Antioxidant Activity and Cytotoxicity of Aromatic Oligosulfides
Abstract
:1. Introduction
2. Results and Discussion
2.1. In Silico Studies
2.2. Reducing Activity of Compounds
2.3. Ferrous Ions (Fe2+) Chelating Activity (FIC)
2.4. Superoxide Anion Radical Scavenging Activity
2.5. Evaluation of Lipoxygenase Inhibition
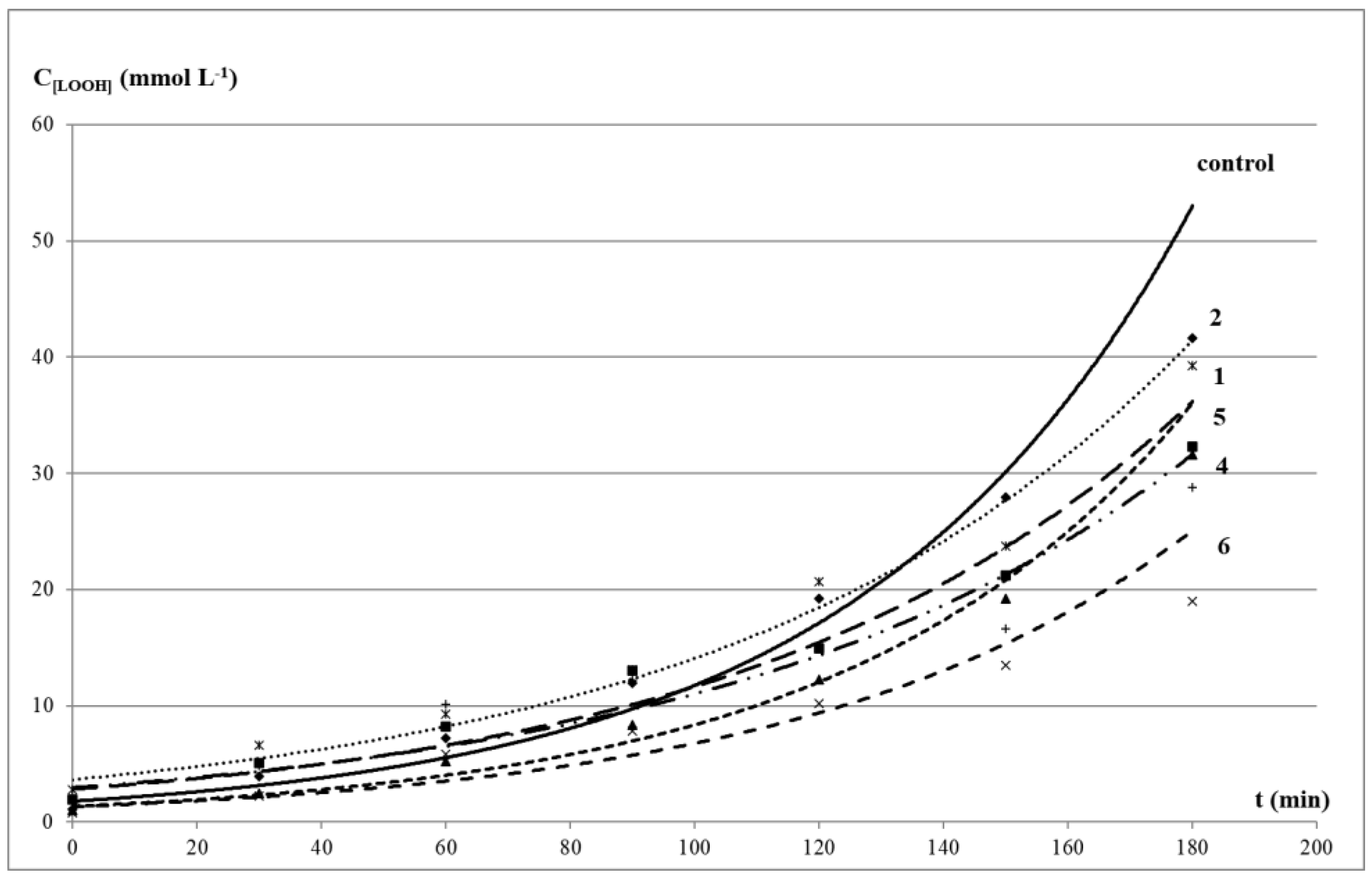
2.6. Determination of Rate of Non-Enzymatic Peroxide Oxidation of Oleic Acid
2.7. Determination of the Accumulation Level for TBARS in the Liver Homogenate of Russian Sturgeon
2.8. Evaluation of the In Vitro Anticancer Activity
2.9. Apoptosis Induction and Cell Cycle Analysis
2.10. Pearson’s Correlation Analysis
3. Materials and Methods
3.1. General Procedures and Syntheses
3.2. In Silico Studies
3.3. DPPH Radical Scavenging Activity
3.4. Cupric Reducing Antioxidant Capacity (CUPRAC Assay)
3.5. Ferric Reducing Antioxidant Power (FRAP Assay)
3.6. Ferrous Ions (Fe2+) Chelating Activity (FIC)
3.7. Inhibition of Superoxide Radical Anion Formation by Xanthine Oxidase (NBT Assay)
3.8. SOD-Protective Activity and Pro-/Antioxidant Activity
3.9. Lipoxygenase Activity
3.10. Determination of LOOH and TBARS Concentrations in Oleic Acid
3.11. Determination of TBARS Accumulation in the Russian Sturgeon Liver Homogenate
3.12. MTT-Test
3.13. Annexin V/Dead Cell Assay and Cell Cycle Analysis
3.14. Statistical Analysis
4. Conclusions
Author Contributions
Funding
Institutional Review Board Statement
Informed Consent Statement
Data Availability Statement
Conflicts of Interest
Sample Availability
References
- Kaushik, C.P.; Sangwan, J.; Luxmi, R.; Kumar, D.; Kumar, D.; Das, A.; Kumar, A.; Singh, D. Design, synthesis, anticancer and antioxidant activities of amide linked 1,4-disubstituted 1,2,3-triazoles. J. Mol. Struct. 2021, 1226, 129255. [Google Scholar] [CrossRef]
- Torre, L.A.; Bray, F.; Siegel, R.L.; Ferlay, J.; Lortet-Tieulent, J.; Jemal, A. Global cancer statistics, 2012. CA Cancer J. Clin. 2015, 65, 87–108. [Google Scholar] [CrossRef] [PubMed] [Green Version]
- Neha, K.; Haider, R.; Pathak, A.; Yar, M.S. Medicinal prospects of antioxidants: A review. Eur. J. Med. Chem. 2019, 178, 687–704. [Google Scholar] [CrossRef] [PubMed]
- Trachootham, D.; Alexandre, J.; Huang, P. Targeting cancer cells by ROS mediated mechanisms: A radical therapeutic approach? Nat. Rev. Drug. Discov. 2009, 8, 579–591. [Google Scholar] [CrossRef]
- Wang, J.; Yi, J. Cancer cell killing via ROS: To increase or decrease, that is the question. Cancer Biol. Ther. 2008, 7, 1875–1884. [Google Scholar] [CrossRef]
- D’Andrea, G.M. Use of antioxidants during chemotherapy and radiotherapy should be avoided. CA Cancer J. Clin. 2005, 55, 319–321. [Google Scholar] [CrossRef]
- Mohapatra, P.; Singh, P.; Sahoo, S.K. Phytonanomedicine: A novel avenue to treat recurrent cancer by targeting cancer stem cells. Drug Discov. 2020, 25, 1307–1321. [Google Scholar] [CrossRef]
- Diniyah, N.; Alam, M.B.; Lee, S.-H. Antioxidant potential of non-oil seed legumes of Indonesian’s ethnobotanical extracts. Arab. J. Chem. 2020, 13, 5208–5217. [Google Scholar] [CrossRef]
