Phytochemical Profiling, In Vitro and In Silico Anti-Microbial and Anti-Cancer Activity Evaluations and Staph GyraseB and h-TOP-IIβ Receptor-Docking Studies of Major Constituents of Zygophyllum coccineum L. Aqueous-Ethanolic Extract and Its Subsequent Fractions: An Approach to Validate Traditional Phytomedicinal Knowledge
Abstract
1. Introduction
2. Results
2.1. Total Phenolic and Flavonoid Contents
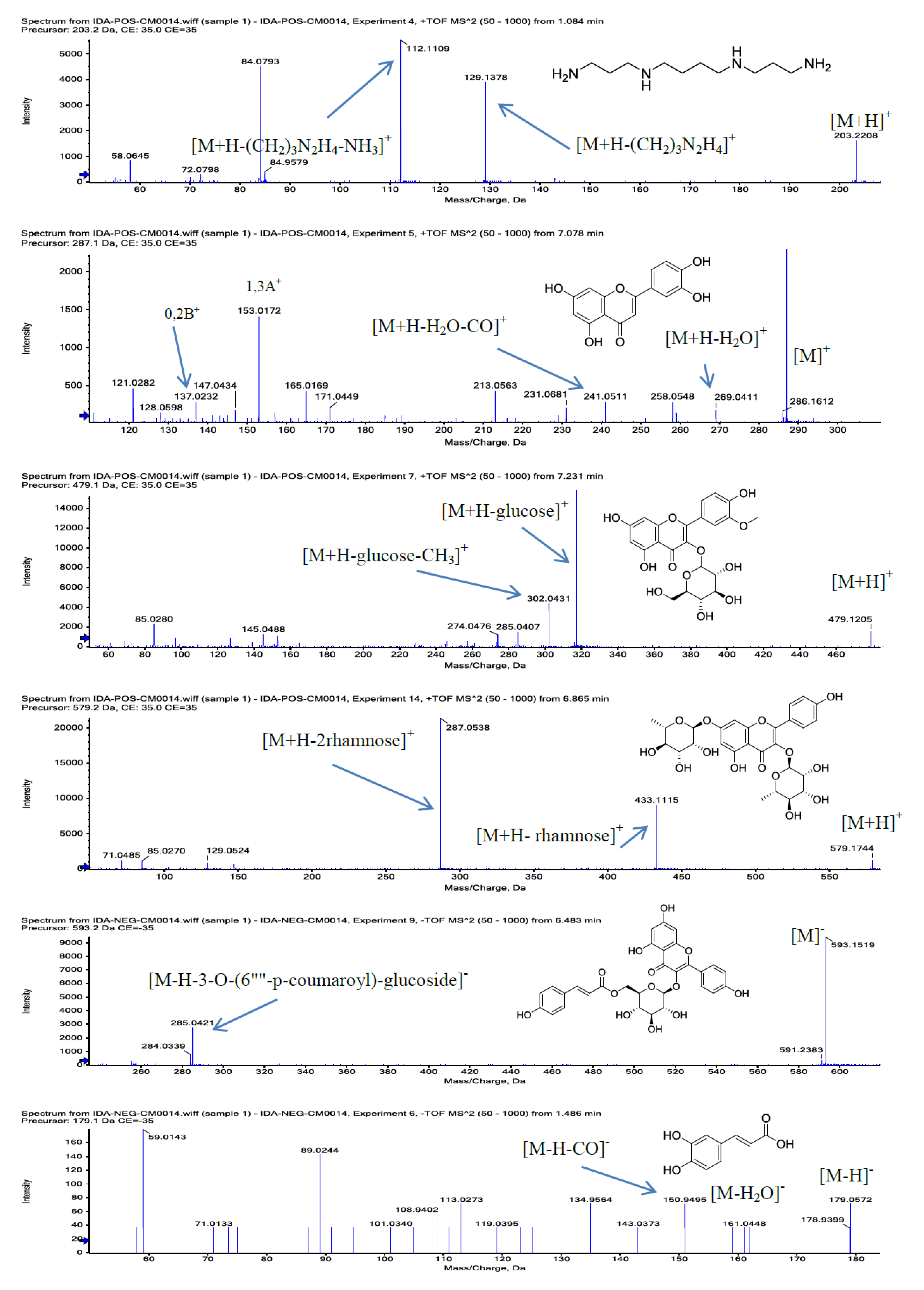
2.2. Identification and Profiling of Z. coccineum Constituents by LC–ESI-TOF–MS
2.3. Anti-Microbial Biofilm Activity of Z. coccineum aq.-Ethanolic Extract and Subsequent Fractions
2.4. Anti-Cancer Activity of Z. coccineum: aq.-Ethanolic Extract, Chloroform, Ethyl Acetate, and n-Butanol Fractions
2.5. Docking Simulations of the Major Constituents as Anti-Cancer and Anti-Microbial Agents
3. Materials and Methods
3.1. Chemicals, Materials, and Reagents
3.2. Plant Materials and Extraction Procedure
3.3. Total Phenolic Contents
3.4. Total Flavonoid Contents
3.5. LC-ESI-TOF-MS Analysis of the aq.-Ethanolic Extract
3.5.1. Sample Preparation
3.5.2. Instruments and Acquisition Method
3.5.3. LC-MS Data Processing
3.6. Anti-Microbial and Anti-Biofilm Assays
3.6.1. Microorganisms
3.6.2. Determination of Minimum Inhibitory Concentration (MIC)
3.6.3. Anti-Biofilm Formation Assay
3.6.4. Eradication of Pre-Formed Biofilms Assay
3.6.5. The XTT- Reduction Assay
3.7. Anti-Cancers Activity of Z. coccineum
3.8. Topoisomerase-II β Inhibitory Effect of Z. coccineum
3.9. Docking Studies
4. Conclusions
Supplementary Materials
Author Contributions
Funding
Institutional Review Board Statement
Informed Consent Statement
Acknowledgments
Conflicts of Interest
References
- Porter, D.M. Disjunct distributions in the New World Zygophyllaceae. Taxon 1974, 23, 339–346. [Google Scholar] [CrossRef]
- Mohammed, H.A. The Valuable Impacts of Halophytic Genus Suaeda Nutritional, Chemical, and Biological Values. Med. Chem. (Los. Angeles) 2020, 16. [Google Scholar] [CrossRef]
- Amin, E.; El-Hawary, S.S.; Fathy, M.M.; Mohammed, R.; Ali, Z.; Tabanca, N.; Wedge, D.E.; Becnel, J.J.; Khan, I.A. Triterpenoidal saponins: Bioactive secondary metabolites from Zygophyllum coccineum. Planta Med. 2011, 77, 488–491. [Google Scholar] [CrossRef] [PubMed]
- Amin, E.; El-Hawary, S.S.; Fathy, M.M.; Mohammed, R.; Ali, Z.; Khan, I.A. Zygophylloside S, a New Triterpenoid Saponin from the Aerial Parts of Zygophyllum coccineum L. Planta Med. 2010, 76, P51. [Google Scholar] [CrossRef]
- Elgamal, M.H.A.; Shaker, K.H.; Pöllmann, K.; Seifert, K. Triterpenoid saponins from Zygophyllum species. Phytochemistry 1995, 40, 1233–1236. [Google Scholar] [CrossRef]
- Amin, E.; Wang, Y.-H.; Avula, B.; El-Hawary, S.S.; Fathy, M.M.; Mohammed, R.; Khan, I.A. Simultaneous determination of saponins and a flavonoid from aerial parts of Zygophyllum coccineum L. J. AOAC Int. 2012, 95, 757–762. [Google Scholar] [CrossRef]
- Gibbons, S.; Oriowo, M.A. Antihypertensive effect of an aqueous extract of Zygophyllum coccineum L. in rats. Phyther. Res. 2001, 15, 452–455. [Google Scholar] [CrossRef]
- El-Badry, M.A.; El Aasser, M.M.; El Shiekh, H.H.; Sheriff, M.M. Evaluation of Antimicrobial, Cytotoxic and Larvicidal Activity of Zygophyllum coccineum North Sinai, Egypt. Med. Aromat Plants 2015, 4, 412–2167. [Google Scholar]
- Abd El Raheim, M.; Alam, A.; Nour, Y.S.; Radwan, A.M. Evaluation of Antimicrobial and Antioxidant activities of Matricaria recutita, Ricinus communis and Zygophyllum coccineum Extracts. Bull. Env. Pharmacol. Life Sci. 2016, 5, 30–33. [Google Scholar]
