NMR of Natural Products as Potential Drugs
Abstract
:1. Introduction
2. Intramolecular Hydrogen Bonding
3. Isotope Effects on Chemical Shifts
3.1. Secondary Isotope Effects
3.2. Primary Isotope Effects
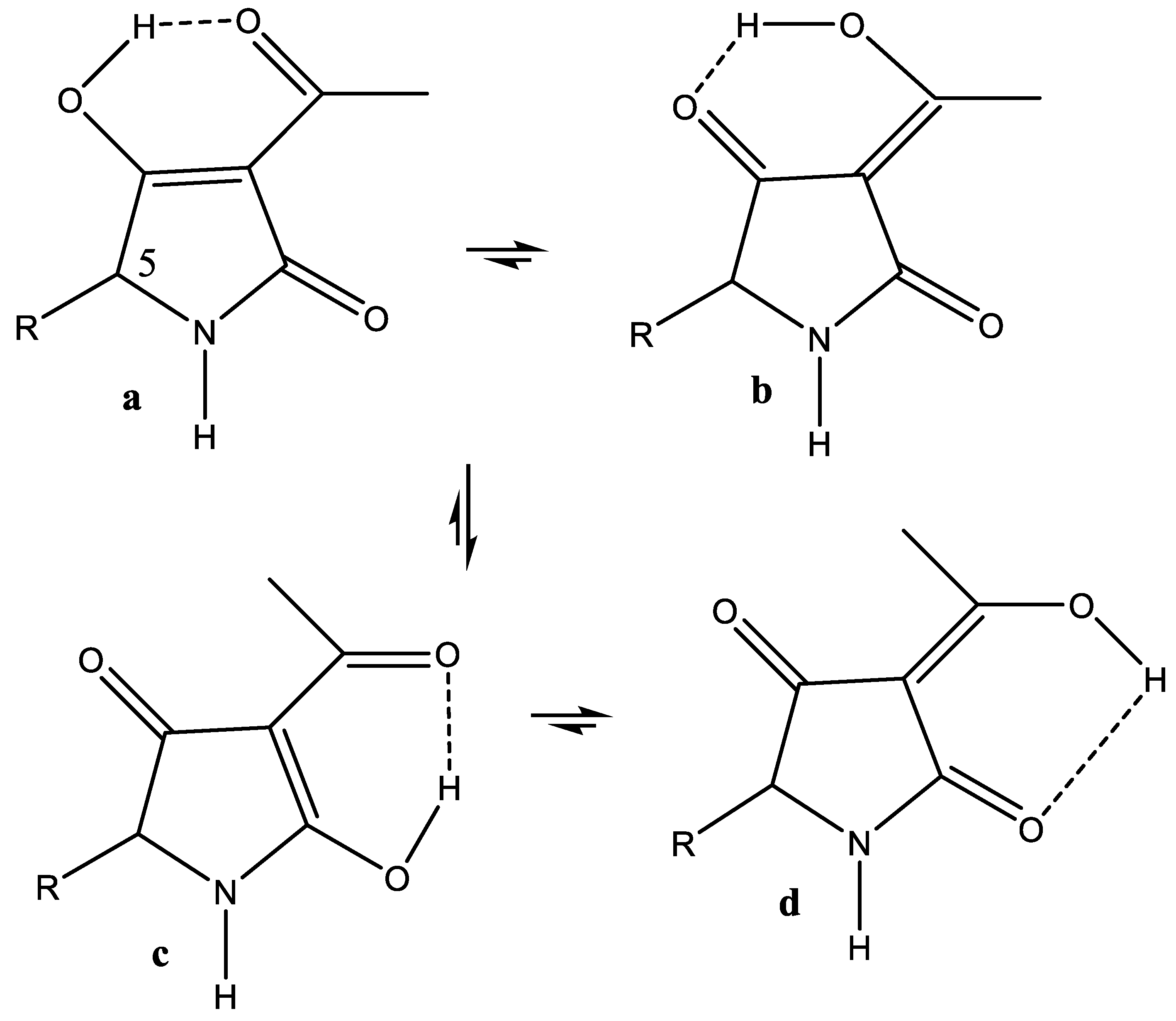
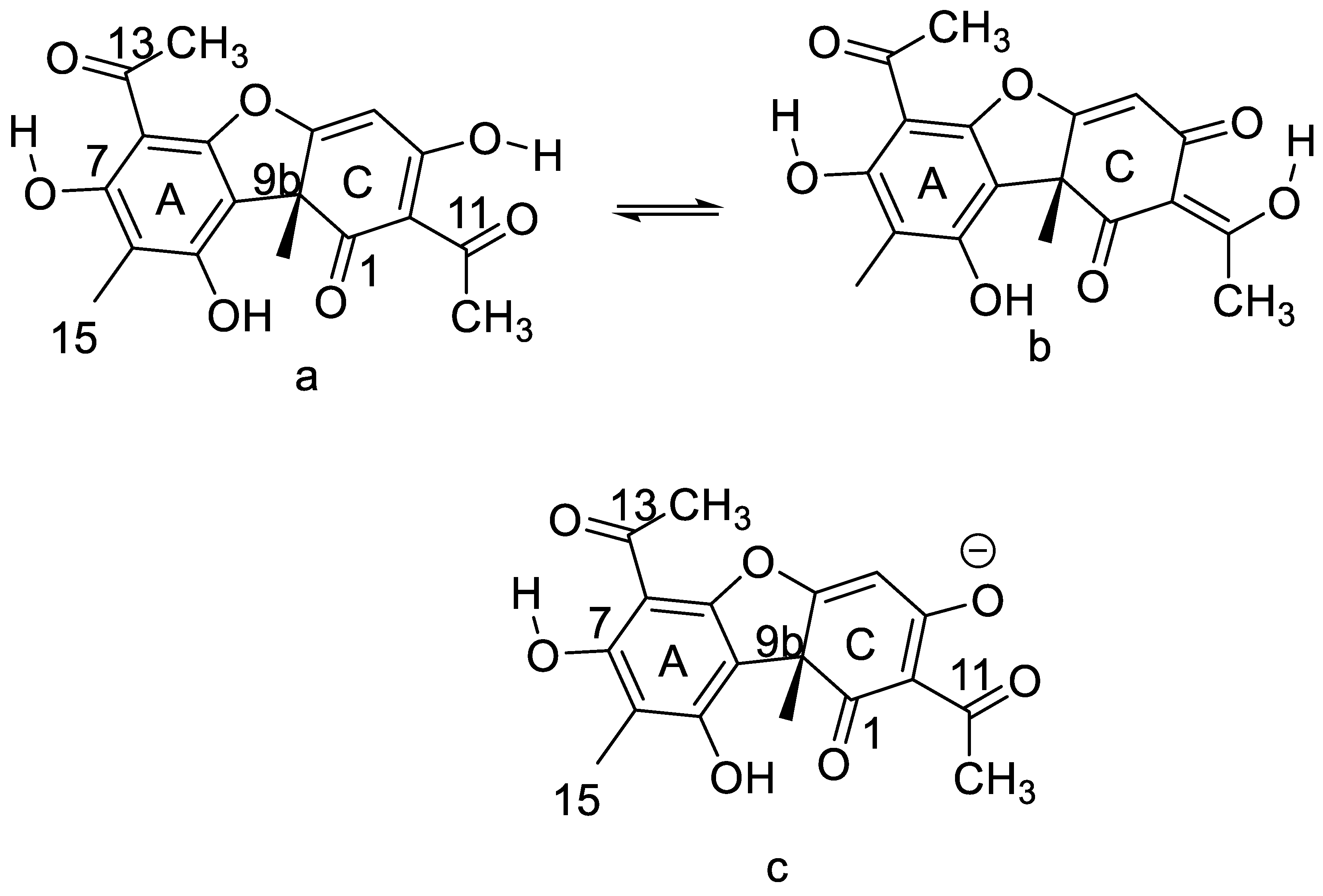
4. Tautomerism
4.1. Isotope Effects
4.2. Coupling Constants
4.3. Chemical Shifts
5. Diffusion Experiments
6. Computer Aided Structure Analysis
7. Examples
7.1. β-Diketones
Curcumins
7.2. β-Triketones Are Typically also Tautomeric Systems
7.2.1. Tenuazonic Acid
7.2.2. Usnic Acid
7.2.3. Tetracyclines
7.2.4. Garcinia Derivatives
7.3. Flavonoids
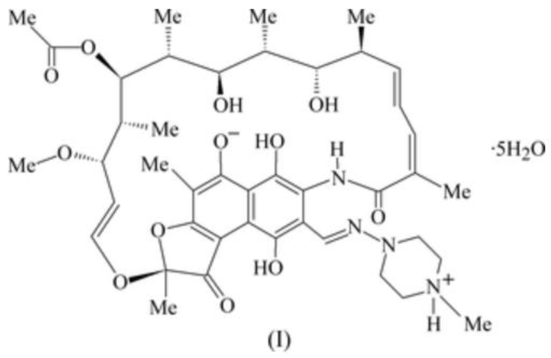
7.4. Rifampicin
7.5. Gossypol
7.6. Hymenialdisine (Hys)
7.7. Pratensilins
7.8. Thiotropocin
7.9. Prodigiosins
7.10. Muscimol
7.11. Hypericin
7.12. Xanthohumol
7.13. Sunflower Trypsin Inhibitor
7.14. Humic Substances
8. Conclusions
Funding
Institutional Review Board Statement
Informed Consent Statement
Data Availability Statement
Conflicts of Interest
References
- Newman, D.J.; Cragg, G.M. Natural products as sources of new drugs from 1981 to 2014. J. Nat. Prod. 2016, 79, 629–661. [Google Scholar] [CrossRef] [Green Version]
- Goodman, J.; Walsh, V. The Story of Taxol: Nature and Politics in the Pursuit of an Anti-Cancer Drug; Cambridge University Press: Cambridge, UK, 2001; p. 100. ISBN 978-0-521-56123-5. [Google Scholar]
- Shinde, P.; Banerjee, P.; Mandhare, A. Marine natural products as source of new drugs: A patent review (2015–2018). Expert Opin. Ther. Pat. 2019, 29, 283–309. [Google Scholar] [CrossRef]
- Cheuka, D.A.; Urban, S.; Roessner, U. A historical overview of natural products in drug discovery. Metabolites 2012, 2, 3030–3336. [Google Scholar]
