Crocins, the Bioactive Components of Crocus sativus L., Counteract the Disrupting Effects of Anesthetic Ketamine on Memory in Rats
Abstract
1. Introduction
2. Results
2.1. Experiment 1: Effects of Acute Challenge with Crocins and Anesthetic Ketamine on Animals’ Performance in the ORT
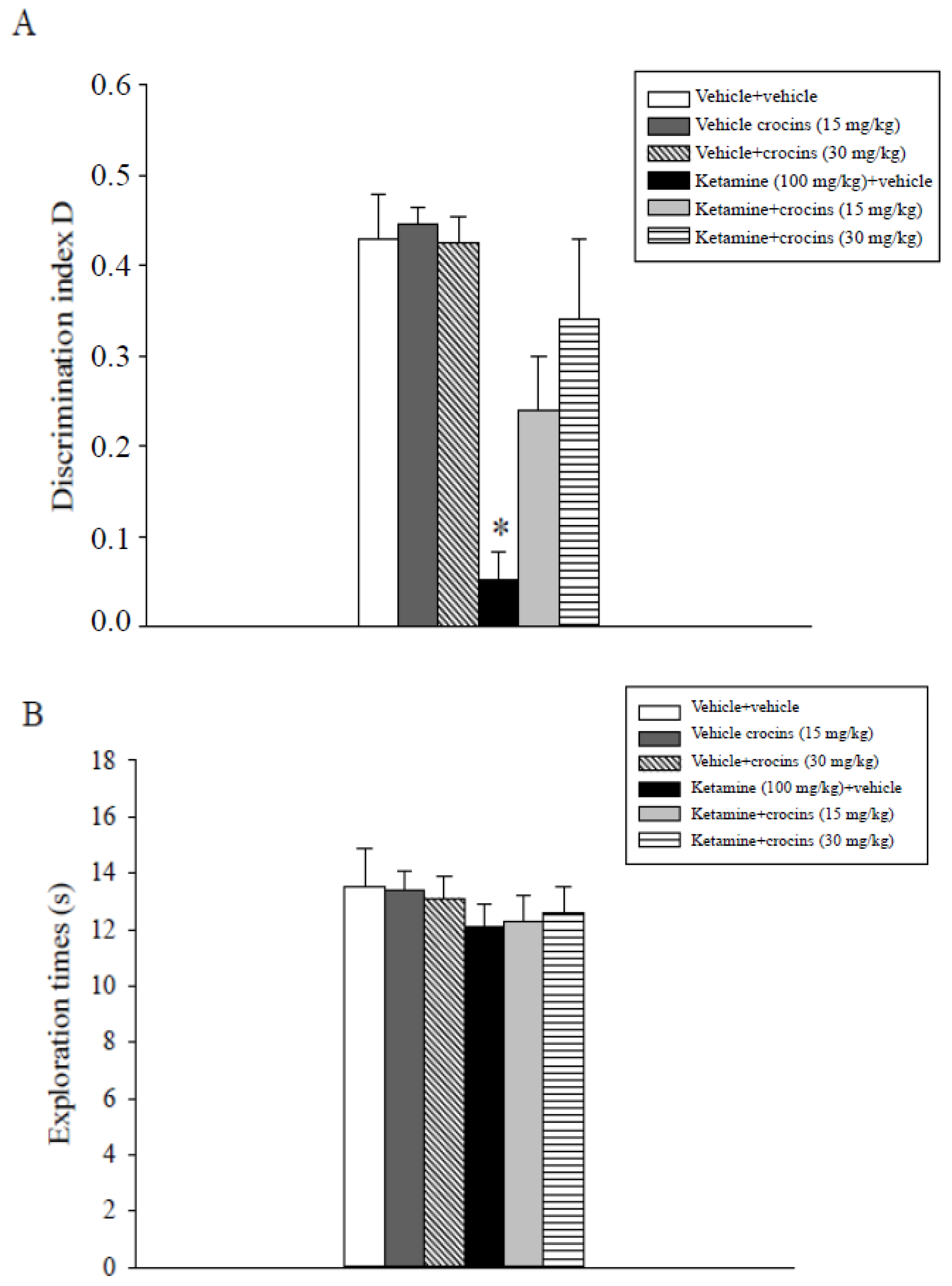
2.2. Experiment 2: Effects of Acute Challenge with Crocins and Anesthetic Ketamine on Animals’ Performance in the OLT
2.3. Experiment 3: Effects of Acute Challenge with Crocins and Anesthetic Ketamine on Animals’ Performance in the HT
3. Discussion
4. Materials and Methods
4.1. Animals
4.2. Behavior
4.2.1. Object Recognition Task (ORT)
4.2.2. Object Location Task (OLT)
4.2.3. Habituation Test (HT)
4.3. Drugs
4.4. Experimental Protocol
4.4.1. Experiment 1: Effects of Acute Challenge with Crocins and Anesthetic Ketamine on Animals’ Performance in the ORT
4.4.2. Experiment 2: Effects of Acute Challenge with Crocins and Anesthetic Ketamine on Animals’ Performance in the OLT
4.4.3. Experiment 3: Effects of Acute Challenge with Crocins and Anesthetic Ketamine on Animals’ Performance in the HT
4.5. Statistical Analysis
Author Contributions
Funding
Institutional Review Board Statement
Informed Consent Statement
Data Availability Statement
Conflicts of Interest
Sample Availability
References
- Javitt, D.C.; Zukin, R.S. Recent advances in the phencyclidine model of schizophrenia. Am. J. Psychiatry 1991, 148, 1301–1308. [Google Scholar]
- Krystal, J.H.; Karper, L.P.; Seibyl, J.P.; Freeman, G.K.; Delaney, R.; Bremne, J.D.; Heninger, G.R.; Bowers, M.B.; Charney, D.S. Subanesthetic effects of the noncompetitive NMDA antagonist, ketamine, in humans. Psychotomimetic, perceptual, cognitive and neuroendocrine responses. Arch. Gen. Psychiatry 1994, 51, 199–214. [Google Scholar] [CrossRef] [PubMed]
- Avis, N.A.; Burton, N.R.; Berry, S.C.; Lodge, D. The dissociative anesthetics ketamine and phencyclidine selectively reduce excitation of central mammalian neurons by N-methyl-D-aspartate. Br. J. Pharmacol. 1983, 79, 565–575. [Google Scholar]
- Corssen, G.; Domino, E.F. Dissociative anesthesia: Further pharmacological studies and first clinical experience with the phencyclidine derivative CI-581. Anesth. Analg. 1966, 45, 29–40. [Google Scholar] [CrossRef]
- Okon, T. Ketamine: An introduction for the pain and palliative medicine physician. Pain Physician 2007, 10, 493–500. [Google Scholar]
- Pitsikas, N.; Boultadakis, A. Pre-training administration of anesthetic ketamine differentially affects rats’ spatial and non-spatial recognition memory. Neuropharmacology 2009, 57, 1–7. [Google Scholar] [CrossRef] [PubMed]
- Wang, J.H.; Fu, Y.; Wilson, F.A.W.; Ma, Y.Y. Ketamine affects memory consolidation: Differential effects in T-maze and passive avoidance paradigms in mice. Neuroscience 2006, 140, 993–1002. [Google Scholar] [CrossRef] [PubMed]
- Gerlai, R.; McNamara, A. Anesthesia induced retrograde amnesia is ameliorated by ephrinA5-IgG in mice: EphA receptor tyrosine kinases are involved in mammalian memory. Behav. Brain Res. 2000, 108, 133–143. [Google Scholar] [CrossRef]