- Coughlin, S.S.; Ekwueme, D.U. Breast cancer as a global health concern. Cancer Epidemiol. 2009, 33, 315–318. [Google Scholar] [CrossRef]
- Prestinaci, F.; Pezzotti, P.; Pantosti, A. Antimicrobial resistance: A global multifaceted phenomenon. Pathog. Glob. Health 2015, 109, 309–318. [Google Scholar] [CrossRef]
- Römling, U.; Balsalobre, C. Biofilm infections, their resilience to therapy and innovative treatment strategies. J. Intern. Med. 2012, 272, 541–561. [Google Scholar] [CrossRef] [PubMed]
- Kernien, J.F.; Snarr, B.D.; Sheppard, D.C.; Nett, J.E. The interface between fungal biofilms and innate immunity. Front. Immunol. 2018, 8, 1968. [Google Scholar] [CrossRef] [PubMed]
- Sunita, P.; Jha, S.; Pattanayak, S.P.; Mishra, S.K. Antimicrobial activity of Cressa cretica L., a Halophytic Plant. J. Sci. Res. 2012, 4, 203. [Google Scholar] [CrossRef]
- Othman, L.; Sleiman, A.; Abdel-Massih, R.M. Antimicrobial activity of polyphenols and alkaloids in middle eastern plants. Front. Microbiol. 2019, 10, 911. [Google Scholar] [CrossRef] [PubMed]
- Panche, A.N.; Diwan, A.D.; Chandra, S.R. Flavonoids: An overview. J. Nutr. Sci. 2016, 5. [Google Scholar] [CrossRef]
- Górniak, I.; Bartoszewski, R.; Króliczewski, J. Comprehensive review of antimicrobial activities of plant flavonoids. Phytochem. Rev. 2019, 18, 241–272. [Google Scholar] [CrossRef]
- Cushnie, T.P.T.; Lamb, A.J. Antimicrobial activity of flavonoids. Int. J. Antimicrob. Agents 2005, 26, 343–356. [Google Scholar] [CrossRef]
- Alfadda, A.A.; Sallam, R.M. Reactive oxygen species in health and disease. J. Biomed. Biotechnol. 2012, 2012. [Google Scholar] [CrossRef]
- Gottesman, M.M.; Pastan, I. Resistance to multiple chemotherapeutic agents in human cancer cells. Trends Pharmacol. Sci. 1988, 9, 54–58. [Google Scholar] [CrossRef]
- Pastan, I.; Gottesman, M. Multiple-drug resistance in human cancer. N. Engl. J. Med. 1987, 316, 1388–1393. [Google Scholar] [PubMed]
- Yuan, R.; Hou, Y.; Sun, W.; Yu, J.; Liu, X.; Niu, Y.; Lu, J.; Chen, X. Natural products to prevent drug resistance in cancer chemotherapy: A review. Ann. N. Y. Acad. Sci. 2017, 1401, 19–27. [Google Scholar] [CrossRef] [PubMed]
- Flowers, T.J.; Hajibagheri, M.A.; Clipson, N.J.W. Halophytes. Q. Rev. Biol. 1986, 61, 313–337. [Google Scholar] [CrossRef]
- Debouba, M.; Balti, R.; Hwiwi, S.; Zouari, S. Antioxidant capacity and total phenols richness of Cistanche violacea hosting Zygophyllum album. Int. J. Phytomed. 2012, 4, 399. [Google Scholar]
- El-Shora, H.M.; El-Amier, Y.A.; Awad, M.H. Comparative phytochemical studies on Zygophyllum coccineum L. from different habitats, Egypt. Curr. J. Appl. Sci. Technol. 2016, 1–9. [Google Scholar] [CrossRef]
- Tsugawa, H.; Cajka, T.; Kind, T.; Ma, Y.; Higgins, B.; Ikeda, K.; Kanazawa, M.; VanderGheynst, J.; Fiehn, O.; Arita, M. MS-DIAL: Data-independent MS/MS deconvolution for comprehensive metabolome analysis. Nat. Methods 2015, 12, 523. [Google Scholar] [CrossRef] [PubMed]
- Waśkiewicz, A.; Muzolf-Panek, M.; Goliński, P. Phenolic content changes in plants under salt stress. In Ecophysiology and Responses of Plants under Salt Stress; Springer: Berlin/Heidelberg, Germany, 2013; pp. 283–314. [Google Scholar]
- Tsimogiannis, D.; Samiotaki, M.; Panayotou, G.; Oreopoulou, V. Characterization of flavonoid subgroups and hydroxy substitution by HPLC-MS/MS. Molecules 2007, 12, 593–606. [Google Scholar] [CrossRef]
- Ksouri, W.M.; Medini, F.; Mkadmini, K.; Legault, J.; Magné, C.; Abdelly, C.; Ksouri, R. LC–ESI-TOF–MS identification of bioactive secondary metabolites involved in the antioxidant, anti-inflammatory and anticancer activities of the edible halophyte Zygophyllum album Desf. Food Chem. 2013, 139, 1073–1080. [Google Scholar] [CrossRef]
