Abstract
Garcinia picrorhiza, a woody plant native to Sulawesi and Maluku Islands, Indonesia, has been traditionally used as a wound healing ointment. In our continuous search for bioactive compounds from this plant, 15 phenolic compounds were isolated from its stem bark, including a previously undescribed dihydroisocoumarin, 2′-hydroxyannulatomarin, and two undescribed furanoxanthones, gerontoxanthone C hydrate and 3′-hydroxycalothorexanthone. The structures of the new metabolites were elucidated on the basis of spectroscopic analysis, including 1D and 2D NMR and HRESIMS. Gerontoxanthone C hydrate possessed cytotoxicity against four cancer cells (KB, HeLa S3, MCF-7, and Hep G2) with IC50 values ranging from 5.6 to 7.5 µM. Investigation on the anti-inflammatory activities showed that 3′-hydroxycalothorexanthone inhibited NO production in RAW 264.7 and BV-2 cell lines with IC50 values of 16.4 and 13.8 µM, respectively, whereas only (−)-annulatomarin possessed inhibition activity on COX-2 enzyme over 10% at 20 µM. This work describes the presence of 3,4-dihydroisocoumarin structures with a phenyl ring substituent at C-3, which are reported the first time in genus Garcinia. These findings also suggest the potential of furanxanthone derivatives as cytotoxic and anti-inflammatory agents for further pharmacological studies.
1. Introduction
The genus Garcinia, one of the largest genera to the family Clusiaceae, is widespread in tropical rain forests with the center points are in Southeast Asia and Madagascar. This genus is pantropical and comprises a high level of species diversity with more than 250 species of evergreen, lactiferous, dioecious, and small shrubs to medium-sized trees [1,2]. Phytochemical analysis of genus Garcinia resulted in the isolation of structurally diverse secondary metabolites, especially phenolic compounds, such as xanthones, polyprenylated benzoylphloroglucinols, biphenyls, depsidones, and biflavonoids and many of which gained great attention because of their biological and pharmacological activities [3]. For example, a caged xanthone named gambogic acid (GA) from Garcinia hanburyi, has completed its phase IIa clinical trial in China for patients with lung, colon, and renal cancers. GA has been proved to induce apoptosis, reverse multidrug resistance of cancer cells, inhibit cell proliferation, and possess anti-angiogenic activities [4].
Garcinia picrorhiza Miq. is a woody plant that can be found in Maluku Islands, Indonesia. The roots and latex have been traditionally used as a wound healing ointment and natural energy drink [5,6,7]. Previously, our group reported eleven polyprenylated benzoylphloroglucinols (PPBPs), including eight derivatives (Picrorhizone A‒H) bearing a cyclobutane-containing side chain, with cytotoxic and anti-inflammatory activities. In particular, picrorhizone F was active against four human cancer cells (KB, HeLa S3, MCF-7, and Hep G2) with IC50 values in the range of 5.9‒9.4 µM, while picrorhizone H exhibited the highest COX-1 inhibitory activity (35.2 ± 9.6% inhibition) at 20 µM [8]. Encouraged by structurally diverse bioactive compounds from Garcinia species [8,9,10,11,12], we decided to revisit G. picrorhiza in part of a comprehensive phytochemical and biological investigation. Herein, we report the isolation, structural elucidation, and cytotoxic and anti-inflammatory effects of the phenolic compounds from the stem bark of G. picrorhiza.
2. Results and Discussion
2.1. Structural Elucidation of the Isolated Compounds
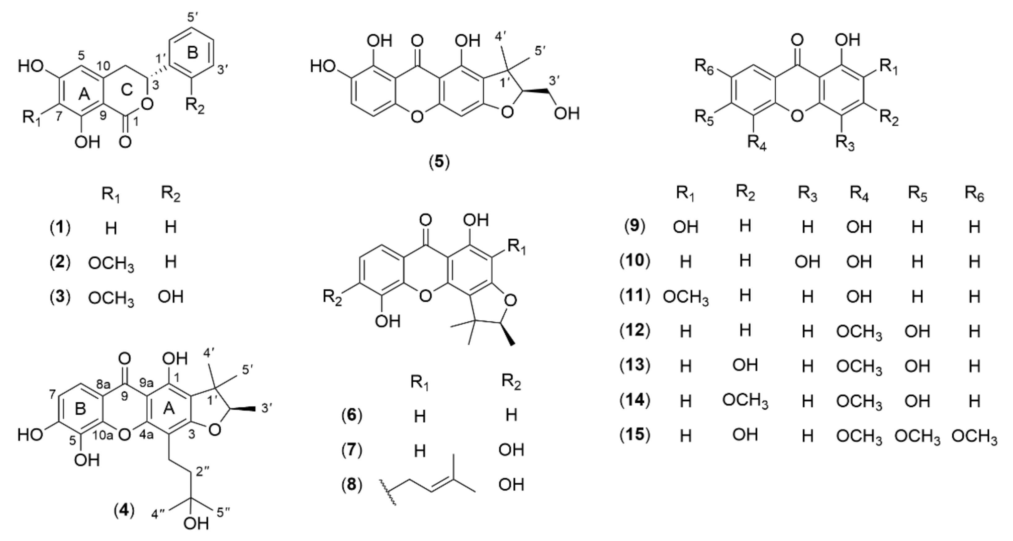
The CH2Cl2-soluble fraction from the stem bark of Garcinia picrorhiza was subjected to a combination of chromatographic methods using silica gel, Sephadex LH-20, and chromatotron to give 15 compounds, including a new dihydroisocoumarin derivative, 2′-hydroxyannulatomarin (3), and two new furanoxanthones, gerontoxanthone C hydrate (4) and 3′-hydroxycalothorexanthone (5). The structures of the known compounds were determined as (−)-montroumarin (1) [13], (−)-annulatomarin (2) [14,15], pancixanthone B (6) [16], 2-deprenylrheediaxanthone B (7) [17], formoxanthone C (8) [18], 1,2,5-trihydroxyxanthone (9) [19], subelliptenone G (10) [20], 1,5-dihydroxy-2-methoxyxanthone (11) [21], 1,6-dihydroxy-5-methoxyxanthone (12) [22], 1,3,6-trihydroxy-5-methoxyxanthone (13) [23], 1,6-dihydroxy-3,5-dimethoxyxanthone (14) [24], and 1,3-dihydroxy-5,6,7-trimethoxyxanthone (15) [25] by comparison of their spectroscopic data with the literature (Figure 1).