- Stefanucci, A.; Dimmito, M.P.; Tenore, G.; Pieretti, S.; Minosi, P.; Zengin, G.; Sturaro, C.; Calò, G.; Novellino, E.; Cichelli, A.; et al. Plant-derived peptides rubiscolin-6, soymorphin-6 and their c-terminal amide derivatives: Pharmacokinetic properties and biological activity. J. Funct. Foods 2020, 73, 104154. [Google Scholar] [CrossRef]
- Adewole, K.E. Nigerian antimalarial plants and their anticancer potential: A review. J. Integr. Med. 2020, 38, 301–302. [Google Scholar] [CrossRef]
- Ruhee, R.T.; Roberts, L.A.; Ma, S.; Suzuki, K. Organosulfur Compounds: A review of their anti-inflammatory effects in human health. Front. Nutr. 2020, 7, 64. [Google Scholar] [CrossRef] [PubMed]
- Zhao, C.; Rakesh, K.P.; Ravidar, L.; Fang, W.-Y.; Qin, H.-L. Pharmaceutical and medicinal significance of sulfur (SVI)-containing motifs for drug discovery: A critical review. Eur. J. Med. Chem. 2019, 162, 679–734. [Google Scholar] [CrossRef] [PubMed]
- Kimura, H. Physiological roles of hydrogen sulfide and polysulfides. In Chemistry, Biochemistry and Pharmacology of Hydrogen Sulfide; Springer: Cham, Switzerland, 2015; Volume 230, pp. 61–81. [Google Scholar] [CrossRef]
- Kazemi, M.; Sajjadifar, S.; Aydi, A.; Heydari, M.M. Biological and pharmaceutical organosulfur molecules. J. Med. Chem. Sci. 2018, 1, 1–4. [Google Scholar] [CrossRef]
- Zoghbi, M.G.B.; Andrade, E.H.A.; Maia, J.G.S. Volatile constituents from Adenocalymma alliaceum miers and Petiveria alliacea L. two medicinal herbs of the Amazon. Flavour Fragr. J. 2002, 17, 133–135. [Google Scholar] [CrossRef]
- Nicastro, H.L.; Ross, S.A.; Milner, J.A. Garlic and onions: Their cancer prevention properties. Cancer Prev. Res. 2015, 8, 181–189. [Google Scholar] [CrossRef] [Green Version]
- Nakagawa, H.; Tsuta, K.; Kiuchi, K.; Senzaki, H.; Tanaka, K.; Hioki, K.; Tsubura, A. Growth inhibitory effects of diallyl disulfide on human breast cancer cell lines. Carcinogenesis 2001, 32, 891–897. [Google Scholar] [CrossRef] [PubMed] [Green Version]
- Hong, Y.S.; Ham, Y.A.; Choi, J.H.; Kim, J. Effects of allyl sulfur compounds and garlic extract on the expression of Bcl-2, Bax, and p53 in non-small cell lung cancer cell lines. Exp. Mol. Med. 2000, 32, 127–134. [Google Scholar] [CrossRef]
- Bottone, J.F.G.; Baek, S.J.; Nixon, J.B.; Eling, T.E. Diallyl disulfide (DADS) induces the antitumorigenic NSAID-activated gene (NAG-1) by a p53-dependent mechanism in human colorectal HCT-116 cells. J. Nutr. 2002, 132, 773–778. [Google Scholar] [CrossRef] [PubMed] [Green Version]
- Manral, A.; Saini, V.; Meena, P.; Tiwari, M. Multifunctional novel diallyl disulfide (DADS) derivatives with β-Amyloid reducing, cholinergic, antioxidant and metal chelating properties for the treatment of Alzheimer’s disease. Bioorg. Med. Chem. 2015, 23, 6389–6403. [Google Scholar] [CrossRef]
- Havasi, M.H.; Ressler, A.J.; Parks, E.L.; Cocolas, A.H.; Weaver, A.; Seeram, N.P.; Henry, G.E. Antioxidant and tyrosinase docking studies of heterocyclic sulfide derivatives containing a thymol moiety. Inorg. Chim. Acta 2020, 505, 119495. [Google Scholar] [CrossRef]
- Bhattacherjee, D.; Basu, C.; Bhardwaj, Q.; Mal, S.; Sahu, S.; Sur, R.; Bhabak, K.P. Design, synthesis and anti-cancer activities of benzyl analogues of garlic-derived diallyl disulfide (DADS) and the corresponding diselenides. ChemistrySelect 2017, 2, 7399–7406. [Google Scholar] [CrossRef]