- Hussein, S.R.; Marzouk, M.M.; Ibrahim, L.F.; Kawashty, S.A.; Saleh, N.A.M. Flavonoids of Zygophyllum album Lf and Zygophyllum simplex L. (Zygophyllaceae). Biochem. Syst. Ecol. 2011, 39, 778. [Google Scholar] [CrossRef]
- Li, C.-J.; Elgamal, M.H.; Sharker, K.H.; Ahmed, A.A.; Mabry, T.J. A new sulfated flavonoid from Zygophyllum dumosum. Nat. Prod. Lett. 1996, 8, 281–284. [Google Scholar] [CrossRef]
- Hassanean, H.A.; Desoky, E.K. An acylated isorhamnetin glucoside from Zygophyllum simplex. Phytochemistry 1992, 31, 3293–3294. [Google Scholar] [CrossRef]
- Abdel-Hamid, R.A.; Ross, S.A.; Abilov, Z.A.; Sultanova, N.A. Flavonoids and Sterols from Zygophyllum fabago. Chem. Nat. Compd. 2016, 52, 318–319. [Google Scholar] [CrossRef]
- Masoumzadeh, M.S. Chemical composition and antibacterial activity of Zygophyllum qatarense Hadidi leaf extract. Adv. Herb. Med. 2018, 4, 23–32. [Google Scholar]
- Abdel-Hamid, R.A.; Abilov, Z.A.; Sultanova, N.A.; Saitjanova, S.B.; Gemedzhieva, N.G. Preliminary phytochemical screening of Zygophyllum fabago. Int. J. Biol. Chem. 2013, 6, 60–64. [Google Scholar]
- Pöllmann, K.; Gagel, S.; Elgamal, M.H.A.; Shaker, K.H.; Seifert, K. Triterpenoid saponins from the roots of Zygophyllum species. Phytochemistry 1997, 44, 485–489. [Google Scholar] [CrossRef]
- Pöllmann, K.; Schaller, K.; Schweizer, U.; Elgamal, M.H.A.; Shaker, K.H.; Seifert, K. Triterpenoid saponins from Zygophyllum decumbens. Phytochemistry 1998, 48, 875–880. [Google Scholar] [CrossRef]
- Safir, O.; Fkih-Tetouani, S.; De Tommasi, N.; Aquino, R. Saponins from Zygophyllum gaetulum. J. Nat. Prod. 1998, 61, 130–134. [Google Scholar] [CrossRef]
- Tašev, K.; Ivanova-Petropulos, V.; Stefova, M. Ultra-performance liquid chromatography-triple quadruple mass spectrometry (UPLC-TQ/MS) for evaluation of biogenic amines in wine. Food Anal. Methods 2017, 10, 4038–4048. [Google Scholar] [CrossRef]
- Flamini, R.; Traldi, P. Mass Spectrometry in Grape and Wine Chemistry; John Wiley & Sons: Hoboken, NJ, USA, 2009; Volume 42, ISBN 0470552913. [Google Scholar]
- Combarros-Fuertes, P.; Estevinho, L.M.; Dias, L.G.; Castro, J.M.; Tomás-Barberán, F.A.; Tornadijo, M.E.; Fresno-Baro, J.M. Bioactive components and antioxidant and antibacterial activities of different varieties of honey: A screening prior to clinical application. J. Agric. Food Chem. 2018, 67, 688–698. [Google Scholar] [CrossRef]
- Gabaston, J.; Richard, T.; Biais, B.; Waffo-Teguo, P.; Pedrot, E.; Jourdes, M.; Corio-Costet, M.-F.; Mérillon, J.-M. Stilbenes from common spruce (Picea abies) bark as natural antifungal agent against downy mildew (Plasmopara viticola). Ind. Crops Prod. 2017, 103, 267–273. [Google Scholar] [CrossRef]
- Hou, S.; Zhu, J.; Ding, M.; Lv, G. Simultaneous determination of gibberellic acid, indole-3-acetic acid and abscisic acid in wheat extracts by solid-phase extraction and liquid chromatography–electrospray tandem mass spectrometry. Talanta 2008, 76, 798–802. [Google Scholar] [CrossRef] [PubMed]
- Urbanová, T.; Tarkowská, D.; Novák, O.; Hedden, P.; Strnad, M. Analysis of gibberellins as free acids by ultra performance liquid chromatography–tandem mass spectrometry. Talanta 2013, 112, 85–94. [Google Scholar] [CrossRef] [PubMed]
- Tine, Y.; Renucci, F.; Costa, J.; Wélé, A.; Paolini, J. A method for LC-MS/MS profiling of coumarins in Zanthoxylum zanthoxyloides (Lam.) B. Zepernich and Timler extracts and essential oils. Molecules 2017, 22, 174. [Google Scholar] [CrossRef] [PubMed]