Figure 1.
Isolated compounds (1‒15) from the stem bark of Garcinia picrorhiza.
Compound 3 was obtained as a pale yellow amorphous solid with a molecular formula of C16H14O6 based on its molecular ion peak at m/z 325.0693 [M + Na]+ in HRESIMS, indicative of ten degrees of unsaturation. The IR spectrum of 3 indicated the presence of hydroxyl groups at 3187 cm−1 and aromatic moieties at 1630 and 1589 cm−1. The 1D NMR data of 3 were found to be similar to those of annulatomarin, a 3,4-dihydroisocoumarin derivative isolated from an herbaceous plant, Hypericum annulatum [14]. The typical carbonyl signal at δC 171.3 and the COSY cross-peak of H-3 [δH 5.93 (dd, J = 11.6, 4.0 Hz)]/H-4 [δH 3.18 (dd, J = 16.4, 11.6 Hz) and 3.13 (dd, J = 16.4, 4.0 Hz)] and HMBC correlations of H-3 to C-1′ (δC 126.2) and H-4 to C-5 (δC 107.3), C-9 (δC 102.7), and C-10 (δC 137.4) solidified the previous hypothesis (Table 1 and Figure 2). However, a principal difference was found in which four aromatic protons at δH 7.49 (d, J = 8.0, H-6′), 7.21 (t, J = 8.0, H-4′), 6.95 (d, J = 8.0, H-3′), 6.94 (t, J = 8.0, H-5′) were observed in the 1H-NMR spectrum of 3, instead of five aromatic proton signals belonging to the phenyl ring of annulatomarin. The COSY experiment showed a contiguous spin system from H-3′ to H-6′ and HMBC spectrum exhibited correlations from H-3′ to C-2′ and C-5′, H-4′ to C-2′ and C-6′, and H-5′ to C-1′. The above 2D NMR analysis constructed an ortho-disubstituted benzene moiety at the B-ring of 3 as shown in Figure 2. Compound 3 was identified to be levorotary (= ‒40.2) and showed a negative ECD Cotton effect (CE) at 276 nm followed by low-amplitude positive and negative CEs at 256 and 232 nm, respectively (See Supplementary Materials Figure S20). The two chiroptical data were in good agreement with previous results and thus implied that 3 favored 3R configuration [13,26,27]. The similar pattern of experimental ECD spectra of 1 and 2 with those of 3 indicated that they shared the same configuration at C-3 (Figure S20). It is worth noting that there was no clear evidence to prove the 3R-configuration of 2 in the previous report [15]. Hence, chiroptical data analysis was used in this work to assign the stereochemistry and compound 2 was defined to be (−)-annulatomarin.
Table 1.
1H- (400 MHz) and 13C- (100 MHz) NMR spectroscopic data of compounds 3‒5 recorded in acetone-d6 (δ in ppm).
Figure 2.
Key COSY (blue line) and HMBC (red arrow) correlation of compounds 3‒5.
Compound 4 was isolated as a pale yellow amorphous solid and its molecular formula was determined as C23H26O7 from the molecular ion peak at m/z 437.1663 [M + Na]+ in HRESIMS analysis, which in turn assigned 11 degrees of unsaturation. The 1H- and 13C- NMR spectra (Table 1) indicated 4 to feature a xanthone skeleton, especially the typical resonances for hydrogen-bonded hydroxy proton at δH 13.26 (s, OH-1) and carbonyl carbon at δC 182.0 [28]. Detailed analysis of 1D NMR data suggested that 4 had a scaffold similar to gerontoxanthone C [29], except that signals corresponding to a double bond of prenyl unit were missing in 4. Instead, resonances for two methylenes at δH 2.91 (m, H-1″) and 1.81 (m, H-2″) and two methyls at δH 1.32 (each 3H, s, H-4″, and H-5″) indicated the hydration of the prenyl side chain and the COSY and HMBC spectra (Figure 2) further established the planar structure of 4. The positive specific rotation (= +35.7) and the ECD data (λmax (Δɛ): 255 (‒5.0), 303 (+2.0), 330 (‒2.0) nm) of 4 (Figure S20) were in opposite signs with those of cudracuspixanthone B [30]. Therefore, the 2′R configuration of 4 was assigned.
