescence Imaging and Imaging-Guided Surgery
3.11. Stability of H6M in Rat Plasma
4. Conclusions
Supplementary Materials
Author Contributions
Funding
Institutional Review Board Statement
Informed Consent Statement
Data Availability Statement
Conflicts of Interest
Sample Availability
References
- Bray, F.; Ferlay, J.; Soerjomataram, I.; Siegel, R.L.; Torre, L.A.; Jemal, A. Global cancer statistics 2018: GLOBOCAN estimates of incidence and mortality worldwide for 36 cancers in 185 countries. CA Cancer J. Clin. 2018, 68, 394–424. [Google Scholar] [CrossRef] [PubMed] [Green Version]
- Caracciolo, G.; Vali, H.; Moore, A.; Mahmoudi, M. Challenges in molecular diagnostic research in cancer nanotechnology. Nano Today 2019, 27, 6–10. [Google Scholar] [CrossRef]
- Liu, H.W.; Chen, L.; Xu, C.; Li, Z.; Zhang, H.; Zhang, X.B.; Tan, W. Recent progresses in small-molecule enzymatic fluorescent probes for cancer imaging. Chem. Soc. Rev. 2018, 47, 7140–7180. [Google Scholar] [CrossRef] [PubMed]
- Ko, S.K.; Chen, X.; Yoon, J.; Shin, I. Zebrafish as a good vertebrate model for molecular imaging using fluorescent probes. Chem. Soc. Rev. 2011, 40, 2120–2130. [Google Scholar] [CrossRef]
- Li, H.; Yao, Q.; Sun, W.; Shao, K.; Lu, Y.; Chung, J.; Kim, D.; Fan, J.; Long, S.; Du, J.; et al. Aminopeptidase N Activatable Fluorescent Probe for Tracking Metastatic Cancer and Image-Guided Surgery via in Situ Spraying. J. Am. Chem. Soc. 2020, 142, 6381–6389. [Google Scholar] [CrossRef]
- Urano, Y.; Asanuma, D.; Hama, Y.; Koyama, Y.; Barrett, T.; Kamiya, M.; Nagano, T.; Watanabe, T.; Hasegawa, A.; Choyke, P.L.; et al. Selective molecular imaging of viable cancer cells with pH-activatable fluorescence probes. Nat. Med. 2009, 15, 104–109. [Google Scholar] [CrossRef] [Green Version]
- Sun, W.; Li, M.; Fan, J.; Peng, X. Activity-Based Sensing and Theranostic Probes Based on Photoinduced Electron Transfer. Acc. Chem. Res. 2019, 52, 2818–2831. [Google Scholar] [CrossRef]
- Dong, Q.; Zhang, H.; Han, Y.; Djamila, A.; Cheng, H.; Tang, Z.; Zhou, J.; Ding, Y. Tumor environment differentiated “nanodepot” programmed for site-specific drug shuttling and combinative therapy on metastatic cancer. J. Control. Release 2018, 283, 59–75. [Google Scholar] [CrossRef]
- Luby, B.M.; Charron, D.M.; MacLaughlin, C.M.; Zheng, G. Activatable fluorescence: From small molecule to nanoparticle. Adv. Drug Deliv. Rev. 2017, 113, 97–121. [Google Scholar] [CrossRef]
- Liu, J.; Liu, X.; Qian, J.; Meng, C.; Zhu, P.; Hang, J.; Wang, Y.; Xiong, B.; Qiu, X.; Zhu, W.; et al. Development of pH/Glutathione-Responsive Theranostic Agents Activated by Glutathione S-Transferase π for Human Colon Cancer. J. Med. Chem. 2020, 63, 9271–9283. [Google Scholar] [CrossRef]
- Gou, Y.; Miao, D.; Zhou, M.; Wang, L.; Zhou, H.; Su, G. Bio-Inspired Protein-Based Nanoformulations for Cancer Theranostics. Front. Pharmacol. 2018, 9, 421. [Google Scholar] [CrossRef]
- Lee, M.H.; Sharma, A.; Chang, M.J.; Lee, J.; Son, S.; Sessler, J.L.; Kang, C.; Kim, J.S. Fluorogenic reaction-based prodrug conjugates as targeted cancer theranostics. Chem. Soc. Rev. 2018, 47, 28–52. [Google Scholar] [CrossRef] [PubMed]
- Wu, L.; Huang, J.; Pu, K.; James, T.D. Dual-locked spectroscopic probes for sensing and therapy. Nat. Rev. Chem. 2021, 5, 406–421. [Google Scholar] [CrossRef]
