A New Method for Calculating the Relative Permeability Curve of Polymer Flooding Based on the Viscosity Variation Law of Polymer Transporting in Porous Media
Abstract
:1. Introduction
2. Experimental Materials and Methods
2.1. Experimental Materials
2.2. Experimental Methods
2.2.1. Viscosity Measurement
2.2.2. Experiment Procedure of Viscosity Variation Experiment
- The target concentration polymer solutions were prepared with the polymer HNT-300 and synthetic water. The apparent viscosity of the polymer solution was measured before being injected into the core.
- The air in the core was extracted by a vacuum pump, and then the synthetic water was pushed into the pore in the core. The pore volume was equal to water volume minus the dead volume.
- The synthetic crude oil was continually injected into the core at a constant injection rate and all outlets of the core holder were closed except the last one, which was farthest from the inlet. The injecting process lasted until that no more water was coming from the exit end. The steady pressure of the core holder inlet during the injecting process was recorded. The oil volume in the core was the same as the volume of the water produced from the core. The inlet and the last outlet were closed after this step to maintain the pressure field in the core.
- The core with initial oil and irreducible water was placed at 63 °C for 12 h before use.
- The polymer solution was injected into the core at a constant injection rate. In this process, the inlet of core holder was opened as soon as the pressure of inlet reached the steady pressure while injecting oil. From the water saturation reaching about 60%, samples were taken from each sampling port for every 0.05% increase in water saturation.
- 6.
- The volumes of oil and water in the sample were measured as soon as the sample was obtained. Then, the water was separated from the sample. Next, the viscosity of the produced water was measured at once.
2.2.3. Experiment Procedure of Polymer Flooding Relative Permeability
2.2.4. Calculation Method of Relative Permeability Curve
3. Results and Discussion
3.1. Results and Discussion of the Viscosity Variation
3.1.1. Experimental Results and Data Analysis
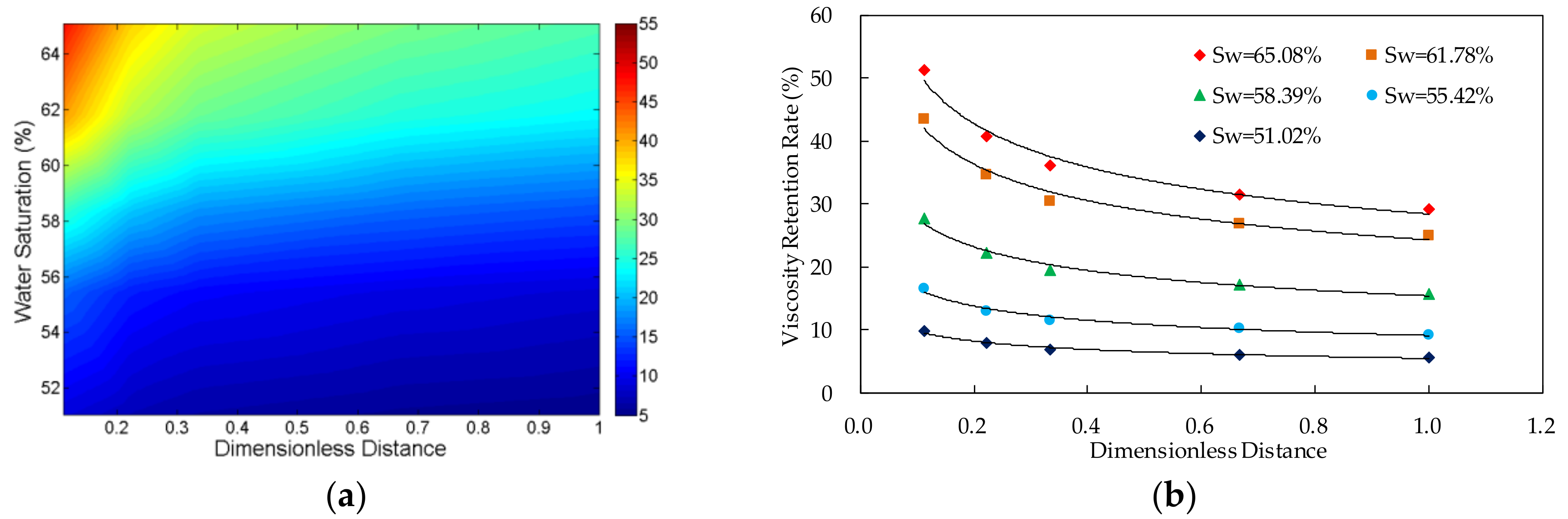
3.1.2. Relationship between Viscosity Retention Rate and Dimensionless Distance
3.1.3. Relationship between Viscosity Retention Rate and Water Saturation
3.2. Results and Discussion of the Polymer-Flooding Relative Permeability
3.2.1. Calculation of the Relative Permeability Curves of Polymer Flooding
3.2.2. Analysis of Polymer Relative Permeability Curves Calculated by Different Viscosity Methods