Compound 5 was isolated as a pale yellow amorphous solid and the HRESIMS data showed a [M + H]+ peak at m/z 345.0971, indicative of a molecular formula C18H16O7. A comparison of the NMR data of 5 with those of calothorexanthone [31] showed that the difference was restricted to the trimethylfuran moiety in ring A. An oxymethylene proton at δH 3.91 (d, J = 5.6 Hz, H-3′) was observed in 5 instead of a methyl proton resonance as in the reference (Table 1). The COSY cross-peak of H-2′/H-3′ and HMBC correlations of H-3′ to C-1′ and C-2′ showed that the methyl group at C-2′ was oxidized to be a hydroxymethyl unit (Figure 2), which was supported by its HRESIMS analysis indicating one more oxygen atom than calothorexanthone. Unfortunately, the ECD spectrum of 5 could not be obtained due to the lack of sample for analysis and the positive optical rotation value (= +22.9) was used to determine 2′S configuration in 5 [30].
Among the known metabolites, compounds 1, 2, 8, 11, and 15 were isolated for the first time from genus Garcinia. To the best of our knowledge, compounds 1–3 with the 3-phenyl-3,4-dihydroisocoumarin structure are the first occurrence in genus Garcinia, while earlier works reported its analogs containing an alkyl chain at C-3 instead of a phenyl ring, such as (‒)-mellein from G. bancana [32] and angelicoin B from G. xanthochymus [33]. Compounds 1 and 2 were previously obtained from the plant extracts of Montrouziera sephaeroidea, Hypericum annulatum, Cratoxylum sumatranum ssp. neriifolium, and some Dioscorea species [15,34,35,36]. This class of compounds is common metabolites in fungi, lichens, and bacteria, while their existence in higher plants is limited [37].
2.2. Cytotoxic Activity against Human Cancer Cell Lines
The cytotoxic activity of the isolated compounds was evaluated using the MTT viability assay [38] with doxorubicin as the positive control and the results are presented in Table 2. The active compounds having IC50 values lower than 30 µM against KB and HeLa S3 cell lines were further tested against the other three cancer cells (MCF-7, Hep G2, and HT-29). None of the dihydroisocoumarins 1‒3 possessed potent cytotoxicity with IC50 values over 30 µM. Among the group of xanthones, compound 4 was active against four cancer cells (KB, HeLa S3, MCF-7, and Hep G2) with IC50 values ranging from 5.6 to 7.5 µM. Our earlier studies [11,39] reported that furanoxanthones 7 and 8 also significantly inhibited the growth of KB, HeLa S3, MCF-7, and Hep G2 cancer cells with IC50 values less than 10 µM, while decreased cytotoxicity was observed for compound 6 with only one hydroxy group in the ring B of the xanthone skeleton. The hydration of the prenyl unit in 8 did not affect cytotoxic properties against the four cancer cells, as shown in schomburgone F [39]. These results suggested that trimethylfuran ring and ortho hydroxy unit might be required to enhance the cytotoxicity compared to the other isolated xanthones.
Table 2.
Cytotoxic activity of the isolated compounds against five human cancer cell lines.
2.3. Nitric Oxide Inhibitory Activity
Compounds 1–8 were screened for their inhibitory effects on nitric oxide production in LPS-IFN-γ activated RAW 264.7 macrophages and BV-2 microglial cells at a final concentration of 50 µM. The preliminary results (Figure 3) indicated that dihydroisocoumarins 1–3 were weak to inactive on NO inhibitory activity, whereas 4, 5, and 7 suppressed NO production over 70% in both cell lines. A deprenylated furanoxanthone structure with ortho hydroxy group in ring B as in 7 might be important to enhance the inhibitory effect when compared to 6 and 8. None of the tested compounds showed obvious cytotoxicity towards RAW 264.7 cells (cell viability >90%), while the survival of BV-2 cells was reduced with cell viability in the range of 41.8–81.5% after compound treatment at 50 µM (Figure 3). IC50 values of the three active compounds are listed in Table 3. Compound 5 possessed the strongest inhibitory activity against NO production in RAW 264.7 and BV-2 cells with IC50 values of 16.4 and 13.8 µM, respectively. Compounds 4 and 7 moderately inhibited NO production in RAW 264.7 cells, whereas their anti-inflammatory effect in BV-2 cells might be masked cytotoxicity (IC50 values of their NO inhibition were only 1.4 and 1.1-fold lower than the cytotoxic activity).
Figure 3.
(a) NO production inhibitory effects and (b) cytotoxic properties of compounds 1‒8 at a final concentration of 50 µM in LPS-IFN-γ-induced RAW 264.7 macrophages and BV-2 microglial cells. L-NMMA was used as the positive control at 100 µM. The NO inhibition of control group (LPS-IFN-γ-induced cells with 1% DMSO) was set as 100% (n = 6).
Table 3.
IC50 values (µM) d of compounds 4, 5, and 7 on inhibition of NO production in LPS-IFN-γ-induced RAW 264.7 macrophages and BV-2 microglial cells.
