Roles of Al2O3@ZrO2 Particles in Modulating Crystalline Morphology and Electrical Properties of P(VDF-HFP) Nanocomposites
Abstract
:1. Introduction
2. Results and Discussion
2.1. Microstructure Characterization of the Nanocomposites
2.2. Thermal Characterization of the Nanocomposites
2.3. Mechanical Properties of the Nanocomposites
2.4. Leakage Current Density of the Nanocomposites
2.5. Dielectric Breakdown Strength of the Nanocomposites
2.6. Energy Storage Properties of the Nanocomposites
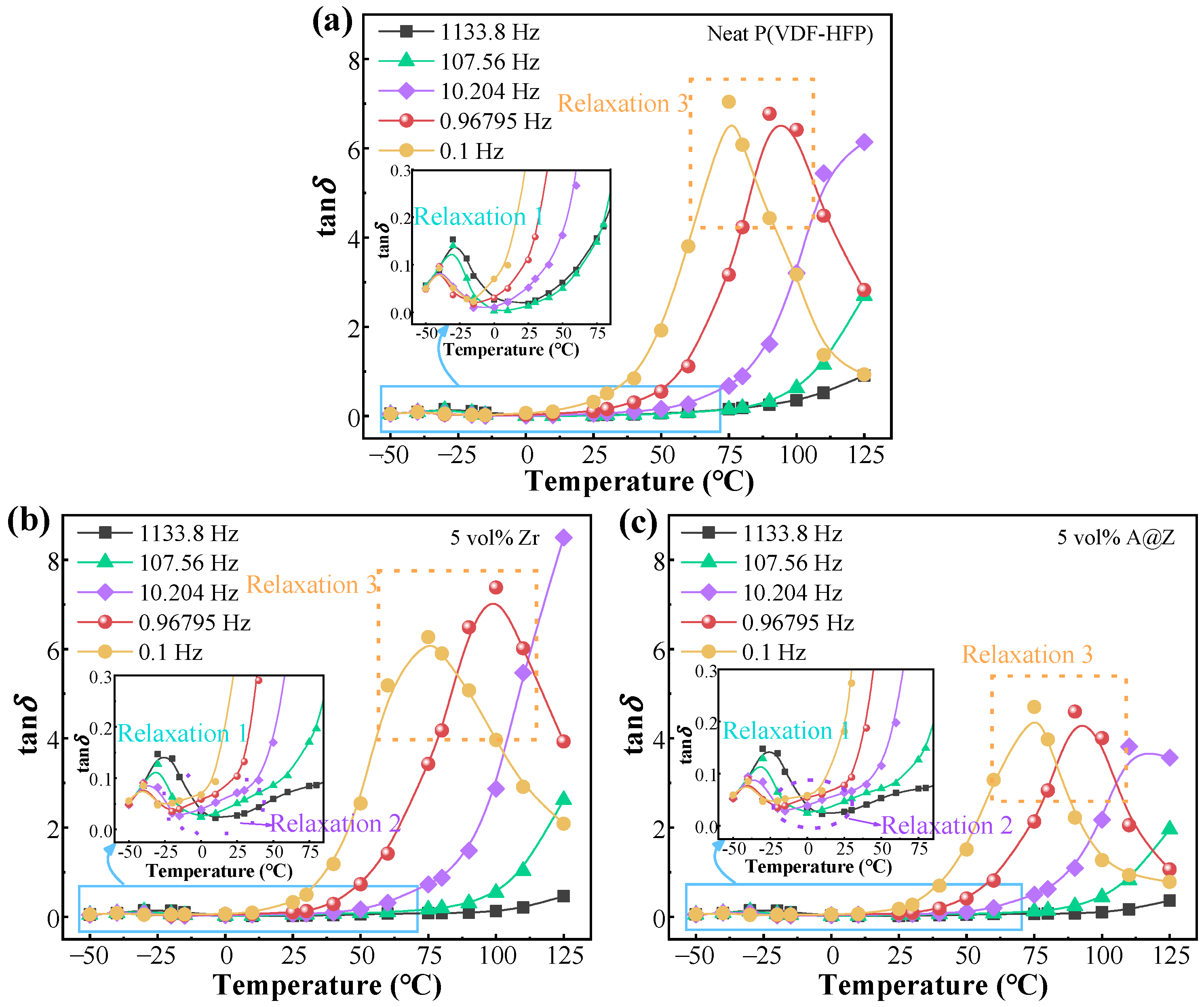
2.7. Dielectric Loss of the Nanocomposites
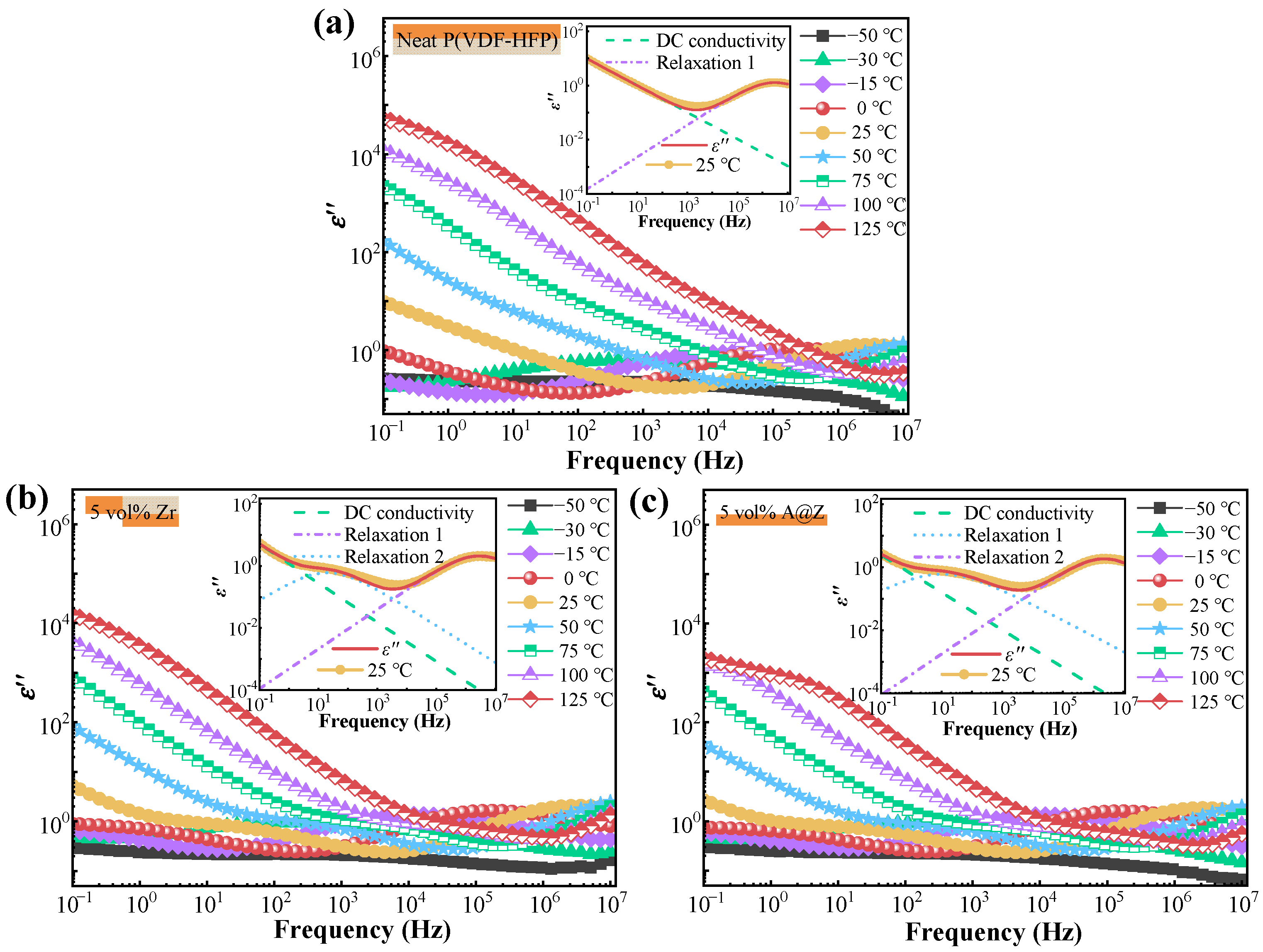