- Boultadakis, A.; Pitsikas, N. Anesthetic ketamine impairs rats’ recall of previous information. The nitric oxide synthase inhibitor N-nitro-L-arginine methylester antagonizes this ketamine-induced recognition memory deficit. Anesthesiology 2011, 114, 1345–1353. [Google Scholar] [CrossRef]
- Morgan, C.J.; Mofeez, A.; Brandner, B.; Bromley, L.; Curran, H.V. Acute effects of ketamine on memory systems and psychotic symptoms in healthy volunteers. Neuropsychopharmacology 2004, 29, 208–218. [Google Scholar] [CrossRef]
- Irifune, M.; Shimizu, T.; Nomoto, M. Ketamine-induced anesthesia involves the N-methyl-D-aspartate receptor-channel complex in mice. Brain Res. 1992, 596, 1–9. [Google Scholar] [CrossRef]
- Peng, S.; Zhang, Y.; Zhang, J.; Wang, H.; Ren, B. Effect of ketamine on ERK expression in hippocampal neural cell and the ability of learning behavior in minor rats. Mol. Biol. Rep. 2010, 7, 3137–3142. [Google Scholar] [CrossRef] [PubMed]
- Nakao, S.; Nagata, A.; Miyamoto, E.; Masuzawa, M.; Shingu, K. Inhibitory effect of profolol on ketamine-induced c-Fos expression in the rat posterior cingulate and retrosplenial cortices is mediated by GABAA receptor activation. Acta Anesthesiol. Scand. 2003, 47, 284–290. [Google Scholar] [CrossRef] [PubMed]
- Venancio, C.; Felix, L.; Almeida, V.; Coutinho, J.; Antunes, L.; Peixoto, F.; Summavielle, T. Acute ketamine impairs mitochondrial function and promotes superoxide dismutase activity in the rat brain. Anesth. Analg. 2015, 120, 320–328. [Google Scholar] [CrossRef] [PubMed]
- Kanakis, C.D.; Daferera, D.J.; Tarantilis, P.A.; Polissiou, M.G. Qualitative determination of volatile compounds and quantitative evaluation of safranal and 4-hydroxy-2,6,6-trimethyl-1-cyclohexene-1-carboxaldehyde. J. Agric. Food Chem. 2004, 52, 4515–4521. [Google Scholar] [CrossRef] [PubMed]
- Tarantilis, P.A.; Tsoupras, G.; Polissiou, M. Determination of saffron (Crocus sativus L.) components in crude plant extract using high-performance liquid chromatography-UV/Visible photodiode-array detection-mass spectrometry. J. Chromatogr. 1995, 699, 107–118. [Google Scholar] [CrossRef]
- Rios, J.L.; Recio, M.C.; Ginger, R.M.; Manz, S. An update review of saffron and its active constituents. Phytother Res 1996, 10, 189–193. [Google Scholar] [CrossRef]
- Pitsikas, N. Constituents of saffron (Crocus sativus L.) as potential candidates for the treatment of anxiety disorders and schizophrenia. Molecules 2016, 21, 303. [Google Scholar] [CrossRef]
- Pitsikas, N. The effects of Crocus sativus L. and its constituents on memory: Basic studies and clinical applications. Evid. Based Complement. Alternat. Med. 2015, 2015, 926284. [Google Scholar] [CrossRef]
- Karkoula, E.; Lemonakis, N.; Kokras, N.; Dalla, C.; Gikas, E.; Skaltsounis, A.L.; Tsarbopoulos, A. Trans-crocin 4 is not hydrolyzed to crocetin following i.p. administration in mice, while it shows penetration through the blood brain barrier. Fitoterapia 2018, 129, 62–72. [Google Scholar] [CrossRef]