- Manna, S.K.; Thompson, M.D.; Gonzalez, F.J. Application of mass spectrometry-based metabolomics in identification of early noninvasive biomarkers of alcohol-induced liver disease using mouse model. In Biological Basis of Alcohol-Induced Cancer; Springer: Cham, Switzerland, 2015; pp. 217–238. [Google Scholar]
- Kindl, H. Biosynthesis and metabolism of hydroxyphenyl acetic acids in higher plants. Eur. J. Biochem. 1969, 7, 340–347. [Google Scholar] [CrossRef]
- Masike, K.; Mhlongo, M.I.; Mudau, S.P.; Nobela, O.; Ncube, E.N.; Tugizimana, F.; George, M.J.; Madala, N.E. Highlighting mass spectrometric fragmentation differences and similarities between hydroxycinnamoyl-quinic acids and hydroxycinnamoyl-isocitric acids. Chem. Cent. J. 2017, 11, 29. [Google Scholar] [CrossRef]
- Chen, X.-L.; Qu, L.-B.; Guo, L.; Lu, J.-S.; Liu, Y.; Wu, J.-L.; Zhao, Y.-F. Study on the reaction of salicylic acid with dialkyl phosphite by NMR and electrospray ionization mass spectrometry. Chin. J. Chem. 2005, 23, 733–739. [Google Scholar]
- Abu-Reidah, I.M.; Ali-Shtayeh, M.S.; Jamous, R.M.; Arráez-Román, D.; Segura-Carretero, A. HPLC–DAD–ESI-MS/MS screening of bioactive components from Rhus coriaria L. (Sumac) fruits. Food Chem. 2015, 166, 179–191. [Google Scholar] [CrossRef]
- Grieman, M.M.; Aydin, M.; Fritzsche, D.; McConnell, J.R.; Opel, T.; Sigl, M.; Saltzman, E.S. Aromatic acids in a Eurasian Arctic ice core: A 2600-year proxy record of biomass burning. Clim. Past 2017, 13, 395–410. [Google Scholar] [CrossRef]
- Chen, G.; Li, X.; Saleri, F.; Guo, M. Analysis of flavonoids in Rhamnus davurica and its antiproliferative activities. Molecules 2016, 21, 1275. [Google Scholar] [CrossRef]
- Zhang, W.; Saif, M.W.; Dutschman, G.E.; Li, X.; Lam, W.; Bussom, S.; Jiang, Z.; Ye, M.; Chu, E.; Cheng, Y.-C. Identification of chemicals and their metabolites from PHY906, a Chinese medicine formulation, in the plasma of a patient treated with irinotecan and PHY906 using liquid chromatography/tandem mass spectrometry (LC/MS/MS). J. Chromatogr. A 2010, 1217, 5785–5793. [Google Scholar] [CrossRef]
- Yim, S.-H.; Lee, Y.J.; Park, K.D.; Lee, I.-S.; Shin, B.A.; Jung, D.-W.; Williams, D.R.; Kim, H.J. Phenolic constituents from the flowers of Hamamelis japonica Sieb. et Zucc. Nat. Prod. Sci 2015, 21, 162–169. [Google Scholar]
- Gouvêa, A.C.M.S.; de Araujo, M.C.P.; Schulz, D.F.; Pacheco, S.; de Godoy, R.L.O.; Cabral, L.M.C. Anthocyanins standards (cyanidin-3-O-glucoside and cyanidin-3-O-rutinoside) isolation from freeze-dried açaí (Euterpe oleraceae Mart.) by HPLC. Food Sci. Technol. 2012, 32, 43–46. [Google Scholar] [CrossRef]
- Pandith, S.A.; Dhar, N.; Rana, S.; Bhat, W.W.; Kushwaha, M.; Gupta, A.P.; Shah, M.A.; Vishwakarma, R.; Lattoo, S.K. Functional promiscuity of two divergent paralogs of type III plant polyketide synthases. Plant Physiol. 2016, 171, 2599–2619. [Google Scholar] [CrossRef] [PubMed]
- Braca, A.; Sinisgalli, C.; De Leo, M.; Muscatello, B.; Cioni, P.L.; Milella, L.; Ostuni, A.; Giani, S.; Sanogo, R. Phytochemical profile, antioxidant and antidiabetic activities of Adansonia digitata L. (Baobab) from Mali, as a source of health-promoting compounds. Molecules 2018, 23, 3104. [Google Scholar] [CrossRef]
- Sun, J.; Liang, F.; Bin, Y.; Li, P.; Duan, C. Screening non-colored phenolics in red wines using liquid chromatography/ultraviolet and mass spectrometry/mass spectrometry libraries. Molecules 2007, 12, 679–693. [Google Scholar] [CrossRef]
- Ibrahim, L.F.; Elkhateeb, A.; Marzouk, M.M.; Hussein, S.R.; Abdel-Hameed, E.-S.S.; Kassem, M.E.S. Flavonoid investigation, LC–ESI-MS profile and cytotoxic activity of Raphanus raphanistrum L.(Brassicaceae). J. Chem. Pharm. Res. 2016, 8, 786–793. [Google Scholar]
