Antiviral Activity of Jamaican Medicinal Plants and Isolated Bioactive Compounds
Abstract
1. Introduction
2. Jamaican Plants with Medicinal Potential
3. Jamaican Plants with Major Antiviral Activity
3.1. Ball Moss/ “Old Man’s Beard” (Tillandsia recurvata L.)
3.2. Aloe vera (L.) Burm. f. (Aloe barbadensis Miller)
3.3. Ganja (Cannabis sativa L.)
3.3.1. Cannabidiol (CBD) and HIV/AIDS
3.3.2. Cannabidiol (CBD) and Hepatitis Viruses
3.3.3. Caflanone (a Non-Cannabinoid Secondary Metabolite Found in C. sativa L.)
3.3.4. Terpenoids of Cannabis Sativa L. as Antiviral Agents
4. Guinea Hen Weed (Petiveria alliacea L.)
5. Ginger (Zingiber Officinale Roscoe)
6. Turmeric (Curcuma Longa L.)
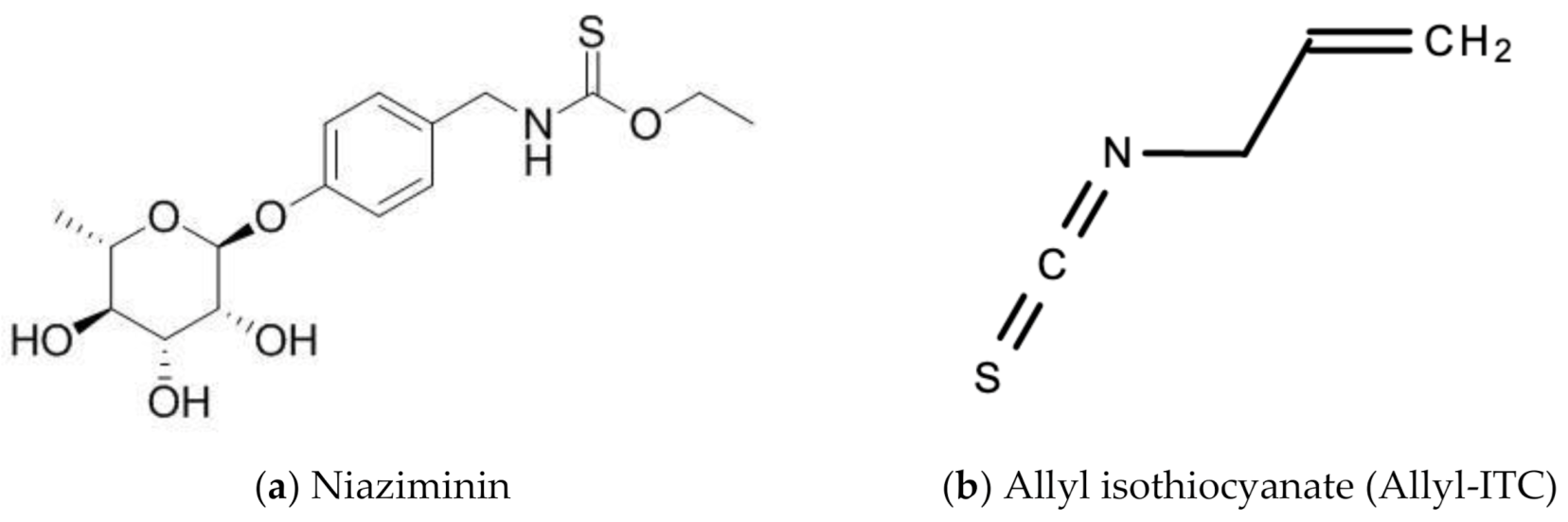
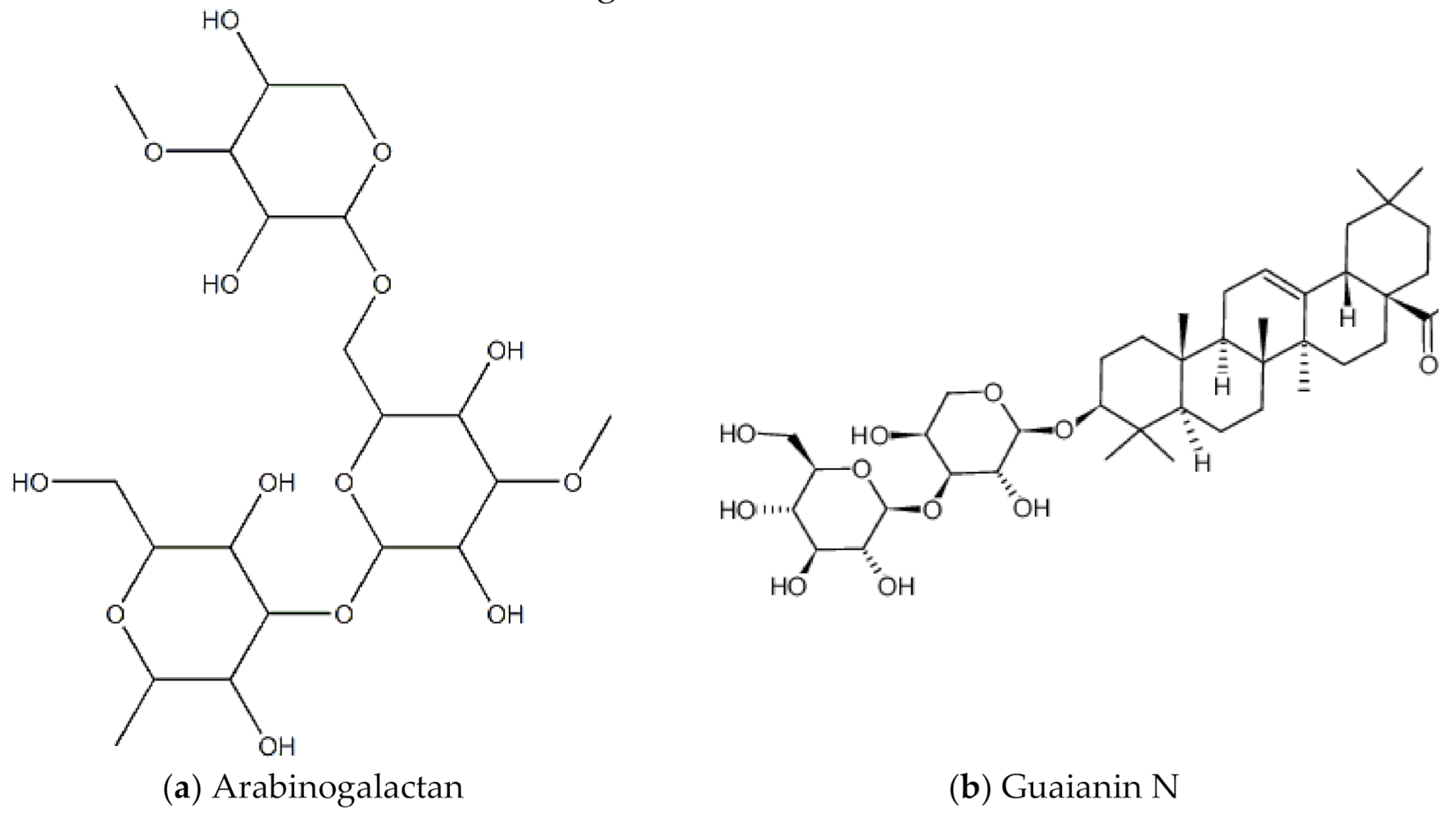
7. Moringa (Moringa oleifera Lam.)
8. Lignum Vitae (Guaiacum officinale L.)
9. Garlic (Allium sativum L.)
10. Sorrel (Hibiscus sabdariffa L.)
| Plant | Origin | Anti-Viral Window | Part of Plant Used to Make Preparation | Method of Preparation/Admin | Proposed Antiviral Mechanism (s) | |
|---|---|---|---|---|---|---|
| 1. | Ginger (Zingiber officinale Roscoe) | Native to Asia. Cultivated widely in Jamaica. | Anti-viral activity against the respiratory syncytial virus (RSV) [46], hepatitis C virus (HCV) [47], common cold (anecdotal), and the human influenza viruses (anecdotal). | Root Nodule/Rhizome | Decoction made from 1 tsp or ~1 inch of fresh root nodule brewed in 1 cup of water. Steep for ~10 min. Sweeten as desired. This is to treat the common cold and flu. | Inhibition of viral attachment and internalization via stimulation of mucosal cells of the respiratory tract to secrete interferon-β (IFN-β) [46]. |
| 2. | Turmeric (Curcuma longa L.) | Cultivated (Not indigenous to Jamaica) | Anti-viral activity againsthepatitis C virus (HCV), Epstein–Barr virus (EBV) [50], HIV-1 [51], human influenza viruses- H1N1, H6N6 [53], parainfluenza viruses 1, 2 and 3 [53], vesicular stomatitis virus (VSV) [53] and respiratory syncytial virus [53]. | Root Nodule/Rhizome | Decoction made from 1 tsp or ~1 inch of fresh root nodule brewed in 1 cup of water. Steep for ~10 min. Sweeten as desired. This is to treat the common cold and flu. | Inhibition of Epstein–Barr virus BZLF1 transcription in Raji DR-LUC cells [50]. Inhibition of HIV-1 integrase [51]. |
| 3. | Ball Moss/ “Old Man’s Beard” (Tillandsia recurvata L.) | Indigenous to Jamaica | Anti-viral activity against HIV [17,18,19], common cold (anecdotal),and flu (anecdotal) | Leaf (Fresh or dried) | Decoction made from 1 tsp or ~1 inch of fresh root nodule brewed in 1 cup of water. Steep for ~10 min. Sweeten as desired. This is to treat the common cold and flu. | Mechanism of antiviral activity unknown. |
| 4. | A. vera (Aloe barbadensis Miller) | Cultivated (Not indigenous to Jamaica) | Anti-viral activity against the human influenza viruses [21,22], varicella-zoster virus (VZV) [22], cytomegalovirus (CMV) [22], pseudorabies virus [22], herpes simplex virus types 1 and 2 (HSV-1 and -2) [24,25], and common cold (anecdotal) | Inner-leaf, gel-like pulp. | Juice made of inner gel-like pulp. This is to treat the common cold and flu. | Partial destruction of the virus’ envelope (herpes simplex virus types 1 and 2, varicella-zoster virus, pseudorabies virus, and the influenza virus) [22]. Inhibition of HSV-2 attachment and post-attachment processes, and entry into Vero cells [25]. |
| 5. | Ganja (Cannabis sativa L.) | Cultivated (Not indigenous to Jamaica. Indigenous to Central Asia) | Anti-viral activity against HIV/AIDS wasting syndrome [33], hepatitis viruses [35], human coronavirus [34], and common cold (anecdotal). | Leaf (Fresh or dried) | Decoction made of 1–2 tsp of dried leaves brewed in 1 cup of water. Steep for ~10 min. Sweeten as desired. This is to treat the common cold and flu. | Cannabidiol (CBD) inhibits replication of hepatitis B and C viruses [35]. CBD also inhibits the pathogenesis of autoimmune hepatitis by inducing the apoptosis of thymocytes and splenocytes [35]. Caflanone inhibits the human coronavirus (hCov-OC43) via inhibition of the Angiotensin-converting enzyme 2 (ACE2) receptor found in the lung and respiratory tract [31]. |
