Abstract
Pim kinases (proviral integration site for Moloney murine leukemia virus kinases) are overexpressed in various types of hematological malignancies and solid carcinomas, and promote cell proliferation and survival. Thus, Pim kinases are validated as targets for antitumor therapy. In this context, our combined efforts in natural product-inspired library generation and screening furnished very promising dibenzo[b,d]furan derivatives derived from cercosporamide. Among them, lead compound 44 was highlighted as a potent Pim-1/2 kinases inhibitor with an additional nanomolar IC50 value against CLK1 (cdc2-like kinases 1) and displayed a low micromolar anticancer potency towards the MV4-11 (AML) cell line, expressing high endogenous levels of Pim-1/2 kinases. The design, synthesis, structure–activity relationship, and docking studies are reported herein and supported by enzyme, cellular assays, and Galleria mellonella larvae testing for acute toxicity.
1. Introduction
Cercosporamide is a natural product isolated from pathogen fungus Cercosporidium henningsii, commonly found in extensively cultivated plants (Manihot esculenta) for domestic consumption of tapioca in tropical and subtropical regions worldwide [1]. Moreover, this substance can be found in cultures of Phoma fungi isolated from Guinea plant Saurauia scaberrinae [2] and Chinese medicinal plant Arisaema erubescensor [3], or can be produced by fungi of the genus Lachnum and Pseudaegerita [4]. As the main structural features, (−)-cercosporamide exhibits a tricyclic unit containing an asymmetric quaternary carbon with absolute configuration S at position 9a (Figure 1). Additionally, cercosporamide presents two phenol groups at the position 1 and 3, a hydroxyl group (position 7), and a carboxamide group (position 4). An acetyl group (position 8) and an oxo group (position 9) are also attached to the dihydrodibenzofuran portion. Sugawara and co-workers [1] first identified this phytotoxin in 1991 from African strains of C. henningsii. In this work, cercosporamide was characterized as a tautomeric mixture (both in solution and in the solid state) through single-crystal X-ray diffraction, 2-D long-range 1H-13C, and COSY NMR techniques.
Figure 1.
Drug design of the 1,3-dihydroxydibenzo[b,d]furan-4-carboxamide scaffold-based derivatives.
Since the discovery of cercosporamide, important findings concerning its biological activities have been reported. In 2004, Sussman et al. [5] reported cercosporamide as a potent selective inhibitor of Candida albicans CaPkc1 (PKC-like 1 kinase), which is central to fungal cell wall integrity and was validated as a fungal drug target in cases where drug resistance is evident. In addition, according to the literature [6], cercosporamide was shown to be a potent ATP-competitive CaPkc1 inhibitor with IC50 = 44 nM. In the last decade, nanomolar range inhibition of MAPK-interacting kinases (Mnk1/2) by cercosporamide has been shown to be an efficient alternative to block the activation of the translation initiation factor 4E (eIF4E) pathway and consequently to prevent tumor growth and progression [7,8]. In this way, activity against lung cancer [8], acute myeloid leukemia [9], and hepatocellular carcinoma [10] have been achieved by employing cercosporamide as an Mnk1/2 kinase inhibitor. In addition, inhibition of Mnk pathways by cercosporamide enhanced glioblastoma cell response to chemotherapy and radionuclide therapy [11]. Recent results in the zebrafish model, through the inhibition of bone morphogenetic protein receptor (BMPR) type I kinase, suggest that cercosporamide represents a potential therapeutic strategy to combat diseases with overactive BMPR signaling, including the rare genetic disorder fibrodysplasia ossificans progressiva (FOP) and the rare childhood brainstem tumor diffuse intrinsic pontine glioma (DIPG) [12].
In addition, cercosporamide-inspired synthetic compounds have also been reported. Furukawa et al. described the preparation of novel antihyperglycemic agents from cercosporamide [13]. In this work, a potent plasma glucose-lowering effect was observed in hyperglycemic KK/Ta mice. The same group completed the previous work by designing cercosporamide derivatives endowed with an antidiabetic effect and attenuated adverse effects as novel selective PPARγ modulators [14].
With the aim of developing new heterocyclic compounds displaying biological activities, our research group also validated cercosporamide as a valuable model in the drug design strategy. Indeed, benzofuran derivatives exhibited promising antiproliferative activity against two human non-small cell lung cancer (NSCLC) cell lines [15]. More recently, benzofuro[3,2-d]pyrimidines proved to be interesting agents in antifungal chemotherapy by restoring the susceptibility of resistant strains to azole treatment [16].
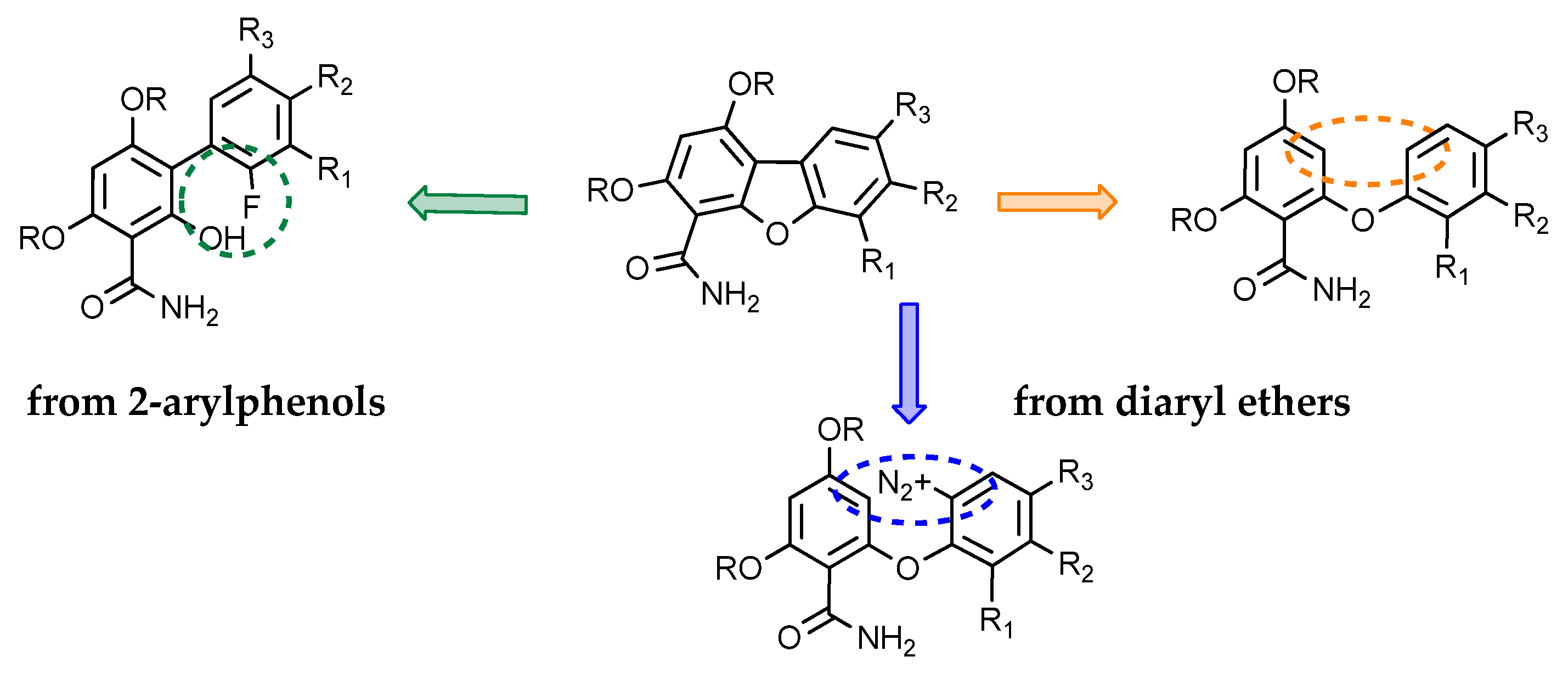
Although research on the biological activity of cercosporamide has increased in the last decade, few efforts have been carried out in the design of kinase inhibitor derivatives. The interest of the collaborators in this field of research [17,18,19,20,21,22] and the results of the literature highlighting cercosporamide as a kinase inhibitor and targeting human PKCα/β [4], Mnk1/2, Jak3, GSK3β, ALK4, and Pim-1 [7,8], from nanomolar to low micromolar ranges, prompted us to develop a new series of heterocyclic compounds inspired from cercosporamide (Figure 1).
The choice of polyoxygenated dibenzofurans was consistent with the literature precedent pointing out that such structures are well-established sources of biologically active scaffolds in drug discovery [23,24,25,26]. Otherwise, usnic acid, a secondary metabolite isolated from lichens, with structural similarity with cercosporamide was described as a Pim-1/2 inhibitor and active against myeloid leukemia [27,28]. Consequently, the hydroxy groups installed in positions 1 and 3 of the dibenzo[b,d]furan core structure will provide the structural requirements for a possible interaction with the ATP-binding site of the targeted kinase. In positions 7 (R2) and 8 (R3) of the molecule, additional hydroxyl and/or acetyl groups present in cercosporamide and usnic acid could also promote the binding of the designed compounds. Other modulations, including nitro, amino, fluoro, and trifluoromethyl groups, were also considered for the structure–activity relationship (SAR) study.
Taking into account the biological activity of the structural models used in the study, the main goal of the project was to obtain novel Pim-1/Pim-2 kinase inhibitors as anticancer agents. Indeed, the overexpression of serine/threonine Pim kinases (proviral integration site for Moloney murine leukemia virus kinases), in various types of hematological malignancies and solid carcinomas, is characterized in the literature, and these proteins promote cell proliferation and survival [29,30,31]. Consequently, Pim kinases were considered as a valuable target for antitumor therapy [32,33,34,35]. Interestingly, until now, dibenzofurans have not been described in the literature as Pim kinase inhibitors [21,29,30,31,34,36].
Eight new 1,3-dihydroxydibenzo[b,d]furan-4-carboxamide derivatives were screened against Pim-1 and Pim-2 and a panel of seven additional mammalian protein kinases to check their selectivity profile. The corresponding methoxy precursors were also evaluated for their kinase inhibition properties to complete the SAR study. Antiproliferative activities of the most promising kinase inhibitors were further tested against seven different cell lines. In complement, the determination of in vivo toxicity using Galleria mellonella larvae was performed. Finally, information of ligand–protein interactions was provided through docking study on Pim-1.
2. Results and Discussion
2.1. Synthesis
The synthetic strategies to prepare dibenzofurans can be classified into two main categories [37,38,39,40,41] (Figure 2). One involves the construction of the dibenzofuran from the ring closure of diaryl ethers through C−C bond formation [37,38]. The second approach refers to the intramolecular O-arylation of 2-arylphenols according to a mechanism of etherification [40,41].
Figure 2.
Proposed synthetic strategies to obtain the dibenzo[b,d]furan derivatives.
2.1.1. Access to Dibenzofuran Derivatives by Intramolecular C-C Bond Formation from Diaryl Ethers
The first method involves ortho-(aryloxy)aryldiazonium salts as intermediates to form an intramolecular C-C bond via a free-radical cyclization (Figure 2) [42,43,44]. Before obtaining the diazonium salt, the advantage of this approach relates to the nitro function that promotes the access to diaryl ethers 5–8 during the initial SNAr reaction between 1-iodo-2-nitrobenzene and phenolic derivatives 1–4 (Scheme 1).
Scheme 1.
Reagents and conditions: (i) CSI, CH3CN, 0 °C, 10 min, then HCl 5M, rt, 10 h, 45% (ii) KOH, DMF, 120 °C, 30 min, then 1-iodo-2-nitrobenzene, Cu(0), 170 °C, 24 h (for 5 and 6) and 2 h (for 7 and 8); (iii) Zn dust, NH4Cl, CH3OH, 80 °C, 2 h; (iv) (1) NaNO2, H2SO4, 0 °C, 45 min, (2) Cu(0), H2SO4, 60 °C, 24 h, 6% (for 11) and 11% (for 12) of conversion rates or Pd(OAc)2, EtOH, 60 °C, 24 h, 8% (for 11), and 28% (for 12) of conversion rates.
The standard copper-catalyzed Ullmann diaryl ether synthesis [45,46] was first performed in the presence of the previously synthesized phenol derivative 1 [16] and its dimethyl analogue 2, obtained in the same conditions from commercially available 3,5-dimethoxyphenol 4. This route could allow the introduction of the carboxamide function before the heterocyclization step. Unfortunately, no reaction occurred for the dibenzylated phenol 1, and its dimethyl counterpart 2 gave only a poor yield of 15% after the one-day reaction (Scheme 1). Modification of the combination of the copper source (CuI), base (Cs2CO3, NaH), and additional ligand (N,N-dimethylglycine) did not improve the completion of the reaction. Interestingly, the same reaction carried out from phenols 3 [16] and 4, without carboxamide substitution, afforded the desired diaryl ethers 7 and 8 in good yields (73% and 78%, respectively). This result indicated that the reaction is more sensitive to the electronic-withdrawing effect of the carboxamide and the steric hindrance in the ortho position of the phenol than to the bulky benzyl-protecting groups.
Nitro-diaryl ethers 7 and 8 were further reduced into the corresponding anilines 9 and 10 in a moderate to good yield, respectively (Scheme 1). In the presence of zinc dust and ammonium chloride [47] in methanol, for better solubility, it was necessary to warm the medium to 80 °C to achieve a complete conversion of the hydroxylamine intermediate to the amino group. Cyclization of the compounds 9 and 10 proceeded after transformation of the amino function into the corresponding diazonium salts, which were then heated with copper powder [48] or palladium acetate [37] to form the dibenzo[b,d]furans 11 and 12. Unfortunately, the conversion rates, measured by UPLC-MS analysis, to the target compounds remained very low (6 to 28%), limiting the application of this route further. The major products of the reaction were the corresponding diaryl ethers with loss of the amino group.
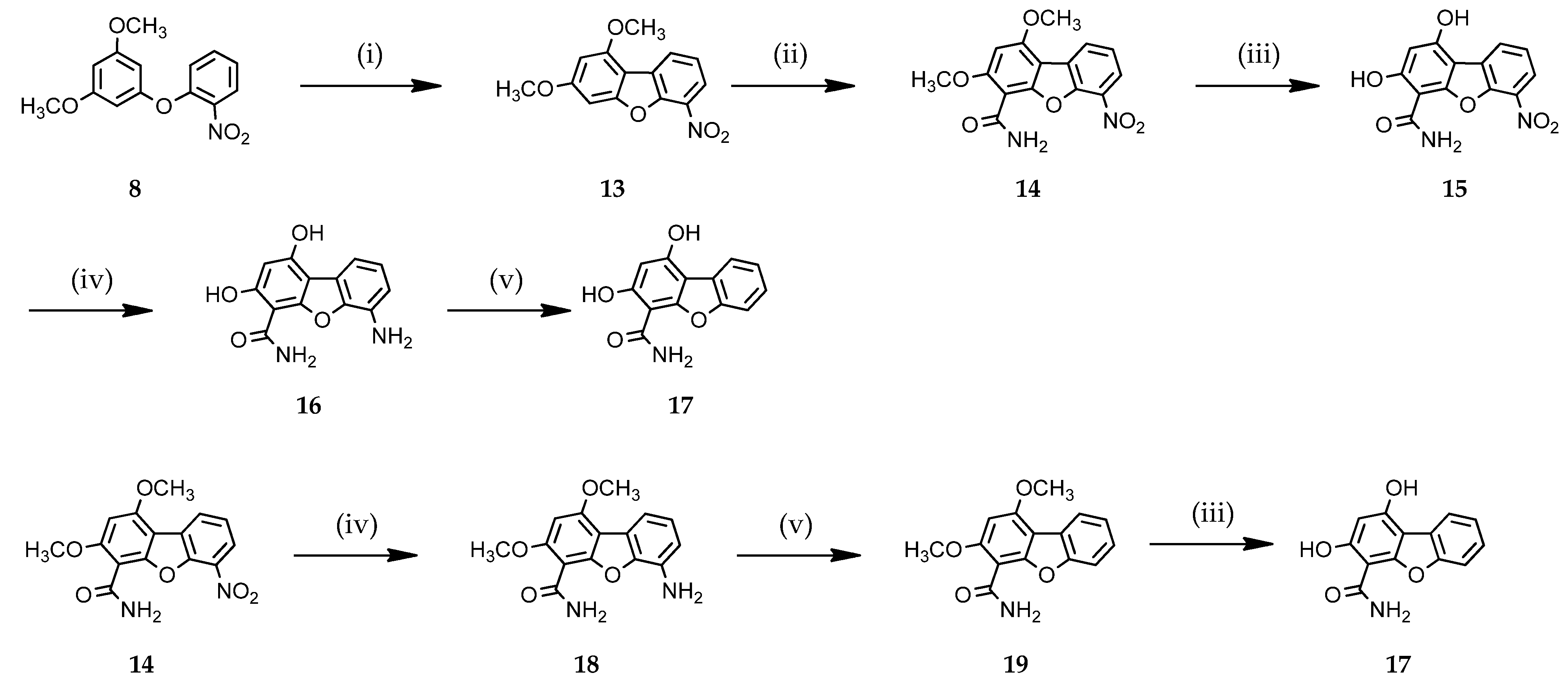
However, this synthetic route enabled us to obtain a very useful intermediate compound 8 to ensure the continuation of the project. Indeed, taking into account our literature survey, an intramolecular palladium(II)-catalyzed oxidative carbon-carbon bond formation, according to Fagnou’s conditions [49,50], would allow us to access a nitrodibenzofuran derivative 13 whose nitro function is easily replaced by a hydrogen via the reduction of the corresponding diazonium salt (Scheme 2). Additionally, this approach has the advantage of functionalizing the dibenzofuran scaffold with a nitro group, providing functional diversity, after reduction to the corresponding amine for instance.
Scheme 2.
Reagents and conditions: (i) Pd(OAc)2, AcOAg, PivOH, 130 °C, 4 h, 72%; (ii) CSI, CH3CN, rt, 12 h, then HCl 5M, rt, 6 h, 53%; (iii) Pyridine.HCl, 200 °C, MW, 15 min, 51% (for 15) and 48% (for 17); (iv) Zn dust, NH4Cl, CH3OH, 80 °C, 2 h, 62% (for 16) and 49% (for 18); (v) NaNO2, H2SO4, EtOH, 0 °C, 30 min, then 80 °C, 45 min, 52% (for 17) and 46% (for 19).