- Saini, V.; Manral, A.; Arora, R.; Meena, P.; Gusain, S.; Saluja, D.; Tiwari, M. Novel synthetic analogs of diallyl disulfide triggers cell cycle arrest and apoptosis via ROS generation in MIA PaCa-2 cells. Curr. Pharmacol. Rep. 2017, 69, 813–821. [Google Scholar] [CrossRef] [PubMed]
- Poroikov, V.V.; Filimonov, D.A.; Ihlenfeldt, W.D.; Gloriozova, T.A.; Lagunin, A.A. PASS biological activity spectrum predictions in the enhanced open NCI database browser. J. Chem. Inf. Model. 2003, 43, 228–236. [Google Scholar] [CrossRef] [PubMed]
- Lagunin, A.A.; Dubovskaja, V.I.; Rudik, A.V.; Pogodin, P.V.; Druzhilovskiy, D.S.; Gloriozova, T.A.; Filimonov, D.A.; Sastry, G.N.; Poroikov, V.V. CLC-Pred: A freely available web-service for in silico prediction of human cell line cytotoxicity for drug-like compounds. PLoS ONE 2018, 13, e0191838. [Google Scholar] [CrossRef] [Green Version]
- Osipova, V.; Polovinkina, M.; Osipova, A.; Gracheva, Y.; Okhlobystin, A. In silico and in vitro evaluation of biological activity of some organic sulfur-containing compounds. Turk. J. Chem. 2019, 43, 1336–1349. [Google Scholar] [CrossRef]
- Gupta, D. Methods for determination of antioxidant capacity: A review. Int. J. Pharm. Sci. Res. 2015, 6, 546–566. [Google Scholar] [CrossRef]
- Esfandi, R.; Walters, M.E.; Tsopmo, A. Antioxidant properties and potential mechanisms of hydrolyzed proteins and peptides from cereals. Heliyon 2019, 5, e01538. [Google Scholar] [CrossRef] [Green Version]
- Osipova, V.; Polovinkina, M.; Gracheva, Y.; Shpakovsky, D.; Osipova, A.; Berberova, N. Antioxidant activity of some organosulfur compounds in vitro. Arab. J. Chem. 2021, 14, 103068. [Google Scholar] [CrossRef]
- Amić, A.; Marković, Z.; Marković, J.M.; Milenković, D.; Stepanić, V. Antioxidative potential of ferulic acid phenoxyl radical. Phytochemistry 2020, 170, 112218. [Google Scholar] [CrossRef]
- Kim, J.-H.; Jang, H.-J.; Cho, W.-Y.; Yeon, S.-J.; Lee, C.-H. In vitro antioxidant actions of sulfur-containing amino acids. Arab. J. Chem. 2020, 13, 1678–1684. [Google Scholar] [CrossRef]
- Bayarsaikhan, G.; Avan, A.N.; Çekiç, S.D.; Apak, R. Use of modified CUPRAC and dinitrophenylhydrazine colorimetric methods for simultaneous measurement of oxidative protein damage and antioxidant defense against oxidation. Talanta 2019, 204, 613–625. [Google Scholar] [CrossRef] [PubMed]
- Soo, H.L.; Quah, S.Y.; Sulaiman, I.; Sagineedu, S.R.; Lim, J.C.W.; Stanslas, J. Advances and challenges in developing andrographolide and its analogues as cancer therapeutic agents. Drug. Discov. 2019, 24, 1890–1898. [Google Scholar] [CrossRef] [PubMed]
- Viuda-Martos, M.; Ruiz Navajas, Y.; Sánchez Zapata, E.; Fernández-López, J.; Pérez-Álvarez, J.A. Antioxidant activity of essential oils of five spice plants widely used in a Mediterranean diet. Flavour Fragr. J. 2010, 25, 13–19. [Google Scholar] [CrossRef]
- Santos, J.S.; Brizola, V.R.A.; Granato, D. High-throughput assay comparison and standardization for metal chelating capacity screening: A proposal and application. Food Chem. 2017, 214, 515–522. [Google Scholar] [CrossRef]
- Udovic, M.; Lestan, D. Redistribution of residual Pb, Zn, and Cd in soil remediated with EDTA leaching and exposed to earthworms (Eisenia fetida). Environ. Technol. 2010, 31, 655–669. [Google Scholar] [CrossRef]