| 6. | Guinea Hen Weed (Petiveria alliacea L.) | Cultivated (Not indigenous to Jamaica. Native to Central and South America) | Anti-viral activity against HIV [40], common cold (anecdotal), human influenza viruses (anecdotal), and hepatitis C virus (HCV) [42]. | Whole plant (roots stem, and leaves (fresh or dried) | Decoction made of 1–2 tsp of dried leaves brewed in 1 cup of water. Steep for ~10 min. Sweeten as desired. This is for the common cold and flu. | DTS inhibits HIV-1 activity is by inhibition of the reverse transcript-tase (RT) activity of the HIV-1 virus [40]. |
| 7. | Moringa (Moringa oleifera Lam.) | Cultivated (Not indigenous to Jamaica. Native to South Asia) | Anti-viral activity against the human influenza viruses (anecdotal), HSV-1 and 2 [56], Epstein–Barr Virus (EBV) [58], and hepatitis B virus (HBV) [59]. | Leaf (primarily dried) | Decoction made of 1–2 tsp of dried leaves brewed in 1 cup of water. Steep for ~10 min. Sweeten as desired. This is for the common cold and flu. | The antiviral mechanism of action is unknown. |
| 8. | Lignum Vitae (Guaiacum officinale L.) | Cultivated (Native to the Caribbean) | Anti-viral activity against HIV [61], common cold (anecdotal), and flu (anecdotal). | Flowers, Leaves (fresh or dried), Powdered bark, | Decoction made of 1–2 tsp of dried leaves brewed in 1 cup of water. Steep for ~10 min. Sweeten as desired. This is for the common cold and flu. | The antiviral mechanism of action is unknown. |
| 9. | Garlic (Allium sativum L.) | Cultivated (Native to Asia) | Anti-viral activity against the human influenza viruses (anecdotal), parainfluenza virus type 3, HSV-1 and -2 [64], and common cold (anecdotal). | - Raw bulb (most effective), Cooked, Supplement, or garlic extract. | Eat or cook raw bulb (2–3) to combat the common cold and flu viruses. | The antiviral mechanism of action is unknown. |
| 10. | Sorrel (Hibiscus sabdariffa L.) | Cultivated (Not native to Jamaica) | Anti-viral activity against HSV-2 virus [73], and human influenza viruses [74], Common cold (anecdotal), | Calyx | Juice made from calyx. Calyx is left to brew overnight in boiled water, cooled and strained, then sweetened to taste. | The antiviral mechanism of action is unknown. |
| 11. | “Search-mi-heart” (Rhytidophyllum tomentosum (L.) Mart. | Cultivated. Native to South America and the Caribbean | Common cold and flu (anecdotal) | Leaf (primarily dried) | Decoction made of 1–2 tsp of dried leaves brewed in 1 cup of water. Steep for ~10 min. Sweeten as desired. | The antiviral mechanism of action is unknown. |
| 12. | Pepper elder (Piper amalago L.) | Cultivated (Not native to Jamaica) | Common cold and flu (anecdotal) | Fresh Leaves | Decoction made of 1–2 tsp of dried leaves brewed in 1 cup of water. Steep for ~10 min. Sweeten as desired. | The antiviral mechanism of action is unknown. |
| 13. | McKatty Weed/Marigold (Bidens reptans (L.) G.Don | Cultivated (Not native to Jamaica) | Common cold and flu (anecdotal) | Flowers and/or Leaves (primarily dried) | Decoction made of 1 tbsp of dried leaves brewed in 1 cup of water. Steep for ~10 min. Sweeten as desired. | The antiviral mechanism of action is unknown. |
| 14. | Chany Root a.k.a. Jamaican Sasparilla (Smilax balbisiana Kunth) | Native to Jamaica | Common cold and flu (anecdotal) | Root | Decoction or tonic made of pre-soaked roots brewed in 1 cup of water. Steep for ~10 min. Sweeten as desired. | The antiviral mechanism of action is unknown. |
| 15. | Lemongrass/Fevergrass(Cymbopogen citratus L.) | Cultivated (Not native to Jamaica) | Common cold and flu (anecdotal) | Leaf (Fresh or dried) | Decoction made from a handful of fever grass leaves and stems in 1 cup of water. Steep for ~10 min. Sweeten as desired. | The antiviral mechanism of action is unknown. |
| 16. | Cerasee (Momordica charantia L.) | Cultivated (Not native to Jamaica. Native to Africa and Middle East) | Common cold and flu (anecdotal) | Leaf (Fresh or dried) and stems | Decoction made from a handful of cerasee leaves and stems in 1 cup of water. Steep for ~10 min. Sweeten as desired. | The antiviral mechanism of action is unknown. |