Following Pd-mediated CH activation conditions, the dibenzofuran ring closure was performed, from nitro-diaryl ether 8, in the presence of silver acetate (AcOAg) in pivalic acid as solvent at 130 °C with a 72% yield. Afterwards, a direct aminocarbonylation at the C-4 position of the dibenzofuran derivative 14, using chlorosulfonyl isocyanate (CSI) as an electrophilic reagent, led to compound 14 after acidic hydrolysis of the corresponding N-chlorosulfonylcarboxamide intermediate [15,16,51]. Demethylation of the methoxy groups was then carried out by heating compound 14 in neat pyridine hydrochloride at 200 °C, under microwave irradiation (MW), to lead in a short time (15 min) to the dihydroxy derivative 15, available for biological testing [52]. The nitro function was then reduced by using zinc and ammonium chloride, as described above, to afford the final amino compound 16. Finally, deamination of dibenzofuran derivative 16, via the thermal decomposition of the corresponding diazonium salt with the release of nitrogen, furnished the unsubstituted target compound 17. To scope the synthetic approach further, the nitro derivative 14 was reduced to afford 18 as a precursor of the dimethoxy derivative 19, which could give compound 17 by an alternative route, after demethylation reaction. By applying such a three-step procedure from compound 14, the global yield decreased by comparison to the initial strategy (11% vs. 16.5%) but the dimethoxy precursors 14, 18, and 19 of the dihydroxy-dibenzofurans 15, 16, and 17, respectively, were obtained for complete SAR study.
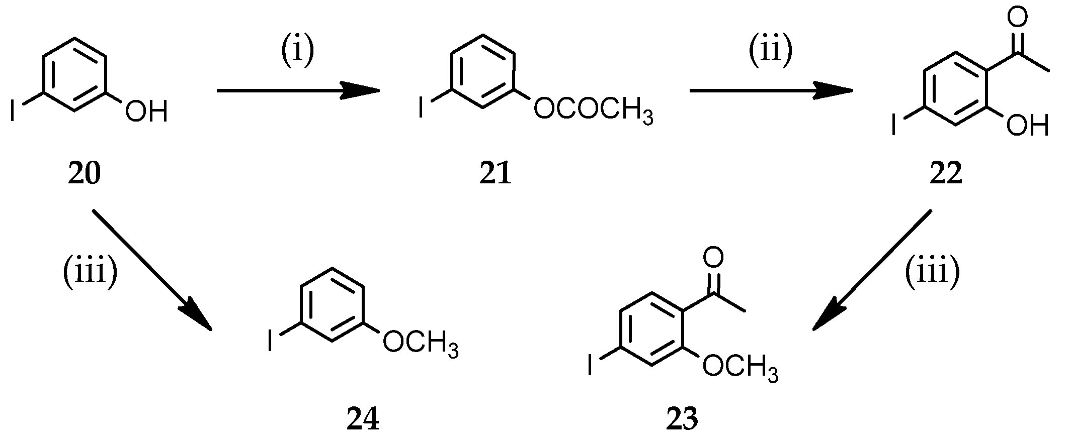
According to Liégault et al. [49], the ortho-directed CH activation of diaryl ethers, discussed above for accessing dibenzofurans, tolerates a broad substrate scope including both electron-rich and electron-deficient derivatives. Consequently, this approach was envisaged for pharmacomodulation of R1, R2, and R3 of the additional target compounds (Figure 1). The first step consisted of the synthesis of the suitable aryl iodide derivatives (Scheme 3) for the preparation of starting diaryl ethers (Scheme 4). To this end, the acetylation of 3-iodophenol 20 was readily achieved with acetic anhydride in pyridine [15] to offer phenyl acetate derivative 21, which was engaged in a Fries rearrangement reaction in the presence of boron trifluoride-acetic acid complex (BF3.2CH3COOH) to give 2-hydroxyacetophenone 22 in a good yield of 88% [53]. The protection of the phenol moiety was then carried out using iodomethane in basic conditions to obtain compound 23 in good yield (Scheme 4). The same protocol was employed to obtain 3-iodoanisole 24 from 3-iodophenol 20.
Scheme 3.
Reagents and conditions: (i) Ac2O, Pyridine, 130 °C, 2 h, 90%; (ii) BF3.2CH3COOH, 180 °C, 12 h, 88%; (iii) CH3I, Cs2CO3, CH3CN, 70 °C, 2 h, 91% (for 23) and 4 h, 89% (for 24).
Scheme 4.
Reagents and conditions: (i) 3,5-Dimethoxyphenol 4, Cs2CO3, CuI, DMF, 110 °C, MW, 1 h; (ii) Pd(OAc)2, AgOAc, PivOH, 130 °C, 4–24 h; (iii) CSI, CH3CN, 0 °C-rt, 6–12 h, then HCl 5M, rt, 6–12 h; (iv) Pyridine.HCl, 200 °C, MW, 15 min; (v) AcCl, AlCl3, Cl-CH2CH2Cl, rt, 1 h, 74%.
Diaryl ethers 28–32 were furnished by Ullmann-type coupling between 3,5-dimethoxyphenol 4 and synthesized (23, 24) or commercially available (25–27) aryl iodides (Scheme 4) [50]. It should be noted that the presence of a methoxy group on aryl halides has a deleterious effect for the reaction yield when comparing compounds 28, 29 (30–34%), and 30–32 (70–76%). Otherwise, the addition of N,N-dimethylglycine ligand in the mixture, to stabilize the copper complex, or increased reaction time did not improve the yields. Afterwards, the general reaction sequence (Scheme 4) was the same as previously discussed: (1) Pd-catalyzed CH activation for the dibenzofuran ring closure, from moderate to good yields (compounds 33–37); (2) introduction of the carbamoyl group, in low yields, through electrophilic attack of CSI and acidic hydrolysis (compounds 38–42); and (3) demethylation using pyridinium hydrochloride, in poor yields (compounds 43–47) due to difficulties in the purification on column chromatography. Interestingly, Friedel–Crafts acetylation performed on compound 39, in the presence of acetyl chloride and aluminum trichloride in 1,2-dichloroethane, allowed isolation of compound 38 with a good yield of 74% (Scheme 4) [54]. The proton NMR data validated the regioselective SEAr at the position 8 of the heterocycle.
2.1.2. Access to Dibenzofuran Derivatives by Intramolecular C-O Bond Formation from 2-Aryl Phenols
In a final strategy for the access to the dibenzo[b,d]furan scaffold, we were interested in exploring the carbon-oxygen bond formation of 2-aryl phenols in our series [52]. In addition, it gave us the opportunity to confirm the regioselectivity of the carbamoyl introduction at the C4-position of the dibenzofuran ring by performing the reaction from benzamide derivative 2, where the CONH2 group was already installed (Scheme 5).
Scheme 5.
Reagents and conditions: (i) NIS, CH2Cl2, 0 °C, 10 min, 60%; (ii) 2-Fluorophenylboronic acid, Pd(OAc)2, PPh3, K3PO4, CH3CN/H2O (4/1) sealed tube, 90 °C, MW, 2 h, 26%; (iii) Cs2CO3, CH3CN, 150 °C, MW, 1 h, 61%.
From this perspective, mono-iodination of compound 2 was first realized in the presence of N-iodosuccinimide to afford ortho-iodophenol derivative 48 [16]. In the next step, we followed the strategy described by Jepsen et al. [52] consisting of the introduction of an ortho-fluorophenyl for subsequent intramolecular cyclisation. Thus, the palladium-catalyzed Suzuki–Miyaura coupling between 2-fluorophenylboronic acid and compound 48, in the presence of palladium acetate, triphenylphosphine, and potassium phosphate as a base, provided the expected compound 49 [55]. Unfortunately, the yield remained very low (26%), but a preliminary attempt of C-C bond formation using Jepsen’s conditions under microwave irradiation (PdCl2(PPh3)2, K2CO3, DME/H2O, 80 °C, MW, 2 h) [52] proved to be unsuccessful with degradation of the reaction mixture.
Finally, the reaction of biaryl 49 with cesium carbonate at 150 °C in acetonitrile, under microwave irradiation, furnished compound 19, involving a fluorine atom as the leaving group for nucleophilic substitution. The NMR data and physicochemical properties of the compound obtained after ring closure reaction exactly matched with the previously described dibenzofuran derivative 19 in Scheme 2, confirming the proposed regioselectivity of the introduction of the carbamoyl function by CSI reagent. Nevertheless, after analyzing the global results of this synthetic route, optimization work will be necessary regarding the Suzuki–Miyaura coupling to consider it as a valuable approach of our series. Furthermore, when comparing the yield to obtain compound 19 in this reaction sequence (4.3% in 4 steps from compound 4) and the synthesis developed above (6.7% in 5 steps from compound 4, see Scheme 1 and Scheme 2), the second approach is less favored.
2.2. Kinase Assays
The synthesized compounds were tested using a luminescence-based assay [56] against a panel of nine kinases: Pim-1, Pim-2, CDK5/p25, CDK9/CyclinT, Haspin, CK1ε, and GSK3β (from human); DYRK1A (from Rattus norvegicus); and CLK1 (from Mus musculus). The results are summarized in Table 1 and Table 2. All these compounds were considered inactive on Haspin, DYRK1A, GSK3β, CK1ε, CDK5/p25, and CDK9/CyclinT since they displayed IC50 values above 10 µM, except fluoro derivative 41 from series A: Haspin (0.93 µM) and DYRK1A (1.33 µM) and its dihydroxy counterpart 46 belonging to series B Haspin (0.80 µM), DYRK1A (0.69 µM), CK1 (0.68 µM), and CDK9 (0.92 µM), which were highlighted as less selective kinase inhibitors: (Table 1, entries 14 and 15). Globally, compounds bearing 1,3-dihydroxy groups in the benzamide portion (series B) displayed micromolar to submicromolar inhibition of both Pim-1 and CLK1 (with the exception of dihydroxydibenzofuran 47 (Table 1, entry 17) inactive on CLK1 kinase), in contrast with the results obtained for the 1,3-dimethoxy analogues (series A, with the exception of compounds 19 and 41 (Table 1, entries 6 and 14) displaying submicromolar IC50 values against CLK1 kinase) and irrespective of the substituents in R1, R2, or R3.
Table 1.
Kinase selectivity profile of dibenzo[b,d]furan derivatives (ADP-Glo method at 10 µM ATP).
Table 2.
Enzymatic assays on human Pim-1 and Pim-2 kinases (ADP-Glo method at 10 µM ATP).
Small variations can be observed depending upon steric constraint or electronic effects. Indeed, the non-substituted compound 17 (Table 1, entry 7) showed significant IC50 values of 0.23 and 0.26 µM against Pim-1 and CLK1, 3.5-fold more active and comparable to those observed for the disubstituted compound 43 (Table 1, entry 9, IC50 values of 0.82 and 0.29 µM, respectively), which appeared the most structurally related to cercosporamide. Compound 44, bearing a 7-OH substituent on the dibenzofuran ring (Table 1, entry 11), displayed the most potent inhibitory activities against both enzymes with IC50 values of 0.06 (Pim-1) and 0.026 µM (CLK1) while 7-substitutions by a fluorine atom (compound 46, Table 1, entry 15) or a trifluoromethyl group (compound 47, Table 1, entry 17) reduced the inhibitory potency against Pim-1 (IC50 > 1 µM) and abrogated CLK1 inhibition for 47. Furthermore, the 8-acetyldibenzofuran derivative 45 (Table 1, entry 13) exhibited an increased IC50 value of 0.28 µM against Pim-1 and also remained 5-fold less active than 44 against CLK1 with an IC50 value of 0.14 µM. However, by comparison with compound 43 possessing the 7-OH and 8-COCH3 substitution patterns of cercosporamide, compound 45 without hydroxyl has been identified as a better kinase inhibitor towards both discussed enzymes. All these promising compounds belonging to series B were also potent submicromolar Pim-2 inhibitors (Table 2), with IC50 values ranging from 0.035 (compound 44) to 0.37 µM (compound 47).
Taking into account the kinase inhibitory activity of cercosporamide (Table 1 and Table 2, entry 1), the development of dibenzofuran derivatives led us to obtain more potent compounds against Pim-1/2 or as active compounds as the reference molecule. In addition, the novel compounds gave rise to low micromolar and nanomolar CLK1 inhibition compared to cercosporamide, constituting a very interesting result due to the CLK1 implications in human disease including cancer [57].
2.3. Docking Studies
Compounds 44, 43, and cercosporamide exhibit a similar binding mode when docked into the ATP pocket of Pim-1 (Figure 3). The 1-OH position in the benzamide portion forms a H-bond interaction with the carbonyl group of hinge residue Glu121 while the 7-OH position could favor an additional H-bond interaction with the ammonium side chain of conserved residue Lys67 and/or the carboxylate side chain of Asp186 (only visible for the most active compound 44). Such a binding mode is consistent with the experimental data, where 1,3-dihydroxybenzamide series (series B) are more much active than their 1,3-dimethoxy analogues (series A). All the 3-OH are oriented towards the carbonyl group of hinge residue Pro123, but the distance appears to be too large (>4.0 Å) to enable the formation of an appropriate H-bond interaction. The 4-carboxamide group does not seem to interact with a particular residue in the ATP-pocket but instead performs an intramolecular H-bond with the furan ring. This contrasts with previous docking studies of cercosporamide in the ATP pocket of Mnk2 kinase that showed H-bond interaction between the 4-carboxamide of the phenyl portion and hinge residues Glu160 and Met162 [8]. However, other docking studies of usnic acid, another dibenzofuran analogue with the main structural difference being 4-acetyl and 2-methyl groups, proposed a different binding mode with Pim-1 kinase, which seems consistent with our hypothesis [27]. Of course, we cannot discard other possible binding modes for these dibenzo[b,d]furan inhibitors since they contain many H-bond donor and acceptor substituents that can interact depending upon the specific environment of each kinase. The information of the role of the amide function in the binding mode of the compounds is under study through the synthesis of the counterparts without amide function. In a rational approach, their binding pose will be compared to their inhibitory potency on Pim-1 to complete the study.
Figure 3.
Binding pose found by the docking program GOLD for compound 44 (orange), compound 43 (green), and cercosporamide (pink) within the ATP pocket of Pim-1 (PDB ID 3A99). Hydrogen bonds are indicated as yellow lines.
2.4. In Vitro Cell-Based Assays and Acute Toxicity Testing
The Pim-1/2 and CLK-1 inhibitors 15–17 and 43–46, belonging to series B, were tested for their antiproliferative activity against six cancer cell lines, and L929 (mouse fibroblasts) for in vitro toxicity evaluation (Table 3, entries 1 to 7). Cercosporamide as a reference and compound 47, being less active against Pim-1 and inactive on CLK1, were also considered in the anticancer screening (Table 3, entries 8 and 9). The commercially available compound SGI-1776, a small-molecule pan-Pim protein kinase inhibitor with IC50 values of 0.05 (Pim-1) and 0.10 µM (Pim-2), was used as a positive control for the in vitro studies. Various types of hematological malignancies were selected for in vitro testing: the human acute myeloid leukemia (AML) cell line MV4-11, and the human chronic myeloid leukemia (CML) cell lines KU812 and K562. Indeed, Pim kinases are overexpressed in a wide range of hematopoietic malignancies [27,28,29,30,31,32,33,34,35,36]. Solid tumors were also included in the panel of tested cell lines: MCF-7 (human breast adenocarcinoma), HT-29 (human colon adenocarcinoma), and HeLa (human cervical cancer) cells. Cytotoxic effects were evaluated using an MTT assay, and living cells were also counted with the trypan blue dye exclusion method for MV4-11, KU812, and K562 cells.
Table 3.
Cell-based assays of representative dibenzo[b,d]furane derivatives.
In a general trend, all the dibenzofuran derivatives, except 47 (Table 3, entry 8), displayed moderate to good antiproliferative activity against the AML cell line MV4-11, with IC50 values ranging from 2.6 ± 0.4 to 52.2 ± 1.7 µM (Table 3, entries 1-7). Compound 44 was the most active compound but remained nearly 90-fold less active than the reference drug SGI-1776 on this cell (Table 3, entry 11). Interestingly, compounds 44, 45, 16, and 17, exhibiting the best in vitro cytotoxic effects (IC50 values from 2.6 ± 0.4 to 14.3 ± 1.1 µM), also possessed the best enzymatic activity inhibition against HsPim1/2 (IC50 values from 0.06 to 0.28 µM on Pim-1 and IC50 values from 0.035 to 0.20 µM on Pim-2) with additional impact on CLK1 kinase (IC50 values from 0.026 to 0.45 µM). Notably, compound 46, slightly less active on MV4-11 cells (Table 3, entry 7), and compounds 15 and 43, with decreased cell growth inhibition on the same cell line (Table 3, entries 1 and 4), showed increased IC50 values against HsPim-1 (IC50 of 1.20 µM, for compound 46 and 0.82 µM, for compound 43) or CLK1 (IC50 = 1.22 µM, for compound 15) (Table 1, entries 15, 9, and 3). Moreover, the inactive compound 47 against the MV4-11 cell lines displayed a higher IC50 value of 2.35 µM against Pim-1 and was also inactive towards CLK1 kinase. It must be noticed that the majority of dihydroxydibenzofuran derivatives designed in the frame of that project showed better activity than cercosporamide (IC50 = 31.5 ± 4.7 µM) against MV4-11 cells.
Regarding the antileukemia effect of the compounds, it is noteworthy that disappointing pharmacological results against CML cell lines, namely KU812 and K562, suggested a selective effect on AML cell growth (Table 3). Considering the other types of tumors, all the tested compounds remained totally inactive against the MCF-7 cell line, except 44 (IC50 = 52.5 ± 1.2 µM) with moderate potency. In the contrary, HeLa cells proved to be very sensitive to part of the synthesized compounds, with IC50 values ranging from 9.5 ± 4.1 to 24.7 ± 6.7 µM, for the most active compounds and at the level of cercosporamide (Table 3, entry 9) for analogues 44 and 17 (Table 3, entries 5 and 3).
Against L929 normal cells, no cytotoxicity (Table 3, entries 2–4 and 6) or poor cytotoxicity (Table 3, entries 1 and 5) was observed, strengthening the interest in the series in terms of the selectivity index. Complementing this study, the determination of in vivo toxicity, using Galleria mellonella larvae [22], was performed for all the compounds involved in the antitumor assays. Indeed, Galleria mellonella has been demonstrated to be a more robust assessment of the likely toxicity of chemicals in mammals than cell lines [58]. Groups of 10 larvae were injected with 10 µL of compound at a dose varying from 10 to 50 mg/kg. The mortality was recorded daily for 7 days. Percentage survival was plotted for each compound using Graph Pad Prism. No reduction of viability and no sign of cuticular darkening were observed for any compounds, except for 16 and 45, at a dose of 50 mg/kg after 7 days (Figure 4). Survival analysis was done using the log-rank test and the Kaplan–Meier survival curves for these two compounds. Concerning 16, the 2 tests showed non-significant p-values (0.1464 and 0.1468, respectively) and allowed the conclusion that the survival curve was not significantly different to the other compounds. Concerning 45, the same conclusions were obtained with p-values equal to 0.3173 for the two tests. These encouraging results prompted us to conclude to a general nontoxic effect in vivo in this model and at the considered dose.
Figure 4.
Evaluation of the in vivo cytotoxicity of dibenzofuran derivatives 15–17 and 43–47 on the G. mellonella model. Percentage of survival 7 days after injection of doses of 10 and 50 mg/kg for each compound. Mean of two independent experiments.