2.8. AC Conductivity of the Nanocomposites
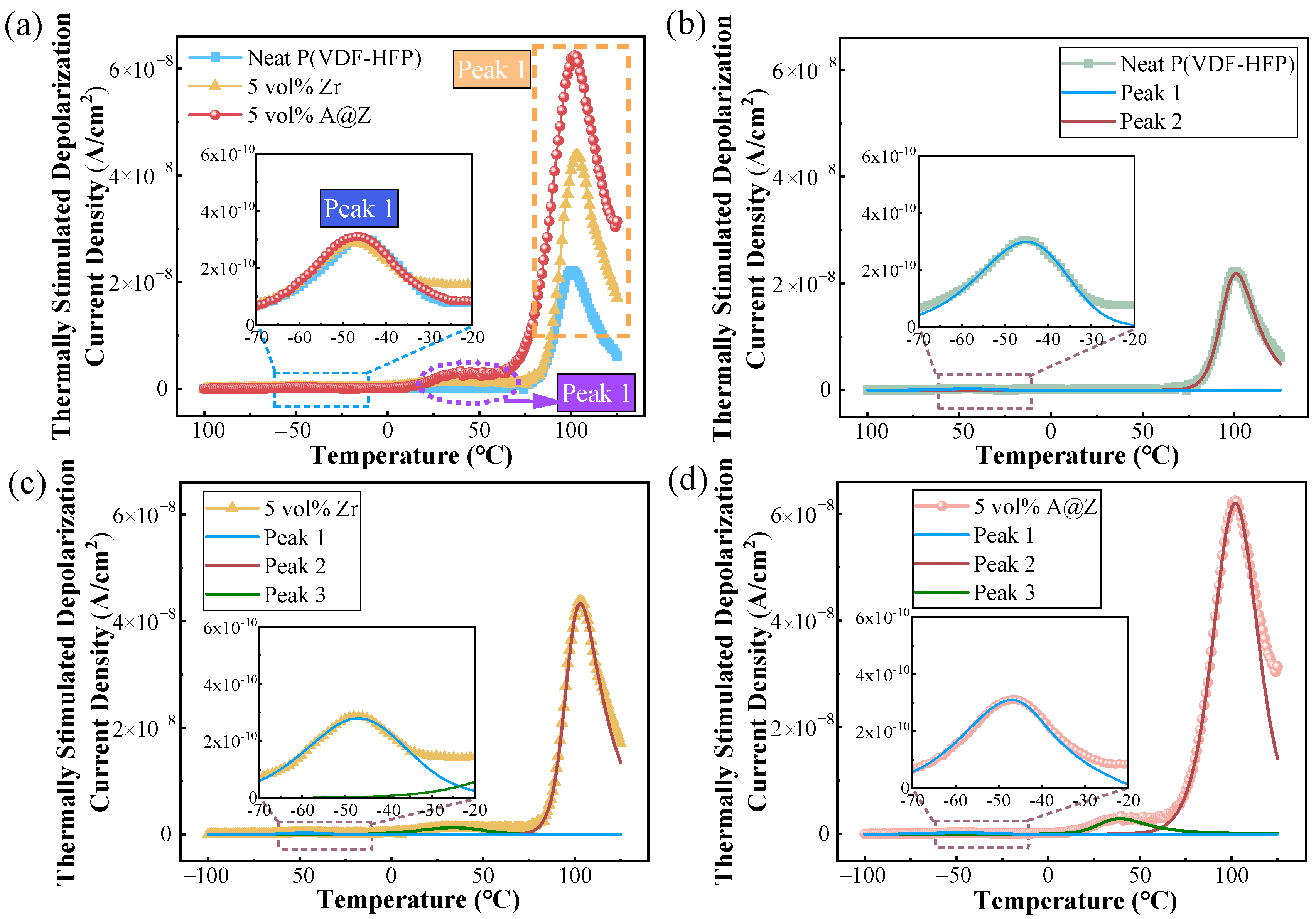
2.9. TSDC Analysis of the Nanocomposites
3. Materials and Methods
3.1. Materials and Sample Preparation
3.2. Sample Characterization
- (a)
- Placing the sample between electrodes and heating up to 180 °C.