- Phaniendra, A.; Jestadi, D.B.; Periyasamy, L. Free radicals: Properties, sources, targets, and their implication in various diseases. Indian J. Clin. Biochem. 2015, 30, 11–26. [Google Scholar] [CrossRef] [Green Version]
- Uchi, J.; Jhun, B.S.; Mishra, J.; Sheu, S.-S. Organellar Ion Channels and Transporters. In Cardiac Electrophysiology: From Cell to Bedside; Elsevier: Amsterdam, The Netherlands, 2018; Volume 7, pp. 66–79. [Google Scholar] [CrossRef]
- Costa, T.J.; Barros, P.R.; Arce, C.; Santos, J.D.; da Silva-Neto, J.; Egea, G.; Dantas, A.P.; Tostes, R.C.; Jiménez-Altayó, F. The homeostatic role of hydrogen peroxide, superoxide anion and nitric oxide in the vasculature. Free Radic. Biol. Med. 2021, 162, 615–635. [Google Scholar] [CrossRef]
- Greabu, M.; Battino, M.; Mohora, M.; Olinescu, R.; Totan, A.; Didilescu, A. Oxygen, a paradoxical element? Rom. J. Intern. Med. 2008, 46, 125–135. [Google Scholar]
- Maya-Cano, D.A.; Arango-Varela, S.; Santa-Gonzalez, G.A. Phenolic compounds of blueberries (Vaccinium spp.) as a protective strategy against skin cell damage induced by ROS: A review of antioxidant potential and antiproliferative capacity. Heliyon 2021, 7, e06297. [Google Scholar] [CrossRef] [PubMed]
- Winiarska-Mieczan, A.; Kwiecień, M.; Mieczan, T.; Kwiatkowska, K.; Jachimowicz, K. The effect of Cu, Zn and Fe chelates on the antioxidative status of thigh meat of broiler chickens. Animal 2021, 15, 100367. [Google Scholar] [CrossRef]
- Nimse, S.B.; Pal, D. Free radicals, natural antioxidants, and their reaction mechanisms. RSC Adv. 2015, 5, 27986–28006. [Google Scholar] [CrossRef] [Green Version]
- Polovinkina, M.A.; Kolyada, M.N.; Osipova, V.P.; Berberova, N.T.; Chukicheva, I.Y.; Shumova, O.A.; Kutchin, A.V. The redox properties and antiradical activity of terpenophenols. Dokl. Chem. 2019, 484, 48–51. [Google Scholar] [CrossRef]
- Sirota, T.V. Involvement of carbonate/bicarbonate ions in the superoxide generating reaction of adrenaline autooxidation. Biol. Chem. 2015, 61, 115–124. [Google Scholar] [CrossRef]
- Wang, T.; Fu, X.; Chen, Q.; Patra, J.K.; Wang, D.; Wang, Z.; Gai, Z. Arachidonic acid metabolism and kidney inflammation. Int. J. Mol. Sci. 2019, 20, 3683. [Google Scholar] [CrossRef] [PubMed] [Green Version]
- Simin, N.; Orcic, D.; Cetojevic-Simin, D.; Mimica-Dukic, N.; Anackov, G.; Beara, I.; Bozin, B. Phenolic profile, antioxidant, anti-inflammatory and cytotoxic activities of small yellow onion (Allium flavum L. subsp. flavum, Alliaceae). LWT 2013, 54, 139–146. [Google Scholar] [CrossRef]
- Putnik, P.; Gabrić, D.; Roohinejad, S.; Barba, F.J.; Granato, D.; Mallikarjunan, K.; Lorenzo, J.M.; Kovačević, D.B. An overview of organosulfur compounds from Allium spp.: From processing and preservation to evaluation of their bioavailability, antimicrobial, and anti-inflammatory properties. Food Chem. 2018, 276, 680–691. [Google Scholar] [CrossRef] [PubMed]
- Waris, G.; Ahsan, H. Reactive oxygen species: Role in the development of cancer and various chronic conditions. J. Carcinog. 2006, 5, 14. [Google Scholar] [CrossRef] [PubMed]
- Tsai, M.-C.; Huang, T.-L. Thiobarbituric acid reactive substances (TBARS) is a state biomarker of oxidative stress in bipolar patients in a manic phase. J. Affect. Disord. 2015, 173, 22–26. [Google Scholar] [CrossRef] [PubMed]