- Li, Z.-H.; Guo, H.; Xu, W.-B.; Ge, J.; Li, X.; Alimu, M.; He, D.-J. Rapid identification of flavonoid constituents directly from PTP1B inhibitive extract of raspberry (Rubus idaeus L.) leaves by HPLC–ESI–QTOF–MS-MS. J. Chromatogr. Sci. 2016, 54, 805–810. [Google Scholar] [CrossRef]
- Jang, G.H.; Kim, H.W.; Lee, M.K.; Jeong, S.Y.; Bak, A.R.; Lee, D.J.; Kim, J.B. Characterization and quantification of flavonoid glycosides in the Prunus genus by UPLC-DAD-QTOF/MS. Saudi J. Biol. Sci. 2018, 25, 1622–1631. [Google Scholar] [CrossRef]
- Flamini, R. Recent applications of mass spectrometry in the study of grape and wine polyphenols. ISRN Spectrosc. 2013, 2013. [Google Scholar] [CrossRef]
- Zhou, Y.; Wu, D.; Cai, P.; Cheng, G.; Huang, C.; Pan, Y. Special effect of ionic liquids on the extraction of flavonoid glycosides from Chrysanthemum morifolium Ramat by microwave assistance. Molecules 2015, 20, 7683–7699. [Google Scholar] [CrossRef]
- Ye, M.; Yang, W.-Z.; Liu, K.-D.; Qiao, X.; Li, B.-J.; Cheng, J.; Feng, J.; Guo, D.-A.; Zhao, Y.-Y. Characterization of flavonoids in Millettia nitida var. hirsutissima by HPLC/DAD/ESI-MSn. J. Pharm. Anal. 2012, 2, 35–42. [Google Scholar] [CrossRef] [PubMed]
- Aalto, T.R.; Firman, M.C.; Rigler, N.E. p-Hydroxybenzoic acid esters as preservatives. I. Uses, antibacterial and antifungal studies, properties and determination. J. Am. Pharm. Assoc. 1953, 42, 449–457. [Google Scholar] [CrossRef]
- Li, J.; Jiang, J.; Pang, S.; Sun, S.; Wang, L.; Zhou, Y.; Wang, Z.; Gao, Y. Oxidation of methylparaben (MeP) and p-hydroxybenzoic acid (p-HBA) by manganese dioxide (MnO2) and effects of iodide: Efficiency, products, and toxicity. Sci. Total Environ. 2019, 661, 670–677. [Google Scholar] [CrossRef]
- Burden, D.A.; Osheroff, N. In vitro evolution of preferred topoisomerase II DNA cleavage sites. J. Biol. Chem. 1999, 274, 5227–5235. [Google Scholar] [CrossRef] [PubMed]
- Attard, E. A rapid microtitre plate Folin-Ciocalteu method for the assessment of polyphenols. Open Life Sci. 2013, 8, 48–53. [Google Scholar] [CrossRef]
- Herald, T.J.; Gadgil, P.; Tilley, M. High-throughput micro plate assays for screening flavonoid content and DPPH-scavenging activity in sorghum bran and flour. J. Sci. Food Agric. 2012, 92, 2326–2331. [Google Scholar] [CrossRef]
- Fayek, N.M.; Farag, M.A.; Abdel Monem, A.R.; Moussa, M.Y.; Abd-Elwahab, S.M.; El-Tanbouly, N.D. Comparative metabolite profiling of four citrus peel cultivars via ultra-performance liquid chromatography coupled with quadrupole-time-of-flight-mass spectrometry and multivariate data analyses. J. Chromatogr. Sci. 2019, 57, 349–360. [Google Scholar] [CrossRef]
- Mohammed, H.A.; Abdel-Aziz, M.M.; Hegazy, M.M. Anti-Oral Pathogens of Tecoma stans (L.) and Cassia javanica (L.) Flower Volatile Oils in Comparison with Chlorhexidine in Accordance with Their Folk Medicinal Uses. Medicina 2019, 55, 301. [Google Scholar] [CrossRef]
- Pitangui, N.S.; Sardi, J.C.O.; Silva, J.F.; Benaducci, T.; Moraes da Silva, R.A.; Rodríguez-Arellanes, G.; Taylor, M.L.; Mendes-Giannini, M.J.S.; Fusco-Almeida, A.M. Adhesion of Histoplasma capsulatum to pneumocytes and biofilm formation on an abiotic surface. Biofouling 2012, 28, 711–718. [Google Scholar] [CrossRef]
- Skehan, P.; Storeng, R.; Scudiero, D.; Monks, A.; McMahon, J.; Vistica, D.; Warren, J.T.; Bokesch, H.; Kenney, S.; Boyd, M.R. New colorimetric cytotoxicity assay for anticancer-drug screening. JNCI J. Natl. Cancer Inst. 1990, 82, 1107–1112. [Google Scholar] [CrossRef]