- (b)
- Applying the electric field of 200 V for 20 min to generate dielectric polarization.
- (c)
- Cooling the sample to −100 °C rapidly under the applied field, where all the dipole/ionic motion is completely frozen.
- (d)
- Connecting the sample to a short circuit condition for 10 min.
- (e)
- Heating up to 125 °C at a linear rate and measuring the depolarization current as a function of temperature.
4. Conclusions
Author Contributions
Funding
Institutional Review Board Statement
Data Availability Statement
Conflicts of Interest
Sample Availability
References
- Sun, W.J.; Mao, J.L.; Wang, S.; Zhang, L.; Cheng, Y.H. Review of recent advances of polymer based dielectrics for high-energy storage in electronic power devices from the perspective of target applications. Front. Chem. Sci. Eng. 2021, 15, 18–34. [Google Scholar] [CrossRef]
- Kousksou, T.; Bruel, P.; Jamil, A.; Rhafiki, T.E.; Zeraouli, Y. Energy storage: Applications and challenges. Sol. Energy Mater. Sol. Cells. 2014, 120, 59–80. [Google Scholar] [CrossRef]
- Yazvinskaya, N.N.; Lipkin, M.S.; Galushkin, N.E.; Galushkin, D.N. Research of nanomaterials as electrodes for electrochemical energy storage. Molecules 2022, 27, 837. [Google Scholar] [CrossRef]
- Liu, F.H.; Li, Q.; Cui, J.; Li, Z.Y.; Yang, G.; Liu, Y.; Dong, L.J.; Xiong, C.X.; Wang, H.; Wang, Q. High-energy-density dielectric polymer nanocomposites with trilayered architecture. Adv. Funct. Mater. 2017, 27, 1606292. [Google Scholar] [CrossRef]
- Ren, L.L.; Yang, L.J.; Zhang, S.Y.; Li, H.; Zhou, Y.; Ai, D.; Xie, Z.L.; Zhao, X.T.; Peng, Z.R.; Liao, R.J.; et al. Largely enhanced dielectric properties of polymer composites with HfO2 nanoparticles for high-temperature film capacitors. Compos. Sci. Technol. 2020, 201, 108528. [Google Scholar] [CrossRef]
- Guan, F.X.; Pan, J.L.; Wang, J.; Wang, Q.; Zhu, L. Crystal orientation effect on electric energy storage in Poly (vinylidenefluoride-co-hexafluoropropylene) copolymers. Macromolecules 2010, 43, 384–392. [Google Scholar] [CrossRef]
- Li, Q.; Wang, Q. Ferroelectric polymers and their energy-related applications. Macromol. Chem. Phys. 2016, 217, 1228–1244. [Google Scholar] [CrossRef]
- Tandon, B.; Kamble, P.; Olsson, R.T.; Blaker, J.J.; Cartmell, S.H. Fabrication and characterisation of stimuli responsive piezoelectric PVDF and hydroxyapatite-filled PVDF fibrous membranes. Molecules 2019, 24, 1903. [Google Scholar] [CrossRef] [Green Version]
- Li, H.; Yang, T.N.; Zhou, Y.; Ai, D.; Yao, B.; Liu, Y.; Li, L.; Chen, L.Q.; Wang, Q. Enabling high-energy-density high-efficiency ferroelectric polymer nanocomposites with rationally designed nanofillers. Adv. Funct. Mater. 2020, 31, 2006739. [Google Scholar] [CrossRef]
- Mitran, R.A.; Ioniţǎ, S.; Lincu, D.; Berger, D.; Matei, C. A review of composite phase change materials based on porous silica nanomaterials for latent heat storage applications. Molecules 2021, 26, 241. [Google Scholar] [CrossRef] [PubMed]
- Benhabiles, O.; Galiano, F.; Marino, T.; Mahmoudi, H.; Lounici, H.; Figoli, A. Preparation and characterization of TiO2-PVDF/PMMA blend membranes using an alternative non-toxic solvent for UF/MF and photocatalytic application. Molecules 2019, 24, 724. [Google Scholar] [CrossRef] [Green Version]