- Porter, N.A.; Mills, K.A.; Carter, R.L. A mechanistic study of oleate autoxidation: Competing peroxyl H-atom abstraction and rearrangement. J. Am. Chem. Soc. 1994, 116, 6690–6696. [Google Scholar] [CrossRef]
- Osipova, V.P.; Polovinkina, M.A.; Telekova, L.R.; Velikorodov, A.V.; Stepkina, N.N.; Berberova, N.T. Synthesis and antioxidant activity of new hydroxy derivatives of chalcones. Russ. Chem. Bull. 2020, 69, 504–509. [Google Scholar] [CrossRef]
- Pyszková, M.; Biler, M.; Biedermann, D.; Valentová, K.; Kuzma, M.; Vrba, J.; Ulrichová, J.; Sokolová, R.; Mojović, M.; Popović-Bijelić, A.; et al. Flavonolignan 2,3-dehydroderivatives: Preparation, antiradical and cytoprotective activity. Free Radic. Biol. Med. 2016, 90, 114–125. [Google Scholar] [CrossRef]
- Chauvin, J.-P.; Griesser, M.; Pratt, D.A. The antioxidant activity of polysulfides: It’s radical! Chem. Sci. 2019, 19, 4999–5010. [Google Scholar] [CrossRef] [PubMed] [Green Version]
- Prosenko, A.E.; Terakh, E.I.; Gorokh, E.A.; Nikulina, V.V.; Grigorév, I.A. Synthesis and antioxidant properties of bis[3-(3,5-dialkyl-4-hydroxyphenyl)alkyl] sulfides. Russ. J. Appl. Chem. 2003, 76, 248–252. [Google Scholar] [CrossRef]
- Somerharju, P.; Virtanen, J.A.; Cheng, K.H. Lateral organisation of membrane lipids. The superlattice view. BBA 1999, 1440, 32–48. [Google Scholar] [CrossRef]
- Rao, P.S.; Kalva, S.; Yerramilli, A.; Mamidi, S. Free radicals and tissue damage: Role of antioxidants. Free Radic. Antioxid. 2011, 1, 2–7. [Google Scholar] [CrossRef]
- Simunkova, M.; Barbierikova, Z.; Jomova, K.; Hudecova, L.; Lauro, P.; Alwasel, S.H.; Alhazza, I.; Rhodes, C.J.; Valko, M. Antioxidant vs. prooxidant properties of the flavonoid, kaempferol, in the presence of Cu(II) ions: A ROS-scavenging activity, fenton reaction and DNA damage study. Int. J. Mol. Sci. 2021, 22, 1619. [Google Scholar] [CrossRef]
- Jomová, L.; Hudecova, L.; Lauro, P.; Simunkova, M.; Alwasel, S.H.; Alhazza, I.M.; Valko, M. A Switch between antioxidant and prooxidant properties of the phenolic compounds myricetin, morin, 3′,4′-dihydroxyflavone, taxifolin and 4-hydroxy-coumarin in the presence of Copper(II) ions: A spectroscopic, absorption titration and DNA damage study. Molecules 2019, 23, 4335. [Google Scholar] [CrossRef] [Green Version]
- Strebhardt, K.; Ullrich, A. Paul Ehrlich’s magic bullet concept: 100 years of progress. Nat. Rev. Cancer 2008, 8, 473. [Google Scholar] [CrossRef]
- Nie, Z.; Liu, K.J.; Zhong, C.-J.; Wang, L.-F.; Yang, Y.; Tian, Q.; Liu, Y. Enhanced radical scavenging activity by antioxidant-functionalized gold nanoparticles: A novel inspiration for development of new artificial antioxidants. Free Radic. Biol. Med. 2007, 43, 1243–1254. [Google Scholar] [CrossRef]
- Smith, M.; Hunter, R.; Stellenboom, N.; Kusza, D.A.; Parker, M.I.; Hammouda, A.N.; Jackson, G.; Kaschula, C.H. The cytotoxicity of garlic-related disulphides and thiosulfonates in WHCO1 oesophageal cancer cells is dependent on S-thiolation and not production of ROS. BBA 2016, 1860, 1439–1449. [Google Scholar] [CrossRef]
- Kaschula, C.H.; Hunter, R.; Hassan, H.T.; Stellenboom, N.; Cotton, J.; Zhai, X.Q.; Parker, M.I. Anti-Proliferative Activity of Synthetic Ajoene Analogues on Cancer Cell Lines. Anti-Cancer Agent. Med. Chem. 2011, 11, 260–266. [Google Scholar] [CrossRef] [PubMed]