- The integral viscosity can express the average viscosity of the whole core to the maximum extent. Thus, the polymer relative permeability curves calculated by the integral average viscosity are more accurate than others. From the experimental results, it can be figured out that the polymer solution relative permeability calculated by viscosity of polymer solution from the outlet was lower than that calculated by integral viscosity.
- Comparing the relative permeability curves of polymer flooding with different concentrations, we can find that, with the increase of polymer concentration, the relative permeability of water phase decreases and that of oil phase increases. The reduction of water phase permeability is due to the polymer retention in pore, which is caused by adsorption, mechanical capture and hydrodynamic capture. Furthermore, polymer molecules also have strong hydrogen bond with water molecules, which makes the adsorption of water molecules on the adsorption layer stronger. These two reasons explain the decrease of water phase relative permeability. Additionally, for the increase of oil phase, polymer molecules do not hinder the flow of oil. Furthermore, the adsorption layer formed by polymer molecules on the pore wall of rock will make the wall surface of pore throat smoother, which will reduce the flow resistance of oil.
- From the curves, it can also be figured out that the higher polymer concentration, the lower residual oil saturation. Polymer molecules can improve the mobility of water and increase the micro sweep efficiency. As a result, the increase of polymer concentration can reduce the residual oil saturation in the core.
4. Conclusions
- The viscosity retention rate of the polymer solution transporting in the core is related to the dimensionless distance from the inlet and the water saturation. The relationship can be expressed by the power function formula: VRR(Sw,Ld) = m × en × Sw × Ld−0.248
- In the case of the same water saturation, viscosity of the polymer solution transporting in the porous media decreases with the increase of the distance from the inlet and the viscosity loss happens mainly near the inlet, especially the first third length of the core. Additionally, the two coefficients have power function relationship. Meanwhile, in the case of the same dimensionless distance, the viscosity of the polymer solution transporting in porous media increases with the increase of the water saturation in the core and the two coefficients have power function relationship.
- The viscosity calculated by the integral formula is more representative of the average viscosity of polymer solution in the core, and the relative permeability curves of polymer flooding calculated by this viscosity are more able to describe the actual situation.
- With the increase of polymer concentration, the relative permeability of oil phase increases, and the relative permeability of water phase and the residual oil saturation decrease.