- Ren, L.L.; Li, H.; Xie, Z.L.; Ai, D.; Zhou, Y.; Liu, Y.; Zhang, S.Y.; Yang, L.J.; Zhao, X.T.; Peng, Z.R.; et al. High-temperature high-energy-density dielectric polymer nanocomposites utilizing inorganic core-shell nanostructured nanofillers. Adv. Energy Mater. 2021, 11, 2101297. [Google Scholar] [CrossRef]
- Zheng, W.Y.; Ren, L.L.; Zhao, X.T.; Li, H.; Xie, Z.L.; Li, Y.P.; Wang, C.; Yu, L.; Yang, L.J.; Liao, R.J. Tuning interfacial relaxations in P (VDF-HFP) with Al2O3@ZrO2 core-shell nanofillers for enhanced dielectric and energy storage performance. Compos. Sci. Technol. 2022, 222, 109379. [Google Scholar] [CrossRef]
- Kaur, S.; Kumar, A.; Sharma, A.L.; Singh, D.P. Influence of annealing on dielectric and polarization behavior of PVDF thick films. J. Mater. Sci. Mater. Electron. 2017, 28, 8391–8396. [Google Scholar] [CrossRef]
- Jiang, J.Y.; Zhang, X.; Dan, Z.K.; Ma, J.; Lin, Y.H.; Li, M.; Nan, C.W.; Shen, Y. Tuning phase composition of polymer nanocomposites toward high energy density and high discharge efficiency by nonequilibrium processing. ACS Appl. Mater. Interfaces 2017, 9, 29717–29731. [Google Scholar] [CrossRef] [PubMed]
- Rekik, H.; Ghallabi, Z.; Royaud, I.; Arous, M.; Seytre, G.; Boiteux, G.; Kallel, A. Dielectric relaxation behaviour in semi-crystalline polyvinylidene fluoride (PVDF)/TiO2 nanocomposites. Compos. Part B Eng. 2013, 45, 1199–1206. [Google Scholar] [CrossRef]
- Tsonos, C.; Zois, H.; Kanapitsas, A.; Soin, N.; Siores, E.; Peppas, G.D.; Pyrgioti, E.C.; Sanida, A.; Stavropoulos, S.G.; Psarras, G.C. Polyvinylidene fluoride/magnetite nanocomposites: Dielectric and thermal response. J. Phys. Chem. Solids 2019, 129, 378–386. [Google Scholar] [CrossRef]
- Jiang, X.B.; Zhao, X.J.; Peng, G.R.; Liu, W.P.; Liu, K.; Zhan, Z.J. Investigation on crystalline structure and dielectric relaxation behaviors of hot pressed poly (vinylidene fluoride) film. Curr. Appl. Phys. 2017, 17, 15–23. [Google Scholar] [CrossRef]
- Zhou, W.Y.; Kou, Y.J.; Yuan, M.X.; Li, B.; Cai, H.W.; Li, Z.; Chen, F.X.; Liu, X.R.; Wang, G.H.; Chen, Q.G.; et al. Polymer composites filled with core@double-shell structured fillers: Effects of multiple shells on dielectric and thermal properties. Compos. Sci. Technol. 2019, 181, 107686. [Google Scholar] [CrossRef]
- Stavrakas, I.; Triantis, D.; Photopoulos, P.; Kanapitsas, A.; Tsonos, C. Thermally stimulated discharge current (TSDC) characteristicsin PVDF-graphene nanocomposites. In Proceedings of the International Conference ‘Science in Technology’, Athens, Greece, 5–7 November 2015. [Google Scholar]
- Zhang, T.; Dan, Z.K.; Shen, Z.H.; Jiang, J.Y.; Guo, M.F.; Chen, B.; Lin, Y.H.; Nan, C.W.; Shen, Y. An alternating multilayer architecture boosts ultrahigh energy density and high discharge efficiency in polymer composites. RSC Adv. 2020, 10, 5886–5893. [Google Scholar] [CrossRef] [PubMed]