3. Materials and Methods
3.1. Chemistry
3.1.1. General Experimental Procedures
All commercial reagents were used without further purification. All solvents were reagent or HPLC grade. Analytical TLC was performed on silica gel 60 F254 plates. Open column chromatography was performed on silica gel 60 (70–230 mesh ASTM, Macherey-Nagel GmbH & Co. KG, Düren, Germany). The flash column chromatography was performed using a Reveleris® X2 Buchi system, with a Buchi cartridge. Yields refer to chromatographically and spectroscopically pure compounds. Melting points were determined on an electrothermal melting point (Thermo Fisher Scientific, Illkirch, France) apparatus. 1H NMR and 13C NMR spectra were recorded in CDCl3 or in DMSO-d6 on a 400 MHz spectrometer. Chemical shifts are reported as δ values in parts per million (ppm) relative to tetramethylsilane as the internal standard and coupling constants (J) are given in hertz. Multiplicities are reported as follows: s = singlet, d = doublet, dd = doublet of doublets, t = triplet, mt = multiplet, bs = broad singlet, tapp = apparent triplet. All the spectra are provided in the “Supplementary Materials”. Low-resolution mass spectra were recorded using an electrospray ionization (ESI) method with a Waters ZQ 2000 spectrometer (Waters, Saint Quentin en Yvelines, France). The UPLC column used was an Acquity UPLC® BEH Phenyl (2.1 mm i.d., 50 mm length, 1.7 µm particle size, Waters, Saint Quentin en Yvelines, France) from Waters. A linear mobile phase gradient was used with mobile phase A as 100% of acetonitrile in water (at 2%) and mobile phase B as 100% acetonitrile. The gradient table was: 0–0.5 min, 0% B; 0.5–4.0 min 0→100% B; 4.0–5.5% 100% B; 5.5–5.7 min 100→0% B; 5.7–7.5 min 0% B at a flow rate of 0.5 mL·min−1 and column temperature of 35 °C. Formic acid (0.1%) was added in diluent to improve ionization. For compounds 14–19 and 38–47, high-resolution mass spectrometry (HRMS) was recorded on a Waters Vion IMS QTof instrument (SAA055K, Waters, Manchester, UK) coupled with an Acquity H-Class UPLC in ESI+ mode. IR absorption spectra were recorded on an ATR-FTIR equipment, MIRacle Shimadzu spectrometer (Shimadzu Corporation, Kyoto, Japan). Only the most significant bands were reported. Microwave reactions were carried out in a CEM Discover microwave reactor (CEM SAS, Saclay, France) in sealed vessels (monowave, maximum power 300 W, temperature control via IR-sensor, fixed temperature).
Compounds 1, 3, and cercosporamide were synthesized or obtained following procedures previously described [16].
3.1.2. Access to Dibenzofuran Derivatives 14–19 by Intramolecular C-C Bond Formation from Diaryl Ethers
2-Hydroxy-4,6-dimethoxybenzamide (2)
To a stirred suspension of 3,5-dimethoxyphenol 4 (1.00 g, 6.5 mmol) in acetonitrile (20 mL) at 0 °C under argon, chlorosulfonyl isocyanate (1.26 mL, 13 mmol) was added. The mixture was maintained at this temperature for 10 min and then the reaction mixture was quenched with HCl 5 M (20 mL). After 10 h at room temperature, the reaction was diluted with water (100 mL) and extracted with dichloromethane (3 × 50 mL). The combined organic extracts were dried over sodium sulfate and filtered. The solvent was evaporated in vacuo and the residue was purified by silica gel column chromatography using cyclohexane/ethyl acetate (8/2) as eluent to give compound 2 (576 mg, 45% yield) as a white powder. Rf 0.46 (cyHex/AcOEt 6:4); Mp: 154–155 °C; 1H NMR (400 MHz, DMSO-d6) δ 14.69 (s, 1H, OH), 8.04–7.86 (m, 2H, CONH2), 6.08 (d, J = 2.5 Hz, 1H, H5), 6.05 (d, J = 2.4 Hz, 1H, H3), 3.87 (s, 3H, CH3), 3.77 (s, 3H, CH3); 13C NMR (100 MHz, DMSO-d6) δ 171.7 (C=O), 165.9 (C2), 163.7 (C6), 160.2 (C4), 96.6 (C1), 94.1 (C3), 90.1 (C5), 56.0 (CH3), 55.3 (CH3); IR (cm−1): 3429, 3209, 1620, 1587, 1492, 1415, 1355, 1315, 1294, 1217, 1199, 1159, 1109, 1041; MS (ESI) m/z (%): 198.1 (100) [M + H]+; UPLC purity = 97%, tR 1.93 min.
2,4-Dimethoxy-6-(2′-nitrophenoxy)benzamide (6)
A mixture of 2-hydroxy-4,6-dimethoxybenzamide 2 (0.50 g, 2.5 mmol) and potassium hydroxide (0.13 g, 2.5 mmol) was heated to 120 °C and stirred for 30 min, and then 1-iodo-2-nitrobenzene (0.64 g, 2.5 mmol) and copper powder (0.20 g, 3.13 mmol) were added, respectively. The resulting mixture was stirred at 170 °C for 24 h and then cooled down to room temperature. After the addition of water, the aqueous layer was extracted with ethyl acetate (100 mL) and washed with water (2 × 100 mL). The organic layers were washed with brine, dried over sodium sulfate, filtered, and evaporated to dryness. The resulting oil was purified by silica gel column chromatography using cyclohexane/ethyl acetate (8/2) as an eluent to give compound 6 (125 mg, 15% yield) as a brown powder. Rf 0.45 (cyHex/AcOEt 8:2); Mp: 209–210 °C; 1H NMR (400 MHz, DMSO-d6) δ 13.51 (s, 1H, NH), 11.76 (s, 1H, NH), 8.60 (dd, J = 8.4, 1.5 Hz, 1H, H3′), 8.24 (dd, J = 8.4, 1.5 Hz, 1H, H6′), 7.85 (t, J = 7.9 Hz, 1H, H4′), 7.46 (t, J = 7.9 Hz, 1H, H5′), 6.31 (d, J = 2.3 Hz, 1H, H5), 6.24 (d, J = 2.3 Hz, 1H, H3), 4.10 (s, 3H, CH3), 3.89 (s, 3H, CH3); 13C NMR (100 MHz, DMSO-d6) δ 168.5 (C=O), 165.7 (C4), 164.6 (C2), 159.9 (C6), 139.6 (C1′), 134.8 (C4′), 132.0 (C2′), 125.4 (C5′), 124.8 (C3′), 124.8 (C6′), 97.2 (C1), 94.7 (C5), 91.0 (C3), 56.5 (CH3), 55.6 (CH3); IR (cm−1): 3284, 1639, 1575, 1502, 1390, 1346, 1276, 1249, 1157, 1047; MS (ESI) m/z (%): 319.1 (100) [M + H]+; UPLC purity = 97%, tR 3.21 min.
1,3-Dibenzyloxy-5-(2′-nitrophenoxy)benzene (7)
A mixture of 3,5-dibenzyloxyphenol 3 (1.00 g, 3.26 mmol) and potassium hydroxide (0.18 g, 3.26 mmol) was heated to 120 °C and stirred for 30 min, and then 1-iodo-2-nitrobenzene (0.82 g, 3.26 mmol) and copper powder (0.40 g, 6.25 mmol) were added, respectively. The resulting mixture was stirred at 170 °C for 2 h and then cooled down to room temperature. After the addition of water, the aqueous layer was extracted with ethyl acetate (100 mL) and washed with water (2 × 100 mL). The organic layers were washed with brine, dried over sodium sulfate, filtered, and evaporated to dryness. The resulting oil was purified by silica gel column chromatography using cyclohexane/ethyl acetate (8/2) as the eluent to give compound 7 (1.02 g, 73% yield) as a yellow powder. Rf 0.76 (cyHex/AcOEt 6:4); Mp: 148–149 °C; 1H NMR (400 MHz, CDCl3) δ 7.80 (dd, J = 8.1, 1.7 Hz, 1H, H3′), 7.35 (ddd, J = 8.5, 7.4, 1.7 Hz, 1H, H4′), 7.34–7.15 (m, 10H, HAr), 7.12 (ddd, J = 8.5, 7.4, 1.7 Hz, 1H, H5′), 6.93 (dd, J = 8.4, 1.3 Hz, 1H, H6′), 6.33 (t, J = 2.2 Hz, 1H, H2), 6.17 (s, 1H, H4), 6.17 (s, 1H, H6), 4.86 (s, 4H, 2CH2); 13C NMR (100 MHz, CDCl3) δ 160.9 (2C1,3), 157.7 (C5), 150.0 (C1′), 141.5 (C2′), 136.4 (2C), 134.2 (C4′), 128.6 (2C), 128.6 (2C), 128.1 (1C), 128.1 (1C), 127.6 (2C), 127.6 (2C), 125.7 (C4′), 123.5 (C3′), 121.3 (C6′), 98.7 (2C4,6), 98.2 (C2), 70.3 (2CH2); IR (cm−1): 1589, 1529, 1450, 1355, 1236, 1157, 1128; MS (ESI) m/z (%): 428.2 (100) [M + H]+; UPLC purity = 100%, tR 3.09 min.
1,3-Dimethoxy-5-(2′-nitrophenoxy)benzene (8)
A mixture of 3,5-dimethoxyphenol 4 (1.00 g, 6.5 mmol) and potassium hydroxide (0.18 g, 6.5 mmol) was heated to 120 °C and stirred for 30 min, and then 1-iodo-2-nitrobenzene (0.82 g, 6.5 mmol) and copper powder (1.00 g, 15.6 mmol) were added, respectively. The resulting mixture was stirred at 170 °C for 2 h and then cooled down to room temperature. After the addition of water, the aqueous layer was extracted with ethyl acetate (100 mL). The organic layers were washed with brine, dried over sodium sulfate, filtered, and evaporated to dryness. The resulting oil was purified by silica gel column chromatography using cyclohexane/ethyl acetate (8/2) as eluent to give compound 8 (1.4 g 78% yield) as a yellow oil. Rf 0.42 (cyHex/AcOEt 8:2); 1H NMR (400 MHz, DMSO-d6) δ 8.07 (dd, J = 8.2 Hz, 1.6 Hz, 1H, H3′), 7.77–7.63 (m, 1H, H5′), 7.38 (t, J = 7.8 Hz, 1H, H4′), 7.21 (d, J = 8.4 Hz, 1H, H6′), 6.38 (t, J = 2.3 Hz, 1H, H2), 6.24 (s, 2H, H4,6), 3.74 (s, 6H, 2CH3); 13C NMR (100 MHz, DMSO-d6) δ 161.4 (2C1,3), 157.2 (C5), 148.8 (C1′), 141.0 (C2′), 134.9 (C4′), 125.5 (C5′), 124.2 (C3′), 120.9 (C6′), 97.1 (2C4,6), 96.4 (C2), 55.4 (2CH3); IR (cm−1): 1585, 1523, 1471, 1346, 1234, 1203, 1149, 1126, 1049; MS (ESI) m/z (%): 276.1 (100) [M + H]+; UPLC purity = 97%, tR 3.02 min.
2-(3′,5′-Dibenzyloxyphenoxy)aniline (9)
To a solution of 1,3-dibenzyloxy-5-(2′-nitrophenoxy)benzene 7 (100 mg, 0.23 mmol) in methanol (10 mL) at room temperature, saturated aqueous ammonium chloride (5 mL) and zinc dust (75 mg, 1.15 mmol) were added sequentially. After stirring for 30 min at room temperature, additional zinc was added (75 mg, 1.15 mmol) and the reaction mixture was refluxed for 2 h. After the addition of water, the aqueous layer was extracted with dichloromethane (3 × 50 mL). The combined organic extracts were dried over sodium sulfate and filtered. The solvent was evaporated in vacuo and the residue was purified by silica gel column chromatography using cyclohexane/ethyl acetate (8/2) as the eluent to give compound 9 (59 mg, 65% yield) as a brown powder. Rf 0.77 (cyHex/AcOEt 6:4); Mp: 217–218 °C; 1H NMR (400 MHz, CDCl3) δ 7.37–7.12 (m, 10H, HAr), 6.89 (td, J = 7.6, 1.5 Hz, 1H, H5), 6.80 (dd, J = 8.0, 1.5 Hz, 1H, H6), 6.68 (dt, J = 8.6, 2.6 Hz, 1H, H3), 6.65 (td, J = 7.6, 1.5 Hz, 1H, H4), 6.24 (s, 1H, H4′), 6.14 (s, 2H, H2′,6′), 4.87 (s, 4H, 2CH2); 13C NMR (100 MHz, CDCl3) δ 160.8 (2C3′,5′), 159.5 (C1′), 142.4 (C2), 138.9 (C1), 136.6 (2C), 128.6 (4C), 128.0 (2C), 127.6 (4C), 125.3 (C5), 120.9 (C4), 118.8 (C3), 116.6 (C6), 96.7 (2C2′,6′), 96.4 (C4′), 70.1 (2CH2); IR (cm−1): 2819, 1597, 1492, 1450, 1379, 1253, 1157, 1126, 1060; MS (ESI) m/z (%): 398.1 (100) [M + H]+; UPLC purity = 100%, tR 3.12 min.
2-(3′,5′-Dimethoxyphenoxy)aniline (10)
To a solution of 1,3-dimethoxy-5-(2′-nitrophenoxy)benzene 8 (250 mg, 0.91 mmol) in methanol (10 mL) at room temperature, saturated aqueous ammonium chloride (5 mL) and zinc dust (295 mg, 4.54 mmol) were added sequentially. After stirring for 30 min at room temperature, additional zinc was added (295 mg, 4.54 mmol) and the reaction mixture was refluxed for 2 h. After the addition of water, the aqueous layer was extracted with ethyl acetate (100 mL) and washed with water (2 × 50 mL). The combined organic extracts were dried over sodium sulfate and filtered. The solvent was evaporated in vacuo and the residue was purified by silica gel column chromatography using cyclohexane/ethyl acetate (6/4) as the eluent to give compound 7 (205 mg, 92% yield) as a brown oil. Rf 0.80 (cyHex/AcOEt 6:4); 1H NMR (400 MHz, CDCl3) δ 6.89 (td, J = 7.6, 1.5 Hz, 1H, H4), 6.82 (dd, J = 8.0, 1.4 Hz, 1H, H3), 6.71 (dd, J = 7.9, 1.6 Hz, 1H, H6), 6.62 (td, J = 7.6, 1.6 Hz, 1H, H5), 6.09 (t, J = 2.2 Hz, 1H, H4′), 6.06 (d, J = 2.3 Hz, 1H, 2H2′), 6.05 (d, J = 2.3 Hz, 2H, 2H6′), 3.64 (s, 3H, CH3), 3.60 (s, 3H, CH3); 13C NMR (100 MHz, DMSO-d6) δ 161.2 (2C3′,5′), 159.4 (C1′), 141.0 (C2), 140.4 (C1), 125.1 (C4), 120.7 (C5), 116.4 (C3), 115.8 (C6), 95.1 (2C2′,6′), 94.0 (C4′), 55.0 (2CH3); IR (cm−1): 3373, 2964, 1697, 1595, 1500, 1473, 1458, 1427, 1301, 1269, 1197, 1149, 1130, 1051; MS (ESI) m/z (%): 246.1 (100) [M + H]+; UPLC purity = 100%, tR 2.51 min.
1,3-Dimethoxy-6-nitrodibenzo[b,d]furan (13)
1,3-Dimethoxy-5-(2′-nitrophenoxy)benzene 8 (1.00 g, 3.6 mmol) was dissolved in warm pivalic acid (50 °C, 60 g). Silver acetate (1.20 g, 7.2 mmol) and palladium (II) acetate (40 mg, 0.18 mmol) were added, and the reaction mixture was properly stirred at 130 °C for 4 h. After cooling to room temperature and the addition of water (100 mL), the aqueous layer was extracted with ethyl acetate (100 mL). The organic layers were washed with brine, dried over sodium sulfate, filtered, and evaporated to dryness. The resulting oil was purified by silica gel column chromatography using cyclohexane/ethyl acetate (8/2) as the eluent to give compound 13 (0.71 g, 72% yield) as a yellow powder. Rf 0.64 (cyHex/AcOEt 6:4); Mp: 212–213 °C; 1H NMR (400 MHz, DMSO-d6) δ 8.27 (dd, J = 7.6 Hz, 1.1 Hz, 1H, H9), 8.18 (dd, J = 8.3, 1.1 Hz, 1H, H7), 7.55 (t, J = 8.0 Hz, 1H, H8), 7.13 (d, J = 1.8 Hz, 1H, H4), 6.66 (d, J = 1.8 Hz, 1H, H2), 4.03 (s, 3H, CH3), 3.90 (s, 3H, CH3); 13C NMR (100 MHz, DMSO-d6) δ 162.2 (C3), 158.2 (C1), 155.5 (C), 147.1 (C), 132.9 (C6), 127.6 (C8), 126.9 (C), 123.7 (C9), 120.5 (C7), 104.4 (C), 95.3 (C2), 89.3 (C4), 56.1 (CH3), 56.1 (CH3); IR (cm−1): 3088, 2933, 1637, 1602, 1531, 1502, 1450, 1417, 1344, 1219, 1145, 1095; MS (ESI) m/z (%): 274.1 (100) [M + H]+; UPLC purity = 99%, tR 3.16 min.
1,3-Dimethoxy-6-nitrodibenzo[b,d]furan-4-carboxamide (14)
To a stirred suspension of 1,3-dimethoxy-6-nitrodibenzo[b,d]furan 13 (1.00 g, 3.7 mmol) in acetonitrile (20 mL) at 0 °C under argon, chlorosulfonyl isocyanate (0.64 mL, 7.4 mmol) was added. The mixture was maintained at room temperature for 12 h and then the reaction mixture was quenched with HCl 5 M (20 mL). After 6 h at room temperature, the reaction was diluted with water (100 mL) and extracted with ethyl acetate (100 mL). The combined organic extracts were dried over sodium sulfate and filtered. The solvent was evaporated in vacuo and the residue was purified by silica gel column chromatography using cyclohexane/ethyl acetate (6/4) as the eluent to give compound 14 (0.61 g, 53% yield) as a yellow powder. Rf 0.63 (CH2Cl2/MeOH 9:1); Mp: 298–299 °C; 1H NMR (400 MHz, DMSO-d6) δ 8.32 (d, J = 7.6 Hz, 1H, H9), 8.20 (d, J = 8.3 Hz, 1H, H7), 7.77 (s, 1H, NH), 7.67–7.54 (m, 2H, NH, H8), 6.82 (s, 1H, H2), 4.13 (s, 3H, CH3), 3.98 (s, 3H, CH3); 13C NMR (100 MHz, DMSO-d6) δ 163.7 (C=O), 158.7 (C1), 155.8 (C3), 154.8 (C), 147.1 (C), 133.0 (C6), 127.7 (C8), 126.6 (C), 123.8 (C9), 120.9 (C7), 105.1 (C), 104.3 (C4), 92.2 (C2), 56.8 (CH3), 56.4 (CH3); IR (cm−1): 3136, 3091, 2846, 2140, 1977, 1643, 1606, 1521, 1427, 1355, 1323, 1217, 108; MS (ESI) m/z (%): 317.2 (100) [M + H]+; UPLC purity = 99%, tR 2.24 min; HRMS (TOF MS ES+): calcd. for C15H13N2O6 [M + H]+ 317.076813, found: 317.07664.