- Block, E.; Ahmad, S.; Catalfamo, J.L.; Jain, M.K.; Apitz-Castro, R. The chemistry of alkyl thiosulfinate esters. 9. Antithrombotic organosulfur compounds from garlic: Structural, mechanistic, and synthetic studies. J. Am. Chem. Soc. 1986, 108, 7045–7055. [Google Scholar] [CrossRef]
- Siyo, V.; Schäfer, G.; Hunter, R.; Grafov, A.; Grafova, I.; Nieger, M.; Katz, A.A.; Parker, M.I.; Kaschula, C.H. The Cytotoxicity of the Ajoene Analogue BisPMB in WHCO1 Oesophageal Cancer Cells Is Mediated by CHOP/GADD153. Molecules 2017, 22, 892. [Google Scholar] [CrossRef] [Green Version]
- Shpakovsky, D.B.; Banti, C.N.; Mukhatova, E.M.; Gracheva, Y.A.; Osipova, V.P.; Berberova, N.T.; Albov, D.V.; Antonenko, T.A.; Aslanov, L.A.; Milaeva, E.R.; et al. Synthesis, antiradical activity and in vitro cytotoxicity of novel organotin complexes based on 2,6-di-tert-butyl-4-mercaptophenol. Dalton Trans. 2014, 43, 6880–6890. [Google Scholar] [CrossRef]
- Antonenko, T.A.; Gracheva, Y.A.; Shpakovsky, D.B.; Vorobyev, M.A.; Tafeenko, V.A.; Mazur, D.M.; Milaeva, E.R. Cytotoxic activity of organotin compounds containing non-steroidal anti-inflammatory drugs. J. Organomet. Chem. 2022, 960, 122191. [Google Scholar] [CrossRef]
- Lesaffre, E.; Feine, J.; Leroux, B.; Declerck, D. Statistical and Methodological Aspects of Oral Health Research; John Wiley & Sons Ltd.: Cornwall, UK, 2009; p. 410. [Google Scholar]
- Mueller, E.; Stegmann, H.B.; Scheffler, K. Ober Sauerstoffradikale, XXI Untersuchungen an schwefelhaltigenar oxylen Mittels der elektronenresonanz. Liebigs Ann. Chem. 1961, 645, 79–91. [Google Scholar] [CrossRef]
- Vineyard, B.D. Mercaptan-sulfur reaction. Alkyl trisulfides. J. Org. Chem. 1966, 31, 601. [Google Scholar] [CrossRef]
- Ali, M.H.; McDermott, M. Oxidation of thiols to disulfides with molecular bromine on hydrated silica gel support. Tetrahedron Lett. 2002, 43, 6271–6273. [Google Scholar] [CrossRef]
- Zysman-Colman, E.; Harpp, D.N. Optimization of the Synthesis of Symmetric Aromatic Tri- and Tetrasulfides. J. Org. Chem. 2003, 68, 2487–2489. [Google Scholar] [CrossRef]
- Colichman, E.L.; Love, D.L. Polarographic study of various diphenyl disulfides. JACS 1953, 75, 5736–5737. [Google Scholar] [CrossRef]
- Brand-Williams, W.; Cuvelier, M.E.; Berset, C. Use of a free radical method to evaluate antioxidant activity. Food Sci. Technol. 1995, 28, 25–30. [Google Scholar] [CrossRef]
- Apak, R.; Guclu, K.; Ozyurek, M.; Karademir, S.E. Novel Total Antioxidant Capacity index for dietary polyphenols and vitamins c and e, using their cupricion reducing capability in the presence of neocuproine: CUPRAC method. J. Agric. Food Chem. 2004, 52, 7970–7981. [Google Scholar] [CrossRef] [PubMed]
- Sadeer, N.B.; Montesano, D.; Albrizio, S.; Zengin, G.; Mahomoodally, M.F. The Versatility of antioxidant assays in food science and safety-chemistry, applications, strengths, and limitations. Antioxidants 2020, 9, 709. [Google Scholar] [CrossRef]
- Dinis, T.C.; Madeira, V.M.; Almeida, L.M. Action of phenolic derivatives (acetaminophen, salicylate, and 5-aminosalicylate) as inhibitors of membrane lipid peroxidation and as peroxyl radical scavengers. Arch. Biochem. Biophys. 1994, 315, 161–169. [Google Scholar] [CrossRef]