| 17. | Soursop (Annona muricata L.) | Cultivated (Not native to Jamaica. Native to South America) | Common cold and flu (anecdotal) | Leaf (Fresh or dried) | Decoction made from 2–3 leaves in 1 cup of water. Steep for ~10 min. Sweeten as desired. | The antiviral mechanism of action is unknown. |
| 18. | Leaf of life (Bryophyllum pinnatum (Lam.) Oken | Cultivated (Not native to Jamaica. Native to Africa) | Common cold and flu (anecdotal) | Leaf (Fresh or dried) | Decoction made from 2–3 leaves in 1 cup of water. Steep for ~10 min. Sweeten as desired. | The antiviral mechanism of action is unknown. |
| 19. | Dogblood (Rivina humilis L.) | Cultivated (Not native to Jamaica) | Common cold and flu (anecdotal) | Whole plant, but primarily leaf (Fresh or dried) and stem | Decoction made of 1–2 tsp of dried leaves brewed in 1 cup of water. Steep for ~10 min. Sweeten as desired. | The antiviral mechanism of action is unknown. |
| 20. | Lime Leaf Tea (Citrus aurantiifolia (Christm.) Swingle | Cultivated (Not native to Jamaica. Native to Asia) | Common cold and flu (anecdotal) | Leaf (Fresh or dried) | Decoction made 5–6 leaves in 1 cup of water. Steep for ~10 min. Sweeten as desired. | The antiviral mechanism of action is unknown. |
| 21. | Jack-in-the-bush (Eupatorium odoratum L.) | Cultivated (Not native to Jamaica. | Common cold (anecdotal) | Leaf (Fresh or dried) and stem | Decoction made of 1–2 tsp of dried leaves brewed in 1 cup of water. Steep for ~10 min. Sweeten as desired. | The antiviral mechanism of action is unknown. |
11. Toxic Compounds and Adverse Side-Effects
12. Economic Analysis of Phytomedicines Related to Antiviral Drugs
Economic Analysis of Phytomedicines in the Caribbean
13. Conclusions and Future Prospects
Author Contributions
Funding
Institutional Review Board Statement
Informed Consent Statement
Data Availability Statement
Conflicts of Interest
References
- Robinson, M.M.; Zhang, X. The World Medicines Situation 2011: Traditional Medicines: Global Situation, Issues and Challenges, 3rd ed.; World Health Organization (WHO): Geneva, Switzerland, 2011. [Google Scholar]
- Ekor, M. The growing use of herbal medicines: Issues relating to adverse reactions and challenges in monitoring safety. Front. Pharmacol. 2013, 4, 177. [Google Scholar] [CrossRef] [PubMed]
- Barnes, J.; Anderson, L.A.; Phillipson, J.D. Herbal medicines: A Guide for Health-Care Professionals, 3rd ed.; Pharmaceutical Press: London, UK, 2007. [Google Scholar]
- De Luca, V.; Salim, V.; Atsumi, S.M.; Yu, F. Mining the biodiversity of plants: A revolution in the making. Science 2012, 336, 1658–1661. [Google Scholar] [CrossRef] [PubMed]
- Krishnaiah, D.; Sarbatly, R.; Nithyanandam, R. A review of the antioxidant potential of medicinal plant species. Food Bioprod. Process. 2011, 89, 217–233. [Google Scholar] [CrossRef]
- Newman, D.J.; Cragg, G.M. Natural Products as Sources of New Drugs from 1981 to 2014. J. Nat. Prod. 2016, 79, 629–661. [Google Scholar] [CrossRef]
- Newman, D.J.; Cragg, G.M. Natural products as sources of new drugs over the nearly four decades from 01/1981 to 09/2019. J. Nat. Prod. 2020, 83, 770–803. [Google Scholar] [CrossRef] [PubMed]
- Goyal, S.; Lambert, C.; Cluzet, S.; Mérillon, J.M.; Ramawat, K.G. Secondary Metabolites and Plant Defence. In Plant Defence: Biological Control. Progress in Biological Control; Mérillon, J., Ramawat, K., Eds.; Springer: Dordrecht, The Netherlands, 2012; Volume 12. [Google Scholar] [CrossRef]
- Bérdy, J. Bioactive Microbial Metabolites. J. Antibiot. 2005, 58, 1–26. [Google Scholar] [CrossRef]
- Wink, M. Potential of DNA Intercalating Alkaloids and Other Plant Secondary Metabolites against SARS-CoV-2 Causing COVID-19. Diversity 2020, 12, 175. [Google Scholar] [CrossRef]
- Moudi, M.; Go, R.; Yien, C.Y.S.; Nazre, M. Vinca Alkaloids. Int. J. Prev. Med. 2013, 4, 1231–1235. [Google Scholar]
- China National Gene Bank: Database of 10,000 Medicinal Plants. Available online: https://db.cngb.org/10kmp/ (accessed on 13 December 2020).