Author Contributions
Funding
Institutional Review Board Statement
Informed Consent Statement
Data Availability Statement
Conflicts of Interest
Sample Availability
References
- Shashkina, Y.A.; Zaroslov, Y.D.; Smirnov, V.A.; Philippova, O.E.; Khokhlov, A.R.; Pryakhina, T.A.; Churochkina, N.A. Hydrophobic aggregation in aqueous solutions of hydrophobically modified polyacrylamide in the vicinity of overlap concentration. Polymer 2003, 44, 2289–2293. [Google Scholar] [CrossRef]
- Chen, H.; Wang, Z.M.; Ye, Z.B.; Han, L.J. The solution behavior of hydrophobically associating zwitterionic polymer in salt water. J. Appl. Polym. Sci. 2013, 131, 1–15. [Google Scholar] [CrossRef]
- Ye, Z.B.; Jiang, J.F.; Zhang, X.; Chen, H.; Han, L.J.; Song, J.R.; Xian, J.; Chen, W. Synthesis and characterizations of hydrophobically associating water-soluble polymer with nonionic surfmer. J. Appl. Polym. Sci. 2016, 133, 43195. [Google Scholar] [CrossRef]
- Shao, Y.; Mao, J.; Yang, B.; Zhao, J.; Yang, X. High performance hydrophobic associated polymer for fracturing fluids with low-dosage. Pet. Chem. 2020, 60, 219–225. [Google Scholar] [CrossRef]
- Pu, W.F.; Du, D.J.; Liu, R. Preparation and evaluation of supramolecular fracturing fluid of hydrophobically associative polymer and viscoelastic surfactant. J. Pet. Sci. Eng. 2018, 167, 568–576. [Google Scholar] [CrossRef]
- Gao, J.; Zhang, G.; Wang, L.; Ding, L.; Shi, H.; Lai, X.; Wen, X.; Ma, S.; Huang, C. Rheological properties of an ultra-high salt hydrophobic associated polymer as a fracturing fluid system. RSC Adv. 2019, 9, 15246–15256. [Google Scholar] [CrossRef] [PubMed] [Green Version]
- Yu, J.; Gou, S.; Li, Q.; Peng, C.; Zhou, L.; Liu, L.; Tang, L.; He, Y.; Duan, M. A graft-modification of chitosan with twin-tail hydrophobic association polymer for enhance oil recovery. Chem. Phys. Lett. 2020, 763, 138164. [Google Scholar] [CrossRef]
- Liu, T.; Gou, S.; Zhou, L.; Hao, J.; He, Y.; Liu, L.; Tang, L.; Fang, S. High-viscoelastic graft modified chitosan hydrophobic association polymer for enhanced oil recovery. J. Appl. Polym. Sci. 2020, 138, e50004. [Google Scholar] [CrossRef]
- Yi, F.; Huang, B.; Wang, C.; Tang, X.; Wang, X.; Liu, Q.; Su, Y.; Chen, S.; Wu, X.; Chen, B.; et al. Hydrophobically Associating Polymers Dissolved in Seawater for Enhanced Oil Recovery of Bohai Offshore Oilfields. Molecules 2022, 27, 2744. [Google Scholar] [CrossRef]
- Zhang, X.; Li, B.; Pan, F.; Su, X.; Feng, Y. Enhancing Oil Recovery from Low-Permeability Reservoirs with a Thermoviscosifying Water-Soluble Polymer. Molecules 2021, 26, 7468. [Google Scholar] [CrossRef]
- Liu, Q.; Wu, K.; Li, X.; Tu, B.; Xie, Y. Effect of displacement pressure on oil–water relative permeability for extra-low-permeability reservoirs. ACS Omega 2021, 6, 2749–2758. [Google Scholar] [CrossRef]
- Esmaeili, S.; Modaresghazani, J.; Sarma, H.; Harding, T.G.; Maini, B.B. Effect of temperature on relative permeability—Role of viscosity ratio. Fuel 2020, 278, 118318. [Google Scholar] [CrossRef]