- Toda, S.; Kumura, M.; Ohnishi, M. Effects of phenolcarboxylic acids on superoxide anion and lipid peroxidation induced by superoxide anion. Planta Med. 1991, 57, 8–10. [Google Scholar] [CrossRef] [PubMed]
- Sirota, T.V. The effect of fixed valence metal ions on the free radical process of epinephrine autoxidation. Biophysics 2016, 61, 17–21. [Google Scholar] [CrossRef]
- Ozturk, I.; Filimonova, S.; Hadjikakou, S.K.; Kourkoumelis, N.; Dokorou, V.; Manos, M.J.; Tasiopoulos, A.; Barsan, M.M.; Butler, I.S.; Milaeva, E.R.; et al. Structural motifs and biological studies of new antimony(iii) iodide complexes with thiones. Inorg. Chem. 2010, 49, 488–501. [Google Scholar] [CrossRef] [Green Version]
- Xanthopoulou, M.N.; Hadjikakou, S.K.; Hadjiliadis, N.; Milaeva, E.R.; Gracheva, J.A.; Tyurin, V.Y.; Kourkoumelis, N.; Christoforidis, K.C.; Metsios, A.K.; Karkabounas, S.; et al. Biological studies of new organotin(IV) complexes of thioamide ligands. Europ. J. Med. Chem. 2008, 43, 327–335. [Google Scholar] [CrossRef]
- Emanuel, N.M. Kinetics and mechanism of chain reactions of liquid-phase oxidation of hydrocarbons. Bull. Acad. Sci. USSR Div. Chem. Sci. 1974, 23, 1010–1023. [Google Scholar] [CrossRef]
- Stroev, E.A.; Makarova, V.G.; Matveeva, I.V. Praktikum po Biologicheskoi Khimii: Uchebnoe Posobie (Practicum in Biological Chemistry: Tutorial); Meditsinskoe Informatsionnoe Agenstvo: Moscow, Russia, 2012; p. 384. [Google Scholar]
- Antonova, N.A.; Kolyada, M.N.; Osipova, V.P.; Pimenov, Y.T.; Berberova, N.T.; Tyurin, V.Y.; Gracheva, Y.A.; Milaeva, E.R. Study of the antioxidant properties of phosphorylated phenols. Dokl. Chem. 2008, 419, 62–64. [Google Scholar] [CrossRef]
- Niks, M.; Otto, M. Towards an optimized MTT assay. J. Immunol. Methods 1990, 130, 149–151. [Google Scholar] [CrossRef]







| Activity | Compounds | ||||||
|---|---|---|---|---|---|---|---|
| 1 | 2 | 3 | 4 | 5 [26] | 6 [26] | ||
| Oxygen scavenger | Pa | 0.590 | 0.568 | 0.558 | 0.605 | 0.621 | 0.519 |
| Pi | 0.025 | 0.030 | 0.033 | 0.022 | 0.018 | 0.044 | |
| Nitric oxide scavenger | Pa | 0.260 | 0.285 | 0.271 | 0.349 | 0.274 | 0.278 |
| Pi | 0.017 | 0.010 | 0.013 | 0.004 | 0.013 | 0.012 | |
| Free radical scavenger | Pa | 0.208 | 0.359 | 0.330 | 0.368 | 0.230 | 0.473 |
| Pi | 0.070 | 0.021 | 0.025 | 0.020 | 0.056 | 0.012 | |
| Antioxidant | Pa | 0.143 | 0.174 | 0.280 | 0.549 | ||
| Pi | 0.111 | 0.074 | 0.027 | 0.005 | |||
| Antidote | Pa | 0.205 | 0.192 | 0.169 | 0.285 | 0.228 | 0.317 |
| Pi | 0.101 | 0.117 | 0.145 | 0.039 | 0.078 | 0.027 | |
| Cytotoxicity | |||||||
| MCF-7 | Pa | 0.936 | 0.707 | 0.859 | 0.799 | 0.882 | 0.403 |
| Pi | 0.005 | 0.019 | 0.006 | 0.011 | 0.005 | 0.082 | |
| Compounds | DPPH, % | TEACCUPRAC | TEACFRAP | FIC, % of Inhibition | FIC, IC50 mM |
|---|---|---|---|---|---|
| 1 | non active | non active | 0.06 ± 0.01 | 25.8 ± 1.1 | 7.76 ± 0.02 |
| 2 | non active | non active | 0.58 ± 0.05 | 7.1 ± 0.2 | >10 |
| 3 | non active | 0.06 ± 0.01 | 7.5 ± 0.3 | >10 | |
| 4 | 13.42 ± 0.02 | 1.80 ± 0.06 | 0.69 ± 0.07 | 47.2 ± 1.5 | 5.62 ± 0.04 |
| 5 | non active | 0.10 ± 0.01 * | 0.06 ± 0.05 | 73.7 ± 2.1 * | 3.74 ± 0.02 |
| 6 | 81.56 ± 0.07 | 2.04 ± 0.05 * | 0.69 ± 0.02 | 28.9 ± 1.3 * | 6.10 ± 0.01 |