- Wu, W.; Huang, X.Y.; Li, S.T.; Jiang, P.K.; Tanaka, T. Novel three-dimensional zinc oxide superstructures for high dielectric constant polymer composites capable of withstanding high electric field. J. Phys. Chem. C 2012, 116, 244887–244895. [Google Scholar] [CrossRef]
- He, D.L.; Wang, Y.; Chen, X.Q.; Deng, Y. Core-shell structured BaTiO3@Al2O3 nanoparticles in polymer composites for dielectric loss suppression and breakdown strength enhancement. Compos. Part A Appl. Sci. Manuf. 2017, 93, 137–143. [Google Scholar] [CrossRef]
- Li, L.; Feng, R.; Zhang, Y.; Dong, L.J. Flexible, transparent and high dielectric-constant fluoropolymer-based nanocomposites with a fluoride-constructed interfacial structure. J. Mater. Chem. C 2017, 5, 11403. [Google Scholar] [CrossRef]
- Hossain, D.; Tschopp, M.A.; Ward, D.K.; Bouvard, J.L.; Wang, P.; Horstemeyer, M.F. Molecular dynamics simulations of deformation mechanisms of amorphous polyethylene. Polymer 2010, 51, 6071–6083. [Google Scholar] [CrossRef]
- Li, Q.; Zhang, G.Z.; Liu, F.H.; Han, K.; Gadinski, M.R.; Xiong, C.X.; Wang, Q. Solution-processed ferroelectric terpolymer nanocomposites with high breakdown strength and energy density utilizing boron nitride nanosheets. Energy Environ. Sci. 2015, 8, 922–931. [Google Scholar] [CrossRef]
- Calambas, H.L.; Fonseca, A.; Adames, D.; Aguirre-Loredo, Y.; Caicedo, C. Physical-mechanical behavior and water-barrier properties of biopolymers-clay nanocomposites. Molecules 2021, 26, 6734. [Google Scholar] [CrossRef]
- Pan, Z.B.; Liu, B.H.; Zhai, J.W.; Yao, L.M.; Yang, K.; Shen, B. NaNbO3 two-dimensional platelets induced highly energy storage density in trilayered architecture composites. Nano Energy 2017, 40, 587–595. [Google Scholar] [CrossRef]
- Wang, P.J.; Zhou, D.; Guo, H.H.; Liu, W.F.; Su, J.Z.; Fu, M.S.; Singh, C.; Trukhanov, S.; Trukhanov, A. Ultrahigh enhancement rate of energy density of flexible polymer nanocomposites by core-shell BaTiO3@MgO structures as fillers. J. Mater. Chem. A 2020, 8, 11124–11132. [Google Scholar] [CrossRef]
- Feng, Y.; Li, J.L.; Li, W.L.; Li, M.L.; Chi, Q.G.; Zhang, T.D.; Fei, W.D. Effect of BaTiO3 nanowire distribution on the dielectric and energy storage performance of double-layer PVDF-based composites. Compos. Part A Appl. Sci. Manuf. 2019, 125, 105524. [Google Scholar] [CrossRef]
- Bi, K.; Bi, M.H.; Hao, Y.N.; Luo, W.; Cai, Z.M.; Wang, X.H.; Huang, Y.H. Ultrafine core-shell BaTiO3@SiO2 structures for nanocomposite capacitors with high energy density. Nano Energy 2018, 51, 513–523. [Google Scholar] [CrossRef]
- Zhao, X.J.; Li, C.Q.; Yin, F.Q.; Zhu, T.C.; Peng, G.R. Relaxation behavior of sandwich-structured fluorinated graphene/poly (vinylidene fluoride-hexafluoropropylene) composites by dielectric relaxation spectroscopy. Polymer 2021, 224, 123729. [Google Scholar] [CrossRef]
- Zhao, X.J.; Jiang, X.B.; Peng, G.R.; Liu, W.P.; Liu, K.; Zhan, Z.J. Investigation of the dielectric relaxation, conductivity and energy storage properties for biaxially oriented poly (vinylidene fluoridehexafluoropropylene)/poly (methyl methacrylate) composite films by dielectric relaxation spectroscopy. J. Mater Sci. Mater. Electron. 2016, 27, 10993–11002. [Google Scholar] [CrossRef]