- Kassab, A.E.; Gedawy, E.M. Novel ciprofloxacin hybrids using biology oriented drug synthesis (BIODS) approach: Anticancer activity, effects on cell cycle profile, caspase-3 mediated apoptosis, topoisomerase II inhibition, and antibacterial activity. Eur. J. Med. Chem. 2018, 150, 403–418. [Google Scholar] [CrossRef] [PubMed]




| No. | RT (min) | % * | Adduct Ion | Molecular Formula, Precursor m/z | Error (ppm) | Characteristic Fragments | Compounds Identity ** | Refs. |
|---|---|---|---|---|---|---|---|---|
| 1. | 1.13 | 0.945 | [M + H]+ | C10H26N4 203.2236 | −1.0 | 112 [M + H − (CH2)3N2H4 − NH3]+,129 [M + H − (CH2)3N2H4]+, 203 [M + H]+ | Spermine | [39,40] |
| 2. | 1.14 | 0.142 | [M + H]+ | C7H19N3 146.1667 | −8.3 | 129 [M + H − NH2]+, 146 [M + H]+ | Spermidine | [40] |
| 3. | 1.46 | 0.026 | [M − H]− | C8H8O3 151.0601 | 0.6 | 107 [M − H − CO2]−, 151 [M − H]− | 2-Hydroxyphenyl acetic acid | [46,47] |
| 4. | 1.47 | 0.458 | [M − H]− | C9H8O4 179.0572 | 1.3 | 135 [M − H − CO2]−, 150 [M − H − CO]−, 161 [M − H − H2O]−, 179 [M − H]− | Caffeic acid | [48] |
| 5. | 1.52 | 0.072 | [M − H]− | C7H6O3 137.0228 | 6.0 | 93 [M − H − CO2]−, 137 [M − H]− | Salicylic acid | [49] |
| 6. | 1.84 | 0.284 | [M − H]− | C9H8O3 163.0384 | 6.9 | 119 [M − H − CO2]−, 163 [M − H]− | p-Coumaric acid | [50] |
| 7. | 1.84 | 0.242 | [M − H]− | C21H24O9 419.0877 | −0.7 | 257 [M – H-glucose]−, 419 [M − H]− | Isorhapontin | [42] |
| 8. | 2.48 | 0.069 | [M − H]− | C10H7NO3 188.0342 | 3.7 | 144 [M − H − CO2]−, 188 [M − H]− | Kynurenic acid | [41] |
| 9. | 3.28 | 0.389 | [M − H]− | C7H6O3 137.0228 | 5.3 | 93 [M − H − CO2]−, 137 [M − H]− | p-Hydroxybenzoic acid | [51] |
| 10. | 5.08 | 0.162 | [M − H]− | C15H20O4 263.131 | −0.4 | 153 [M − H − C6H6O2]−, 219 [M − H − COO]−, 263 [M − H]− | Abscisic acid | [43] |
| 11. | 5.11 | 0.233 | [M − H]− | C15H12O7 303.0924 | 0.0 | 285 [M − H − H2O]−, 303 [M − H]− | Taxifolin | [52] |
| 12. | 5.86 | 0.135 | [M − H]− | C21H18O11 445.0773 | 2.8 | 269 [M − H − glucuronic acid]−,445 [M − H]− | Baicalin (Baicalein-7-O-glucuronide) | [53] |
| 13. | 6.08 | 0.082 | [M − H]− | C21H20O12 463.0886 | −0.4 | 301 [M – H-glucose]−, 463 [M − H]− | Spiraeoside (Quercetin-4′-O-glucopyranoside) | [54] |
| 14. | 6.13 | 0.583 | [M − H]− | C19H24O5 331.1323 | 4.3 | 286 [M − H − OH]−, 331 [M − H]− | Gibberellin-A4 | [44] |
| 15. | 6.21 | 0.101 | [M]+ | C27H31O15 595.163 | 3.6 | 287 [M − rutinose]+, 449[M − rhamnose]+, 595 [M]+ | Cyanidin-3-O-rutinoside | [55] |
| 16. | 6.29 | 0.084 | [M + H]+ | C9H10O4 183.0916 | −0.4 | 123 [M + H − CH3 − CO2H]+, 140 [M + H − CH3 − CO]+, 168 [M + H − CH3]+, 183 [M + H]+ | Syringaldehyde | [40] |
| 17. | 6.32 | 0.076 | [M + H]+ | C12H10O4 219.1468 | 6.7 | 161 [M + H − CH3 − CH3CO]+, 219 [M + H]+ | 7-Acetoxy-4-methyl coumarin | [45] |
| 18. | 6.47 | 0.019 | [M + H]+ | C15H12O5 273.1365 | 0.6 | 147 [M + H − C6H6O3]+, 273 [M + H]+ | Naringenin | [56] |
| 19. | 6.51 | 0.661 | [M + H]+ | C27H30O16 611.1602 | 0.8 | 153, 229 [M + H − rutinose − H2O − 2CO]+, 303 [M + H − rutinose]+ 465 [M + H − rhamnose]+, 611 [M + H]+ | Rutin | [28] |
| 20. | 6.52 | 0.153 | [M + H]+ | C15H10O7 303.049 | 3.0 | 153,165,229 [M + H − H2O − 2CO]+, 247 [M + H-2CO]+, 257 [M + H − H2O − CO]+, 285 [M + H − H2O]+, 303 M + H]+ | Quercetin | [28] |
| 21. | 6.53 | 19.807 | [M − H]− | C30H26O13 593.1541 | −1.1 | 285 [M − H, 3-O-(6′′′′-p-coumaroyl)-glucoside]−, 593 [M − H]− | Tiliroside | [57] |
| 22. | 6.55 | 0.070 | [M − H]− | C11H12O5 223.1339 | 0.5 | 179 [M − H − CO2]−, 223 [M − H]− | Sinapic acid | [58] |
| 23. | 6.79 | 0.773 | [M − H]− | C42H66O15 809.4398 | 9.2 | 603 [M − H-glucose-CO2], 647 [M − H-glucose]−, 809 [M − H]− | Zygophyloside-K | |