- Picking, D.; Delgoda, R.; Younger, N.; Germosén-Robineau, L.; Boulogne, I.; Mitchell, S. TRAMIL ethnomedicinal survey in Jamaica. J. Ethnopharmacol. 2015, 169, 314–327. [Google Scholar] [CrossRef]
- Mitchell, S.A. Plants used in Jamaican folk medicine against the common cold, flu and diarrhea. J. Antivir. Antiretrovir. 2011, 3. [Google Scholar] [CrossRef]
- Mitchell, S.; Ahmad, M.H. A review of medicinal plant research at the University of the West Indies, Jamaica, 1948-2001. West Indian Med J. 2006, 55. [Google Scholar] [CrossRef] [PubMed]
- Estrella, P.; Edgar, A.; María, F.-C.; Blancas-Flores, G.; Koch, S.; Alarcon, F. Review The Tillandsia genus: History, uses, chemistry, and biological activity. Chemistry and biological activity of the Tillandsia L. Genus 2019, 18, 239–264. [Google Scholar]
- Lowe, H.; Bryant, J.L. Anti-Tumor and Anti-inflammatory Dicinnamoyl-Glycerol Esters and Their Analogues. U.S. Patent 8907117B2, 5 November 2010. [Google Scholar]
- Lowe, H.I.; Toyang, N.J.; Watson, C.T.; Ayeah, K.N.; Bryant, J. Antileukemic activity of Tillandsia recurvata and some of its cycloartanes. Anticancer. Res. 2014, 34, 3505–3510. [Google Scholar] [PubMed]
- Gao, W.; Dong, X.; Wei, T.; Xing, W. The Chemical Structure and Bioactivity of Cycloartane-type Compounds. Curr. Org. Chem. 2020, 23, 2848–2872. [Google Scholar] [CrossRef]
- Joseph, B.; Raj, S. An Overview: Pharmacognostic Properties of Phyllanthus amarus Linn. Int. J. Pharmacol. 2010, 7, 40–45. [Google Scholar] [CrossRef]
- Gansukh, E.; Gopal, J.; Paul, D.; Muthu, M.; Kim, D.-H.; Oh, J.-W.; Chun, S. Ultrasound mediated accelerated Anti-influenza activity of Aloe vera. Sci. Rep. 2018, 8, 17782. [Google Scholar] [CrossRef]
- Sydiskis, R.J.; Owen, D.G.; Lohr, J.L.; Rosler, K.H.; Blomster, R.N. Inactivation of enveloped viruses by anthraquinones extracted from plants. Antimicrob. Agents Chemother. 1991, 35, 2463–2466. [Google Scholar] [CrossRef]
- Saoo, K.; Miki, H.; Ohmori, M.; Winters, W.D. Antiviral Activity of Aloe Extracts against Cytomegalovirus. Phytotherapy Res. 1996, 10, 348–350. [Google Scholar] [CrossRef]
- Rezazadeh, F.; Moshaverinia, M.; Motamedifar, M.; Alyaseri, M. Assessment of Anti HSV-1 Activity of Aloe Vera Gel Extract: An In Vitro Study. J. Dent. (Shiraz, Iran) 2016, 17, 49–54. [Google Scholar]
- Zandi, K.; Zadeh, M.A.; Sartavi, K.; Rastian, Z. Antiviral activity of Aloe vera against herpes simplex virus type 2: An in vitro study. Afr. J. Biotechnol. 2007, 6, 1770–1773. [Google Scholar] [CrossRef]
- Jin, D.; Dai, K.; Xie, Z.; Chen, J. Secondary Metabolites Profiled in Cannabis Inflorescences, Leaves, Stem Barks, and Roots for Medicinal Purposes. Sci. Rep. 2020, 10, 3309–3314. [Google Scholar] [CrossRef] [PubMed]
- Pollastro, F.; Minassi, A.; Fresu, L. Cannabis Phenolics and their Bioactivities. Curr. Med. Chem. 2018, 25, 1160–1185. [Google Scholar] [CrossRef] [PubMed]
- Mechoulam, R. Chapter 2 Alkaloids in Cannabis Sativa L. Alkaloids Chem. Pharmacol. 1989, 34, 77–93. [Google Scholar] [CrossRef]
- Johnson, J.; Theisen, E. What Are Terpenes? Available online: https://www.medicalnewstoday.com/articles/what-are-terpenes (accessed on 28 July 2020).
- Loizzo, M.R.; Saab, A.M.; Tundis, R.; Statti, G.A.; Menichini, F.; Lampronti, I.; Gambari, R.; Cinatl, J.; Doerr, H.W. Phytochemical Analysis andin vitro Antiviral Activities of the Essential Oils of Seven Lebanon Species. Chem. Biodivers. 2008, 5, 461–470. [Google Scholar] [CrossRef] [PubMed]
- Ngwa, W.; Kumar, R.; Thompson, D.; Lyerly, W.; Moore, R.M.; Reid, T.-E.; Lowe, H.; Toyang, N. Potential of Flavonoid-Inspired Phytomedicines against COVID-19. Molecules 2020, 25, 2707. [Google Scholar] [CrossRef]
- Śledziński, P.; Nowak, A.; Zeyland, J.; Słomski, R. Endocannabinoid system and anticancer properties of cannabinoids. Folia Biol. Oecologica 2016, 12, 11–25. [Google Scholar] [CrossRef][Green Version]
- E Lutge, E.; Gray, A.; Siegfried, N. The medical use of cannabis for reducing morbidity and mortality in patients with HIV/AIDS. Cochrane Database Syst. Rev. 2013, CD005175. [Google Scholar] [CrossRef]
- Naga Swetha Samji, M. Viral Hepatitis. Available online: https://emedicine.medscape.com/article/775507-overview (accessed on 20 August 2020).
- Toyang, N.; Lowe, H.I.C.; McLaughlin, W. Potential of cannabidiol for the treatment of viral hepatitis. Pharmacogn. Res. 2017, 9, 116–118. [Google Scholar] [CrossRef]
- Hegde, V.L.; Nagarkatti, P.S.; Nagarkatti, M. Role of Myeloid-Derived Suppressor Cells in Amelioration of Experimental Autoimmune Hepatitis Following Activation of TRPV1 Receptors by Cannabidiol. PLoS ONE 2011, 6, e18281. [Google Scholar] [CrossRef]
- Price, S. Could Cannabis Terpene Formulation Treat COVID-19? Available online: https://www.healtheuropa.eu/cannabis-terpene-formulation-treat-covid-19/99586/ (accessed on 20 August 2020).
- Shaghaghi, Neda (2020): Molecular Docking Study of Novel COVID-19 Protease with Low Risk Terpenoides Compounds of Plants. ChemRxiv. Preprint. Available online: https://doi.org/10.26434/chemrxiv.11935722.v1 (accessed on 10 December 2020).