- Georgiadou, G.; Grivas, V.; Tarantilis, P.A.; Pitsikas, N. Crocins the active constituents of Crocus Sativus L., counteracted ketamine-induced behavioural deficits in rats. Psychopharmacology 2014, 231, 717–726. [Google Scholar] [CrossRef] [PubMed]
- Ghadrdoost, B.; Vafaei, A.; Rashidy-Pour, A.; Hajisoltani, R.; Bandegi, A.R.; Motamedi, F.; Haghighi, S.; Sameni, H.R.; Pahlvan, S. Protective effect of saffron extracts and its active constituent crocin against oxidative stress and spatial learning and memory deficits induced by chronic stress in rats. Eur. J. Pharmacol. 2011, 667, 222–229. [Google Scholar] [CrossRef] [PubMed]
- Naghizadeh, B.; Mansouri, M.T.; Ghorbanzadeh, B.; Farbood, Y.; Sarkaki, A. Protective effects of oral crocin against intracerebroventricular streptozotocin-induced spatial memory deficit and oxidative stress in rats. Phytomedicine 2013, 20, 537–543. [Google Scholar] [CrossRef] [PubMed]
- Himmelseher, S.; Durieux, M.E. Revising a dogma: Ketamine for patients with neurological injury? Anesth. Analg. 2005, 101, 524–534. [Google Scholar] [CrossRef] [PubMed]
- Xiang, Q.; Tan, L.; Zhao, Y.; Wang, J.; Luo, A. Ketamine: The best partner for isoflurane in neonatal anesthesia? Med. Hypoth. 2008, 71, 868–871. [Google Scholar] [CrossRef] [PubMed]
- Ennaceur, A.; Delacour, J. A new one-trial test for neurobiological studies of memory in rats. 1. Behavioral data. Behav. Brain Res. 1988, 31, 47–59. [Google Scholar] [CrossRef]
- Ennaceur, A.; Neave, N.; Aggleton, J.P. Spontaneous object recognition and object location memory in rats: The effects of lesions in the cingulated cortices, the medial prefrontal cortex, the cingulum bundle and the fornix. Exp. Brain Res. 1997, 113, 509–519. [Google Scholar] [CrossRef]
- Vianna, M.R.M.; Alonso, M.; Vila, H.; Quevedo, J.; de Paris, F.; Furman, M.; Levi de Stein, M.; Medina, J.H.; Izquierdo, I. Role of hippocampal signaling pathways in long-term memory formation of a nonassociative learning task in the rat. Learn. Mem. 2000, 7, 333–340. [Google Scholar] [CrossRef]
- Lafioniatis, A.; Bermperian, V.C.; Pitsikas, N. Flumazenil but not bicuculline counteract the impairing effects of anesthetic ketamine on recognition memory in rats. Evidence for a functional interaction between the GABAA-benzodiazepine receptor and ketamine? Neuropharmacology 2019, 148, 87–95. [Google Scholar] [CrossRef]
- Pitsikas, N. The nicotinic α7receptor agonist GTS-21 but not the nicotinic α4β2 receptor agonist ABT-418 attenuate the disrupting effect of anesthetic ketamine on recognition memory. Behav. Brain Res. 2020, 393, 112778. [Google Scholar] [CrossRef]
- Yamakura, T.; Chavez-Noriega, L.E.; Harris, R.A. Subunit-dependent inhibition of human neuronal nicotinic acetylcholine receptors and other ligand-gated ion channels by dissociative anesthetics ketamine and dizocilpine. Anesthesiology 2000, 92, 1144–1153. [Google Scholar] [CrossRef] [PubMed]