- Giang, P.M.; Otsuka, H. New Compounds and Potential Candidates for Drug Discovery from Medicinal Plants of Vietnam. Chem. Pharm. Bull. 2018, 66, 493–505. [Google Scholar] [CrossRef] [Green Version]
- Atanasov, A.G.; Zotchev, S.B.; Dirsch, V.M.; The International Natural Product Sciences Taskforce; Supuran, C.T. Natural products in drug discovery: Advances and opportunities. Nat. Rev. Drug Discov. 2021, 20, 200–216. [Google Scholar] [CrossRef] [PubMed]
- Datta, D.; Talapatra, S.N.; Swarnakar, S. Bioactive compounds from marine invertebrates for potential medicines—An overview. Int. Lett. Nat. Sci. 2015, 34, 42–61. [Google Scholar] [CrossRef]
- Cheuka, P.M.; Mayoka, G.; Mutai, P.; Chibale, K. The role of natural products in drug discovery and development against neglected tropical diseases. Molecules 2017, 22, 58. [Google Scholar] [CrossRef] [PubMed] [Green Version]
- Reynolds, W.F. Natural Product Structure Elucidation by NMR Spectroscopy. Pharmacognosy: Fundamentals, Applications and Strategies; Mccreath, S.M., Delgoda, R., Eds.; Academic Press Inc.: Cambridge, MA, USA, 2017; pp. 567–596. ISBN 10:0128021047. [Google Scholar]
- Del Carmen Fernández-Alonso, M.; Berbis, M.A.; Canales, Á.; Ardá, A.; Cañada, F.J.; Jiménez-Barbero, J. New Applications of High-Resolution NMR in Drug Discovery and Development. In New Applications of NMR in Drug Discovery and Development; Leoncio, G., Nicolau, B., Eds.; Royal Society of Chemistry: London, UK, 2013; pp. 7–42. [Google Scholar] [CrossRef]
- Berger, S.; Sicker, D. Classics in Spectroscopy—Isolation and Structure Elucidation of Natural Products; Wiley-VCH: Weinheim, Germany, 2009. [Google Scholar]