- Luz, D.A.; Pinheiro, A.M.; Silva, M.L.; Monteiro, M.C.; Prediger, R.D.; Maia, C.S.F.; Fontes-Júnior, E.A. Ethnobotany, phytochemistry and neuropharmacological effects of Petiveria alliacea L. (Phytolaccaceae): A review. J. Ethnopharmacol. 2016, 185, 182–201. [Google Scholar] [CrossRef]
- Lowe, H.; Toyang, N.; Heredia, A.; Ayeah, K.; Watson, C.; Bryant, J. Petiveria alliacea L (Guinea Hen Weed) and Its Major Metabolite Dibenzyl Trisulfide Demonstrate HIV-1 Reverse Transcriptase Inhibitory Activity. Eur. J. Med. Plants 2015, 5, 88–94. [Google Scholar] [CrossRef]
- Williams, L.A.D.; Rösner, H.; Kraus, W. Molecules with Potential for Cancer Therapy in the Developing World: Dibenzyl Trisulfide (DTS). Adv. Microb. Ecol. 2012, 273–278. [Google Scholar] [CrossRef]
- Lowe, H.; Toyang, N.; Roy, S.; Watson, C.; Bryant, J. Inhibition of the Human Hepatitis C Virus by Dibenzyl Trisulfide from Petiveria alliacea L (Guinea Hen Weed). Br. Microbiol. Res. J. 2016, 12, 1–6. [Google Scholar] [CrossRef]
- Meister, M.; Tomasovic, A.; Banning, A.; Tikkanen, R. Mitogen-Activated Protein (MAP) Kinase Scaffolding Proteins: A Recount. Int. J. Mol. Sci. 2013, 14, 4854–4884. [Google Scholar] [CrossRef]
- Jagodzik, P.; Tajdel-Zielinska, M.; Ciesla, A.; Marczak, M.; Ludwikow, A. Mitogen-Activated Protein Kinase Cascades in Plant Hormone Signaling. Front. Plant Sci. 2018, 9, 1387. [Google Scholar] [CrossRef]
- Williams, L.A.D.; Rosner, H.; Levy, H.G.; Barton, E.N. A critical review of the therapeutic potential of dibenzyl trisulphide isolated from Petiveria alliacea L (guinea hen weed, anamu). West Indian Med. J. 2007, 56, 17–21. [Google Scholar] [CrossRef]
- Chang, J.S.; Wang, K.C.; Yeh, C.F.; Shieh, D.E.; Chiang, L.C. Fresh ginger (Zingiber officinale) has anti-viral activity against human respiratory syncytial virus in human respiratory tract cell lines. J. Ethnopharmacol. 2013, 145, 146–151. [Google Scholar] [CrossRef]
- Mao, Q.-Q.; Xu, X.-Y.; Cao, S.-Y.; Gan, R.-Y.; Corke, H.; Beta, T.; Li, H.-B. Bioactive Compounds and Bioactivities of Ginger (Zingiber officinale Roscoe). Foods 2019, 8, 185. [Google Scholar] [CrossRef]
- Chattopadhyay, I.; Biswas, K.; Bandyopadhyay, U.; Banerjee, R.K. Turmeric and curcumin: Biological actions and medicinal applications. Curr. Sci. 2004, 87, 44–53. [Google Scholar]
- Mathew, D.; Hsu, W.-L. Antiviral potential of curcumin. J. Funct. Foods 2018, 40, 692–699. [Google Scholar] [CrossRef]
- Hergenhahn, M.; Soto, U.; Weninger, A.; Polack, A.; Hsu, C.-H.; Cheng, A.-L.; Rösl, F. The chemopreventive compound curcumin is an efficient inhibitor of Epstein-Barr virus BZLF1 transcription in Raji DR-LUC cells. Mol. Carcinog. 2002, 33, 137–145. [Google Scholar] [CrossRef] [PubMed]
- Mazumder, A.; Raghavan, K.; Weinstein, J.; Kohn, K.W.; Pommier, Y. Inhibition of human immunodeficiency virus type-1 integrase by curcumin. Biochem. Pharmacol. 1995, 49, 1165–1170. [Google Scholar] [CrossRef]
- Huang, Y.; Xiang, Q.; Yao, C.-S.; Zhang, F.-X.; Zhang, H.; Li, X. Study on the preparation of zedoary turmeric oil spray and its anti-virus effects. J. Chin. Med. Mater. 2007, 30, 342–345. [Google Scholar]
- Moghadamtousi, S.Z.; Kadir, H.A.; Hassandarvish, P.; Tajik, H.; Abubakar, S.; Zandi, K. A Review on Antibacterial, Antiviral, and Antifungal Activity of Curcumin. BioMed Res. Int. 2014, 2014, 1–12. [Google Scholar] [CrossRef] [PubMed]
- Ferreira, P.M.P.; Farias, D.F.; Oliveira, J.T.D.A.; Carvalho, A.F.U. Moringa oleifera: Bioactive compounds and nutritional potential. Revista de Nutrição 2008, 21, 431–437. [Google Scholar] [CrossRef]
- Mahmood, K.T.; Mugal, T.; Ul Haq, I. Moringa oleifera: A natural gift-A review. J. Pharm. Sci. Res. 2010, 2, 775–781. [Google Scholar]
- Nasr-Eldin, M.A.; Abdelhamid, A.; Baraka, D. Antibiofilm and Antiviral Potential of Leaf Extracts from Moringa oleifera and Rosemary (Rosmarinus officinalis Lam.). Egypt. J. Microbiol. 2018, 129–139. [Google Scholar] [CrossRef]
- Ashraf, M.; Shahzad, S.S.; Fatima, M.; Altaf, I.; Khan, F.; Afzal, A. Comparative anti-influenza potential of moringa oleifera leaves and amantadine invitro. Pak. Postgrad. Med. J. 2017, 28, 127–131. [Google Scholar]
- Murakami, A.; Kitazono, Y.; Jiwajinda, S.; Koshimizu, K.; Ohigashi, H. Niaziminin, a Thiocarbamate from the Leaves of Moringa oleifera, Holds a Strict Structural Requirement for Inhibition of Tumor-Promoter-Induced Epstein-Barr Virus Activation. Planta Medica 1998, 64, 319–323. [Google Scholar] [CrossRef]
- Feustel, S.; Ayón-Pérez, F.; Sandoval-Rodriguez, A.; Rodriguez-Echevarria, R.; Contreras-Salinas, H.; Armendariz-Borunda, J.; Sanchez-Orozco, L. Protective Effects of Moringa oleifera on HBV Genotypes C and H Transiently Transfected Huh7 Cells. J. Immunol. Res. 2017, 2017, 1–9. [Google Scholar] [CrossRef]
- A Lans, C. Ethnomedicines used in Trinidad and Tobago for reproductive problems. J. Ethnobiol. Ethnomedicine 2007, 3, 13. [Google Scholar] [CrossRef] [PubMed]
- Lowe, H.I.C.; Toyang, N.J.; Heredia, A.; Watson, C.T.; Bryant, J. Anti HIV-1 Activity of the Crude Extracts of Guaiacum officinale L. (Zygophyllaceae). Eur. J. Med. Plants 2014, 4, 483–489. [Google Scholar] [CrossRef][Green Version]
- Ankri, S.; Mirelman, D. Antimicrobial properties of allicin from garlic. Microbes Infect. 1999, 1, 125–129. [Google Scholar] [CrossRef]
- Weber, N.D.; Andersen, D.O.; North, J.A.; Murray, B.K.; Lawson, L.D.; Hughes, B.G. In Vitro Virucidal Effects ofAllium sativum(Garlic) Extract and Compounds. Planta Medica 1992, 58, 417–423. [Google Scholar] [CrossRef]