- Zou, S.; Liu, Y.; Cai, J.; Armstrong, R.T. Influence of capillarity on relative permeability in fractional flows. Water Resour. Res. 2020, 56, 27624. [Google Scholar] [CrossRef]
- Su, H.; Zhang, S.; Sun, Y.; Wang, X.; Yu, B.; Wang, Y.; Yu, M.; Yang, M.; Meng, W.; Yi, H.; et al. A comprehensive model for oil–water relative permeabilities in low-permeability reservoirs by fractal theory. Fractals 2020, 28, 20500553. [Google Scholar] [CrossRef]
- Valdez, A.R.; Rocha, B.M.; Chapiro, G.; Santos, R. Uncertainty quantification and sensitivity analysis for relative permeability models of two-phase flow in porous media. J. Pet. Sci. Eng. 2020, 192, 107297. [Google Scholar] [CrossRef]
- Zhao, B.; Ratnakar, R.; Dindoruk, B.; Mohanty, K. A hybrid approach for the prediction of relative permeability using machine learning of experimental and numerical proxy scal data. SPE J. 2020, 25, 2749–2764. [Google Scholar] [CrossRef]
- Ecay, L.; Grégoire, D.; Pijaudier-Cabot, G. On the prediction of permeability and relative permeability from pore size distributions. Cem. Concr. Res. 2020, 133, 106074. [Google Scholar] [CrossRef]
- Purswani, P.; Johns, R.T.; Karpyn, Z.T.; Blunt, M. Predictive modeling of relative permeability using a generalized equation of state. SPE J. 2020, 26, 191–205. [Google Scholar] [CrossRef]
- Lan, W.; Zla, B.; Cda, C.; Chao, W.D. An experimental study of the effect of three metallic oxide nanoparticles on oil-water relative permeability curves derived from the jbn and extended jbn methods. J. Pet. Sci. Eng. 2020, 192, 107257. [Google Scholar]
- Berg, S.; Unsal, E.; Dijk, H. Non-uniqueness and uncertainty quantification of relative permeability measurements by inverse modelling. Comput. Geotech. 2020, 132, 103964. [Google Scholar] [CrossRef]
- PålØ, A.; Zhou, Y. Steady state relative permeability experiments with capillary end effects: Analytical solutions including derivation of the intercept method. J. Pet. Sci. Eng. 2020, 192, 107249. [Google Scholar]
- Jeong-Hoon, C.; Evgeniy, M.M.; Liang, L.; Timothy, J.K.; Yongkoo, S. An experimental system and procedure of unsteady-state relative permeability test for gas hydrate-bearing sediments. J. Nat. Gas Sci. Eng. 2020, 83, 103545. [Google Scholar]
- Li, R.; Chen, Z.; Wu, K.; Liu, X.; Xu, J. A fractal model for gas-water relative permeability curve in shale rocks. J. Nat. Gas Sci. Eng. 2020, 81, 103417. [Google Scholar] [CrossRef]
- Kumar, S.; Esmaeili, S.; Sarma, H.; Maini, B.B. Can effects of temperature on two-phase gas/oil-relative permeabilities in porous media be ignored? a critical analysis. Energies 2020, 13, 3444. [Google Scholar] [CrossRef]
- Yin, X.; Shu, J.; Li, Y.L.; Gao, W.; Ma, L. Impact of pore structure and clay content on the water-gas relative permeability curve within tight sandstones: A case study from the ls block, eastern ordos basin, china. J. Nat. Gas. Sci. Eng. 2020, 81, 103418. [Google Scholar]