- Buggy, D.J.; Nicol, B.; Rowbotham, D.J.; Lambert, D.G. Effects of intravenous anesthetic agents on glutamate release. Anesthesiology 2000, 92, 1067–1073. [Google Scholar] [CrossRef] [PubMed]
- Orser, B.A.; Pennefather, P.S.; MacDonald, J.F. Multiple mechanisms of ketamine blockade of N-methyl-D-aspartate receptors. Anesthesiology 1997, 86, 903–917. [Google Scholar] [CrossRef] [PubMed]
- Zhang, Y.; Wu, S.; Xie, L.; Yu, S.; Zhang, L.; Liu, C.; Zhou, W.; Yu, T. Ketamine within effective range inhibits glutamate transmission from astrocytes to neurons and disrupts synchronization of astrocytes SICs. Front. Cell Neurosci. 2019, 13, 240. [Google Scholar] [CrossRef] [PubMed]
- Lechtenberg, M.; Schepmann, D.; Niehues, M.; Hellenbrand, M.; Wunsch, B.; Hensel, A. Quality and functionality of saffron: Quality control, species assortment, and affinity of extract and isolated saffron compounds to NMDA and σ1 (Sigma-1) receptors. Planta Med. 2008, 74, 764–772. [Google Scholar] [CrossRef]
- Berger, F.; Hensel, A.; Nieber, K. Saffron extract and trans-crocetin inhibit glutamatergic synaptic transmission in rat cortical brain slices. Neuroscience 2011, 180, 238–247. [Google Scholar] [CrossRef]
- Adabizadeh, M.; Mehri, S.; Rajabpour, M.; Abnous, K.; Rashedinia, M.; Hosseinzadeh, H. The effects of crocin on spatial memory impairment induced by hyoscine: Role of NMDA, AMPA, ERK, and CaMKII proteins in rat hippocampus. Iran J. Basic Med. Sci. 2019, 22, 601–609. [Google Scholar]
- Saeedi, M.; Rashidi-Pour, A. Association between chronic stress and Alzheimer’s disease: Therapeutic effects of saffron. Biomed. Pharmacother. 2021, 133, 110995. [Google Scholar] [CrossRef]
- Geromichalos, G.D.; Lamari, F.N.; Papandreou, M.A.; Trafalis, D.T.; Margarity, M.; Papageorgiou, A.; Sinakos, Z. Saffron as a source of novel acetylcholinesterase inhibitors: Molecular docking and in vitro enzymatic studies. J. Agric. Food Chem. 2012, 60, 6131–6138. [Google Scholar] [CrossRef]
- Papandreou, M.A.; Kanakis, C.D.; Polisssiou, M.G.; Efthimiopoulos, S.; Cordopatis, P.; Margarity, M.; Lamari, F.N. Inhibitory activity of amyloid-β aggregation and antioxidant properties of Crocus sativus extract and its crocins constituents. J. Agric. Food Chem. 2006, 54, 8762–8768. [Google Scholar] [CrossRef]
- Hadipour, M.; Kaka, G.; Bahrami, F.; Meftahi, G.H.; Jahromi, G.P.; Mohammadi, A.; Sahraei, H. Crocin improved amyloid beta induced long-term potentiation and memory deficits in the hippocampal CA1 neurons in freely moving rats. Synapse 2018, 72, e22026. [Google Scholar] [CrossRef] [PubMed]
- Yuan, Y.; Shan, X.; Men, W.; Zhai, H.; Qiao, X.; Geng, L.; Li, C. The effects of crocin on memory, hippocampal acetylcholine level, and apoptosis, in a rat model of cerebral ischemia. Biomed. Pharmacother. 2020, 130, 110543. [Google Scholar] [CrossRef] [PubMed]
- Cavoy, A.; Delacour, J. Spatial but not object recognition is impaired by aging in rats. Physiol. Behav. 1993, 53, 527–530. [Google Scholar] [CrossRef]