- Sharma, N. Efficacy of Garlic and Onion against virus. Int. J. Res. Pharm. Sci. 2019, 10, 3578–3586. [Google Scholar] [CrossRef]
- Mehrbod, P.; Amini, E.; Tavassoti-Kheiri, M. Pasteur Institute of IRAN (Influenza Unit) Antiviral activity of garlic extract on Influenza virus. Iran. J. Virol. 2009, 3, 19–23. [Google Scholar] [CrossRef]
- Josling, P. Preventing the common cold with a garlic supplement: A double-blind, placebo-controlled survey. Adv. Ther. 2001, 18, 189–193. [Google Scholar] [CrossRef]
- Nantz, M.P.; Rowe, C.A.; Muller, C.E.; Creasy, R.A.; Stanilka, J.M.; Percival, S.S. Supplementation with aged garlic extract improves both NK and γδ-T cell function and reduces the severity of cold and flu symptoms: A randomized, double-blind, placebo-controlled nutrition intervention. Clin. Nutr. 2012, 31, 337–344. [Google Scholar] [CrossRef]
- Tsai, Y.; Cole, L.; Davis, L.; Lockwood, S.; Simmons, V.; Wild, G. Antiviral Properties of Garlic:In vitroEffects on Influenza B, Herpes Simplex and Coxsackie Viruses. Planta Medica 1985, 51, 460–461. [Google Scholar] [CrossRef]
- Ried, K.; Frank, O.R.; Stocks, N.P. Aged garlic extract lowers blood pressure in patients with treated but uncontrolled hypertension: A randomised controlled trial. Maturitas 2010, 67, 144–150. [Google Scholar] [CrossRef]
- Ashraf, R.; Alam Khan, R.; Ashraf, I.; Qureshi, A. Effects of Allium sativum (garlic) on systolic and diastolic blood pressure in patients with essential hypertension. Pak. J. Pharm. Sci. 2013, 26, 859–863. [Google Scholar] [PubMed]
- Sobenin, I.; Andrianova, I.V.; Demidova, O.N.; Gorchakova, T.; Orekhov, A.N. Lipid-Lowering Effects of Time-Released Garlic Powder Tablets in Double-Blinded Placebo-Controlled Randomized Study. J. Atheroscler. Thromb. 2008, 15, 334–338. [Google Scholar] [CrossRef] [PubMed]
- Mungole, A.; Chaturvedi, A. Hibiscus sabdariffal a rich source ofsecondary metabolites. Int. J. Pharm. Sci. Rev. Res. 2011, 6, 83–87. [Google Scholar]
- Hassan, S.T.S.; Švajdlenka, E.; Bímová, K.B. Hibiscus sabdariffa L. and Its Bioactive Constituents Exhibit Antiviral Activity against HSV-2 and Anti-enzymatic Properties against Urease by an ESI-MS Based Assay. Molecules 2017, 22, 722. [Google Scholar] [CrossRef] [PubMed]
- Takeda, Y.; Okuyama, Y.; Nakano, H.; Yaoita, Y.; Machida, K.; Ogawa, H.; Imai, K. Antiviral Activities of Hibiscus sabdariffa L. Tea Extract Against Human Influenza A Virus Rely Largely on Acidic pH but Partially on a Low-pH-Independent Mechanism. Food Environ. Virol. 2019, 12, 9–19. [Google Scholar] [CrossRef]
- Jabeur, I.; Pereira, E.; Barros, L.; Calhelha, R.C.; Soković, M.; Oliveira, M.B.P.; Ferreira, I. Hibiscus sabdariffa L. as a source of nutrients, bioactive compounds and colouring agents. Food Res. Int. 2017, 100, 717–723. [Google Scholar] [CrossRef]
- Ojulari, O.V.; Lee, S.G.; Nam, J.-O. Beneficial Effects of Natural Bioactive Compounds from Hibiscus sabdariffa L. on Obesity. Molecules 2019, 24, 210. [Google Scholar] [CrossRef]
- Elhag, M.; Al-Ghamdi, A.A.M.; Galal, H.K.; Dahlan, A. Evaluation of aloe vera l. As phytoremediator of heavy metals contaminated soils in arid environments. Appl. Ecol. Environ. Res. 2018, 16, 6033–6045. [Google Scholar] [CrossRef]
- Guo, X.; Mei, N. Aloe vera: A review of toxicity and adverse clinical effects. J. Environ. Sci. Heal. Part C 2016, 34, 77–96. [Google Scholar] [CrossRef]
- 8 Side Effects of Aloe Vera: Here’s Why Anything In Excess Is Bad. Available online: https://food.ndtv.com/health/side-effects-of-aloe-vera-heres-why-anything-in-excess-is-bad-1882205 (accessed on 6 December 2020).
- Seltenrich, N. Cannabis Contaminants: Regulating Solvents, Microbes, and Metals in Legal Weed. Environ. Health Perspect. 2019, 127, 82001. [Google Scholar] [CrossRef]
- Montoya, Z.; Conroy, M.; Heuvel, B.D.V.; Pauli, C.S.; Park, S.-H. Cannabis Contaminants Limit Pharmacological Use of Cannabidiol. Front. Pharmacol. 2020, 11. [Google Scholar] [CrossRef] [PubMed]
- The use of Medicinal Cannabis may Come with Side Effects and Risks. Available online: https://bedrocan.com/cannabis-inside/side-effects-and-risks/ (accessed on 7 December 2020).
- Jamaica Plants and Herbal Remedies. Available online: https://fiwiroots.com/herbal/guineahenweed.html (accessed on 7 December 2020).
- Monera, T.G.; Jani, Z.T.; Maponga, C.C.; Mudzengi, J.; Morse, G.D.; Nhachi, C.F.B. Quality and labeling information of Moringa oleifera products marketed for HIV-infected people in Zimbabwe. J. Public Heal. Afr. 2016, 7, 84–88. [Google Scholar] [CrossRef]
- Moringa Tree and Cancer: Side Effects and Research Studies. Available online: https://www.asbestos.com/blog/2019/11/26/moringa-tree-cancer-research/ (accessed on 7 December 2020).
- Kłębukowska, L.; Zadernowska, A.; Chajęcka-Wierzchowska, W. Microbiological contamination of dried and lyophilized garlic as a potential source of food spoilage. J. Food Sci. Technol. 2013, 52, 1802–1807. [Google Scholar] [CrossRef] [PubMed]
- Garlic Danger Alert: Reasons Why It Can Be Poisonous. Available online: https://timesofindia.indiatimes.com/life-style/health-fitness/photo-stories/garlic-danger-alert-reasons-why-it-can-be-poisonous/photostory/61336724.cms?picid61336731 (accessed on 7 December 2020).
- Garlic Uses, Side Effects & Warnings. Available online: https://www.drugs.com/mtm/garlic.html (accessed on 7 December 2020).