- Gao, Y.; Raeini, A.Q.; Selem, A.M.; Bondino, I.; Blunt, M.J.; Bijeljic, B. Pore-scale imaging with measurement of relative permeability and capillary pressure on the same reservoir sandstone sample under water-wet and mixed-wet conditions. Adv. Water Resour. 2020, 146, 103786. [Google Scholar] [CrossRef]
- Fu, J.; Su, Y.; Li, L.; Hao, Y.; Wang, W. Predicted model of relative permeability considering water distribution characteristics in tight sandstone gas reservoirs. Fractals 2019, 28, 2050012. [Google Scholar] [CrossRef]
- Johnson, E.; Bossler, D.; Naumann, V. Calculation of relative permeability from displacement experiments. Trans. AIME 1959, 216, 370–372. [Google Scholar] [CrossRef]
- Liu, Y.; Hou, J.; Liu, L.; Zhou, K.; Zhang, Y.; Dai, T.; Guo, L.; Cao, W. An Inversion Method of Relative Permeability Curves in Polymer Flooding Considering Physical Properties of Polymer. SPE J. 2018, 23, 1929–1943. [Google Scholar] [CrossRef]
- Zhang, W.; Hou, J.; Liu, Y.; Du, Q.; Zhou, K. Study on the effect of polymer viscosity and darcy velocity on relative permeability curves in polymer flooding. J. Pet. Sci. Eng. 2021, 200, 108393. [Google Scholar] [CrossRef]
- Zhao, S.; Pu, W. Investigation into the effect of polymer microspheres (pms) on oil-water relative permeability and oil-in-water emulsion stability for enhanced oil recovery. J. Dispers. Sci. Technol. 2020, 42, 1695–1702. [Google Scholar] [CrossRef]
- Peng, Z.; Wang, Y.; Yan, Y.; Jian, Z.; Cao, X.; Song, X. The effect of microstructure on performance of associative polymer: In solution and porous media. J. Pet. Sci. Eng. 2012, 90–91, 12–17. [Google Scholar]
- Hatzignatiou, D.G.; Norris, U.L.; Stavland, A. Core-scale simulation of polymer flow through porous media. J. Pet. Sci. Eng. 2013, 108, 137–150. [Google Scholar] [CrossRef]
- Al-Shakry, B.; Skauge, T.; Shaker Shiran, B.; Skauge, A. Polymer injectivity: Investigation of mechanical degradation of enhanced oil recovery polymers using in-situ rheology. Energies 2019, 12, 49. [Google Scholar] [CrossRef] [Green Version]
- Zhong, H.; Li, Y.; Zhang, W.; Li, D. Study on microscopic flow mechanism of polymer flooding. Arab. J. Geosci. 2019, 12, 56. [Google Scholar] [CrossRef]
- Qiao, H.Y.; Xu, M.; Fan, Q.; Wang, Y. Study on the influential factors of shear degradation of polymer. Adv. Mater. Res. 2014, 1073–1076, 2223–2226. [Google Scholar] [CrossRef]
- Lai, N.; Qin, X.; Ye, Z.; Li, C.; Chen, K.; Zhang, Y. The study on permeability reduction performance of a hyperbranched polymer in high permeability porous medium. J. Pet. Sci. Eng. 2013, 112, 198–205. [Google Scholar] [CrossRef]
- Odell, J.A.; Haward, S.J. Viscosity enhancement in non-newtonian flow of dilute aqueous polymer solutions through crystallographic and random porous media. Rheol. Acta 2006, 45, 853–863. [Google Scholar] [CrossRef]