- Llosa, N.J.; Cruise, M.; Tam, A.; Wicks, E.C.; Hechenbleikner, E.M.; Taube, J.M.; Blosser, R.L.; Fan, H.; Wang, H.; Luber, B.S.; et al. The vigorous immune microenvironment of microsatellite instable colon cancer is balanced by multiple counter-inhibitory checkpoints. Cancer Discov. 2015, 5, 43–51. [Google Scholar] [CrossRef] [PubMed] [Green Version]
- Webb, B.A.; Chimenti, M.; Jacobson, M.P.; Barber, D.L. Dysregulated pH: A perfect storm for cancer progression. Nat. Rev. Cancer 2011, 11, 671–677. [Google Scholar] [CrossRef] [PubMed]
- Elia, I.; Haigis, M.C. Metabolites and the tumour microenvironment: From cellular mechanisms to systemic metabolism. Nat. Metab. 2021, 3, 21–32. [Google Scholar] [CrossRef] [PubMed]
- Li, F.; Du, Y.; Liu, J.; Sun, H.; Wang, J.; Li, R.; Kim, D.; Hyeon, T.; Ling, D. Responsive Assembly of Upconversion Nanoparticles for pH-Activated and Near-Infrared-Triggered Photodynamic Therapy of Deep Tumors. Adv. Mater. 2018, 30, e1802808. [Google Scholar] [CrossRef]
- Zhang, P.; Wang, Y.; Lian, J.; Shen, Q.; Wang, C.; Ma, B.; Zhang, Y.; Xu, T.; Li, J.; Shao, Y.; et al. Engineering the Surface of Smart Nanocarriers Using a pH-/Thermal-/GSH-Responsive Polymer Zipper for Precise Tumor Targeting Therapy In Vivo. Adv. Mater. 2017, 29, 1702311. [Google Scholar] [CrossRef]
- Cheng, H.; Fan, G.L.; Fan, J.H.; Zhao, L.P.; Zheng, R.R.; Yu, X.Y.; Li, S.Y. Ratiometric theranostic nanoprobe for pH imaging-guided photodynamic therapy. Nanoscale 2019, 11, 9008–9014. [Google Scholar] [CrossRef]
- Li, S.Y.; Liu, L.H.; Jia, H.Z.; Qiu, W.X.; Rong, L.; Cheng, H.; Zhang, X.Z. A pH-responsive prodrug for real-time drug release monitoring and targeted cancer therapy. Chem. Commun. 2014, 50, 11852–11855. [Google Scholar] [CrossRef]
- Augustine, R.; Kalva, N.; Kim, H.A.; Zhang, Y.; Kim, I. pH-Responsive Polypeptide-Based Smart Nano-Carriers for Theranostic Applications. Molecules 2019, 24, 2961. [Google Scholar] [CrossRef] [Green Version]
- Pouyssegur, J.; Dayan, F.; Mazure, N.M. Hypoxia signalling in cancer and approaches to enforce tumour regression. Nature 2006, 441, 437–443. [Google Scholar] [CrossRef]
- Li, Y.; Sun, Y.; Li, J.; Su, Q.; Yuan, W.; Dai, Y.; Han, C.; Wang, Q.; Feng, W.; Li, F. Ultrasensitive near-infrared fluorescence-enhanced probe for in vivo nitroreductase imaging. J. Am. Chem. Soc. 2015, 137, 6407–6416. [Google Scholar] [CrossRef]
- Li, Z.; Gao, X.; Shi, W.; Li, X.; Ma, H. 7-((5-Nitrothiophen-2-yl)methoxy)-3H-phenoxazin-3-one as a spectroscopic off-on probe for highly sensitive and selective detection of nitroreductase. Chem. Commun. 2013, 49, 5859–5861. [Google Scholar] [CrossRef] [PubMed]
- Geng, H.H.; Li, R.; Su, Y.M.; Xiao, J.; Pan, M.; Cai, X.X.; Ji, X.P. Curcumin protects cardiac myocyte against hypoxia-induced apoptosis through upregulating miR-7a/b expression. Biomed. Pharmacother. 2016, 81, 258–264. [Google Scholar] [CrossRef] [PubMed]
- Zhang, P.; Wang, J.; Zhao, Y.; Zhang, X.; Qu, L.; Wang, C.; Feng, J.; Wang, A.; Zhou, W.; Liu, Y.; et al. Discovery of novel antagonists on beta2-adrenoceptor from natural products using a label-free cell phenotypic assay. Naunyn-Schmiedeberg’s Arch. Pharmacol. 2018, 391, 1411–1420. [Google Scholar] [CrossRef] [PubMed]