1,3-Dihydroxy-6-nitrodibenzo[b,d]furan-4-carboxamide (15)
A mixture of 1,3-dimethoxy-6-nitrodibenzo[b,d]furan-4-carboxamide 14 (50 mg, 0.16 mmol) in pyridine hydrochloride (3g) was irradiated using microwave heating at 200 °C for 15 min. After the addition of water, the aqueous layer was extracted with ethyl acetate (50 mL) and the resulting organic layer was washed with water (2 × 50 mL). The combined organic extracts were dried over sodium sulfate and filtered. The solvent was evaporated in vacuo and the residue was purified by silica gel column chromatography using cyclohexane/ethyl acetate (6/4) as the eluent to give compound 15 (23 mg, 51% yield) as a yellow powder. Rf 0.67 (CH2Cl2/MeOH 9:1); Mp > 300 °C; 1H NMR (400 MHz, DMSO-d6) δ 13.80 (s, 1H, OH), 11.77 (s, 1H, OH), 8.54 (s, 1H, NH), 8.42–8.07 (m, 2H, NH, H9), 7.75–7.36 (m, 2H, H8,7), 6.39 (s, 1H, H2); 13C NMR (100 MHz, DMSO-d6) δ 169.6 (C=O), 165.1 (C1), 157.9 (C3), 155.7 (C), 146.3 (C), 133.0 (C6), 127.7 (C8), 126.5 (C), 124.5 (C9), 120.3 (C7), 103.1 (C4), 98.9 (C2), 92.7 (C); IR (cm−1): 3458, 3196, 1654, 1629, 1608, 1517, 1477, 1440, 1404, 1359, 1323, 1251, 1220, 1195, 1120, 1082; MS (ESI) m/z (%): 289.1 (100) [M + H]+; UPLC purity = 99%, tR 2.37 min; HRMS (TOF MS ES+): calcd. for C13H9N2O6 [M + H]+ 289.045512, found: 289.04558.
6-Amino-1,3-dihydroxydibenzo[b,d]furan-4-carboxamide (16)
To a solution of 1,3-dihydroxy-6-nitrodibenzo[b,d]furan-4-carboxamide 15 (50 mg, 0.17 mmol) in methanol (10 mL) at room temperature, saturated aqueous ammonium chloride (5 mL) and zinc dust (55 mg, 0.85 mmol) were added sequentially. After stirring for 30 min at room temperature, additional zinc was added (55 mg, 0.85 mmol) and the reaction mixture was refluxed for 2 h. After the addition of water, the aqueous layer was extracted with ethyl acetate (100 mL) and the resulting organic layer was washed with water (2 × 50 mL). The combined organic extracts were dried over sodium sulfate and filtered. The solvent was evaporated in vacuo and the residue was purified by silica gel column chromatography using cyclohexane/ethyl acetate (6/4) as the eluent to give compound 16 (28 mg, 62% yield) as a brown powder. Rf 0.34 (CH2Cl2/MeOH 9:1); Mp: 292-293 °C; 1H NMR (400 MHz, DMSO-d6) δ 14.19 (s, 1H, OH), 11.12 (s, 1H, OH), 8.19 (s, 1H, CONH2), 8.11 (s, 1H, CONH2), 7.12 (d, J = 7.5 Hz, 1H, H9), 7.03 (t, J = 7.6 Hz, 1H, H8), 6.63 (d, J = 7.8 Hz, 1H, H7), 6.25 (s, 1H, H2); 13C NMR (100 MHz, DMSO) δ 170.2 (C=O), 164.2 (C1), 157.7 (C3), 154.8 (C), 142.2 (C), 133.3 (C6), 124.4 (C8), 123.0 (C), 110.2 (C9), 108.1 (C7), 105.3 (C4), 97.8 (C2), 92.5 (C); IR (cm−1): 3294, 3192, 1492, 1427, 1261, 1190, 1085, 1053; MS (ESI) m/z (%): 259.2 (100) [M + H]+; UPLC purity = 99%, tR 1.67 min; HRMS (TOF MS ES+): calcd. for C13H11N2O4 [M + H]+ 259.071333, found: 259.07147.
1,3-Dihydroxydibenzo[b,d]furan-4-carboxamide (17)
Method A: To a solution of 6-amino-1,3-dihydroxydibenzo[b,d]furan-4-carboxamide 16 (100 mg, 0.38 mmol) in ethanol (10 mL) at room temperature, sulfuric acid (25%, 40 mL) was added under warming. The mixture was cooled to 0 °C, and a solution of sodium nitrite (54 mg, 0.76 mmol) in 5 mL of water was added dropwise with stirring for 30 min. Afterwards, the reaction mixture was stirred for 45 min at 80 °C and then the reaction was quenched with water. The aqueous layer was extracted with ethyl acetate (100 mL) and the organic layer was washed with brine, dried over sodium sulfate, and filtered. The solvent was evaporated in vacuo and the residue was purified by silica gel column chromatography using cyclohexane/ethyl acetate (6/4) as the eluent to give compound 17 (49 mg, 52% yield) as a brown powder.
Method B: A mixture of 1,3-dimethoxydibenzo[b,d]furan-4-carboxamide 19 (see below) (100 mg, 0.37 mmol) in pyridine hydrochloride (3 g) was irradiated using microwave heating at 200 °C for 15 min. After the addition of water, the aqueous layer was extracted with ethyl acetate (50 mL) and the resulting organic layer was washed with water (2 × 50 mL). The combined organic extracts were dried over sodium sulfate and filtered. The solvent was evaporated in vacuo and the residue was purified by silica gel column chromatography using cyclohexane/ethyl acetate (6/4) as the eluent to give compound 17 (43 mg, 48% yield) as a brown powder.
Rf 0.20 (CH2Cl2); Mp: 219–220 °C; 1H NMR (400 MHz, DMSO-d6) δ 13.93 (s, 1H, OH), 11.34 (s, 1H, OH), 8.28 (s, 1H, CONH2), 8.03–7.88 (m, 1H, H9), 7.85 (s, 1H, CONH2), 7.77–7.65 (m, 1H, H6), 7.57–7.25 (m, 2H, H7,8), 6.31 (s, 1H, H2); 13C NMR (100 MHz, DMSO-d6) δ 170.0 (C=O), 164.3 (C1), 157.7 (C3), 155.2 (C), 154.2 (C), 124.8 (C7), 123.7 (C8), 122.7 (C), 121.0 (C9), 111.3 (C6), 104.4 (C4), 98.0 (C2), 92.6 (C); IR (cm−1): 3456, 3132, 1604, 1446, 1409, 1348, 1315, 1286, 1230, 1195, 1103, 1053; MS (ESI) m/z (%): 244.1 (100) [M + H]+; UPLC purity = 98%, tR 2.14 min; HRMS (TOF MS ES+): calcd. for C13H10NO4 [M + H]+ 244.060434, found: 244.06010.
6-Amino-1,3-dimethoxydibenzo[b,d]furan-4-carboxamide (18)
To a solution of 1,3-dimethoxy-6-nitrodibenzo[b,d]furan-4-carboxamide 14 (50 mg, 0.16 mmol) in methanol (10 mL) at room temperature, saturated aqueous ammonium chloride (5 mL) and zinc dust (55 mg, 0.85 mmol) were added sequentially. After stirring for 30 min at room temperature, additional zinc was added (55 mg, 0.85 mmol) and the reaction mixture was refluxed for 2 h. After the addition of water, the aqueous layer was extracted with ethyl acetate (100 mL) and the resulting organic layer was washed with water (2 × 50 mL). The combined organic extracts were dried over sodium sulfate and filtered. The solvent was evaporated in vacuo and the residue was purified by silica gel column chromatography using cyclohexane/ethyl acetate (6/4) as eluent to give compound 18 (22 mg, 49% yield) as a brown powder. Rf 0.52 (CH2Cl2/MeOH 9:1); Mp: 293–294 °C; 1H NMR (400 MHz, DMSO-d6) δ 7.67 (s, 1H, NH), 7.44 (s, 1H, NH), 7.17 (d, J = 7.5 Hz, 1H, H9), 7.03 (t, J = 7.7 Hz, 1H, H8), 6.70 (d, J = 5.9 Hz, 1H, H7), 6.68 (s, 1H, H2), 5.25 (s, 2H, NH2), 4.05 (s, 3H, CH3), 3.93 (s, 3H, CH3); 13C NMR (100 MHz, DMSO-d6) δ 164.6 (C=O), 157.2 (C1), 155.5 (C3), 153.9 (C), 142.9 (C), 133.1 (C6), 123.7 (C8), 122.7 (C), 111.2 (C9), 109.1 (C7), 107.0 (C4), 104.8 (C), 90.9 (C2), 56.6 (CH3), 56.0 (CH3); IR (cm−1): 3180, 1643, 1604, 1492, 1413, 1319, 1211, 1101; MS (ESI) m/z (%): 287.2 (100) [M + H]+; UPLC purity = 99%, tR 1.83 min; HRMS (TOF MS ES+): calcd. for C15H15N2O4 [M + H]+ 287.102633, found: 287.10220.
1,3-Dimethoxydibenzo[b,d]furan-4-carboxamide (19)
Method A: To a solution of 6-amino-1,3-dimethoxydibenzo[b,d]furan-4-carboxamide 18 (50 mg, 0.17 mmol) in ethanol (10 mL) at room temperature, sulfuric acid (25%, 20 mL) was added under warming. The mixture was cooled to 0 °C, and a solution of sodium nitrite (24 mg, 0.34 mmol) in 5 mL of water was added dropwise with stirring for 30 min. The reaction mixture was stirred for 45 min at 80 °C and then the reaction was quenched with water. The aqueous layer was extracted with ethyl acetate (100 mL) and the organic layer was washed with brine, dried over sodium sulfate, and filtered. The solvent was evaporated in vacuo and the residue was purified by silica gel column chromatography using cyclohexane/ethyl acetate (6/4) as the eluent to give compound 19 (22 mg, 46% yield) as a pale brown powder.
Method B: A mixture of 2’-fluoro-2-hydroxy-4,6-dimethoxybiphenyl-3-carboxamide 49 (see below) (50 mg, 0.17 mmol) and cesium carbonate (166 mg, 0.51 mmol) in acetonitrile was irradiated using microwave (80 W) heating at 150 °C for 1 h. Ethyl acetate (50 mL) was added to the mixture and the organic layer was washed with water (2 × 50 mL), dried over sodium sulfate, and filtered. The solvent was evaporated in vacuo and the residue was crystallized from diisopropyl ether to furnish the title compound 19 as a pale brown solid (28 mg, 61%)
Rf 0.41 (CH2Cl2/MeOH 9:1); Mp: 296–297 °C; 1H NMR (400 MHz, DMSO-d6) δ 7.95 (dd, J = 7.5, 1.5 Hz, 1H, H9), 7.69 (s, 1H, NH), 7.65 (d, J = 8.0 Hz, 1H, H6), 7.51 (s, 1H, NH), 7.38 (m, 2H, H7,8), 6.72 (s, 1H, H2), 4.09 (s, 3H, CH3), 3.95 (s, 3H, CH3); 13C NMR (100 MHz, DMSO-d6) δ 164.5 (C=O), 157.6 (C1), 155.7 (C3), 154.8 (C), 154.4 (C), 125.5 (C7), 123.2 (C8), 122.5 (C), 121.3 (C9), 110.9 (C6), 105.9 (C4), 104.7 (C), 91.1 (C2), 56.7 (CH3), 56.1 (CH3); IR (cm−1): 3381, 3201, 2968, 1641, 1602, 1452, 1421, 1321, 1213; MS (ESI) m/z (%): 272.2 (100) [M + H]+; UPLC purity = 99%, tR 2.21 min; HRMS (TOF MS ES+): calcd. for C15H14NO4 [M + H]+ 272.091734, found: 272.09149.
Access to dibenzofuran derivatives 38–47 was achieved by intramolecular C-C bond formation from diaryl ethers.
3.1.3. Preparation of Starting Iodo-Aryl Derivatives 21–24
3-Iodophenyl acetate (21)
Acetic anhydride (4.3 mL, 45.47 mmol) was added to a solution of 3-iodophenol 20 (1.00 g, 4.55 mmol) in pyridine (5 mL). After stirring at 130 °C for 2 h, the reaction was concentrated in vacuo and the residue was purified by silica gel column chromatography using cyclohexane/ethyl acetate (8/2) to give compound 21 (1.06 g, 90% yield) as a white solid. Rf 0.65 (cyHex/AcOEt 8:2); Mp: 33–34 °C (lit. 32.4–34.6 °C) [59]; 1H NMR (400 MHz, CDCl3) δ 7.49 (dt, J = 7.2, 1.7 Hz, 1H), 7.45–7.28 (m, 1H), 7.11–6.88 (m, 2H), 2.21 (s, 3H, CH3); 13C NMR (100 MHz, CDCl3) δ 168.9 (C=O), 150.9 (C1), 134.9 (C4), 130.8 (C5), 130.6 (C2), 121.1 (C6), 93.5 (C3), 21.0 (CH3); IR (cm−1): 1747, 1735, 1573, 1365, 1201, 1192, 1072, 1031, 1001, 981; MS (ESI) m/z (%): 263.1 (100) [M + H]+; UPLC purity = 100%, tR 2.60 min. Literature spectroscopic data Reference [59].
1-(2-Hydroxy-4-iodophenyl)ethanone (22)
3-Iodophenyl acetate 21 (250 mg, 0.95 mmol) was dissolved in boron trifluoride acetic acid complex (4 mL). The mixture was stirred at 180 °C for 12 h. The reaction medium was allowed to cool and then was diluted in dichloromethane (20 mL). Then, 5M Sodium hydroxide aqueous solution was added (20 mL). The aqueous layer was extracted with dichloromethane (100 mL) and washed with distilled water (100 mL). The aqueous layers were acidified with 5M hydrochloric acid solution (20 mL) and extracted with dichloromethane. The combined organic layers were dried over sodium sulfate and filtered. The solvent was evaporated in vacuo and the residue was purified by silica gel column chromatography using cyclohexane/ethyl acetate (8/2) as the eluent to give compound 22 (219 mg, 88% yield) as a beige powder. Rf 0.68 (cyHex/AcOEt 8:2); Mp: 52–53 °C (lit. 51.5–52 °C) [59]; 1H NMR (400 MHz, CDCl3) δ 12.18 (s, 1H, OH), 7.50–7.24 (m, 2H), 7.27–7.07 (m, 1H), 2.53 (s, 3H, CH3); 13C NMR (100 MHz, CDCl3) δ 204.1 (C=O), 162.2 (C2), 131.2 (C5), 128.3 (C6), 127.8 (C3), 119.0 (C1), 103.7 (C4), 26.5 (CH3); IR (cm−1): 1620, 1600, 1543, 1475, 1365, 1317, 1284, 1211; MS (ESI) m/z (%): 263.0 (100) [M + H]+; UPLC purity = 100%, tR 2.68 min. Literature spectroscopic data [59].
1-(4-Iodo-2-methoxyphenyl)ethanone (23)
1-(2-Hydroxy-4-iodophenyl)ethanone 22 (1.00 g, 3.8 mmol) and cesium carbonate (3.71 g, 11.4 mmol) were introduced in a round-bottom flask under argon. Dry acetonitrile (30 mL) was added, followed by iodomethane (490 µL, 7.6 mmol). The reaction mixture was stirred at 70 °C for 2 h and then the reaction was diluted with water (50 mL) and extracted with dichloromethane (2 × 50 mL). The combined organic extracts were dried over sodium sulfate and filtered. The solvent was evaporated in vacuo and the residue was purified by silica gel column chromatography using cyclohexane/ethyl acetate (8/2) to give compound 23 as a white powder (0.95 g, 91% yield). Rf 0.53 (cyHex/AcOEt 8:2); Mp: 70–71 °C (lit. 69–70 °C [60]); 1H NMR (400 MHz, DMSO-d6) δ 7.53 (d, J = 1.4 Hz, 1H, H3), 7.42 (dd, J = 8.1, 1.5 Hz, 1H, H5), 7.32 (d, J = 8.1 Hz, 1H, H6), 3.91 (s, 3H), 3.33 (s, 3H, CH3); 13C NMR (100 MHz, DMSO-d6) δ 198.1 (C=O), 158.5 (C2), 130.8 (C5), 129.4 (C6), 127.3 (C1), 121.4 (C3), 101.0 (C4), 56.2 (CH3), 31.4 (CH3); MS (ESI) m/z (%): 277.0 (100) [M + H]+; UPLC purity = 97%, tR 2.62 min.
1-Iodo-3-methoxybenzene (24)
3-Iodophenol 20 (1.00 g, 4.5 mmol) and cesium carbonate (2.40 g, 6.8 mmol) were introduced in a round-bottom flask under argon. Dry acetonitrile (30 mL) was added, followed by iodomethane (420 µL, 6.8 mmol). The reaction mixture was stirred at 70 °C for 4 h and then the reaction was diluted with water (50 mL) and extracted with dichloromethane (3 × 50 mL). The combined organic extracts were dried over sodium sulfate and filtered. The solvent was evaporated in vacuo and the residue was purified by silica gel column chromatography using cyclohexane/ethyl acetate (9/1) as the eluent to give compound 24 (940 mg, 89% yield) as a yellow oil. Rf 0.57 (cyHex/AcOEt 8:2); 1H NMR (400 MHz, CDCl3) δ 7.24–7.14 (m, 2H, H2,6), 6.91 (t, J = 8.0 Hz, 1H, H5), 6.78 (ddd, J = 8.4, 2.5, 0.9 Hz, 1H, H4), 3.69 (s, 3H, OCH3); 13C NMR (100 MHz, CDCl3) δ 160.1 (C3), 130.7 (C6), 129.8 (C5), 123.0 (C2), 113.7 (C4), 94.3 (C1), 55.3 (CH3); MS (ESI) m/z (%): 235.1 (100) [M + H]+; UPLC purity = 97%, tR 2.87 min. Literature spectroscopic data [61].
3.1.4. General Procedure for the Preparation of Diaryl Ethers 28–32
To a solution of 3,5-dimethoxyphenol 4 (1 equiv.) in N,N-dimethylformamide, cesium carbonate (2 equiv.), copper(1) iodide (0.1 equiv.), and iodo-aryl derivatives 23–27 (1.5 equiv.) were added. The reaction mixture was irradiated using microwave heating at 110 °C for 1 h. After cooling to room temperature, the mixture was diluted with ethyl acetate (50 mL) and water (100 mL). The suspension was filtered through a pad of Celite®. The two layers were separated, and the organic layer was washed with water (3 × 50 mL), dried over sodium sulfate, filtered, and evaporated to dryness. The crude product was then purified by chromatography to provide 28–32.