| 24. | 6.84 | 1.618 | [M − H]+ | C27H30O14 579.144 | 2.7 | 287 [M + H-2-rhamnose]+, 433 [M + H-rhamnose]+, 579 [M + H]+ | Kaempferol 3,7-di-O-α-L-rhamnoside | [59] |
| 25. | 7.08 | 0.077 | [M − H]− | C28H32O16 623.2877 | −5.0 | 300 [M − H-rutinose-CH3]−, 315 [M − H-rutinose]−, 623 [M − H]− | Isorhamnetin-3-O-rutinoside | [60] |
| 26. | 7.11 | 0.084 | [M + H]+ | C21H20O12 465.1458 | 4.8 | 229 [M + H-glactose-H2O-2CO]+, 247 [M + H-glactose-2CO]+, 303 [M + H-galactose]+, 465 [M + H]+ | Hyperoside(Quercetin-3-O-galactoside) | [28,61] |
| 27. | 7.11 | 1.489 | [M + H]+ | C15H10O6 287.0546 | 0.8 | 137, 153, 241 [M + H − H2O − CO]+, 269 [M + H − H2O]+, 287 [M + H]+ | Luteolin | [28] |
| 28. | 7.26 | 4.752 | [M + H]+ | C22H22O12 479.1185 | 1.0 | 302 [M + H-glucose-CH3]+, 317 [M + H-glucose]+, 479 [M + H]+ | Isorhamnetin-3-O-glucoside | [62] |
| 29. | 7.49 | 9.674 | [M − H]− | C42H66O18S 889.3969 | 0.0 | 97 [SO4H]−, 683 [M − H-Glc-CO2]−, 727 [M − H-Glc]−, 845 [M − H-CO2]−, 889 [M − H]− | Zygophyloside-G | [36] |
| 30. | 7.86 | 0.394 | [M + H]+ | C9H8O 133.1006 | 0.3 | 105 [M + H-CO]+, 115 [M + H − H2O]+, 133 [M + H]+ | Cinnamaldehyde | [40] |
| 31. | 8.03 | 12.786 | [M − H]− | C42H66O17S 873.401 | 1.1 | 587 [M – H-glucose-CO2-SO3]−, 667 [M − H-glucose-CO2]−, 711 [M − H-glucose]−,873 [M−]− | Zygophyloside-F | [5] |
| 32. | 9.28 | 3.315 | [M − H]− | C42H66O14 793.4397 | 2.8 | 254 [M − H-glucose-(CO2)2]−, 587 [M − H-glucose-CO]−, 749, 793 [M − H]− | 3-O-[β-D-Quinovo pyranosyl] quinovic acid-28-β-D-gluco pyranosyl ester | [6] |
| 33. | 9.41 | 0.367 | [M + H]+ | C21H20O10 433.1104 | 4.3 | 165, 241 [M + H-H2O-CO]+, 287 [M + H-rhamnose]+, 433 [M + H]+ | Kaempferol-3-O-α-L-rhamnoside | [28,61] |
| 34. | 10.13 | 0.559 | [M − H]− | C36H56O10 647.3752 | −6.6 | 602 [M − H-CO2]−, 647 [M − H]− | 3-O-[β-D-gluco pyranosyl] quinovic acid | [6] |
| 35. | 10.81 | 0.332 | [M + H]+ | C15H10O5 271.0609 | −0.5 | 119, 121, 153, 225 [M + H-H2O-CO]+, 271 [M + H]+ | Apigenin | [28] |
| 36. | 11.14 | 0.111 | [M + H]+ | C16H12O6 301.0688 | 4.8 | 153, 286 [M + H-CH3]+, 301 [M + H]+ | Kaempferide | [63] |
| 37. | 11.30 | 0.294 | [M + H]+ | C16H12O7 317.0638 | 5.0 | 121, 153, 229, 302 [M + H-CH3]+, 317 [M + H]+ | Isorhamnetin | [28] |
| 38. | 11.87 | 0.034 | [M − H]− | C16H12O4 267.0668 | 0.4 | 204, 251, 252 [M − H-CH3]−, 267 [M − H]− | Formononetin | [64] |
| Tested Samples | aq.-Ethanolic Extract | Chloroform Fraction | Ethyl Acetate Fraction | n-Butanol Fraction | Amphotericin B | ||||||||||
|---|---|---|---|---|---|---|---|---|---|---|---|---|---|---|---|
| Fungi | MIC | MBIC | MBEC | MIC | MBIC | MBEC | MIC | MBIC | MBEC | MIC | MBIC | MBEC | MIC | MBIC | MBEC |
| Aspergillus fumigatus | 15.63 | 1.95 | 125 | 1.95 | 0.49 | 15.63 | 3.9 | 0.49 | 62.5 | 31.25 | 3.9 | NA | 0.98 | 0.24 | 15.63 |
| Candida albicans | 62.5 | 3.9 | 250 | 0.98 | 0.24 | 7.81 | 3.9 | 0.98 | 31.25 | 125 | 31.25 | 1000 | 0.49 | 0.12 | 15.63 |
| Gram-Positive Bacteria | Ciprofloxacin | ||||||||||||||
| Streptococcus pneumoniae | 125 | 31.25 | NA | 0.98 | 0.24 | 15.63 | 7.81 | 0.98 | 62.5 | 125 | 15.3 | 1000 | 0.98 | 0.12 | 31.25 |
| Staphylococcus aureus | 15.63 | 3.9 | 125 | 0.49 | 0.12 | 3.9 | 3.9 | 0.49 | 62.5 | 62.5 | 7.81 | 250 | 0.49 | 0.24 | 15.63 |
| Gram-Negative Bacteria | Ciprofloxacin | ||||||||||||||
| Pseudomonas aeruginosa | 31.25 | 3.9 | 250 | 0.98 | 0.24 | 15.63 | 3.9 | 0.98 | 31.25 | 125 | 15.63 | NA | 1.95 | 0.24 | 31.25 |
| Escherichia coli | 15.63 | 3.9 | 125 | 1.95 | 0.24 | 15.63 | 0.98 | 0.49 | 15.63 | 31.25 | 3.9 | 250 | 0.98 | 0.12 | 31.25 |
| Cell-Lines/Enzyme | aq.-Ethanolic Extract (IC50, µg/mL) | Chloroform Fraction (IC50, µg/mL) | Ethyl Acetate Fraction (IC50, µg/mL) | n-Butanol Fraction (IC50, µg/mL) | Staurosporine (IC50, ng/mL) |