- Chen, G.T.; Lu, Y.; Yang, M.; Li, J.L.; Fan, B.Y. Medicinal uses, pharmacology, and phytochemistry of Convolvulaceae plants with central nervous system efficacies: A systematic review. Phytother. Res. 2018, 32, 823–864. [Google Scholar] [CrossRef] [PubMed]
- Zhang, Z.; Bai, Z.W.; Ling, Y.; He, L.Q.; Huang, P.; Gu, H.X.; Hu, R.F. Design, synthesis and biological evaluation of novel furoxan-based coumarin derivatives as antitumor agents. Med. Chem. Res. 2018, 27, 1198–1205. [Google Scholar] [CrossRef]
- Ling, Y.; Xu, C.; Luo, L.; Cao, J.; Feng, J.; Xue, Y.; Zhu, Q.; Ju, C.; Li, F.; Zhang, Y.; et al. Novel beta-Carboline/Hydroxamic Acid Hybrids Targeting Both Histone Deacetylase and DNA Display High Anticancer Activity via Regulation of the p53 Signaling Pathway. J. Med. Chem. 2015, 58, 9214–9227. [Google Scholar] [CrossRef]
- Wu, J.; Liu, W.; Ge, J.; Zhang, H.; Wang, P. New sensing mechanisms for design of fluorescent chemosensors emerging in recent years. Chem. Soc. Rev. 2011, 40, 3483–3495. [Google Scholar] [CrossRef] [PubMed]
- Ling, Y.; Guo, J.; Yang, Q.; Zhu, P.; Miao, J.; Gao, W.; Peng, Y.; Yang, J.; Xu, K.; Xiong, B.; et al. Development of novel β-carboline-based hydroxamate derivatives as HDAC inhibitors with antiproliferative and antimetastatic activities in human cancer cells. Eur. J. Med. Chem. 2018, 144, 398–409. [Google Scholar] [CrossRef] [PubMed]









| Compd | In Vitro Antiproliferative Activity (IC50, μM) a | HDAC1 Inhibition (IC50, nM) a | |||
|---|---|---|---|---|---|
| HeLa | HepG2 | HCT116 | H1299 | ||
| SAHA | 18.54 ± 0.32 | 5.95 ± 0.73 | 4.98 ± 0.56 | 7.01 ± 0.55 | 142 ± 18 |
| Harmine | 42.56 ± 4.15 | 53.8 ± 5.50 | 43.7 ± 3.85 | ND b | >1000 |
| H6M | 3.59 ± 0.34 | 3.55 ± 0.18 | 3.23 ± 0.14 | 2.57 ± 0.22 | 65 ± 6 |
| H6AQ | 2.08 ± 0.30 | 2.58 ± 0.26 | 1.87 ± 0.21 | 1.69 ± 0.31 | 41 ± 5 |
Publisher’s Note: MDPI stays neutral with regard to jurisdictional claims in published maps and institutional affiliations. |
© 2022 by the authors. Licensee MDPI, Basel, Switzerland. This article is an open access article distributed under the terms and conditions of the Creative Commons Attribution (CC BY) license (https://creativecommons.org/licenses/by/4.0/).
Share and Cite
Luo, J.; Guan, Z.; Gao, W.; Wang, C.; Xu, Z.; Meng, C.; Liu, Y.; Zhang, Y.; Guo, Q.; Ling, Y. A “Double-Locked” and Enzyme/pH-Activated Theranostic Agent for Accurate Tumor Imaging and Therapy. Molecules 2022, 27, 425. https://doi.org/10.3390/molecules27020425
Luo J, Guan Z, Gao W, Wang C, Xu Z, Meng C, Liu Y, Zhang Y, Guo Q, Ling Y. A “Double-Locked” and Enzyme/pH-Activated Theranostic Agent for Accurate Tumor Imaging and Therapy. Molecules. 2022; 27(2):425. https://doi.org/10.3390/molecules27020425
Chicago/Turabian StyleLuo, Jia, Zongyu Guan, Weijie Gao, Chen Wang, Zhongyuan Xu, Chi Meng, Yun Liu, Yuquan Zhang, Qingsong Guo, and Yong Ling. 2022. "A “Double-Locked” and Enzyme/pH-Activated Theranostic Agent for Accurate Tumor Imaging and Therapy" Molecules 27, no. 2: 425. https://doi.org/10.3390/molecules27020425
APA StyleLuo, J., Guan, Z., Gao, W., Wang, C., Xu, Z., Meng, C., Liu, Y., Zhang, Y., Guo, Q., & Ling, Y. (2022). A “Double-Locked” and Enzyme/pH-Activated Theranostic Agent for Accurate Tumor Imaging and Therapy. Molecules, 27(2), 425. https://doi.org/10.3390/molecules27020425