1-[4-(3′,5′-Dimethoxyphenoxy)-2-methoxyphenyl]ethanone (28)
The reaction was carried out using 3,5-dimethoxyphenol 4 (400 mg, 2.6 mmol), Cs2CO3 (1.69 g, 5.2 mmol), CuI (50 mg, 0.26 mmol), and 1-(4-iodo-2-methoxyphenyl)ethanone 23 (1.08 g, 3.9 mmol) in DMF (3 mL). Purification by flash column chromatography using cyclohexane/ethyl acetate (8/2) as the eluent afforded compound 28 (266 mg, 34% yield) as a colorless oil. Rf 0.54 (cyHex/AcOEt 8:2); 1H NMR (400 MHz, CDCl3) δ 7.78 (d, J = 8.8 Hz, 1H, H6), 6.61 (d, J = 2.2 Hz, 1H, H3), 6.56 (dd, J = 8.7, 1.4 Hz, 1H, H5), 6.29 (t, J = 2.2 Hz, 1H, H4′), 6.22–6.21 (m, 2H, H2′,6′), 3.86 (s, 3H, CH3), 3.76 (s, 6H, 2CH3), 2.59 (s, 3H, COCH3); 13C NMR (100 MHz, CDCl3) δ 198.2 (C=O), 162.3 (C2), 161.9 (2C3′,5′), 161.0 (C4), 157.5 (C1′), 132.6 (C6), 123.0 (C1), 109.9 (C5), 101.9 (C3), 98.5 (2C2′,6′), 96.9 (C4′), 55.8 (OCH3), 55.6 (2OCH3), 31.9 (COCH3); IR (cm−1): 2839, 1644, 1579, 1462, 1419, 1357, 1257, 1195, 1149, 1128, 1051, 1028; MS (ESI) m/z (%): 303.2 (100) [M + H]+; UPLC purity = 98%, tR 2.98 min.
1,3-Dimethoxy-5-(3′-methoxyphenoxy)benzene (29)
The reaction was carried out using 3,5-dimethoxyphenol 4 (200 mg, 1.30 mmol), Cs2CO3 (847 mg, 2.60 mmol), CuI (25 mg, 0.13 mmol), and 1-iodo-3-methoxybenzene 24 (455 mg, 1.95 mmol) in DMF (3 mL). Purification by flash column chromatography using cyclohexane/ethyl acetate (9/1) as the eluent afforded compound 29 (103 mg, 30% yield) as a colorless oil. Rf 0.55 (cyHex/AcOEt 8:2); 1H NMR (400 MHz, CDCl3) δ 7.15 (t, J = 8.1 Hz, 1H, H5′), 6.64–6.49 (m, 3H, H2′,4′,6′), 6.15 (t, J = 2.2 Hz, 1H, H2), 6.11 (d, J = 2.4 Hz, 1H), 6.11 (d, J = 2.4 Hz, 1H), 3.71 (s, 3H, CH3), 3.67 (s, 6H, 2CH3).; 13C NMR (100 MHz, CDCl3) δ 161.5 (2C1,3), 160.9 (C3′), 158.9 (C1′), 157.9 (C5), 130.0 (C5), 111.3 (C6′), 109.1 (C2′), 105.1 (C4′), 97.4 (2C4,6), 95.6 (C2), 55.4 (2CH3), 55.3 (CH3); IR (cm−1): 2835, 1583, 1261, 1193, 1143, 1126, 1047; MS (ESI) m/z (%): 261.1 (100) [M + H]+; UPLC purity = 99%, tR 3.20 min.
1-[4-(3′,5′-Dimethoxyphenoxy)phenyl]ethanone (30)
The reaction was carried out using 3,5-dimethoxyphenol 4 (1.00 g, 6.5 mmol), Cs2CO3 (4.23g, 13 mmol), CuI (124 mg, 0.65 mmol), and 4-iodoacetophenone 25 (2.40 g, 9.7 mmol) in DMF (5 mL). Purification by flash column chromatography using cyclohexane/ethyl acetate (8/2) as the eluent afforded compound 30 (1.20 g, 71% yield) as a brown powder. Rf 0.60 (cyHex/AcOEt 8:2); Mp: 85–86 °C; 1H NMR (400 MHz, CDCl3) δ 7.96 (mt, 2H, H2,6), 7.05 (mt, 2H, H3,5), 6.32 (t, J = 2.2 Hz, 1H, H4′), 6.24 (d, J = 2.3 Hz, 2H, H2′,6′), 3.79 (s, 6H, 2CH3), 2.60 (s, 3H, COCH3); 13C NMR (100 MHz, CDCl3) δ 196.7 (C=O), 161.7 (2C3′,5′), 161.5 (C4), 157.3 (C1′), 132.1 (C1), 130.5 (2C2,6), 117.6 (2C3,5), 98.5 (2C2′,6′), 96.7 (C4′), 55.4 (2CH3), 26.4 (COCH3); IR (cm−1): 1674, 1585, 1425, 1361, 1267, 1230, 1136, 1053; MS (ESI) m/z (%): 273.2 (100) [M + H]+; UPLC purity = 99%, tR 2.92 min.
1-(4′-Fluorophenoxy)-3,5-dimethoxybenzene (31)
The reaction was carried out using 3,5-dimethoxyphenol 4 (1.00 g, 6.5 mmol), Cs2CO3 (4.23 g, 13 mmol), CuI (124 mg, 0.65 mmol), and 1-fluoro-4-iodobenzene 26 (1.1 mL, 9.75 mmol) in DMF (5 mL). Purification by flash column chromatography using cyclohexane/ethyl acetate (8/2) as the eluent afforded compound 31 (1.23 g, 76% yield) as a yellow oil. Rf 0.30 (cyHex/CH2Cl2 8:2); 1H NMR (400 MHz, DMSO-d6) δ 7.22 (t, J = 8.4 Hz, 2H, H3′,5′), 7.08 (dd, J = 8.4, 4.6 Hz 2H, H2′,6′), 6.28 (t, J = 2.4Hz, 1H, H4), 6.11 (d, J = 2.4Hz, 2H, H2,6), 3.70 (s, 6H, 2CH3); 13C NMR (100 MHz, DMSO-d6) δ 161.3 (2C3,5), 158.9 (C1), 158.3 (d, JCF = 238 Hz, C4′), 152.1 (d, JCF = 2 Hz, C1′), 120.8 (d, JCF = 8 Hz, 2C2′,6′), 116.4 (d, JCF = 24 Hz, 2C3′,5′), 96.6 (2C2,6), 95.3 (C4), 55.2 (2CH3); IR (cm−1): 2943, 2839, 1591, 1499, 1462, 1238, 1150, 824; MS (ESI) m/z (%): 249.1 (100) [M + H]+; UPLC purity = 100%, tR 3.55 min.
1,3-Dimethoxy-5-[4′-(trifluoromethyl)phenoxy]benzene (32)
The reaction was carried out using 3,5-dimethoxyphenol 4 (500 mg, 3.25 mmol), Cs2CO3 (2.12 g, 6.5 mmol), CuI (62 mg, 325 µmol), and 1-iodo-4-(trifluoromethyl)benzene 27 (720 µL, 4.87 mmol) in DMF (3 mL). Purification by flash column chromatography using cyclohexane/ethyl acetate (8/2) as the eluent afforded compound 32 (678 mg, 70% yield) as a colorless oil. Rf 0.29 (cyHex/CH2Cl2 8:2); 1H NMR (400 MHz, CDCl3) δ 7.58 (d, J = 8.5 Hz, 2H, H3′,5′), 7.08 (d, J = 8.5 Hz, 2H, H2′,6′), 6.30 (t, J = 2.2 Hz, 1H, H2), 6.21 (d, J = 2.2 Hz, 2H, H4,6), 3.77 (s, 6H, 2CH3); 13C NMR (100 MHz, CDCl3) δ 161.9 (2C1,3), 160.1 (C5), 157.6 (C1′), 127.1 (q, JCF = 4 Hz, 2C3′,5′), 125.2 (q, JCF = 310 Hz, CF3), 122.8 (C4′), 118.2 (2C2′,6′), 98.3 (2C4,6), 96.6 (C2), 55.5 (2CH3); IR (cm−1): 2943, 1589, 1321, 1105, 835; MS (ESI) m/z (%): 299.1 (100) [M + H]+; UPLC purity = 99%, tR 3.42 min.
3.1.5. General Procedure for the Preparation of 1,3-dimethoxydibenzofurans 33–37
Diaryl ethers 28–32 (1 equiv.) were dissolved in warm pivalic acid (50 °C, excess). Silver acetate (5 equiv.) and palladium (II) acetate (0.1 equiv.) were added, and the reaction mixture was properly stirred at 130 °C for 4–24 h. After cooling to room temperature, the mixture was diluted with methanol (50 mL) and NaOH (1 M) was added until the pH reached 9. Elemental silver was removed by filtration through a pad of Celite®. The filtrate was extracted with ethyl acetate (100 mL). The organic layers were washed with brine (2 × 100 mL), dried over sodium sulfate, filtered, and evaporated to dryness. The crude product was then purified by chromatography to provide 33–37.
1-(3,7,9-Trimethoxydibenzo[b,d]furan-2-yl)ethanone (33)
The reaction was carried out using 1-[4-(3,5-dimethoxyphenoxy)-2-methoxyphenyl]ethanone 28 (100 mg, 0.33 mmol) and AgOAc (275 mg, 1.65 mmol), Pd(OAc)2 (9 mg, 0.03 mmol) in PivOH (5 g) for 4 h. Purification by flash column chromatography using cyclohexane/ethyl acetate (8/2) as the eluent afforded compound 33 (86 mg, 87% yield) as a brown powder. Rf 0.48 (cyHex/AcOEt 8:2); Mp: 155–156 °C; 1H NMR (400 MHz, DMSO-d6) δ 8.10 (s, 1H, H1), 7.46 (s, 1H, H4), 6.92 (d, J = 1.9 Hz, 1H, H6), 6.57 (d, J = 1.9 Hz, 1H, H8), 3.99 (s, 3H, CH3), 3.98 (s, 3H, CH3), 3.86 (s, 3H, CH3), 2.58 (s, 3H, COCH3); 13C NMR (100 MHz, DMSO-d6) δ 198.0 (C=O), 160.6 (C7), 158.5 (C3), 158.0 (C), 157.9 (C), 154.9 (C9), 124.1 (C2), 121.9 (C1), 115.9 (C), 105.4 (C), 95.8 (C8), 94.5 (C6), 89.2 (C4), 56.3 (CH3), 55.9 (CH3), 55.8 (CH3), 31.6 (CH3); IR (cm−1): 1664, 1600, 1462, 1408, 1354, 1269, 1236, 1139, 1095; MS (ESI) m/z (%): 301.2 (100) [M + H]+; UPLC purity = 99%, tR 3.00 min.
1,3,7-Trimethoxydibenzo[b,d]furan (34)
The reaction was carried out using 1,3-dimethoxy-5-(3-methoxyphenoxy)benzene 29 (100 mg, 0.38 mmol), AgOAc (317 mg, 1.90 mmol), and Pd(OAc)2 (9 mg, 0.04 mmol) in PivOH (5 g) for 12 h. Purification by flash column chromatography using cyclohexane/ethyl acetate (8/2) as the eluent afforded compound 34 (90 mg, 91% yield) as a brown powder. Rf 0.51 (cyHex/AcOEt 8:2); Mp: 153–154 °C; 1H NMR (400 MHz, CDCl3) δ 7.78 (d, J = 8.4 Hz, 1H, H9), 6.97 (d, J = 2.2 Hz, 1H, H6), 6.82 (dd, J = 8.4, 2.3 Hz, 1H, H8), 6.61 (d, J = 1.9 Hz, 1H, H4), 6.32 (d, J = 2.0 Hz, 1H, H2), 3.91 (s, 3H, CH3), 3.80 (s, 3H, CH3), 3.80 (s, 3H, CH3); 13C NMR (100 MHz, CDCl3) δ 160.0 (C3), 158.2 (C7), 158.1 (C), 156.6 (C), 155.2 (C1), 121.8 (C9), 117.0 (C), 110.4 (C8), 107.2 (C), 96.4 (C2), 93.8 (C4), 88.7 (C6), 55.8 (CH3), 55.7 (CH3), 55.6 (CH3); IR (cm−1): 2940, 2832, 1594, 1435, 1365, 1320, 1264, 1206, 1125, 1036; MS (ESI) m/z (%): 259.1 (100) [M + H]+; UPLC purity = 99%, tR 3.24 min.
1-(7,9-Dimethoxydibenzo[b,d]furan-2-yl)ethanone (35)
The reaction was carried out using 1-[4-(3,5-dimethoxyphenoxy)phenyl]ethanone 30 (1.00 g, 3.7 mmol), AgOAc (3.06 g, 18.5 mmol), and Pd(OAc)2 (80 mg, 0.37 mmol) in PivOH (50 g) for 24 h. Purification by flash column chromatography using cyclohexane/ethyl acetate (8/2) as the eluent afforded compound 35 (0.83 g, 83% yield) as a brown powder. Rf 0.34 (cyHex/AcOEt 8:2); Mp: 162–163 °C; 1H NMR (400 MHz, CDCl3) δ 8.60 (d, J = 1.9 Hz, 1H, H1), 8.02 (dd, J = 8.6, 2.0 Hz, 1H, H3), 7.52 (d, J = 8.6 Hz, 1H, H4), 6.74 (d, J = 1.9 Hz, 1H, H6), 6.46 (d, J = 1.9 Hz, 1H, H8), 4.06 (s, 3H, CH3), 3.92 (s, 3H, CH3), 2.73 (s, 3H, COCH3); 13C NMR (100 MHz, CDCl3) δ 197.6 (C=O), 161.6 (C7), 158.8 (C), 158.3 (C9), 156.1 (C), 132.7 (C2), 125.8 (C3), 124.1 (C), 122.6 (C1), 110.6 (C4), 106.7 (C), 94.4 (C8), 88.6 (C6), 55.8 (CH3), 55.7 (CH3), 26.8 (COCH3); IR (cm−1): 1674, 1637, 1618, 1581, 1510, 1425, 1408, 1361, 1315, 1290, 1253, 1215, 1197, 1151, 1093, 1045, 1010; MS (ESI) m/z (%): 271.2 (100) [M + H]+; UPLC purity = 98%, tR 2.94 min.
8-Fluoro-1,3-dimethoxydibenzo[b,d]furan (36)
The reaction was carried out using 1-(4-fluorophenoxy)-3,5-dimethoxybenzene 31 (1.00 g, 4.03 mmol), AgOAc (3.36 g, 20.15 mmol), and Pd(OAc)2 (90 mg, 0.40 mmol) in PivOH (50 g) for 24 h. Purification by flash column chromatography using cyclohexane/dichloromethane (8/2) as the eluent afforded compound 36 (414 mg, 42% yield) as a white powder. Rf 0.23 (cyHex/CH2Cl2 8:2); Mp: 137–138 °C; 1H NMR (400 MHz, CDCl3) δ 7.66 (dd, J = 8.5, 2.7 Hz, 1H, H9), 7.39 (dd, J = 8.9, 4.1 Hz, 1H, H6), 7.02 (dt, J = 8.9, 2.7 Hz, 1H, H7), 6.68 (d, J = 2.0 Hz, 1H, H2), 6.39 (d, J = 2.0 Hz, 1H, H4), 4.00 (s, 3H, CH3), 3.89 (s, 3H, CH3); 13C NMR (100 MHz, CDCl3) δ 161.6 (C3), 159.2 (C4a), 159.1 (d, JCF = 238 Hz, C8), 156.0 (C1), 151.5 (C9b), 124.7 (d, JCF = 11 Hz, C9a), 111.7 (d, JCF = 26 Hz, C7), 111.0 (d, JCF = 9 Hz, C6), 107.9 (d, JCF = 25 Hz, C9), 107.2 (d, JCF = 3 Hz, C5a), 93.9 (C4), 88.5 (C2), 55.8 (CH3), 55.7 (CH3); IR (cm−1): 1674, 1637, 1618, 1581, 1510, 1425, 1408, 1361, 1315, 1290, 1253, 1215, 1197, 1151, 1093, 1045, 1010; MS (ESI) m/z (%): 247.1 (100) [M + H]+; UPLC purity = 99%, tR 3.23 min.
1,3-Dimethoxy-8-(trifluoromethyl)dibenzo[b,d]furan (37)
The reaction was carried out using 1,3-dimethoxy-5-(4-(trifluoromethyl)phenoxy)benzene 32 (500 mg, 1.65 mmol), AgOAc (560 mg, 8.38 mmol), and Pd(OAc)2 (37 mg, 0.165 mmol) in PivOH (25 g) for 24 h. Purification by flash column chromatography using cyclohexane/dichloromethane (95/5) as the eluent afforded compound 37 (190 mg, 39% yield) as a white powder. Rf 0.21 (cyHex/CH2Cl2 99:1); Mp: 131–132 °C; 1H NMR (400 MHz, CDCl3) δ 8.25 (s, 1H, H9), 7.58 (dd, J = 8.4, 1.9 Hz, 1H, H7), 7.53 (d, J = 8.7 Hz, 1H, H6), 6.72 (d, J = 2.0 Hz, 1H, H2), 6.43 (d, J = 2.0 Hz, 1H, H4), 4.03 (s, 3H, CH3), 3.90 (s, 3H, CH3); 13C NMR (100 MHz, CDCl3) δ 161.9 (C3), 158.9 (C4a), 157.0 (C9b), 156.1 (C1), 126.1 (C8), 125.3 (q, JCF = 310 Hz, CF3), 124.2 (C9a), 121.9 (q, JCF = 4 Hz, C7), 119.2 (q, JCF = 4 Hz, C9), 110.8 (C6), 106.5 (C5a), 94.4 (C4), 88.6 (C2), 55.9 (CH3), 55.7 (CH3); IR (cm−1): 2947, 1620, 1321, 1151, 1094, 808; MS (ESI) m/z (%): 297.1 (100) [M + H]+; UPLC purity = 100%, tR 3.47 min.
3.1.6. General Procedure for the Preparation of 1,3-dimethoxydibenzofuran-4-carboxamides 38–42
To a stirred suspension of 1,3-dimethoxydibenzofurans 33–37 (1 equiv.) in acetonitrile at 0 °C under argon, chlorosulfonyl isocyanate (2 equiv.) was added. The mixture was maintained at room temperature for 6-12 h and then the reaction mixture was quenched with HCl 5 M (20 mL). After 6–12 h at room temperature, the reaction was diluted with water (100 mL) and extracted with ethyl acetate (100 mL). The combined organic extracts were washed with brine (2 × 100 mL), dried over sodium sulfate, filtered, and evaporated to dryness. The crude product was then purified by chromatography to provide 38–42.