- Pavlović, V.P.; Tošić, D.; Dojčilović, R.; Dudić, D.; Dramićanin, M.D.; Medić, M.; McPherson, M.M.; Pavlović, V.B.; Vlahovic, B.; Djoković, V. PVDF-HFP/NKBT composite dielectrics: Perovskite particles induce the appearance of an additional dielectric relaxation process in ferroelectric polymer matrix. Polym. Test. 2021, 96, 107093. [Google Scholar] [CrossRef]
- Haneef, H.F.; Zeidell, A.M.; Jurchescu, O.D. Charge carrier traps in organic semiconductors: A review on the underlying physics and impact on electronic devices. J. Mater. Chem. C 2020, 8, 759–787. [Google Scholar] [CrossRef]
- Alvarez, F.; Alegria, A.; Colmenero, J. Relationship between the time-domain Kohlrausch-Williams-Watts and frequency-domain Havriliak-Negami relaxation functions. Phys. Rev. B 1991, 44, 7306. [Google Scholar] [CrossRef]
- Ai, D.; Li, H.; Zhou, Y.; Ren, L.L.; Han, Z.B.; Yao, B.; Zhou, W.; Zhao, L.; Xu, J.M.; Wang, Q. Tuning nanofillers in in situ prepared polyimide nanocomposites for high-temperature capacitive energy storage. Adv. Energy Mater. 2020, 10, 1903881. [Google Scholar] [CrossRef]
- Yuan, C.; Zhou, Y.; Zhu, Y.J.; Liang, J.J.; Wang, S.J.; Peng, S.M.; Li, Y.S.; Cheng, S.; Yang, M.C.; Hu, J.; et al. Polymer/molecular semiconductor all-organic composites for high-temperature dielectric energy storage. Nat. Commun. 2020, 11, 3919. [Google Scholar] [CrossRef]
- Yang, L.; Zhao, Q.Y.; Hou, Y.; Hong, L.Y.; Ji, H.L.; Xu, L.; Zhu, K.J.; Shen, M.X.; Huang, H.J.; He, H.Y.; et al. Flexible polyvinylidene fluoride based nanocomposites with high and stable piezoelectric performance over a wide temperature range utilizing the strong multi-interface effect. Compos. Sci. Technol. 2019, 174, 33–41. [Google Scholar] [CrossRef]
- Li, H.; Gadinski, M.R.; Huang, Y.Q.; Ren, L.L.; Zhou, Y.; Ai, D.; Han, Z.B.; Yao, B.; Wang, Q. Crosslinked fluoropolymers exhibiting superior high-temperature energy density and charge-discharge efficiency. Energy Environ. Sci. 2020, 13, 1279–1286. [Google Scholar] [CrossRef] [Green Version]
- Tanaka, T.; Kozako, M.; Fuse, N.; Ohki, Y. Proposal of a multi-core model for polymer nanocomposite dielectrics. IEEE Trans. Dielectr. Electr. Insul. 2005, 12, 669–681. [Google Scholar] [CrossRef]
- Li, S.T.; Yin, G.L.; Bai, S.N.; Li, J.Y. A new potential barrier model in epoxy resin nanodielectrics. IEEE Trans. Dielectr. Electr. Insul. 2011, 18, 1535–1543. [Google Scholar] [CrossRef]
- Mei, W.C.; Wei, J.D.; Ko, Z.Y.; Cheng, Z.Y.; Hu, J. Novel P (VDF-HFP)/BST nanocomposite films with enhanced dielectric properties and optimized energy storage performance. Ceram. Int. 2021, 47, 15561–15567. [Google Scholar] [CrossRef]
- Min, D.M.; Wang, W.W.; Li, S.T. Numerical analysis of space charge accumulation and conduction properties in LDPE nanodielectrics. IEEE Trans. Dielectr. Electr. Insul. 2015, 22, 1483–1491. [Google Scholar] [CrossRef]
- Wang, W.W.; Min, D.M.; Li, S.T. Understanding the conduction and breakdown properties of polyethylene nanodielectrics: Effect of deep traps. IEEE Trans. Dielectr. Electr. Insul. 2016, 23, 564–572. [Google Scholar] [CrossRef]