2.4. Cyclooxygenase (COX) Inhibitory Activity
The anti-inflammatory effects of the isolated compounds were also screened on COX-1 and COX-2 enzymes inhibition at a final concentration of 20 µM. The results are given in Table 4. Only compound 2 exhibited activity against COX-2 with 10.4% inhibition. All furanoxanthones (4‒8), except 5 with oxygenated trimethylfuran moiety, showed COX-1 inhibition higher than 10% with the new compound 4 possessing the strongest activity (32.4 ± 7.9% inhibition). Removal of the hydroxy group at C-2 in 9 reduced the COX-1 inhibition when compared with 10 and 11, while introducing a methoxy group at C-3 in 14 increased the inhibitory effect compared to 12 and 13.
Table 4.
Inhibitory activity e of the isolated compounds against COX enzymes.
3. Materials and Methods
3.1. General Experimental Procedures
Optical rotations were measured on a JASCO P-1010 polarimeter (JASCO, Easton, MD, USA). The experimental ECD data were recorded on a JASCO J-815 circular dichroism spectrometer (JASCO, Easton, MD, USA). The IR data were obtained with a Nicolet 6700 FT-IR spectrometer using an ATR technique (Thermo Fisher Scientific, Waltham, MA, USA). The NMR spectra were acquired on a Bruker 400 AVANCE spectrometer in acetone-d6 (Merck, Darmstadt, Germany). The HRMS spectra were recorded using a Bruker MICROTOF model mass spectrometer (Bruker, Billerica, MA, USA) and Dionex Ultimate 3000 HPLC system hyphenated with a QExactive Hybrid Quadrupole Orbitrap MS (Thermo Fisher Scientific). Silica gel 70–230 mesh (Merck) and Sephadex LH-20 (GE Healthcare Bio-Sciences AB, Uppsala, Sweden) were used for column chromatography. Radial chromatography (Chromatotron model 7924 T, Harrison Research, Palo Alto, CA, USA) was carried out with silica gel 60 GF254 containing gypsum (Merck).
3.2. Plant Material
The stem bark of G. picrorhiza Miq. (Clusiaceae) was collected from Bogor Botanical Garden, Bogor, Indonesia (6°35′51″ S 106°47′55″ E) in July 2006. The plant material was identified by Dr. Rismita Sari. A voucher specimen (No. VI.A.26) was deposited at Bogor Botanical Garden, Indonesia.
3.3. Extraction and Isolation
The G. picrorhiza stem bark (3.0 kg) was extracted with MeOH (15 L each/3 days). The crude extract (92.0 g) was partitioned with CH2Cl2 and EtOAc solvents to yield two organic fractions. The CH2Cl2-soluble fraction (54.1 g) was separated by silica gel column chromatography with hexanes/EtOAc (95:5–0:100) to afford fractions A‒R, following the previous procedure [8]. Fraction F (1.1 g) was chromatographed on a Sephadex LH-20 column with CH2Cl2/MeOH (1:1) to obtain subfractions F1–F4. Subfraction F3 (52.7 mg) was separated by a Chromatotron with eluent hexanes/CH2Cl2 (20:80) to yield compounds 10 (3.0 mg) and 12 (3.3 mg). Subfraction F4 (106.0 mg) was purified on a Chromatotron with an eluent system of hexanes/CH2Cl2 (40:60) to yield compounds 1 (6.4 mg), 2 (2.9 mg), 6 (3.8 mg), and 8 (3.6 mg). Fraction J (556.0 mg) was subjected to a Sephadex LH-20 column with CH2Cl2/MeOH (1:1) to yield subfractions J1‒J3. Purification of subfraction J2 (68.8 mg) using a Chromatotron with eluent hexanes/chloroform (60:40) yielded compounds 11 (4.2 mg) and 14 (3.5 mg). Fraction K (1.3 g) was chromatographed on a Sephadex LH-20 column eluted with CH2Cl2/MeOH (1:1) to obtain subfractions K1–K4. Subfraction K3 (408.1 mg) was separated using a Chromatotron with hexanes/chloroform (20:80‒0:100) followed by chloroform/MeOH (20:1) to afford compounds 3 (4.8 mg), 5 (1.0 mg), 7 (2.1 mg), 9 (4.2 mg), and 15 (1.1 mg). Compound 4 (4.0 mg) was isolated from fraction M (80.5 mg) through a separation using a Sephadex LH-20 column eluted with CH2Cl2/MeOH (1:1), while the same method was also applied to fraction O (79.2 mg) to yield compound 13 (5.6 mg).
2′-hydroxyannulatomarin (3). Pale yellow, amorphous solid; = ‒40.2 (c 0.05, MeOH); ECD λmax (c 0.05, MeOH) nm (log ɛ): 276 (‒4.8), 256 (+1.0), 232 (‒2.0); IR (ATR) cm−1: 3187, 1630, 1589, 1507, 1256, 1096; 1H- (400 MHz, acetone-d6) and 13C-NMR (100 MHz, acetone-d6) spectroscopic data, see Table 1; HRESIMS m/z 325.0693 [M + Na]+ (calcd. for C16H14O6Na: 325.0688).
Gerontoxanthone C hydrate (4). Pale yellow, amorphous solid; = +35.7 (c 0.05, MeOH); ECD λmax (c 0.05, MeOH) nm (log ɛ): 330 (‒2.0), 303 (+2.0), 255 (‒5.0), 236 (+0.9), 214 (‒7.4); 1H- (400 MHz, acetone-d6) and 13C-NMR (100 MHz, acetone-d6) spectroscopic data, see Table 1; HRESIMS m/z 437.1663 [M + Na]+ (calcd. for C23H26O7Na: 437.1576).