- Yan, Y.; Wang, L.; Sang, G.; Han, X. Influence of Polymer Viscoelasticity on Microscopic Remaining Oil Production. Polymers 2022, 14, 940. [Google Scholar] [CrossRef]
- Tian, H.; Quan, H.; Huang, Z. Investigation on rheological properties and thickening mechanism of a novel thickener based on hydrophobically associating water-soluble polymer during the acid rock reaction. J. Pet. Sci. Eng. 2020, 188, 106895. [Google Scholar] [CrossRef]
- Xie, K.; Cao, B.; Lu, X.; Jiang, W.; Zhang, Y.; Li, Q.; Song, K.; Liu, J.; Wang, W.; Lv, J.; et al. Matching between the diameter of the aggregates of hydrophobically associating polymers and reservoir pore-throat size during polymer flooding in an offshore oilfield. J. Pet. Sci. Eng. 2019, 177, 558–569. [Google Scholar] [CrossRef]
- Shi, L.; Zhu, S.; Ye, Z.; Zhang, J.; Zhao, W. The seepage flow characteristics of hydrophobically associated polymers with different aggregation behaviours in porous media. R. Soc. Open Sci. 2020, 7, 191270. [Google Scholar] [CrossRef] [Green Version]
- Zhong, H.; Li, Y.; Zhang, W.; Yin, H.; Lu, J.; Guo, D. Microflow Mechanism of Oil Displacement by Viscoelastic Hydrophobically Associating Water-Soluble Polymers in Enhanced Oil Recovery. Polymers 2018, 10, 628. [Google Scholar] [CrossRef] [Green Version]









| Ionic Composition | Na+ | K+ | Ca2+ | Mg2+ | Cl− | CO32− | HCO3− | SO42− | Total Salinity |
| Concentration (mg/L) | 2819.78 | 270.01 | 111.04 | 4791.47 | 54.01 | 468.17 | 38.08 | 8552.56 | |
| Experiment Number | Polymer Concentration (mg/L) | Water Saturation (%) | R2 | Sig. | Coefficient a | Coefficient b | Minimum Value of Ld |
|---|---|---|---|---|---|---|---|
| VV-1 | 500 | 44.41 | 0.99 | 0.000 | 9.819 | −0.265 | 7.95 × 10−5 |
| 51.36 | 0.98 | 0.001 | 14.451 | −0.232 | 4.59 × 10−4 | ||
| 56.61 | 0.99 | 0.001 | 20.531 | −0.238 | 1.73 × 10−3 | ||
| 59.41 | 0.96 | 0.004 | 24.924 | −0.231 | 3.50 × 10−3 | ||
| 61.69 | 0.98 | 0.002 | 28.671 | −0.238 | 6.23 × 10−3 | ||
| VV-2 | 1250 | 51.02 | 0.99 | 0.001 | 5.438 | −0.253 | 9.10 × 10−6 |
| 55.42 | 0.98 | 0.001 | 9.067 | −0.259 | 8.29 × 10−5 | ||
| 58.39 | 0.98 | 0.001 | 15.377 | −0.255 | 3.68 × 10−4 | ||
| 61.78 | 0.98 | 0.001 | 24.291 | −0.25 | 2.02 × 10−3 | ||
| 65.08 | 0.98 | 0.001 | 28.403 | −0.254 | 1.06 × 10−2 | ||
| VV-3 | 1750 | 52.8 | 0.97 | 0.002 | 6.161 | −0.25 | 1.56 × 10−5 |
| 57.37 | 0.97 | 0.003 | 10.376 | −0.249 | 1.19 × 10−4 | ||
| 60.93 | 0.97 | 0.003 | 17.16 | −0.247 | 5.83 × 10−4 | ||
| 64.07 | 0.97 | 0.003 | 24.094 | −0.249 | 2.36 × 10−3 | ||
| 67.12 | 0.97 | 0.002 | 28.023 | −0.249 | 9.16 × 10−3 | ||
| VV-4 | 2000 | 54.24 | 0.95 | 0.004 | 4.792 | −0.243 | 9.98 × 10−6 |
| 58.47 | 0.97 | 0.002 | 10.604 | −0.245 | 8.74 × 10−5 | ||
| 61.69 | 0.97 | 0.003 | 19.336 | −0.246 | 4.56 × 10−4 | ||
| 65.59 | 0.96 | 0.003 | 24.866 | −0.25 | 3.37 × 10−3 | ||
| 68.14 | 0.97 | 0.002 | 27.979 | −0.247 | 1.25 × 10−2 |