- Chen, C.; Xie, Y.C.; Liu, J.J.; Li, J.; Wei, X.Y.; Zhang, Z.C. Enhanced energy storage capability of P (VDF-HFP) nanodielectrics by HfO2 passivation layer: Preparation, performance and simulation. Compos. Sci. Technol. 2020, 188, 107968. [Google Scholar] [CrossRef]
- Lu, X.; Zhang, L.; Tong, Y.; Cheng, Z.Y. BST-P (VDF-CTFE) nanocomposite films with high dielectric constant, low dielectric loss, and high energy-storage density. Compos. Part B Eng. 2019, 168, 34–43. [Google Scholar] [CrossRef]
- Li, S.T.; Min, D.M.; Wang, W.W.; Chen, G. Modelling of dielectric breakdown through charge dynamics for polymer nanocomposites. IEEE Trans. Dielectr. Electr. Insul. 2016, 23, 3476–3485. [Google Scholar] [CrossRef]













| Volume Fraction of Fillers (vol%) | P(VDF-HFP)/Zr | P(VDF-HFP)/A@Z | ||
|---|---|---|---|---|
| Tc (°C) | Xc (%) | Tc (°C) | Xc (%) | |
| 0 | 121.7 | 15.0% | - | - |
| 1 | 122.4 | 21.6% | 123.5 | 21.9% |
| 3 | 122.7 | 21.7% | 123.8 | 22.0% |
| 5 | 124.0 | 22.5% | 124.3 | 23.2% |
| 7 | 124.9 | 20.6% | 125.0 | 21.2% |
| Sample | k0 | α0 | τm1 | Δε1 | α1 | β1 | τm2 | Δε2 | α2 | β2 |
|---|---|---|---|---|---|---|---|---|---|---|
| Neat P(VDF-HFP) | 3.12 | 0.50 | 5.06 × 10−8 | 5.11 | 0.59 | 1 | - | - | - | - |
| P(VDF-HFP)/5 vol%-Zr | 1.19 | 0.63 | 5.41 × 10−8 | 7.68 | 0.63 | 1 | 0.008 | 2.40 | 0.59 | 0.97 |
| P(VDF-HFP)/5 vol%-A@Z | 0.62 | 0.59 | 6.91 × 10−8 | 6.60 | 0.65 | 1 | 0.016 | 2.92 | 0.50 | 0.98 |
| Sample | Q1 (μC) | Q2 (μC) | Q3 (μC) | QT (μC) |
|---|---|---|---|---|
| Neat P(VDF-HFP) | 0.18 | 13.45 | / | 13.63 |
| P(VDF-HFP)/5 vol%-Zr | 0.17 | 27.73 | 1.30 | 29.20 |
| P(VDF-HFP)/5 vol%-A@Z | 0.18 | 44.91 | 2.46 | 47.55 |
Publisher’s Note: MDPI stays neutral with regard to jurisdictional claims in published maps and institutional affiliations. |
© 2022 by the authors. Licensee MDPI, Basel, Switzerland. This article is an open access article distributed under the terms and conditions of the Creative Commons Attribution (CC BY) license (https://creativecommons.org/licenses/by/4.0/).
Share and Cite
Zheng, W.; Ren, L.; Zhao, X.; Wang, C.; Yang, L.; Liao, R. Roles of Al2O3@ZrO2 Particles in Modulating Crystalline Morphology and Electrical Properties of P(VDF-HFP) Nanocomposites. Molecules 2022, 27, 4289. https://doi.org/10.3390/molecules27134289
Zheng W, Ren L, Zhao X, Wang C, Yang L, Liao R. Roles of Al2O3@ZrO2 Particles in Modulating Crystalline Morphology and Electrical Properties of P(VDF-HFP) Nanocomposites. Molecules. 2022; 27(13):4289. https://doi.org/10.3390/molecules27134289
Chicago/Turabian StyleZheng, Wenyue, Lulu Ren, Xuetong Zhao, Can Wang, Lijun Yang, and Ruijin Liao. 2022. "Roles of Al2O3@ZrO2 Particles in Modulating Crystalline Morphology and Electrical Properties of P(VDF-HFP) Nanocomposites" Molecules 27, no. 13: 4289. https://doi.org/10.3390/molecules27134289
APA StyleZheng, W., Ren, L., Zhao, X., Wang, C., Yang, L., & Liao, R. (2022). Roles of Al2O3@ZrO2 Particles in Modulating Crystalline Morphology and Electrical Properties of P(VDF-HFP) Nanocomposites. Molecules, 27(13), 4289. https://doi.org/10.3390/molecules27134289