3′-hydroxycalothorexanthone (5). Pale yellow, amorphous solid; = +22.9 (c 0.05, MeOH); 1H- (400 MHz, acetone-d6) and 13C-NMR (100 MHz, acetone-d6) spectroscopic data, see Table 1; HRESIMS m/z 345.0971 [M + H]+ (calcd. for C18H17O7: 345.0974).
3.4. Cytotoxic Activity Assay
The MTT colorimetric method was performed to evaluate cytotoxic activity of the isolated compounds against human epidermoid carcinoma (KB; ATCC CCL17), human cervical carcinoma (HeLa S3; ATCC CCL2-2), human colon adenocarcinoma (HT-29; ATCC HTB-38), human breast adenocarcinoma (MCF-7; ATCC HTB-22), and human hepatocellular carcinoma (Hep G2; ATCC HB-8065) cell lines according to the previous method [38]. The cancer cells were cultured in MEM containing 10% fetal bovine serum in the presence of 100 U/mL penicillin and 100 μg/mL streptomycin sulphate (Gibco, Rockville, MD, USA), seeded in a 96-well plate (3000 cells/well), and pre-incubated at 37 °C for 24 h in a 5% CO2 humidified atmosphere. The tested compounds with serial concentrations (0.3–100 μM) were added and incubated for a further 72 h in the same condition. At the end of treatment, 20 µL of MTT solution (5 mg/mL in PBS, Sigma, St. Louis, MI, USA) was added to each well and further incubated for 3 h. After centrifugation at 1400 rpm for 5 min at 4 °C, the supernatant was decanted and DMSO (100 µL/well) was added to allow formazan product solubilization, which was subsequently measured by a microplate reader (Tecan Trading AG, Switzerland) at wavelength 550 nm. Control cells were treated with 0.1% DMSO. Doxorubicin (tested concentrations: 0.01–3.0 μM, Sigma) was used as the positive control. The results are expressed as the mean values of three replicates for three independent experiments. IC50 values were determined by graphical analysis using SigmaPlot 10 (Systat Software Inc., San Jose, CA, USA), obtained by plotting the cell viability percentage versus sample concentration.
3.5. NO Production Inhibition Assay
The iNOS inhibitory activity of the isolated compounds and respective cytotoxicity was determined using a previously described protocol [40]. Briefly, BV-2 mouse microglial (25,000 cells/well) and RAW 264.7 mouse macrophage (100,000 cells/well) cell lines were seeded into 96-well plates in high glucose Dulbecco’s Modified Eagle’s Medium (DMEM, Gibco) containing 4 mM L-glutamine, 10% FBS, 2% HEPES, 1% penicillin/streptomycin, and 0.5% amphotericin B. After incubation for 24 h at 37 °C in a 5% CO2 humidified atmosphere, the cells were stimulated with 0.05% LPS (Sigma) and 0.025% interferon-γ (Roche Diagnostics, Mannheim, Germany) and treated with different concentrations (5–100 μM) of the tested compounds. The level of NO production in cell culture supernatants was determined using Griess reagent (Sigma) by photocolorimetric analysis after 16 h of incubation, using a Hidex Sense Microplate Reader (Hidex, Turku, Finland). Fifty microliters of XTT reagent (Sigma, Kit II) was then added into the same plates for cell viability measurement after 60 min incubation. L-NMMA (Alexis, Grünberg, Germany) 100 µM was used as the positive control, while 1% DMSO and digitonin (Roth, Karlsruhe, Germany) 400 µM were used as the vehicle and negative control, respectively. The assays were conducted in triplicates and repeated in two independent experiments. IC50 values were determined by graphical analysis using GraphPad Prism 7 (GraphPad Software, La Jolla, CA, USA).
3.6. COX Enzymes Inhibition Assay
Purified PGHS-1 from ram seminal vesicles for COX-1 and human recombinant PGHS-2 for COX-2 (Cayman Chemical Co., Ann Arbor, MI, USA) were used for the COX inhibition assays. Experiments were performed in a 96-well plate format, as previously described [40,41]. Briefly, the incubation mixture contained 180 µL of 0.1 M TRIS/HCl-buffer pH 8.0 (Roth, Karlsruhe, Germany), 50 µM Na2EDTA (only for COX-2, Titriplex III, Merck, Darmstadt, Germany), 18 mM l-epinepherine bitartrate (Fluka, Buchs, Switzerland), 5 µM porcine hematin (MP Biomedicals LLC, Solon, OH, USA), and COX-1 or COX-2 enzymes (0.2 U/well). Ten microliters of tested compounds (dissolved in DMSO with a final concentration of 20 µM) was added and the mixture was pre-incubated for 5 min at room temperature. Thereafter, 10 µL of 5 µM arachidonic acid (Ann Arbor, Michigan USA) was added to the mixture and incubated for 20 min at 37 °C. The reaction was subsequently stopped by adding 10 µL of 10% (v/v) formic acid. The concentration of PGE2 generated in the reaction was quantitatively measured by a competitive PGE2 ELISA kit (Enzo Life Sciences Inc., Farmingdale, NY, USA) according to the manufacturer’s protocol and previous procedure [40]. The absorbance at 405 nm was measured using a Hidex Sense Microplate Reader (Hidex, Turku, Finland). Indomethacin (1.25 µM, dissolved in ethanol; MP Biomedicals, Solon, OH, USA) and celecoxib (8.8 µM, dissolved in DMSO; Sigma) were used as a positive control for COX-1 and COX-2, respectively. The assays were performed in duplicates and repeated in two independent experiments.