- Badrie, N.; Schauss, A.G. 39—Soursop (Annona muricata L.): Composition, Nutritional Value, Medicinal Uses, and Toxicology. In Bioactive Foods in Promoting Health; 1109039239 838552040 R.R. Watson & 1109039240 838552040 V.R. Preedy (Authors); Elsevier/Academic Press: Amsterdam, The Netherlands, 2010; pp. 621–643. [Google Scholar]
- Graviola: Uses, Side Effects, Interactions, Dosage, and Warning. Available online: https://www.webmd.com/vitamins/ai/ingredientmono-1054/graviola (accessed on 7 December 2020).
- Markets, R. Global Anti-Viral Drug Therapy Market (2020 to 2030)—COVID-19 Implications and Growth. Available online: https://www.globenewswire.com/news-release/2020/04/20/2018628/0/en/Global-Anti-Viral-Drug-Therapy-Market-2020-to-2030-COVID-19-Implications-and-Growth.html (accessed on 20 August 2020).
- Herbal Supplements Market Size & Share: Industry Report, 2018–2025. Available online: https://www.grandviewresearch.com/industry-analysis/herbal-supplements-market (accessed on 20 August 2020).
- Lowe, H.I.; Toyang, N.J. Therapeutic agents containing cannabis flavonoid derivatives targeting kinases, sirtuins and oncogenic agents for the treatment of cancers. U.S. Patent 20180098961A1, 9 March 2019. [Google Scholar]
- Lowe, H.I.; Toyang, N.J.; Bryant, J. Agent Containing Flavonoid Derivatives for Treating Cancer and Inflammation. U.S. Patent 20170360744A1, 8 September 2020. [Google Scholar]
- Lowe, H.I.; Toyang, N.J. Therapeutic Agents Containing Cannabis Flavonoid Derivative for Ocular Disorders. U.S. Patent 10278950B2, 7 May 2019. [Google Scholar]
- Lowe, H.I.; Toyang, N.J. Therapeutic Agents Containing Cannabis Flavonoid Derivatives for the Prevention and Treatment of Neurodegenerative Disorders. U.S. Patent 10751320B2, 25 August 2020. [Google Scholar]
- Lowe, H.I.; Toyang, N.J. Pi 4-Kinase Iinhibitor as a Therapeutic for Viral Hepatitis, Cancer, Malaria. Autoimmune Disorders and Inflammation, and a Radiosensitizer and Immunosuppressant. U.S. Patent WO2018022868A1, 1 February 2018. [Google Scholar]
- Lowe, H.I.; Toyang, N.J. Therapeutic Antiviral Agents Containing Cannabis Cannabinoid Derivatives. U.S. Patent 20180214389A1, 2 August 2018. [Google Scholar]
- Lowe, H.I.; Toyang, N.J.; Bryant, J. Methods for Inhibiting HIV-1 Activity by Inhibitory Mechanisms of Extracts of Guaiacum officinale L. (Zygophyllaceae). U.S. Patent 9814747B2, 14 November 2017. [Google Scholar]
- UTech Researcher, Partner Obtain Patent for Guinea Hen Anti-Cancer Formulation. Available online: http://jamaica-gleaner.com/article/business/20170802/utech-researcher-partner-obtain-patent-guinea-hen-anti-cancer-formulation (accessed on 6 December 2020).
- Verpoorte, R. Pharmacognosy in the New Millennium: Leadfinding and Biotechnology. J. Pharm. Pharmacol. 2000, 52, 253–262. [Google Scholar] [CrossRef] [PubMed]
- Glenz, K.; Warzecha, H. New medicinal plants for the production of vaccines. J. Consum. Prot. Food Saf. 2006, 1, 126–130. [Google Scholar] [CrossRef]
- Mitchell, S.; Burke, A.; McKenzie, C.; Stirling, S.; Ryan, J.; Simpson, W.; McGlashan, D. JAMAICA: Country Report to the FAO International Conference on Plant Genetic Resources for Food and Agriculture; Kingston: Frontenac, ON, Canada, 2008; pp. 2–59. [Google Scholar]
- Palhares, R.M.; Drummond, M.G.; Brasil, B.D.S.A.F.; Cosenza, G.P.; Brandão, M.D.G.L.; Oliveira, G. Medicinal Plants Recommended by the World Health Organization: DNA Barcode Identification Associated with Chemical Analyses Guarantees Their Quality. PLoS ONE 2015, 10, e0127866. [Google Scholar] [CrossRef]






















| Type of Drug | Number Approved |
|---|---|
| Natural products | 71 |
| Botanical drugs (defined mixture) | 14 |
| Natural product mixture | 356 |
| Synthetic drugs with natural pharmacophores | 207 |
| TOTAL | 648 |
| Plant | Possible Contaminants | Type of Medicinal Preparation | Side-Effects | |
|---|---|---|---|---|
| 1. | Ginger (Zingiber officinale Roscoe) | Mycotoxins, Aflatoxins Ochratoxin A (OTA). Microbes. Chemical residues (pesticides) | Decoction | Generally safe and negligible side effects like bloating, nausea, upset stomach, heartburn, diarrhea, dizziness |
| 2. | Turmeric (Curcuma longa L.) | Lead, Chromium, Lead chromate (often used as a yellow coloring). Microbes. Chemical residues (pesticides) | Decoction | Generally safe and negligible side effects like bloating, nausea, upset stomach, heartburn, diarrhea, dizziness |
| 3. | Ball Moss/ “Old Man’s Beard” (Tillandsia recurvata L.) | Various contaminants because of the plant’s bioremediatory properties. Dependent on growth environment. Microbes. Chemical residues (pesticides). | Decoction | Generally safe and negligible side effects like bloating, nausea, upset stomach, diarrhea, and dizziness. |
| 4. | A. vera (Aloe barbadensis Miller) | Various heavy metals like copper, lead, Chromium, mercury, nickel, arsenic, and cadmium. Microbes. Chemical residues (pesticides). A. vera is a phytoremediator/ biosorbent [77]. | Decoction or Juice | Generally safe and negligible side effects like bloating, nausea, upset stomach, laxative effects, dehydration, lowers sugar and potassium levels, weakness, fatigue, diarrhea, kidney issues, hypersensitivity reactions, and irregular heartbeat [78,79]. |
| 5. | Ganja (Cannabis Sativa L.) | Various contaminants because of the plant’s biosorbent properties. These include heavy metals like cadmium, copper lead and mercury [80,81], residual chemical solvents, pesticides and microbes like Aspergillus that produce mycotoxins. Chemical residues (pesticides). | Decoction | Generally safe and negligible side effects like bloating, nausea, upset stomach, lowers blood pressure, increased heart rate, dizziness, light-headedness, and mild psychoactive effects [82]. |
| 6. | Guinea Hen Weed (Petiveria alliacea L.) | Chemical residues (pesticides) and microbes. Coumadin—a blood thinner [83]. | Decoction | Generally safe and negligible side effects like bloating, nausea, upset stomach, diarrhea, and dizziness. Abortive and hypoglycemic effects [83]. |