- Sicker, D.; Zeller, K.-P.; Siehl, H.-U.; Berger, S.; Liddiard, C. Natural Products: Isolation, Structure Elucidation, History; Wiley-VCH: Weinheim, Germany, 2019; ISBN 978-3-527-34194-8. [Google Scholar]
- Bennion, B.J.; Be, N.A.; McNerney, M.W.; Lao, V.; Carlson, E.M.; Valdez, C.A.; Malfatti, M.A.; Enright, H.A.; Nguyen, T.H.; Lightstone, F.C.; et al. Data Predicting a Drug’s Membrane Permeability: A Computational Model Validated with In Vitro Permeability Assay. J. Phys. Chem. B 2017, 121, 5228–5237. [Google Scholar] [CrossRef] [Green Version]
- Bolvig, S.; Hansen, P.E. Isotope Effects on Chemical Shifts as an analytical tool in structural studies of intramolecular hydrogen bonded compounds. Curr. Org. Chem. 2000, 4, 19–54. [Google Scholar] [CrossRef]
- Hansen, P.E. A Spectroscopic Overview of Intramolecular NH…O,N,S Hydrogen Bonds. Molecules 2020, 26, 2409. [Google Scholar] [CrossRef]
- Sottorff, I.; Künzel, S.; Wiese, J.; Lipfert, M.; Preußke, N.; Sönnichsen, F.D.; Imhoff, J.F. Antitumor Anthraquinones from an Easter Island Sea Anemone: Animal or Bacterial Origin. Mar. Drugs 2019, 17, 154. [Google Scholar] [CrossRef] [PubMed] [Green Version]
- Zhang, M.; Li, Y.; Zhu, T. The theoretical investigation on properties of paeonol and its isomers. Mol. Phys. 2021. [Google Scholar] [CrossRef]
- Vederas, J.C. Biosynthetic studies using 18O isotope shifts in 13C nuclear magnetic resonance. Can. J. Chem. 1982, 60, 1637–1642. [Google Scholar] [CrossRef] [Green Version]
- Jameson, C.J. The dynamics and electronic factors in isotope effects on NMR parameters. In Isotopes in the Physical Sciences; Buncel, E., Jones, J.R., Eds.; Elsevier: Amsterdam, The Netherlands, 1991; Volume 2. [Google Scholar]