4. Conclusions
Phytochemical investigation of the stem bark of G. picrorhiza led to the isolation of 15 dihydroisocoumarins and xanthones, including three new analogs. The presence of dihydroisocoumarin structures with a phenyl moiety at C-3 is expected to enrich information about the chemical diversity of the genus Garcinia. This work also indicates that furanoxanthone structures are promising candidates and could be used as a template for discovering potential anticancer and anti-inflammatory agents.
Supplementary Materials
The following are available online, HRESIMS, 1D and 2D NMR spectra of 3‒5, and experimental ECD spectra of 1‒4.
Author Contributions
Conceptualization, E.R.S., S.T.-p. and P.S.; methodology, E.R.S., P.R., X.N. and K.R.; formal analysis, E.R.S., P.R., X.N. and K.R.; investigation, E.R.S., S.K., P.R., X.N. and K.R.; resources, T.E., R.B. and W.C.; writing—original draft preparation, E.R.S.; writing—review and editing, S.K., P.R., X.N. and W.C.; supervision, R.B., P.S., S.T.-p. and W.C.; funding acquisition, S.T.-p., W.C. and T.E. All authors have read and agreed to the published version of the manuscript.
Funding
This research work was financially supported by Ratchadapisek Somphot Fund for Postdoctoral Fellowship, Chulalongkorn University (E.R.S.), the Thailand Research Fund via Directed Basic Research Grant (Grant no. DBG6180029) and Fundamental Research Grant, KEMENRISTEK/BRIN Indonesia No. 3/E1/KP.PTNBH/2020 (T.E.).
Institutional Review Board Statement
Not applicable.
Informed Consent Statement
Not applicable.
Data Availability Statement
The supporting information can be found in the Supplementary Materials.
Acknowledgments
The authors thank Eva-Maria Pferschy-Wenzig (Institute of Pharmaceutical Sciences, University of Graz, Austria) for her help in HRMS measurement and Junaida Astina and Ridhwan Fauzi (Chulalongkorn University, Thailand) for their assistance in data analysis.
Conflicts of Interest
The authors declare no conflict of interest.
Sample Availability
Samples of the compounds are not available from the authors.
References
- Sweeney, P.W. Systematics and floral evolution in the plant genus Garcinia (Clusiaceae). Ph.D. Thesis, University of Missouri-St. Louis, St. Louis, MO, USA, 2008. [Google Scholar]
- Lim, T.K. Edible Medicinal and Non-Medicinal Plants: Volume 2, Fruits; Springer: New York, NY, USA, 2012; pp. 1–6. [Google Scholar]
- Hemshekhar, M.; Sunitha, K.; Santhosh, M.S.; Devaraja, S.; Kemparaju, K.; Vishwanath, B.S.; Niranjana, S.R.; Girish, K.S. An overview on genus Garcinia: Phytochemical and therapeutical aspects. Phytochem. Rev. 2011, 10, 325–351. [Google Scholar] [CrossRef]
- Xu, X.; Wu, Y.; Hu, M.; Li, X.; Bao, Q.; Bian, J.; You, Q.; Zhang, X. Novel natural product-like caged canthones bearing a carbamate moiety exhibit antitumor potency and anti-angiogenesis activity in vivo. Sci. Rep. 2016, 6, 1–14. [Google Scholar]
- Radji, M.; Sumiati, A.; Indani, N. Uji mutagenisitas dan anti kanker ekstrak aseton dan n-heksana dari kulit batang sesoot (Garcinia picrorrhiza Miq.). Pharm. Sci. Res. 2004, 1, 69–78. [Google Scholar] [CrossRef]
- Soemiati, A.; Kosela, S.; Hanafi, M.; Harrison, L. A novel cytotoxic polyisoprenylbenzophenone derivative compound from Garcinia picrorrhiza Miq. ITE Lett. Batteries New Technol. Med. 2006, 7, 1–5. [Google Scholar]
- Muharni, M.; Elfita, E.; Pertiwi, E. Antibacterial activity of xanthone from ethyl acetate extract of the steam bark of Garcinia picrorrhiza Miq. ALCHEMY J. Penel. Kim. 2017, 13, 252–263. [Google Scholar] [CrossRef][Green Version]
- Sukandar, E.R.; Kaennakam, S.; Aree, T.; Nost, X.; Rassamee, K.; Bauer, R.; Siripong, P.; Ersam, T.; Tip-pyang, S. Picrorhizones A‒H, polyprenylated benzoylphloroglucinols from the stem bark of Garcinia picrorhiza. J. Nat. Prod. 2020, 10, 2102–2111. [Google Scholar] [CrossRef] [PubMed]