8-Acetyl-1,3,7-trimethoxydibenzo[b,d]furan-4-carboxamide (38)
Method A: The reaction was carried out using 1-(3,7,9-trimethoxydibenzo[b,d]furan-2-yl)ethanone 33 (100 mg, 0.33 mmol), CSI (58 µL, 0.66 mmol) in CH3CN (10 mL) for 12 h and then 12 h for the hydrolysis step at 60 °C, as an exception. Purification by flash column chromatography using cyclohexane/ethyl acetate (6/4) as the eluent afforded compound 38 (54 mg, 48% yield) as a white powder.
Method B: Anhydrous AlCl3 (111 mg, 0.83 mmol) was added to acetyl chloride (24 µL, 0.33 mmol) in 1,2-dichloroethane (10 mL). Then, 1,3,7-trimethoxydibenzo[b,d]furan-4-carboxamide 39 (see below) in 1,2-dichloroethane (20 mL) was added slowly and the mixture was left at room temperature for 1 h. After the reaction (TLC control) was completed, the reaction mixture was quenched with 1 N HCl and extracted with dichloromethane (2 × 25 mL). The combined organic extracts were washed with water, dried over anhydrous sodium sulfate, filtered, and concentrated in vacuum. The crude product obtained was purified over silica gel column chromatography using cyclohexane/ethyl acetate (6/4) as the eluent to obtain the pure product 38 (42 mg, 74% yield).
Rf 0.59 (CH2Cl2/MeOH 9:1); Mp: 228–229 °C; 1H NMR (400 MHz, DMSO-d6) δ 8.13 (s, 1H, H9), 7.70 (s, 1H, CONH2), 7.54 (m, 2H, CONH2, H6), 6.72 (s, 1H, H2), 4.08 (s, 3H, CH3), 3.97 (s, 3H, CH3), 3.93 (s, 3H, CH3), 2.58 (s, 3H, COCH3); 13C NMR (100 MHz, DMSO-d6) δ 197.9 (COCH3), 164.2 (CONH2), 158.6 (C), 158.3 (C7), 157.1 (C), 155.1 (C1), 154.9 (C3), 124.2 (C8), 122.1 (C9), 115.4 (C), 105.5 (C), 105.0 (C4), 96.0 (C6), 91.6 (C2), 56.7 (CH3), 56.4 (CH3), 56.2 (CH3), 31.6 (COCH3); IR (cm−1): 3387, 3197, 1606, 1402, 1317, 1273, 1089; MS (ESI) m/z (%): 344.2 (100) [M + H]+; UPLC purity = 98%, tR 2.15 min; HRMS (TOF MS ES+): calcd. for C18H18NO6 [M + H]+ 344.112864, found: 344.11210.
1,3,7-Trimethoxydibenzo[b,d]furan-4-carboxamide (39)
The reaction was carried out using 1,3,7-trimethoxydibenzo[b,d]furan 34 (100 mg, 0.38 mmol) and CSI (67 µL, 0.77 mmol) in CH3CN (10 mL) for 6 h and then 6 h for the hydrolysis step. Purification by flash column chromatography using cyclohexane/ethyl acetate (6/4) as the eluent afforded compound 39 (50 mg, 44% yield) as a white powder. Rf 0.67 (CH2Cl2/MeOH 9:1); Mp: 332–333 °C; 1H NMR (400 MHz, DMSO-d6) δ 7.79 (d, J = 8.5 Hz, 1H, H9), 7.67 (s, 1H, CONH2), 7.48 (s, 1H, CONH2), 7.30 (d, J = 2.3 Hz, 1H, H6), 6.95 (dd, J = 8.5, 2.3 Hz, 1H, H8), 6.69 (s, 1H, H2), 4.07 (s, 3H, CH3), 3.92 (s, 3H, CH3), 3.84 (s, 3H, CH3); 13C NMR (100 MHz, DMSO-d6) δ 164.5 (C=O), 158.2 (C7), 156.5 (C), 156.1 (C), 154.8 (C1), 154.4 (C3), 121.4 (C9), 115.5 (C), 110.8 (C8), 106.1 (C4), 104.9 (C), 96.7 (C6), 91.2 (C2), 56.7 (CH3), 56.0 (CH3), 55.6 (CH3); IR (cm−1): 3377, 3192, 2970, 2839, 1643, 1610, 1454, 1431, 1375, 1321, 1267, 1209, 1107, 1026; MS (ESI) m/z (%): 302.1 (100) [M + H]+; UPLC purity = 99%, tR 2.26 min; HRMS (TOF MS ES+): calcd. for C16H16NO5 [M + H]+ 302.102299, found: 302.10192.
8-Acetyl-1,3-dimethoxydibenzo[b,d]furan-4-carboxamide (40)
The reaction was carried out using 1-(7,9-dimethoxydibenzo[b,d]furan-2-yl)ethanone 35 (200 mg, 0.74 mmol) and CSI (128 µL, 1.48 mmol) in CH3CN (20 mL) for 12 h and then 12 h for the hydrolysis step. Purification by flash column chromatography using cyclohexane/ethyl acetate (6/4) as the eluent afforded compound 40 (74 mg, 32% yield) as a yellow powder. Rf 0.61 (CH2Cl2/MeOH 9:1); Mp: 237-238 °C; 1H NMR (400 MHz, DMSO-d6) δ 8.48 (s, 1H, H9), 8.07 (d, J = 8.8 Hz, 1H, H7), 7.90–7.43 (m, 3H, H6, CONH2), 6.78 (s, 1H, H2), 4.14 (s, 3H, CH3), 3.96 (s, 3H, CH3), 2.68 (s, 3H, CH3); 13C NMR (100 MHz, DMSO-d6) δ 197.0 (COCH3), 164.1 (CONH2), 158.2 (C3), 157.5 (C1), 155.9 (C), 155.1 (C), 132.6 (C8), 126.6 (C7), 122.9 (C), 121.3 (C9), 110.9 (C6), 105.3 (C4), 104.8 (C), 91.6 (C2), 56.7 (CH3), 56.3 (CH3), 26.8 (COCH3); IR (cm−1): 3381, 1649, 1612, 1415, 1365, 1321, 1286, 1215, 1097; MS (ESI) m/z (%): 314.2 (100) [M + H]+; UPLC purity = 100%, tR 1.99 min; HRMS (TOF MS ES+): calcd. for C17H16NO5 [M + H]+ 314.102299, found: 314.10187.
8-Fluoro-1,3-dimethoxydibenzo[b,d]furan-4-carboxamide (41)
The reaction was carried out using 8-fluoro-1,3-dimethoxydibenzo[b,d]furan 36 (185 mg, 0.75 mmol) and CSI (130 µL, 1.5 mmol) in CH3CN (20 mL) for 12 h and then 12 h for the hydrolysis step. Purification by reverse phase column chromatography (C18) using water/acetonitrile (7/3) as the eluent afforded, after lyophilization, compound 41 (76 mg, 35% yield) as a white powder. Rf 0.26 (AcOEt); Mp: 230–231 °C; 1H NMR (400 MHz, DMSO-d6) δ 7.71–7.67 (s, 1H, NH), 7.68 (dd, J = 8.9, 4.1 Hz, 1H, H6), 7.64 (dd, J = 8.4, 2.7 Hz, 1H, H9), 7.51 (s, 1H, NH), 7.24 (dt, J = 8.9, 2.7 Hz, 1H, H7), 6.72 (s, 1H, H2), 4.09 (s, 3H, CH3), 3.95 (s, 3H, CH3); 13C NMR (100 MHz, DMSO-d6) δ 164.3 (C=O), 158.5 (d, JCF = 235 Hz, C8), 158.2 (C3), 155.8 (C1), 155.5 (C4a), 151.1 (C9b), 123.6 (d, JCF = 11 Hz, C9a), 112.4 (d, JCF = 26 Hz, C7), 112.1 (d, JCF = 9 Hz, C6), 107.1 (d, JCF = 26 Hz, C9), 105.8 (C5a), 104.7 (C4), 91.2 (C2), 56.7 (CH3), 56.2 (CH3); IR (cm−1): 3381, 1649, 1612, 1415, 1365, 1321, 1286, 1215, 1097; MS (ESI) m/z (%): 290.1 (100) [M + H]+; UPLC purity = 99%, tR 2.23 min; HRMS (TOF MS ES+): calcd. for C15H13FNO4 [M + H]+ 290.075037, found: 290.07422.
1,3-Dimethoxy-8-(trifluoromethyl)dibenzo[b,d]furan-4-carboxamide (42)
The reaction was carried out using 1,3-dimethoxy-8-(trifluoromethyl)dibenzo[b,d]furan 37 (145 mg, 0.50 mmol) and CSI (85 µL, 1.0 mmol) in CH3CN (15 mL) for 12 h then 12 h for the hydrolysis step. Purification by flash column chromatography using ethyl acetate/methanol (95/5) as the eluent afforded compound 42 (58 mg, 35% yield) as a white powder. Rf 0.30 (AcOEt); Mp: 250–251 °C; 1H NMR (400 MHz, DMSO-d6) δ 8.22 (d, J = 1.8 Hz, 1H, H9), 7.90 (d, J = 8.7 Hz, 1H, H6), 7.78 (dd, J = 8.7, 1.8 Hz, 1H, H7), 7.74 (s, 1H, NH), 7.59 (s, 1H, NH), 6.81 (s, 1H, H2), 4.17 (s, 3H, CH3), 4.02 (s, 3H, CH3); 13C NMR (100 MHz, DMSO-d6) δ 164.1 (C=O), 158.6 (C3), 156.6 (C4a), 156.1 (C1), 155.3 (C9b), 125.9 (C8), 124.2 (q, JCF = 310 Hz, CF3), 123.2 (C9a), 122.5 (q, JCF = 4 Hz, C7), 118.1 (q, JCF = 4 Hz, C9), 111.8 (C6), 105.0 (C5a), 104.6 (C4), 91.6 (C2), 56.7 (CH3), 56.3 (CH3); IR (cm−1): IR: 3379, 3179, 2974, 1649, 1618, 1319, 1115, 814; MS (ESI) m/z (%): 340.1 (100) [M + H]+; UPLC purity = 98%, tR 2.64 min; HRMS (TOF MS ES+): calcd. for C16H13F3NO4 [M + H]+ 340.071843, found: 340.07112.
3.1.7. General Procedure for the Preparation of 1,3-hydroxydibenzofuran-4-carboxamide 43–47
A mixture of 1,3-dimethoxydibenzofuran-4-carboxamides 38-42 (50 mg) in warm pyridine hydrochloride (3g) was irradiated using microwave (100 W) heating at 200 °C for 15 min. After the addition of water, the mixture was extracted with ethyl acetate (100 mL). The organic layers were washed with brine, dried over sodium sulfate, filtered, and evaporated to dryness. The crude product was then purified by chromatography to provide 43–47.
8-Acetyl-1,3,7-trihydroxydibenzo[b,d]furan-4-carboxamide (43)
The reaction was carried out using 8-acetyl-1,3,7-trimethoxydibenzo[b,d]furan-4-carboxamide 38 (50 mg, 0.15 mmol) in warm pyridine hydrochloride (3g). Purification by flash column chromatography using dichloromethane as the eluent afforded compound 43 (17 mg, 39% yield) as a brown powder. Rf 0.53 (CH2Cl2/MeOH 9:1); Mp: 335–336 °C; 1H NMR (400 MHz, DMSO-d6) δ 13.82 (s, 1H, OH), 12.44 (s, 1H, OH), 11.38 (s, 1H, OH), 8.30 (m, 2H, H9, CONH2), 7.81 (s, 1H, CONH2), 7.25 (s, 1H, H6), 6.32 (s, 1H, H2), 2.74 (s, 3H, COCH3); 13C NMR (100 MHz, DMSO-d6) δ 203.7 (COCH3), 169.7 (CONH2), 163.7 (C7), 160.1 (C3), 158.8 (C), 157.0 (C1), 155.7 (C), 123.3 (C9), 117.4 (C), 115.5 (C8), 103.5 (C4), 99.8 (C2), 98.5 (C6), 93.0 (C), 27.8 (COCH3); IR (cm−1): 3462, 3334, 3170, 1614, 1469, 1396, 1246, 1103, 1041; MS (ESI) m/z (%): 302.1 (100) [M + H]+; UPLC purity = 99%, tR 2.17 min; HRMS (TOF MS ES+): calcd. for C15H12NO6 [M + H]+ 302.065914, found: 302.06557.
1,3,7-Trihydroxydibenzo[b,d]furan-4-carboxamide (44)
The reaction was carried out using 1,3,7-trimethoxydibenzo[b,d]furan-4-carboxamide 39 (50 mg, 0.17 mmol) in warm pyridine hydrochloride (3g). Purification by flash column chromatography using cyclohexane/ethyl acetate (6/4) as the eluent afforded compound 44 (16 mg, 38% yield) as a brown powder. Rf 0.67 (CH2Cl2/MeOH 9:1); Mp: 360–361 °C; 1H NMR (400 MHz, DMSO-d6) δ 13.73 (s, 1H, OH), 11.09 (s, 1H, OH), 9.75 (s, 1H, OH), 8.20 (s, 1H, CONH2), 7.80 (s, 1H, CONH2), 7.68 (d, J = 8.5 Hz, 1H, H9), 7.10 (s, 1H, H6), 6.81 (d, J = 8.3 Hz, 1H, H8), 6.25 (s, 1H, H2); 13C NMR (100 MHz, DMSO-d6) δ 170.1 (C=O), 162.8 (C7), 156.7 (C3), 155.7 (C1), 155.5 (C), 154.9 (C), 121.1 (C9), 114.4 (C), 112.0 (C8), 104.7 (C4), 98.5 (C2), 97.8 (C6), 92.7 (C); IR (cm−1): 3423, 3321, 3242, 3219, 1664, 1556, 1502, 1446, 1288, 1257, 1190, 1107, 1029; MS (ESI) m/z (%): 260.1 (100) [M + H]+; UPLC purity = 100%, tR 1.64 min; HRMS (TOF MS ES+): calcd. for C13H10NO5 [M + H]+ 260.055349, found: 260.05591.
8-Acetyl-1,3-dihydroxydibenzo[b,d]furan-4-carboxamide (45)
The reaction was carried out using 8-acetyl-1,3-dimethoxydibenzo[b,d]furan-4-carboxamide 40 (50 mg, 0.16 mmol) in warm pyridine hydrochloride (3g). Purification by flash column chromatography using cyclohexane/ethyl acetate (6/4) as the eluent afforded compound 45 (12 mg, 26% yield) as a yellow powder. Rf 0.56 (CH2Cl2/MeOH 9:1); Mp: 355–356 °C; 1H NMR (400 MHz, DMSO-d6) δ 13.98 (s, 1H, OH), 11.54 (s, 1H, OH), 8.47 (d, J = 1.9 Hz, 1H, H9), 8.32 (s, 1H, CONH2), 8.06 (dd, J = 8.6, 2.0 Hz, 1H, H7), 7.88 (s, 1H, CONH2), 7.81 (d, J = 8.6 Hz, 1H, H6), 6.36 (s, 1H, H2), 2.68 (s, 3H, COCH3); 13C NMR (100 MHz, DMSO-d6) δ 197.0 (COCH3), 169.8 (CONH2), 164.8 (C3), 157.8 (C1), 156.8 (C), 156.0 (C), 133.0 (C8), 125.9 (C7), 123.2 (C), 121.0 (C9), 111.3 (C6), 103.9 (C4), 98.4 (C2), 92.8 (C), 26.8 (COCH3); IR (cm−1): 3479, 3190, 1600, 1415, 1359, 1284, 1249, 1190, 1045; MS (ESI) m/z (%): 286.1 (100) [M + H]+; UPLC purity = 99%, tR 2.04 min; HRMS (TOF MS ES+): calcd. for C15H12NO5 [M + H]+ 286.070999, found: 286.07079.
8-Fluoro-1,3-dihydroxydibenzo[b,d]furan-4-carboxamide (46)
The reaction was carried out using 8-fluoro-1,3-dimethoxydibenzo[b,d]furan-4-carboxamide 41 (50 mg, 0.17 mmol) in warm pyridine hydrochloride (3g). Purification by flash column chromatography using cyclohexane/ethyl acetate (6/4) as the eluent afforded compound 46 (23 mg, 51% yield) as a beige powder. Rf 0.39 (cyHex/AcOEt 6:4); Mp: 342–343 °C; 1H NMR (400 MHz, DMSO-d6) δ 13.99 (s, 1H, OH), 11.54 (s, 1H, OH), 8.29 (s, 1H, NH), 7.82 (s, 1H, NH), 7.71 (dd, J = 8.8, 4.0 Hz, 1H, H6), 7.60 (dd, J = 8.4, 2.8 Hz, 1H, H9), 7.21 (dt, J = 8.8, 2.8 Hz, 1H, H7), 6.33 (s, 1H, H2); 13C NMR (100 MHz, DMSO-d6) δ 170.0 (C=O), 165.0 (C3), 158.8 (d, JCF = 236 Hz, C8), 158.1 (C1), 156.4 (C4a), 150.4 (C9b), 124.0 (d, JCF = 11 Hz, C9a), 112.4 (d, JCF = 9 Hz, C6), 111.7 (d, JCF = 26 Hz, C7), 106.7 (d, JCF = 26 Hz, C9), 104.3 (d, JCF = 3 Hz, C5a), 98.1 (C4), 92.6 (C2); IR (cm−1): 3481, 3188, 3098, 1628, 1474, 1410, 1161, 802; MS (ESI) m/z (%): 262.1 (100) [M + H]+; UPLC purity = 99%, tR 2.28 min; HRMS (TOF MS ES+): calcd. for C13H9FNO4 [M + H]+ 262.043737, found: 262.04354.
1,3-Dihydroxy-8-(trifluoromethyl)dibenzo[b,d]furan-4-carboxamide (47)
The reaction was carried out using 1,3-dimethoxy-8-(trifluoromethyl)dibenzo[b,d]furan-4-carboxamide 42 (50 mg, 0.15 mmol) in warm pyridine hydrochloride (3g). Purification by flash column chromatography using cyclohexane/ethyl acetate (6/4) as the eluent afforded compound 47 (24 mg, 53% yield) as a beige powder. Rf 0.40 (cyHex/AcOEt 6:4); Mp: 347–348 °C; 1H NMR (400 MHz, DMSO-d6) δ 13.99 (s, 1H, OH), 11.98 (s, 1H, OH), 8.33 (s, 1H, NH), 8.14 (d, J = 1.6 Hz, 1H, H9), 7.90 (d, J = 8.8 Hz, 1H, H6), 7.87 (s, 1H, NH), 7.74 (dd, J = 8.8, 1.6 Hz, 1H, H7), 6.53 (s, 1H, H2); 13C NMR (100 MHz, DMSO-d6) δ 169.8 (C=O), 165.1 (C3), 158.3 (C1), 156.1 (C4a), 155.9 (C9b), 125.9 (C8), 124.6 (q, JCF = 310 Hz, CF3), 123.6 (C9a), 121.9 (q, JCF = 4 Hz, C7), 117.6 (q, JCF = 4 Hz, C9), 112.3 (C6), 103.6 (C5a), 98.7 (C4), 92.6 (C2); IR (cm−1): 3474, 3217, 1632, 1308, 1109, 887, 818; MS (ESI) m/z (%): 312.1 (100) [M + H]+; UPLC purity = 99%, tR 2.58 min; HRMS (TOF MS ES+): calcd. for C14H9F3NO4 [M + H]+ 312.040543, found: 312.04098.