| 7. | Moringa (Moringa oleifera Lam.) | Various contaminants because of the plant’s biosorbent properties. These include heavy metals like cadmium, copper lead and mercury and microbes [84]. Chemical residues (pesticides) | Decoction | Generally safe and negligible side effects like bloating, nausea, upset stomach, lowers blood pressure and heart rate, fertility interference, uterine contractions [85]. |
| 8. | Lignum Vitae (Guaiacum officinale L.) | Chemical residues (pesticides) and microbes. | Decoction | Generally safe and negligible side effects like bloating, nausea, upset stomach. |
| 9. | Garlic (Allium sativum L.) | Chemical residues (pesticides). Microbial contaminants [86] and heavy metals like lead and sulfites [87]. | Decoction | Generally safe and negligible side effects like bloating, nausea, gas, upset stomach, bad breath and body odor, vomiting, diarrhea, heartburn, mouth/throat burn [88]. |
| 10. | Sorrell (Hibiscus sabdariffa L.) | Chemical residues (pesticides) and microbes. | Decoction | Generally safe and negligible side effects like bloating, nausea, upset stomach, diarrhea, and dizziness. |
| 11. | “Search-mi-heart” (Rhytidophyllum tomentosum (L.) Mart. | Chemical residues (pesticides) and microbes. | Decoction | Generally safe and negligible side effects like bloating, nausea, upset stomach, diarrhea, and dizziness. |
| 12. | Pepper elder (Piper amalago L.) | Chemical residues (pesticides) and microbes. | Decoction | Generally safe and negligible side effects like bloating, nausea, upset stomach, diarrhea, and dizziness. |
| 13. | McKatty Weed/Marigold (Bidens reptans (L.) G.Don | Chemical residues (pesticides) and microbes. | Decoction | Generally safe and negligible side effects like bloating, nausea, upset stomach, diarrhea, and dizziness. |
| 14. | Chany Root (Smilax balbisiana Kunth) | Chemical residues (pesticides) and microbes. | Decoction | Generally safe and negligible side effects like bloating, nausea, upset stomach, diarrhea, and dizziness. |
| 15. | Lemongrass/Fevergrass (Cymbopogen citratus L.) | Chemical residues (pesticides) and microbes. | Decoction | Generally safe and negligible side effects like bloating, nausea, upset stomach, diarrhea, and dizziness. |
| 16. | Cerassee (Momordica charantia L.) | Chemical residues (pesticides) and microbes. | Decoction | Generally safe and negligible side effects like bloating, nausea, upset stomach, diarrhea, and dizziness. |
| 17. | Soursop (Annona muricata L.) | Chemical residues (pesticides) and microbes. Annonacin, an acetogenin that is toxic to the nervous system [89]. | Decoction | Generally safe and negligible side effects like bloating, nausea, upset stomach, movement disorders, sensation issues [90]. Consumption = Increased risk of atypical parkinsonism development [89]. |
| 18. | Leaf of life (Bryophyllum pinnatum (Lam.) Oken | Chemical residues (pesticides) and microbes. | Decoction | Generally safe and negligible side effects like bloating, nausea, upset stomach, diarrhea, and dizziness. |
| 19. | Dogblood (Rivina humilis L.) | Chemical residues (pesticides) and microbes. | Decoction | Generally safe and negligible side effects like bloating, nausea, upset stomach, diarrhea, and dizziness. |
| 20. | Lime Leaf Tea (Citrus aurantiifolia (Christm.) Swingle | Chemical residues (pesticides) and microbes. | Decoction | Generally safe and negligible side effects like bloating, nausea, upset stomach, diarrhea, and dizziness. |
| 21. | Jack-in-the-bush (Eupatorium odoratum L.) | Chemical residues (pesticides) and microbes. | Decoction | Generally safe and negligible side effects like bloating, nausea, upset stomach, diarrhea, and dizziness. |
| Therapeutic Window/Benefits of Flavonoids | Plant | Patent Number | Reference | |
|---|---|---|---|---|
| 1. | Therapeutic agents containing cannabis flavonoid derivatives targeting kinases, sirtuins and oncogenic agents for the treatment of cancers. | Cannabis sativa L. | US20180098961A1 | [93] |
| 2. | Agent containing flavonoid derivatives for treating cancer and inflammation. | Cannabis sativa L. | US20170360744A1 | [94] |
| 3. | Therapeutic agents containing cannabis flavonoid derivative for ocular disorders. | Cannabis sativa L. | US10278950B2 | [95] |
| 4. | Therapeutic agents containing cannabis flavonoid derivatives for the prevention and treatment of neurodegenerative disorders. | Cannabis sativa L. | US10751320B2 | [96] |
| 5. | Pi 4-kinase inhibitor as a therapeutic for viral hepatitis, cancer, malaria. autoimmune disorders and inflammation, and a radiosensitizer and immunosuppressant. | Vernonia acuminata DC. | WO2018022868A1 | [97] |
| 6. | Therapeutic antiviral agents containing cannabis cannabinoid derivatives. | Cannabis sativa L. | US20180214389A1 | [98] |
| 7. | Methods for inhibiting HIV-1 activity by inhibitory mechanisms of extracts of Guaiacum officinale L. (Zygophyllaceae) | Guaiacum officinale L. | US9814747B2 | [99] |
| 8. | Therapeutic potential of dibenzyl trisulfide Isolated from Petiveria alliacea L. (Guinea Hen Weed, Anamu) | Petiveria alliacea L. | Patent pending | [45,100] |
Publisher’s Note: MDPI stays neutral with regard to jurisdictional claims in published maps and institutional affiliations. |
© 2021 by the authors. Licensee MDPI, Basel, Switzerland. This article is an open access article distributed under the terms and conditions of the Creative Commons Attribution (CC BY) license (http://creativecommons.org/licenses/by/4.0/).
Share and Cite
Lowe, H.; Steele, B.; Bryant, J.; Fouad, E.; Toyang, N.; Ngwa, W. Antiviral Activity of Jamaican Medicinal Plants and Isolated Bioactive Compounds. Molecules 2021, 26, 607. https://doi.org/10.3390/molecules26030607
Lowe H, Steele B, Bryant J, Fouad E, Toyang N, Ngwa W. Antiviral Activity of Jamaican Medicinal Plants and Isolated Bioactive Compounds. Molecules. 2021; 26(3):607. https://doi.org/10.3390/molecules26030607
Chicago/Turabian StyleLowe, Henry, Blair Steele, Joseph Bryant, Emadelden Fouad, Ngeh Toyang, and Wilfred Ngwa. 2021. "Antiviral Activity of Jamaican Medicinal Plants and Isolated Bioactive Compounds" Molecules 26, no. 3: 607. https://doi.org/10.3390/molecules26030607
APA StyleLowe, H., Steele, B., Bryant, J., Fouad, E., Toyang, N., & Ngwa, W. (2021). Antiviral Activity of Jamaican Medicinal Plants and Isolated Bioactive Compounds. Molecules, 26(3), 607. https://doi.org/10.3390/molecules26030607