- Kaennakam, S.; Siripong, P.; Tip-pyang, S. Kaennacowanols A−C, three new xanthones and their cytotoxicity from the roots of Garcinia cowa. Fitoterapia 2015, 102, 171–176. [Google Scholar] [CrossRef] [PubMed]
- Sukandar, E.R.; Siripong, P.; Khumkratok, S.; Tip-pyang, S. New depsidones and xanthone from the roots of Garcinia schomburgkiana. Fitoterapia 2016, 111, 73–77. [Google Scholar] [CrossRef] [PubMed]
- Sukandar, E.R.; Kaennakam, S.; Rassamee, K.; Siripong, P.; Fatmawati, S.; Ersam, T.; Tip-pyang, S. Xanthones and biphenyls from the stems of Garcinia cylindrocarpa and their cytotoxicity. Fitoterapia 2018, 130, 112–117. [Google Scholar] [CrossRef]
- Sukandar, E.R.; Kaennakam, S.; Rassamee, K.; Ersam, T.; Siripong, P.; Tip-pyang, S. Tetrandraxanthones A-I, prenylated and geranylated xanthones from the stem bark of Garcinia tetrandra. J. Nat. Prod. 2019, 82, 1312–1318. [Google Scholar] [CrossRef] [PubMed]
- Jing, S.; Qu, Z.; Zhao, C.; Li, X.; Guo, L.; Liu, Z.; Zheng, Y.; Gao, W. Dihydroisocoumarins and dihydroisoflavones from the rhizomes of Dioscorea collettii with cytotoxic activity and structural revision of 2,2′-oxybis(1,4-di-tert-butylbenzene). Molecules 2021, 26, 5381. [Google Scholar] [CrossRef]
- Nedialkov, P.T.; Zheleva-Dimitrova, D.; Girreser, U.; Kitanov, G.M. A new isocoumarin from Hypericum annulatum. Nat. Prod. Res. 2007, 21, 1056–1060. [Google Scholar] [CrossRef]
- Tantapakul, C.; Maneerat, W.; Sripisut, T.; Ritthiwigrom, T.; Andersen, R.J.; Cheng, P.; Cheenpracha, S.; Raksat, A.; Laphookhieo, S. New benzophenones and xanthones from Cratoxylum sumatranum ssp. neriifolium and their antibacterial and antioxidant activities. J. Agric. Food Chem. 2016, 64, 8755–8762. [Google Scholar] [PubMed]
- Ito, C.; Miyamoto, Y.; Rao, K.S.; Furukawa, H. A novel Dibenzofuran and two new xanthones form Calophyllum panciflorum. Chem. Pharm. Bull. 1996, 44, 441–443. [Google Scholar] [CrossRef]
- Kainz, K.P.; Krenn, L.; Erdem, Z.; Kaehlig, H.; Zehl, M.; Bursch, W.; Berger, W.; Marian, B. 2-deprenyl-rheediaxanthone B isolated from Metaxya rostrata induces active cell death in colorectal tumor cells. PLoS ONE 2013, 8, e65745. [Google Scholar] [CrossRef]
- Boonsri, S.; Karalai, C.; Ponglimanont, C.; Kanjana-opas, A.; Chantrapromma, K. Antibacterial and cytotoxic xanthones from the roots of Cratoxylum formosum. Phytochemistry 2006, 67, 723–727. [Google Scholar] [CrossRef] [PubMed]
- Minami, H.; Kinoshita, M.; Fukuyama, Y.; Kodama, M.; Yoshidawa, T.; Sugiura, M.; Nakagawa, K.; Tago, H. Antioxidant xanthones from Garcinia subelliptica. Phytochemistry 1994, 36, 501–506. [Google Scholar] [CrossRef]
- Iinuma, M.; Tosa, H.; Tanaka, T.; Asai, F.; Shimano, R. Three xanthones from root bark of Garcinia subelliptica. Phytochemistry 1995, 38, 247–249. [Google Scholar] [CrossRef]
- Rath, G.; Potterat, O.; Mavi, S.; Hostettmann, K. Xanthones from Hypericum roeperanum. Phytochemistry 1996, 43, 513–520. [Google Scholar] [CrossRef]
- Zhang, Z.; ElSohly, H.N.; Jacob, M.R.; Pasco, D.S.; Walker, L.A.; Clark, A.M. Natural products inhibiting Candida albicans secreted aspartic proteases from Tovomita krukovii. Planta Med. 2002, 68, 49–54. [Google Scholar] [CrossRef] [PubMed]
- Ghosal, S.; Chaudhuri, R.K.; Nath, A. Chemical constituents of Gentianaceae IV: New xanthones of Canscora decussata. J. Pharm. Sci. 1973, 62, 137–139. [Google Scholar] [CrossRef]
- Valentão, P.; Areias, F.; Amaral, J.; Andrade, P.; Seabra, R. Tetraoxygenated xanthones from Centaurium erythraea. Nat. Prod. Lett. 2000, 14, 319–323. [Google Scholar] [CrossRef]
- Imperato, F. A new xanthone from the fern Cystopterys fragilis. J. Nat. Prod. 1991, 54, 603–605. [Google Scholar] [CrossRef]
- Paraschos, S.; Magiatis, P.; Kalpoutzakis, E.; Harvala, C.; Skaltsounis, A.L. Three new dihydroisocoumarins from the Greek endemic species Scorzonera cretica. J. Nat. Prod. 2001, 64, 1585–1587. [Google Scholar] [CrossRef]