- Pitsikas, N. Effects of scopolamine and L-NAME on rats’ performance in the object location test. Behav. Brain Res. 2007, 179, 294–298. [Google Scholar] [CrossRef]
- Kanakis, C.D.; Tarantilis, P.A.; Tajmir-Riahi, A.; Polissiou, M.G. DNA interaction with saffron’s secondary metabolites safranal, crocetin, and dimethylcrocetin. DNA Cell. Biol. 2007, 26, 63–70. [Google Scholar] [CrossRef]
- Del Campo, C.P.; Carmona, M.; Maggi, L.; Kanakis, C.D.; Anastasaki, E.G.; Tarantilis, P.A.; Polyssiou, M.G.; Alonso, G.L. Effects of mild temperature conditions during dehydration procedures on saffron quality parameters. J. Sci. Food Agric. 2010, 90, 719–725. [Google Scholar] [CrossRef]
- Carmona, M.; Zalacain, A.; Sanchez, A.M.; Novella, J.L.; Alonso, G.L. Crocetin esters, picrocrocin and its related compounds present in Crocus sativus stigmas and Gardenia jasminoides fruits. Tentative identification of seven new compounds by LC-ESI-MS. J. Agric. Food Chem. 2006, 54, 973–979. [Google Scholar] [CrossRef]
- Mohajeri, S.A.; Hosseinzadeh, H.; Keyhanfar, F.; Aghamohammadian, J. Extraction of crocin from saffron (Crocus sativus) using molecularly imprinted polymer solid-phase extraction. J. Sep. Sci. 2010, 33, 2302–2309. [Google Scholar] [CrossRef]
- Karkoula, E.; Angelis Koulakiotis, N.S.; Gikas, E.; Halabalaki, M.; Tsarbopoulos, A.; Skaltsounis, A.L. Rapid isolation and characterization of crocins, picrocrocin, and crocetin from saffron using centrifugal partition chromatography and LC-MS. J. Sep. Sci. 2018, 41, 4105–4114. [Google Scholar] [CrossRef]
- Kirk, R.E. Experimental Design: Procedures for the Behavioral Science; Brooks/Cole: Belmont, CA, USA, 1968. [Google Scholar]





Publisher’s Note: MDPI stays neutral with regard to jurisdictional claims in published maps and institutional affiliations. |
© 2021 by the authors. Licensee MDPI, Basel, Switzerland. This article is an open access article distributed under the terms and conditions of the Creative Commons Attribution (CC BY) license (http://creativecommons.org/licenses/by/4.0/).
Share and Cite
Pitsikas, N.; Tarantilis, P.A. Crocins, the Bioactive Components of Crocus sativus L., Counteract the Disrupting Effects of Anesthetic Ketamine on Memory in Rats. Molecules 2021, 26, 528. https://doi.org/10.3390/molecules26030528
Pitsikas N, Tarantilis PA. Crocins, the Bioactive Components of Crocus sativus L., Counteract the Disrupting Effects of Anesthetic Ketamine on Memory in Rats. Molecules. 2021; 26(3):528. https://doi.org/10.3390/molecules26030528
Chicago/Turabian StylePitsikas, Nikolaos, and Petros A. Tarantilis. 2021. "Crocins, the Bioactive Components of Crocus sativus L., Counteract the Disrupting Effects of Anesthetic Ketamine on Memory in Rats" Molecules 26, no. 3: 528. https://doi.org/10.3390/molecules26030528
APA StylePitsikas, N., & Tarantilis, P. A. (2021). Crocins, the Bioactive Components of Crocus sativus L., Counteract the Disrupting Effects of Anesthetic Ketamine on Memory in Rats. Molecules, 26(3), 528. https://doi.org/10.3390/molecules26030528