| Experiment Number | Polymer Concentration(mg/L) | R2 | Sig. | Coefficient m | Coefficient n |
|---|---|---|---|---|---|
| VV-1 | 500 | 0.998 | 0.000 | 0.5969 | 0.0626 |
| VV-2 | 1250 | 0.976 | 0.002 | 0.0098 | 0.1245 |
| VV-3 | 1750 | 0.983 | 0.001 | 0.0189 | 0.1104 |
| VV-4 | 2000 | 0.932 | 0.008 | 0.0058 | 0.1272 |
| Experiment Number | Polymer Concentration (mg/L) | Water Saturation (%) | Average Viscosity (mPa·s) | Viscosity of Polymer Solution from Outlet (mPa·s) | Apparent Viscosity (mPa·s) |
|---|---|---|---|---|---|
| RP-1 | 500 | 45.81 | 0.9 | 0.7 | 6.2 |
| 52.13 | 1.3 | 1.0 | |||
| 55.89 | 1.6 | 1.2 | |||
| 58.19 | 1.9 | 1.4 | |||
| 61.28 | 2.2 | 1.7 | |||
| RP-2 | 1250 | 50.28 | 1.5 | 1.1 | 21.6 |
| 54.61 | 2.5 | 1.9 | |||
| 57.96 | 3.8 | 2.9 | |||
| 61.46 | 5.9 | 4.5 | |||
| 65.53 | 9.4 | 7.4 | |||
| RP-3 | 1750 | 53.68 | 3.7 | 2.8 | 39.5 |
| 58.59 | 6.4 | 4.8 | |||
| 62.08 | 9.3 | 7.1 | |||
| 64.59 | 12.2 | 9.3 | |||
| 67.89 | 17.2 | 13.4 | |||
| RP-4 | 2000 | 56.03 | 4.7 | 3.5 | 48.6 |
| 59.81 | 7.5 | 5.7 | |||
| 63.02 | 11.3 | 8.5 | |||
| 66.36 | 17.0 | 13.1 | |||
| 69.18 | 23.5 | 18.7 |
Publisher’s Note: MDPI stays neutral with regard to jurisdictional claims in published maps and institutional affiliations. |
© 2022 by the authors. Licensee MDPI, Basel, Switzerland. This article is an open access article distributed under the terms and conditions of the Creative Commons Attribution (CC BY) license (https://creativecommons.org/licenses/by/4.0/).
Share and Cite
Jiang, W.; Hou, Z.; Wu, X.; Song, K.; Yang, E.; Huang, B.; Dong, C.; Lu, S.; Sun, L.; Gai, J.; et al. A New Method for Calculating the Relative Permeability Curve of Polymer Flooding Based on the Viscosity Variation Law of Polymer Transporting in Porous Media. Molecules 2022, 27, 3958. https://doi.org/10.3390/molecules27123958
Jiang W, Hou Z, Wu X, Song K, Yang E, Huang B, Dong C, Lu S, Sun L, Gai J, et al. A New Method for Calculating the Relative Permeability Curve of Polymer Flooding Based on the Viscosity Variation Law of Polymer Transporting in Porous Media. Molecules. 2022; 27(12):3958. https://doi.org/10.3390/molecules27123958
Chicago/Turabian StyleJiang, Wenchao, Zhaowei Hou, Xiaolin Wu, Kaoping Song, Erlong Yang, Bin Huang, Chi Dong, Shouliang Lu, Liyan Sun, Jian Gai, and et al. 2022. "A New Method for Calculating the Relative Permeability Curve of Polymer Flooding Based on the Viscosity Variation Law of Polymer Transporting in Porous Media" Molecules 27, no. 12: 3958. https://doi.org/10.3390/molecules27123958
APA StyleJiang, W., Hou, Z., Wu, X., Song, K., Yang, E., Huang, B., Dong, C., Lu, S., Sun, L., Gai, J., Yao, S., Wang, Y., Nie, C., Yuan, D., & Xu, Q. (2022). A New Method for Calculating the Relative Permeability Curve of Polymer Flooding Based on the Viscosity Variation Law of Polymer Transporting in Porous Media. Molecules, 27(12), 3958. https://doi.org/10.3390/molecules27123958