- Ito, C.; Mishina, Y.; Litaudon, M.; Cosson, J.P.; Furuawa, H. Xanthone and dihydroisocoumarin from Montrouziera sphaeroidea. Phytochemistry 2000, 53, 1043–1046. [Google Scholar] [CrossRef]
- Sukandar, E.R.; Ersam, T.; Fatmawati, S.; Siripong, S.; Aree, T.; Tip-pyang, S. Cylindroxanthones A–C, three new xanthones and their cytotoxicity from the stem bark of Garcinia cylindrocarpa. Fitoterapia 2016, 108, 62–65. [Google Scholar] [CrossRef] [PubMed]
- Chang, C.H.; Lin, C.C.; Hattori, M.; Namba, T. Four prenylated xanthones from Cudrania cochinchinensis. Phytochemistry 1989, 28, 595–598. [Google Scholar] [CrossRef]
- Jo, Y.H.; Shin, B.; Liu, Q.; Lee, K.Y.; Oh, D.C.; Hwang, B.Y.; Lee, M.K. Antiproliferative prenylated xanthones and benzophenones from the roots of Cudrania tricuspidata in HSC-T6 cells. J. Nat. Prod. 2014, 77, 2361–2366. [Google Scholar] [CrossRef]
- Nguyen, L.T.T.; Nguyen, D.M.; Nguyen, L.H.D. A new xanthone from the bark of Calophyllum thorelii. Nat. Prod. Res. 2013, 27, 563–567. [Google Scholar] [CrossRef] [PubMed]
- Rukachaisirikul, V.; Naklue, W.; Sukpondma, Y.; Phongpaichit, S. An antibacterial biphenyl derivative from Garcinia bancana Miq. Chem. Pharm. Bull. 2005, 53, 342–343. [Google Scholar] [CrossRef][Green Version]
- Trisuwan, K.; Boonyaketgoson, S.; Rukachaisirikul, V.; Phongpaichit, S. Oxygenated xanthones and biflavanoids from the twigs of Garcinia xanthochymus. Tetrahedron Lett. 2014, 55, 3600–3602. [Google Scholar] [CrossRef]
- Zhang, Y.; Chao, L.; Ruan, J.; Zheng, C.; Yu, H.; Qu, L.; Han, L.; Wang, T. Bioactive constituents from the rhizomes of Dioscorea septemloba Thunb. Fitoterapia 2016, 115, 165–172. [Google Scholar] [CrossRef]
- Zhu, D.; Li, S.Q.; Yuan, Y.B.; Shao, Y.Y.; Yang, G.H.; Mao, X.; Wu, L.F.; Zhang, X.X.; Liang, W.Y.; Chen, W.J.; et al. Study on liposoluble compounds in rhizome of Dioscoreae hypoglaucae. Chin. Trad. Herb. Drugs 2016, 47, 379–382. [Google Scholar]
- Li, X.; Zhao, C.; Jing, S.; Sun, J.; Li, X.; Man, S.; Wang, Y.; Gao, W. Novel phenanthrene and isocoumarin from the rhizomes of Dioscorea nipponica Makino subsp. rosthornii (Prain et Burkill) C. T. Ting (Dioscoreaceae). Bioorg. Med. Chem. Lett. 2017, 27, 3595–3601. [Google Scholar] [CrossRef] [PubMed]
- Saeed, A. Isocoumarins, miraculous natural products blessed with diverse pharmacological activities. Eur. J. Med. Chem. 2016, 116, 290–317. [Google Scholar] [CrossRef]
- Siripong, P.; Kanokmedakul, K.; Piyaviriyagul, S.; Yahufai, J.; Chanpai, R.; Ruchirawat, S.; Oku, N. Antiproliferative naphthoquinone esters from Rhinacanthus nasutus Kurz. roots on various cancer cells. J. Trad. Med. 2006, 23, 166–172. [Google Scholar]
- Kaennakam, S.; Sukandar, E.R.; Juntagoot, T.; Siripong, P.; Tip-pyang, S. Four new xanthones and their cytotoxicity from the stems of Garcinia schomburgkiana. J. Nat. Med. 2021, in press. [Google Scholar]
- Tran, H.T.; Gao, X.; Kretschmer, N.; Pferschy-Wenzig, E.M.; Raab, P.; Pirker, T.; Temml, V.; Schuster, D.; Kunert, O.; Huynh, L.; et al. Anti-inflammatory and antiproliferative compounds from Sphaeranthus africanus. Phytomedicine 2019, 62, 1–9. [Google Scholar] [CrossRef] [PubMed]
- Lajter, I.; Pan, S.P.; Nikles, S.; Ortmann, S.; Vasas, A.; Csupor-Lottler, B.; Forgo, P.; Hohmann, J.; Bauer, R. Inhibition of COX-2 and NF-kappaB1 gene expression, NO production, 5-LOX, and COX-1 and COX-2 enzymes by extracts and constituents of Onopordum acanthium. Planta Med. 2015, 81, 1270–1276. [Google Scholar]
Publisher’s Note: MDPI stays neutral with regard to jurisdictional claims in published maps and institutional affiliations. |
© 2021 by the authors. Licensee MDPI, Basel, Switzerland. This article is an open access article distributed under the terms and conditions of the Creative Commons Attribution (CC BY) license (https://creativecommons.org/licenses/by/4.0/).