| MCF-7 | 3.47 ± 0.28 | 5.78± 0.56 | 8.43± 0.86 | 9.78 ± 0.98 | |
| HCT-116 | 3.19 ± 0.29 | 4.12 ± 0.036 | 6.22 ± 0.056 | 10.17 ± 1.1 | |
| HepG2 | 2.27 ± 0.26 | 3.17 ± 0.34 | 5.52 ± 0.52 | 8.26 ± 0.87 | |
| Topoisomerase-IIβ (TOP-IIβ) inhibition activity | 45.05 ng/mL | 135.33 ng/mL | |||
| Compound Name and Entry (#) in Table 1 | Energy: ΔG (Kcal/mole) at 4URO | Energy: ΔG (Kcal/mole) at 3QX3 |
|---|---|---|
| Tiliroside (21) | −6.46 | −6.63 |
| Zygophyloside-F (31) | −6.06 | −6.22 |
| Isorhamnetin-3-O-glucoside (28) | −6.38 | −5.75 |
| 3-O-[β-D-quinovopyranosyl] quinovic acid- 28-β-D-glucopyranosyl ester (32) | −6.37 | −6.23 |
| Kaempferol 3,7-di-O-α-L-rhamnoside (24) | −6.47 | −5.65 |
| Luteolin (27) | −5.19 | −5.08 |
| Spermine (1) | −4.91 | −5.10 |
| Gibberellin-A4 (14) | −3.81 | −4.23 |
| Caffeic acid (4) | −4.60 | −4.60 |
| Etoposide (standard anti-cancer drug) | −5.94 | |
| Novobiocin (standard anti-microbial drug) | −6.72 |
Publisher’s Note: MDPI stays neutral with regard to jurisdictional claims in published maps and institutional affiliations. |
© 2021 by the authors. Licensee MDPI, Basel, Switzerland. This article is an open access article distributed under the terms and conditions of the Creative Commons Attribution (CC BY) license (http://creativecommons.org/licenses/by/4.0/).
Share and Cite
Mohammed, H.A.; Khan, R.A.; Abdel-Hafez, A.A.; Abdel-Aziz, M.; Ahmed, E.; Enany, S.; Mahgoub, S.; Al-Rugaie, O.; Alsharidah, M.; Aly, M.S.A.; et al. Phytochemical Profiling, In Vitro and In Silico Anti-Microbial and Anti-Cancer Activity Evaluations and Staph GyraseB and h-TOP-IIβ Receptor-Docking Studies of Major Constituents of Zygophyllum coccineum L. Aqueous-Ethanolic Extract and Its Subsequent Fractions: An Approach to Validate Traditional Phytomedicinal Knowledge. Molecules 2021, 26, 577. https://doi.org/10.3390/molecules26030577
Mohammed HA, Khan RA, Abdel-Hafez AA, Abdel-Aziz M, Ahmed E, Enany S, Mahgoub S, Al-Rugaie O, Alsharidah M, Aly MSA, et al. Phytochemical Profiling, In Vitro and In Silico Anti-Microbial and Anti-Cancer Activity Evaluations and Staph GyraseB and h-TOP-IIβ Receptor-Docking Studies of Major Constituents of Zygophyllum coccineum L. Aqueous-Ethanolic Extract and Its Subsequent Fractions: An Approach to Validate Traditional Phytomedicinal Knowledge. Molecules. 2021; 26(3):577. https://doi.org/10.3390/molecules26030577
Chicago/Turabian StyleMohammed, Hamdoon A., Riaz A. Khan, Atef A. Abdel-Hafez, Marwa Abdel-Aziz, Eman Ahmed, Shymaa Enany, Sebaey Mahgoub, Osamah Al-Rugaie, Mansour Alsharidah, Mohamed S. A. Aly, and et al. 2021. "Phytochemical Profiling, In Vitro and In Silico Anti-Microbial and Anti-Cancer Activity Evaluations and Staph GyraseB and h-TOP-IIβ Receptor-Docking Studies of Major Constituents of Zygophyllum coccineum L. Aqueous-Ethanolic Extract and Its Subsequent Fractions: An Approach to Validate Traditional Phytomedicinal Knowledge" Molecules 26, no. 3: 577. https://doi.org/10.3390/molecules26030577
APA StyleMohammed, H. A., Khan, R. A., Abdel-Hafez, A. A., Abdel-Aziz, M., Ahmed, E., Enany, S., Mahgoub, S., Al-Rugaie, O., Alsharidah, M., Aly, M. S. A., Mehany, A. B. M., & Hegazy, M. M. (2021). Phytochemical Profiling, In Vitro and In Silico Anti-Microbial and Anti-Cancer Activity Evaluations and Staph GyraseB and h-TOP-IIβ Receptor-Docking Studies of Major Constituents of Zygophyllum coccineum L. Aqueous-Ethanolic Extract and Its Subsequent Fractions: An Approach to Validate Traditional Phytomedicinal Knowledge. Molecules, 26(3), 577. https://doi.org/10.3390/molecules26030577