3.1.8. Access to Dibenzofuran Derivative 19 by Intramolecular C-O Bond Formation from 2-Aryl Phenol 49
2-Hydroxy-3-iodo-4,6-dimethoxybenzamide (48)
A solution of 2-hydroxy-4,6-dimethoxybenzamide 2 (200 mg, 1.01 mmol) in dichloromethane (10 mL) at 0 °C under argon was added N-iodosuccinimide (230 mg, 1.01 mmol) and the reaction mixture was maintained at this temperature for 10 min. The reaction was diluted with water (30 mL) and extracted with dichloromethane (3 × 50 mL). The combined organic extracts were dried over sodium sulfate and filtered. The solvent was evaporated in vacuo and the residue was purified by silica gel column chromatography using cyclohexane/ethyl acetate (6/4) as the eluent to give compound 48 as a white powder (196 mg, 60% yield). Rf 0.21 (cyHex/AcOEt 6:4); Mp: 270−271 °C; 1H NMR (400 MHz, DMSO-d6) δ 15.74 (s, 1H, OH), 8.13 (s, 1H, CONH2), 8.13 (s, 1H, CONH2), 6.30 (s, 1H, H5), 3.97 (s, 3H, CH3), 3.92 (s, 3H, CH3); 13C NMR (100 MHz, DMSO-d6) δ 171.3 (C=O), 163.9 (C2), 162.1 (C6), 161.2 (C4), 97.1 (C1), 87.5 (C5), 67.1 (C3), 56.5 (CH3), 56.4 (CH3); IR (cm−1): 3439, 1602, 1579, 1415, 1396, 1336, 1286, 1215, 1120, 1078; MS (ESI) m/z (%): 324.0 (100) [M + H]+; UPLC purity = 98%, tR 2.25 min.
2’-Fluoro-2-hydroxy-4,6-dimethoxybiphenyl-3-carboxamide (49)
2-Hydroxy-3-iodo-4,6-dimethoxybenzamide 48 (1.00 g, 3.1 mmol), 2-fluorophenylboronic acid (650 mg, 4.7 mmol) and potassium phosphate (1.33 g, 6.2 mmol) were added to degassed acetonitrile (16 mL) and water (4 mL). After stirring for 10 min, palladium(II) acetate (35 mg, 0.05 equiv.) and triphenylphosphine (40 mg, 0.05 equiv.) were added to the mixture. The tube was then sealed, and the reaction mixture was irradiated using microwave heating at 90 °C for 2 h. Acetonitrile was removed, the crude product was extracted with ethyl acetate (100 mL) and washed with water (2 × 100 mL), dried over sodium sulfate, filtered, and concentrated under reduced pressure. The crude product was purified by flash silica gel column chromatography using cyclohexane/ethyl acetate (6/4) as the eluent to afford compound 48 (234 mg, 26%) as a brown powder. Rf 0.41 (CH2Cl2/MeOH 9:1); Mp: 223–224 °C; 1H NMR (400 MHz, DMSO-d6) δ 14.92 (s, 1H, OH), 8.13 (s, 1H, CONH2), 8.03 (s, 1H, CONH2), 7.34 (d, J = 7.0 Hz, 1H), 7.26-6.95 (m, 3H), 6.32 (s, 1H, H5), 4.00 (s, 3H, CH3), 3.78 (s, 3H, CH3).; 13C NMR (100 MHz, DMSO-d6) δ 171.9 (C=O), 162.5 (C2), 160.9 (C6), 160.5 (C4), 158.8 (d, J = 243 Hz, C2′-F), 133.3 (d, J = 4 Hz, C6′), 128.8 (d, J = 9 Hz, C4′), 123.60 (d, J = 4 Hz, C5′), 121.18 (d, J = 17 Hz, C1′), 115.0 (d, J = 22 Hz, C3′), 104.4 (C1), 96.5 (C3), 86.8 (C5), 56.2 (CH3), 55.7 (CH3); IR (cm−1): 3435, 1649, 1604, 1591, 1415, 1317, 1209, 1138, 1114; MS (ESI) m/z (%): 292.2 (100) [M + H]+; UPLC purity = 98%, tR 2.52 min.
1,3-Dimethoxydibenzo[b,d]furan-4-carboxamide (19)
For the cyclisation step, see above, Method B.
3.2. Molecular Modeling
Molecular modeling studies were performed using SYBYL-X 1.3 software [62] running on a Dell precision T3400 workstation. The three-dimensional structures of compound 44 (most active compound), compound 43 (strict analogue of cercosporamide), and cercosporamide were built from a standard fragments library and optimized using the Tripos force field [63] including the electrostatic term calculated from Gasteiger and Hückel atomic charges. Powell’s method available in the Maximin2 procedure was used for energy minimization until the gradient value was smaller than 0.001 kcal/(mol*Å). The crystal structure of Pim-1 in complex with AMP-PNP at 1.6 Å resolution (PDB ID 3A99) [64] was used as a template for docking. Water molecules were removed from the coordinates set since no information about conserved water molecules is known for this chemical series in Pim-1. Flexible docking of compounds 44, 43, and cercosporamide into the ATP-binding site was performed using GOLD software [65]. The most stable docking models were selected according to the best scored conformation predicted by the ChemScore scoring function implemented in GOLD. Finally, the complexes were energy-minimized using Powell’s method available in the Maximin2 procedure with the Tripos force field and a dielectric constant of 4.0, until the gradient value reached 0.1 kcal/mol.Å. Biovia Discovery Studio Visualizer [66] was used for graphical display.
3.3. Biology
3.3.1. Mammalian Protein Kinase Assays
Kinase enzymatic activities were assayed with 10 µM ATP in 384-well plates using the luminescent ADP-GloTM assay (Promega, Madison, WI, USA) according to the recommendations of the manufacturer (see [56] for details on this method). The transmitted signal was measured using the Envision (PerkinElmer, Waltham, MA, USA) microplate luminometer and expressed in relative light unit (RLU). In order to determine the half maximal inhibitory concentration (IC50), the assays were performed in duplicate in the absence or presence of increasing doses of the tested compounds. GraphPad Prism6 software (GraphPad Software, San Diego, CA, USA) was used to fit dose–response curves and to determine the IC50 values. Kinase activities are expressed in % of maximal activity, i.e., measured in the absence of inhibitor. Peptide substrates were obtained from Proteogenix (Schiltigheim, France).
The following kinases were analyzed during this study: HsPim-1 and HsPim-2 (human proto-oncogene, recombinant, expressed in bacteria) were assayed with 0.20 µg/µL of consensus peptide substrate: ARKRRRHPSGPPTA; RnDYRK1A-kd (Rattus norvegicus, amino acids 1 to 499 including the kinase domain, recombinant, expressed in bacteria, DNA vector kindly provided by Dr. W. Becker, Aachen, Germany) was assayed with 0.033 µg/µL of the following peptide: KKISGRLSPIMTEQ as substrate; HsCDK5/p25 (human cyclin-dependent kinase-5, recombinant, expressed in bacteria) was assayed with 0.8 µg/µL of histone H1 as substrate; HsCDK9/CyclinT (human cyclin-dependent kinase-9, recombinant, expressed by baculovirus in Sf9 insect cells) was assayed with 0.20 µg/µL of the following peptide: YSPTSPSYSPTSPSYSPTSPSKKKK, as substrate; HsHaspin-kd (human, kinase domain, amino acids 470 to 798, recombinant, expressed in bacteria) was assayed with 0.007 µg/µL of Histone H3 (1–21) peptide (ARTKQTARKSTGGKAPRKQLA) as substrate; MmCLK1 (from Mus musculus, recombinant, expressed in bacteria) was assayed with 0.027 µg/µL of the following peptide: GRSRSRSRSRSR as substrate; HsCK1ε (human casein kinase 1ε, recombinant, expressed by baculovirus in Sf9 insect cells) was assayed with 0.02 µg/µL of the following peptide: RRKHAAIGSpAYSITA (“Sp” stands for phosphorylated serine) as the CK1-specific substrate; HsGSK-3β (human glycogen synthase kinase-3) was assayed with 0.010 µg/µL of GS-1 peptide, a GSK-3-selective substrate (YRRAAVPPSPSLSRHSSPHQSpEDEEE). For kinases expressed in bacteria, the Escherichia coli BL21 DE3 pLysS strain (Invitrogen, ThermoFisher Scientific, Waltham, MA, USA) was transformed with pGEX-2T-1 (Sigma-Aldrich, St. Louis, MO, USA) containing the coding region of the corresponding kinase. For kinases expressed in Sf9 insect cells, the coding region of the corresponding kinase was cloned in pFastBacTM vector. Purification of the recombinant kinases was performed following the protocol “Bac-to-Bac® Baculovirus Expression System” provided by the manufacturer (Invitrogen, ThermoFisher Scientific, Waltham, MA, USA).
To validate the kinase assay, model inhibitors were used for each tested enzyme: Staurosporine from Streptomyces sp. (#S5921, purity ≥ 95%, Sigma-Aldrich) for HsCK1ε; Indirubin-30-oxime (#I0404, purity ≥ 98%, Sigma-Aldrich) for HsGSK-3β, HsPim-1 and 2, human cyclin-dependent kinases, RnDYRK1A and MmCLK1; CHR-6494 (#SML0648, purity ≥ 98%, Sigma-Aldrich) for Haspin.
3.3.2. Cell Cultures and Reagents
MV4-11, K562, and KU812 cell lines were obtained from the Deutshe Sammlung von Mikroorganismens und Zellkulturen (DSMZ) and maintained according to the supplier’s recommendations. All cell lines were cultured in RPMI, with 10% fetal bovine serum, 1% glutamine, and 1% penicillin/ streptomycin at 37 °C and 5% CO2.
The cancer cell lines MCF-7, HT-29, and HeLa were obtained from Cell Bank of Rio de Janeiro, Brazil, and were grown in RPMI-1640 medium and L929 cells were grown in Dulbecco’s Modified Eagle’s Medium (DMEM). Both media were supplemented with fetal bovine serum (FBS) (10% of the final concentration) followed by treatment with penicillin and streptomycin as antibiotics (1% of the final concentration). The crude was incubated in the presence of CO2 atmosphere (5%) for 24 h with the temperature monitored and maintained at 37 °C.
3.3.3. In Vitro Cell-Based Assays
MV4-11, K562, and KU812 cells’ viability was studied using a MTT cell proliferation assay. To determine the concentration effect of the molecules, 0.2 × 106 leukemic cells were incubated in 100 μL of RPMI red phenol-free medium (Gibco), in 96-well plates and treated with compounds 15–17 and 43–47 (stock solution at 50 mM in DMSO) or the positive control SGI-1776 from SAB Signalway antibody with concentrations ranging from 100 nM to 100 μM for 48 h.
MV4-11, K562, and KU812 cells were incubated with 10 μL of MTT working solution (5 g/L of methylthiazolyldiphenyl-tetrazolium bromide from Sigma Aldrich, Lyon, France) for 4 h. Cells were then lysed overnight at 37 °C with 100 μL of 10% SDS and 0.003% HCl. Optical density (OD) at 570 nm was measured using a spectrophotometer CLARIOstar® (BMG Labtech, Offenburg, Germany). Living cells were also counted with the trypan blue dye exclusion method. When a dose-dependent activity was observed, IC50 values were calculated using Graphpad PRISM 7 software (n = 3 in triplicate). Data were collected from at least three independent experiments and the values reported are means ± standard errors of the mean (SEM).
MCF-7, HT-29, HeLa, and L929 cells (3×105 cells/mL) were plated in 96-well plates and incubated in the presence of CO2 atmosphere (5%) for 24 h at 37 °C. Then, compounds 15–17 and 43–47 with concentrations ranging from 100 nM to 100 μM were added and incubated at 37 °C for 72 h. Then, 25 μL of MTT (5 mg/mL in PBS) were added to each well and the plates were left for another 3 h in the incubator at 37 °C and at the end of this period, the supernatant was aspirated. To perform the reading, 100 μL of dimethylsulfoxide (DMSO) were added in each well for the dissolution of the formazan crystals. The amount of formazan was measured by reading the plate at 560 nm absorbance. The concentration leading to 50% inhibition of viability (IC50) was calculated by regression analysis using GraphPad Prism 5.0. Each sample was tested in triplicate in two independent experiments. Doxorubicin was used as a positive control.
3.3.4. Evaluation of Compounds’ Cytotoxicity Using the In Vivo Galleria mellonella Model
G. mellonella larvae were bred in the IICiMed laboratory at 30-32 °C in a mixture of flour, honey, oatmeal, glycerol, and pollen until 260 to 320 mg (6th developmental stage). Groups of 10 larvae were randomly selected for the experiments. Each larva was injected in the 4th left pro-leg with 10 µL of compounds or an equivalent volume of PBS/DMSO for the control group at a dose varying between 10 and 50 mg/kg using a 0.3 mL–30G-Insulin syringe. Larvae were incubated in the dark at 37 °C and survival was evaluated daily for 7 days. Death was assessed by the lack of movement in response to stimulus, with or without discoloration. Percentage survival was plotted using GraphPad Prism and survival analyses were determined using the log-rank test and the Kaplan–Meier survival curves. Two independent experiments were performed.
4. Conclusions
In summary, our research efforts in the synthesis of a natural product-inspired chemotype, endowed with kinase inhibition properties, produced attractive and safe 1,3-dihydroxydibenzo[b,d]furan derivatives. This study confirmed cercosporamide as a valuable starting point for medicinal chemistry investigations and the removal of chirality afforded a flat tricyclic core with very promising enzyme and cellular potencies. Indeed, it was well established that the dual Pim1/2-CLK kinases inhibition promoted very interesting antiproliferative properties against the AML cell line as confirmed by the growth inhibitory activity at a low micromolar concentration, coupled with the nanomolar IC50 values obtained against the enzymes, particularly for the most active compound 44.
Docking studies demonstrated that the 4-carboxamide group of the dibenzofurans was not essential for binding within the ATP pocket of Pim-1, in contrast to the hydroxy groups. In future, the replacement of the carboxamide group will be investigated to validate the hypothesis, and taking into account the level of activity of usnic acid towards Pim1/2, its substitution pattern could also serve as model for further design. In parallel, the very encouraging results obtained for this synthetic compound library deserve further optimization for complete SAR studies.
Supplementary Materials
Spectroscopic data (1H and 13C NMR spectra) for all the compounds.
Author Contributions
Conceptualization, P.M., I.O.-G. and M.-A.B.; methodology, P.M., I.O.-G., M.-A.B. and C.L.; investigation, V.H.D., J.T., P.M., I.O.-G., M.-A.B., C.L., S.B., B.B., T.R., T.G.d.S., C.D.-S., F.G. and M.B.-B.; analysis, F.O.M.; writing—original draft preparation, P.M., V.H.D. and C.L.; writing—review and editing, P.M., I.O.-G., F.O.M.; supervision, P.M., I.O.-G. and M.-A.B.; project administration, P.M., I.O.-G.; funding acquisition, P.M. All authors have read and agreed to the published version of the manuscript.
Funding
This research was funded by a PhD grant from “Campus France Projet 911 Vietnam”and part of the work was also realized in the frame of the French and Irish Programme “PHC Ulysses” thanks to Campus France and the Irish Research Council (IRC). The authors thank the School of Pharmacy-University of Nantes, France and the College of Medecine and Pharmacy–University of Phu Tho, Vietnam for the cooperation agreement.
Institutional Review Board Statement
Not applicable.
Informed Consent Statement
Not applicable.
Data Availability Statement
Not applicable.
Acknowledgments
The authors thank the Cancéropôle Grand Ouest (3MC network—Marine Molecules, Metabolism and Cancer), GIS IBiSA (Infrastructures en Biologie Santé et Agronomie) and Biogenouest (Western France life science and environment core facility network) for supporting the KISSf screening facility.
Conflicts of Interest
The authors declare no conflict of interest. The funders had no role in the design of the study; in the collection, analyses, or interpretation of data; in the writing of the manuscript, or in the decision to publish the results.
Sample Availability
Samples of the compounds are available from the authors.