| Compounds | NBT, % Inhibition | Antiradical Activity, % Inhibition | SOD Activity of Liver Sturgeon, % Inhibition | LOOH, k0/k1 | TBARS, % Inhibition |
|---|---|---|---|---|---|
| 1 | non active | 30 ± 1.9 | 41 ± 2.7 | 0.78 ± 0.15 | 21.0 ± 0.18 |
| 2 | non active | 50 ± 3.1 | 60 ± 3.3 | 0.86 ± 0.11 | 42.9 ± 0.76 |
| 3 | 24.3 ± 0.05 | ||||
| 4 | 57.8 ± 0.07 | 36 ± 2.3 | 75 ± 5.6 | 0.61 ± 0.03 | 39.0 ± 0.49 |
| 5 | non active | 56 ± 2.9 * | 61 ± 4.8 * | 0.79 ± 0.11 ** | 24.6 ± 0.29 ** |
| 6 | non active | 37 ± 4.8 * | 85 ± 3.0 * | 0.49 ± 0.05 ** | 73.1 ± 1.30 ** |
| Compound | IC50, μM | ||||
|---|---|---|---|---|---|
| MCF-7 | SW-480 | A-549 | HCT-116 | WI-38 | |
| 1 | 37.6 ±3.7 | 23.8 ± 4.5 | 43.6 ± 10.1 | 18.8 ± 1.4 | 52.7 ± 8.5 |
| 2 | 30.5 ± 5.2 | 22.4 ± 3.8 | 29.6 ± 7.5 | 24.4 ± 2.3 | 31.9 ± 5.2 |
| 3 | 37.7 ± 2.7 | 21.7 ± 2.4 | 15.5 ± 3.4 | 18.9 ± 2.1 | 32.8 ± 5.4 |
| 4 | 45.3 ± 3.1 | 39.4 ± 7.9 | 29.7 ± 6.1 | 22.0 ± 1.5 | 28.7 ± 5.3 |
| 5 | 34.8 ± 12.2 | 30.6 ± 5.6 | 39.2 ± 8.7 | 22.1 ± 1.7 | 33.7 ± 9.1 |
| 6 | >50 | >50 | >50 | >50 | 115 ± 75 |
| cisplatin | >30 | 17.6 ± 5.4 | 20.1 ± 5.6 | 9.1 ± 2.3 | |
| doxorubicine | 0.28 ± 0.03 | 0.45 ± 0.06 | 0.24± 0.02 | 0.65 ± 0.05 | |
| Antiradical Activity O2–• | SOD-Protective Activity | LOOH in Oleic Acid | CUPRAC | FIC | FRAP | MCF-7 | SW-480 | A-549 | |
|---|---|---|---|---|---|---|---|---|---|
| SOD-protective activity | −0.5725 | ||||||||
| LOOH in oleic acid | −0.4721 | 0.4041 | |||||||
| CUPRAC | 0.3379 | 0.0013 | −0.9380 | ||||||
| FIC | −0.1243 | −0.2462 | −0.7742 | 0.9595 | |||||
| FRAP | 0.5348 | 0.2016 | −0.5724 | 0.9935 | 0.1910 | ||||
| MCF-7 | 0.7123 | −0.6863 | −0.9076 | 0.7481 | 0.5901 | 0.5062 | |||
| SW-480 | 0.7566 | −0.6695 | −0.9099 | 0.7716 | 0.5959 | 0.5287 | 0.9884 | ||
| A-549 | 0.7188 | −0.8636 | −0.7703 | 0.6538 | 0.6323 | 0.2823 | 0.9225 | 0.9350 | |
| HCT-116 | 0.8338 | −0.7431 | −0.8063 | 0.6635 | 0.4731 | 0.4977 | 0.9760 | 0.9769 | 0.9444 |
Publisher’s Note: MDPI stays neutral with regard to jurisdictional claims in published maps and institutional affiliations. |
© 2022 by the authors. Licensee MDPI, Basel, Switzerland. This article is an open access article distributed under the terms and conditions of the Creative Commons Attribution (CC BY) license (https://creativecommons.org/licenses/by/4.0/).
Share and Cite
Osipova, V.; Gracheva, Y.; Polovinkina, M.; Burmistrova, D.; Berberova, N. Antioxidant Activity and Cytotoxicity of Aromatic Oligosulfides. Molecules 2022, 27, 3961. https://doi.org/10.3390/molecules27123961
Osipova V, Gracheva Y, Polovinkina M, Burmistrova D, Berberova N. Antioxidant Activity and Cytotoxicity of Aromatic Oligosulfides. Molecules. 2022; 27(12):3961. https://doi.org/10.3390/molecules27123961
Chicago/Turabian StyleOsipova, Victoria, Yulia Gracheva, Maria Polovinkina, Daria Burmistrova, and Nadezhda Berberova. 2022. "Antioxidant Activity and Cytotoxicity of Aromatic Oligosulfides" Molecules 27, no. 12: 3961. https://doi.org/10.3390/molecules27123961
APA StyleOsipova, V., Gracheva, Y., Polovinkina, M., Burmistrova, D., & Berberova, N. (2022). Antioxidant Activity and Cytotoxicity of Aromatic Oligosulfides. Molecules, 27(12), 3961. https://doi.org/10.3390/molecules27123961