References
- Sugawara, F.; Strobel, S.; Strobel, G.; Larsen, R.D.; Berglund, D.L.; Gray, G.; Takahashi, N.; Coval, S.J.; Stout, T.J.; Clardy, J. The structure and biological activity of cercosporamide from Cercosporidium henningsii. J. Org. Chem. 1991, 56, 909–910. [Google Scholar] [CrossRef]
- Hoffman, A.M.; Mayer, S.G.; Strobel, G.A.; Hess, W.M.; Sovocool, G.W.; Grange, A.H.; Harper, J.K.; Arif, A.M.; Grant, D.M.; Kelley-Swift, E.G. Purification, identification and activity of phomodione, a furandione from an endophytic Phoma species. Phytochemistry 2008, 69, 1049–1056. [Google Scholar] [CrossRef] [PubMed]
- Wang, L.-W.; Xu, B.-G.; Wang, J.-Y.; Su, Z.-Z.; Lin, F.-C.; Zhang, C.-L.; Kubicek, C.P. Bioactive metabolites from Phoma species, an endophytic fungus from the Chinese medicinal plant Arisaema Erubescens. Appl. Microbiol. Biotechnol. 2012, 93, 1231–1239. [Google Scholar] [CrossRef]
- Hosoya, T.; Ohsumi, J.; Hamano, K.; Ono, Y.; Miura, M. Method for Producing Cercosporamide. U.S. Patent 2010/0152467, 2010. [Google Scholar]
- Sussman, A.; Huss, K.; Chio, L.-C.; Heidler, S.; Shaw, M.; Ma, D.; Zhu, G.; Campbell, R.M.; Park, T.-S.; Kulanthaivel, P.; et al. Discovery of cercosporamide, a known antifungal natural product, as a selective Pkc1 kinase inhibitor through high-through put screening. Eukaryot. Cell 2004, 3, 932–943. [Google Scholar] [CrossRef] [Green Version]
- LaFayette, S.L.; Collins, C.; Zaas, A.K.; Schell, W.A.; Betancourt-Quiroz, M.; Gunatilaka, A.A.L.; Perfect, J.R.; Cowen, L.E. PKC signaling regulates drug resistance of the fungal pathogen Candida albicans via circuitry comprised of Mkc1, calcineurin, and Hsp90. PLoS Pathog. 2010, 6, e1001069. [Google Scholar] [CrossRef] [PubMed] [Green Version]
- Konicek, B.W.; Stephens, J.R.; McNulty, A.M.; Robichaud, N.; Peery, R.B.; Dumstorf, C.A.; Dowless, M.S.; Iversen, P.W.; Parsons, S.; Ellis, K.E.; et al. Therapeutic inhibition of MAP kinase interacting kinase blocks eukaryotic initiation factor 4E phosphorylation and suppresses outgrowth of experimental lung metastases. Cancer Res. 2011, 71, 1849–1857. [Google Scholar] [CrossRef] [Green Version]
- Hou, J.; Lam, F.; Proud, C.; Wang, S. Targeting Mnks for cancer therapy. Oncotarget 2012, 3, 118–131. [Google Scholar] [CrossRef] [Green Version]
- Altman, J.K.; Szilard, A.; Konicek, B.W.; Iversen, P.W.; Kroczynska, B.; Glaser, H.; Sassano, A.; Vakana, E.; Graff, J.R.; Platanias, L.C. Inhibition of Mnk kinase activity by cercosporamide and suppressive effects on acute myeloid leukemia precursors. Blood 2013, 121, 3675–3681. [Google Scholar] [CrossRef] [Green Version]
- Liu, Y.; Sun, L.; Su, X.; Guo, S. Inhibition of eukaryotic initiation factor 4E phosphorylation by cercosporamide selectively suppresses angiogenesis, growth and survival of human hepatocellular carcinoma. Biomed. Pharmacother. 2016, 84, 237–243. [Google Scholar] [CrossRef]
- Grzmil, M.; Seebacher, J.; Hess, D.; Behe, M.; Schibli, R.; Moncayo, G.; Frank, S.; Hemmings, B.A. Inhibition of MNK pathways enhances cancer cell response to chemotherapy with temozolomide and targeted radionuclide therapy. Cell. Signal. 2016, 28, 1412–1421. [Google Scholar] [CrossRef]
- Hoeksma, J.; van der Zon, G.C.M.; ten Dijke, P.; den Hertog, J. Cercosporamide inhibits bone morphogenetic protein receptor type I kinase activity in zebrafish. Dis. Model. Mech. 2020, 13, dmm045971. [Google Scholar] [CrossRef] [PubMed]
- Furukawa, A.; Arita, T.; Satoh, S.; Araki, K.; Kuroha, M.; Ohsumi, J. (−)-Cercosporamide derivatives as novel antihyperglycemic agents. Bioorg. Med. Chem. Lett. 2009, 19, 724–726. [Google Scholar] [CrossRef] [PubMed]
- Furukawa, A.; Arita, T.; Satoh, S.; Wakabayashi, K.; Hayashi, S.; Matsui, Y.; Araki, K.; Kuroha, M.; Ohsumi, J. Discovery of a novel selective PPARγ modulator from (−)-cercosporamide derivatives. Bioorg. Med. Chem. Lett. 2010, 20, 2095–2098. [Google Scholar] [CrossRef]
- Bazin, M.-A.; Bodero, L.; Tomasoni, C.; Rousseau, B.; Roussakis, C.; Marchand, P. Synthesis and antiproliferative activity of benzofuran-based analogs of cercosporamide against non-small cell lung cancer cell lines. Eur. J. Med. Chem. 2013, 69, 823–832. [Google Scholar] [CrossRef]
- Dao, V.H.; Ourliac-Garnier, I.; Bazin, M.-A.; Jacquot, C.; Baratte, B.; Ruchaud, S.; Bach, S.; Grovel, O.; Le Pape, P.; Marchand, P. Benzofuro [3,2-d] pyrimidines inspired from cercosporamide CaPkc1 inhibitor: Synthesis and evaluation of fluconazole susceptibility restoration. Bioorg. Med. Chem. Lett. 2018, 28, 2250–2255. [Google Scholar] [CrossRef] [PubMed]
- Antoine, M.; Schuster, T.; Seipelt, I.; Aicher, B.; Teifel, M.; Günther, E.; Gerlach, M.; Marchand, P. Efficient synthesis of novel disubstituted pyrido[3,4-b]pyrazines for the design of protein kinase inhibitors. Med. Chem. Commun. 2016, 7, 224–229. [Google Scholar] [CrossRef]
- Winfield, H.J.; Cahill, M.M.; O′Shea, K.D.; Pierce, L.T.; Robert, T.; Ruchaud, S.; Bach, S.; Marchand, P.; McCarthy, F.O. Synthesis and anticancer activity of novel bisindolylhydroxymaleimide derivatives with potent GSK-3 kinase inhibition. Bioorg. Med. Chem. 2018, 26, 4209–4224. [Google Scholar] [CrossRef]
- Oyallon, B.; Brachet-Botineau, M.; Logé, C.; Bonnet, P.; Souab, M.; Robert, T.; Ruchaud, S.; Bach, S.; Berthelot, P.; Gouilleux, F.; et al. Structure-based design of novel quinoxaline-2-carboxylic acids and analogues as Pim-1 inhibitors. Eur. J. Med. Chem. 2018, 154, 101–109. [Google Scholar] [CrossRef]
- Loidreau, Y.; Dubouilh-Benard, C.; Nourrisson, M.-R.; Loaëc, N.; Meijer, L.; Besson, T.; Marchand, P. Exploring kinase inhibition properties of 9H-pyrimido[5,4-b]- and [4,5-b]indol-4-amine derivatives. Pharmaceuticals 2020, 13, 89. [Google Scholar] [CrossRef]
- Oyallon, B.; Brachet-Botineau, M.; Logé, C.; Robert, T.; Bach, S.; Ibrahim, S.; Raoul, W.; Croix, C.; Berthelot, P.; Guillon, J.; et al. New quinoxaline derivatives as dual Pim-1/2 kinase inhibitors: Design, synthesis and biological evaluation. Molecules 2021, 26, 867. [Google Scholar] [CrossRef]
- Bazin, M.-A.; Cojean, S.; Pagniez, F.; Bernadat, G.; Cavé, C.; Ourliac-Garnier, I.; Nourrisson, M.-R.; Morgado, C.; Picot, C.; Leclercq, O.; et al. In vitro identification of imidazo[1,2-a]pyrazine-based antileishmanial agents and evaluation of L. major casein kinase 1 inhibition. Eur. J. Med. Chem. 2021, 210, 112956. [Google Scholar] [CrossRef]
- Love, B.E. Isolation and synthesis of polyoxygenated dibenzofurans possessing biological activity. Eur. J. Med. Chem. 2015, 97, 377–387. [Google Scholar] [CrossRef]
- Oramas-Royo, S.; Pantoja, K.D.; Amesty, Á.; Romero, C.; Lorenzo-Castrillejo, I.; Machín, F.; Estévez-Braun, A. Synthesis and antibacterial activity of new symmetric polyoxygenated dibenzofurans. Eur. J. Med. Chem. 2017, 141, 178–187. [Google Scholar] [CrossRef]
- Heng, S.; Harris, K.M.; Kantrowitz, E.R. Designing inhibitors against fructose 1,6-bisphosphatase: Exploring natural products for novel inhibitor scaffolds. Eur. J. Med. Chem. 2010, 45, 1478–1484. [Google Scholar] [CrossRef] [Green Version]
- Millot, M.; Dieu, A.; Tomasi, S. Dibenzofurans and derivatives from lichens and ascomycetes. Nat. Prod. Rep. 2016, 33, 801–811. [Google Scholar] [CrossRef] [PubMed] [Green Version]
- Fan, Y.; Huang, M.; Cao, Y.; Gong, P.; Liu, W.; Jin, S.; Wen, J.; Jing, Y.; Liu, D.; Zhao, L. Usnic acid is a novel Pim-1 inhibitor with the abilities of inhibiting growth and inducing apoptosis in human myeloid leukemia cells. RSC Adv. 2016, 6, 24091–24096. [Google Scholar] [CrossRef]
- Wang, S.; Zang, J.; Huang, M.; Guan, L.; Xing, K.; Zhang, J.; Liu, D.; Zhao, L. Discovery of novel (+)-usnic acid derivatives as potential anti-leukemia agents with pan-pim kinases inhibitory activity. Bioorg. Chem. 2019, 89, 102971. [Google Scholar] [CrossRef]
- Asati, V.; Mahapatra, D.K.; Bharti, S.K. PIM kinase inhibitors: Structural and pharmacological perspectives. Eur. J. Med. Chem. 2019, 172, 95–108. [Google Scholar] [CrossRef] [PubMed]
- Alnabulsi, S.; Al-Hurani, E.A. Pim kinase inhibitors in cancer: Medicinal chemistry insights into their activity and selectivity. Drug Discov. Today 2020, 25, 2062–2069. [Google Scholar] [CrossRef]
- Arrouchi, H.; Lakhlili, W.; Ibrahimi, A. A review on PIM kinases in tumors. Bioinformation 2019, 15, 40–45. [Google Scholar] [CrossRef] [PubMed] [Green Version]
- Tursynbay, Y.; Zhang, J.; Li, Z.; Tokay, T.; Zhumadilov, Z.; Wu, D.; Xie, Y. Pim-1 kinase as cancer drug target: An update. Biomed. Rep. 2016, 4, 140–146. [Google Scholar] [CrossRef] [PubMed] [Green Version]
- Panchal, N.K.; Sabina, E.P. A serine/threonine protein PIM kinase as a biomarker of cancer and a target for anti-tumor therapy. Life Sci. 2020, 255, 117866. [Google Scholar] [CrossRef]
- Harshita, P.S.; Yasaswi, P.S.; Jyothi, V.; Jyostna, T.S. Pim-1 kinase: A novel target for cancer chemotherapy—A review. IJPSR 2020, 11, 2528–2538. [Google Scholar] [CrossRef]
- Wang, Y.; Xiu, J.; Ren, C.; Yu, Z. Protein kinase PIM2: A simple PIM family kinase with complex functions in cancer metabolism and therapeutics. J. Cancer 2021, 12, 2570–2581. [Google Scholar] [CrossRef]
- Sawaguchi, Y.; Yamazaki, R.; Nishiyama, Y.; Mae, M.; Abe, A.; Nishiyama, H.; Nishisaka, F.; Ibuki, T.; Sasai, T.; Matsuzaki, T. Novel pan-pim kinase inhibitors with imidazopyridazine and thiazolidinedione structure exert potent antitumor activities. Front. Pharmacol. 2021, 12, 672536. [Google Scholar] [CrossRef]
- Du, Z.; Zhou, J.; Si, C.; Ma, W. Synthesis of dibenzofurans by palladium-catalysed tandem denitrification/C-H activation. Synlett 2011, 2011, 3023–3025. [Google Scholar] [CrossRef]
- Panda, N.; Mattan, I.; Nayak, D.K. Synthesis of dibenzofurans via C–H activation of o -iodo diaryl ethers. J. Org. Chem. 2015, 80, 6590–6597. [Google Scholar] [CrossRef] [PubMed]
- Zhao, H.; Yang, K.; Zheng, H.; Ding, R.; Yin, F.; Wang, N.; Li, Y.; Cheng, B.; Wang, H.; Zhai, H. A one-pot synthesis of dibenzofurans from 6-diazo-2-cyclohexenones. Org. Lett. 2015, 17, 5744–5747. [Google Scholar] [CrossRef]
- Cho, J.Y.; Roh, G.; Cho, E.J. Visible-light-promoted synthesis of dibenzofuran derivatives. J. Org. Chem. 2018, 83, 805–811. [Google Scholar] [CrossRef] [PubMed]
- Camargo Solórzano, P.; Brigante, F.; Pierini, A.B.; Jimenez, L.B. Photoinduced synthesis of dibenzofurans: Intramolecular and intermolecular comparative methodologies. J. Org. Chem. 2018, 83, 7867–7877. [Google Scholar] [CrossRef]
- Wassmundt, F.W.; Pedemonte, R.P. An improved synthesis of dibenzofurans by a free-radical cyclization. J. Org. Chem. 1995, 60, 4991–4994. [Google Scholar] [CrossRef]
- Gajera, J.M.; Gopalan, B.; Yadav, P.S.; Patil, S.D.; Gharat, L.A. Synthesis of multi-substituted dibenzo[b,d]furan. J. Heterocycl. Chem. 2008, 45, 797–801. [Google Scholar] [CrossRef]
- Fang, L.; Fang, X.; Gou, S.; Lupp, A.; Lenhardt, I.; Sun, Y.; Huang, Z.; Chen, Y.; Zhang, Y.; Fleck, C. Design, synthesis and biological evaluation of d-ring opened galantamine analogs as multifunctional anti-Alzheimer agents. Eur. J. Med. Chem. 2014, 76, 376–386. [Google Scholar] [CrossRef] [PubMed]
- Sambiagio, C.; Marsden, S.P.; Blacker, A.J.; McGowan, P.C. Copper catalysed ullmann type chemistry: From mechanistic aspects to modern development. Chem. Soc. Rev. 2014, 43, 3525–3550. [Google Scholar] [CrossRef]
- Brewster, R.Q.; Groening, T. p-nitrodiphenyl ether: Ether, p-nitrophenyl phenyl. In Organic Syntheses; John Wiley & Sons, Inc.: Hoboken, NJ, USA, 2003; Volume 14, p. 66. ISBN 978-0-471-26422-4. [Google Scholar]
- Kelly, S.M.; Lipshutz, B.H. Chemoselective reductions of nitroaromatics in water at room temperature. Org. Lett. 2014, 16, 98–101. [Google Scholar] [CrossRef] [Green Version]
- Krug, M.; Wichapong, K.; Erlenkamp, G.; Sippl, W.; Schächtele, C.; Totzke, F.; Hilgeroth, A. Discovery of 4-benzylamino-substituted α-carbolines as a novel class of receptor tyrosine kinase inhibitors. ChemMedChem 2011, 6, 63–72. [Google Scholar] [CrossRef]
- Liégault, B.; Lee, D.; Huestis, M.P.; Stuart, D.R.; Fagnou, K. Intramolecular Pd(II)-catalyzed oxidative biaryl synthesis under air: Reaction development and scope. J. Org. Chem. 2008, 73, 5022–5028. [Google Scholar] [CrossRef] [PubMed]
- Bartholomäus, R.; Dommershausen, F.; Thiele, M.; Karanjule, N.S.; Harms, K.; Koert, U. Total synthesis of the postulated structure of fulicineroside. Chem. Eur. J. 2013, 19, 7423–7436. [Google Scholar] [CrossRef] [PubMed]
- Wang, S.; Li, B.; Liu, B.; Huang, M.; Li, D.; Guan, L.; Zang, J.; Liu, D.; Zhao, L. Design and synthesis of novel 6-hydroxy-4-methoxy-3-methylbenzofuran-7-carboxamide derivatives as potent mnks inhibitors by fragment-based drug design. Bioorg. Med. Chem. 2018, 26, 4602–4614. [Google Scholar] [CrossRef]
- Jepsen, T.H.; Donor, D.-F. Synthesis of dibenzothiophene, dibenzofuran and carbazole donor–acceptor chromophores. Synthesis 2013, 45, 1115–1120. [Google Scholar] [CrossRef]
- Boyer, J.L.; Krum, J.E.; Myers, M.C.; Fazal, A.N.; Wigal, C.T. Synthetic utility and mechanistic implications of the fries rearrangement of hydroquinone diesters in boron trifluoride complexes. J. Org. Chem. 2000, 65, 4712–4714. [Google Scholar] [CrossRef]
- Liu, L.-X.; Wang, X.-Q.; Yan, J.-M.; Li, Y.; Sun, C.-J.; Chen, W.; Zhou, B.; Zhang, H.-B.; Yang, X.-D. Synthesis and antitumor activities of novel dibenzo[b,d]furan–imidazole hybrid compounds. Eur. J. Med. Chem. 2013, 66, 423–437. [Google Scholar] [CrossRef] [PubMed]
- Liu, J.; Fitzgerald, A.E.; Mani, N.S. Facile assembly of fused benzo[4,5]furo heterocycles. J. Org. Chem. 2008, 73, 2951–2954. [Google Scholar] [CrossRef]
- Zegzouti, H.; Zdanovskaia, M.; Hsiao, K.; Goueli, S.A. ADP-Glo: A bioluminescent and homogeneous ADP monitoring assay for kinases. ASSAY Drug Dev. Technol. 2009, 7, 560–572. [Google Scholar] [CrossRef] [PubMed]
- Lindberg, M.F.; Meijer, L. Dual-specificity, tyrosine phosphorylation-regulated kinases (DYRKs) and Cdc2-like kinases (CLKs) in human disease, an overview. Int. J. Mol. Sci. 2021, 22, 6047. [Google Scholar] [CrossRef]
- Dinh, H.; Semenec, L.; Kumar, S.S.; Short, F.L.; Cain, A.K. Microbiology’s next top model: Galleria in the molecular age. Pathog. Dis. 2021, 79, ftab006. [Google Scholar] [CrossRef]
- Bennett, C.J.; Caldwell, S.T.; McPhail, D.B.; Morrice, P.C.; Duthie, G.G.; Hartley, R.C. Potential therapeutic antioxidants that combine the radical scavenging ability of myricetin and the lipophilic chain of vitamin E to effectively inhibit microsomal lipid peroxidation. Bioorg. Med. Chem. 2004, 12, 2079–2098. [Google Scholar] [CrossRef]
- Chen, F.C.; Chang, T. Synthesis of 7-halogenoflavone and related compounds. J. Chem. Soc. 1958, 146–150. [Google Scholar] [CrossRef]
- Jin, X.; Davies, R.P. Copper-catalysed aromatic-finkelstein reactions with amine-based ligand systems. Catal. Sci. Technol. 2017, 7, 2110–2117. [Google Scholar] [CrossRef] [Green Version]
- Tripos Associates, Inc. SYBYL-X 1.3; Tripos Associates, Inc.: St. Louis, MO, USA, 2013. [Google Scholar]
- Clark, M.; Cramer, R.D.; Van Opdenbosch, N. Validation of the general purpose tripos 5.2 force field. J. Comput. Chem. 1989, 10, 982–1012. [Google Scholar] [CrossRef]
- Morishita, D.; Takami, M.; Yoshikawa, S.; Katayama, R.; Sato, S.; Kukimoto-Niino, M.; Umehara, T.; Shirouzu, M.; Sekimizu, K.; Yokoyama, S.; et al. Cell-permeable carboxyl-terminal P27Kip1 peptide exhibits anti-tumor activity by inhibiting Pim-1 kinase. J. Biol. Chem. 2011, 286, 2681–2688. [Google Scholar] [CrossRef] [PubMed] [Green Version]
- Jones, G.; Willett, P.; Glen, R.C.; Leach, A.R.; Taylor, R. Development and validation of a genetic algorithm for flexible docking. J. Mol. Biol. 1997, 267, 727–748. [Google Scholar] [CrossRef] [PubMed] [Green Version]
- Dassault Systèmes. Dassault Systèmes BIOVIA, Discovery Studio Visualizer, v19.1.0.18287; Dassault Systèmes: San Diego, CA, USA, 2019. [Google Scholar]
Publisher’s Note: MDPI stays neutral with regard to jurisdictional claims in published maps and institutional affiliations. |
© 2021 by the authors. Licensee MDPI, Basel, Switzerland. This article is an open access article distributed under the terms and conditions of the Creative Commons Attribution (CC BY) license (https://creativecommons.org/licenses/by/4.0/).