- Vederas, J.C.; Nakashasima, T.T. Biosynthesis of Averufin by Aspergillus parasiticus; Detection of 18O-label by 13C-N.M.R. Isotope Shifts. J. Chem. Soc. Chem. Commun. 1980, 183–185. [Google Scholar] [CrossRef]
- Gunnarsson, G.; Wennerström, H.; Egan, W.; Forsén, S. Proton and deuterium NMR of hydrogen bonds: Relationship between isotope effects and the hydrogen bond potential. Chem. Phys. Lett. 1976, 38, 96–99. [Google Scholar] [CrossRef]
- Bolvig, S.; Hansen, P.E.; Morimoto, H.; Wemmer, D.; Williams, P. Primary Tritium and Deuterium Isotope Effects on Chemical Shifts of Compounds having an Intramolecular Hydrogen bond. Magn. Reson. Chem. 2000, 38, 525–535. [Google Scholar] [CrossRef]
- Hansen, P.E.; Mortensen, J.; Kamounah, F.S. The importance of correct tautomeric structures for biological molecules. JSM Chem. 2015, 3, 1014–1019. [Google Scholar]
- Marek, R.; Lycka, A. 15N NMR Spectroscopy in Structural Analysis. Curr. Org. Chem. 2002, 6, 35–66. [Google Scholar] [CrossRef]
- Borisov, E.V.; Zhang, W.; Bolvig, S.; Hansen, P.E. nJ(C,OH) Coupling Constants on intramolecularly Hydrogen Bonded Compounds. Magn. Reson. Chem. 1998, 36, S104–S110. [Google Scholar] [CrossRef]
- Boykin, D.W. Applications of 17O NMR Spectroscopy to Natural Products Chemistry. Stud. Nat. Prod. Chem. 1995, 17, 549–600. [Google Scholar]
- Wu, G. Solid-State 17O NMR Spectroscopy of Organic and Biological Molecules. In Moderne Magnetic Resonance; Webb, G.A., Ed.; Springer International Publishing AG: Cham, Switzerland, 2018; pp. 841–860. [Google Scholar] [CrossRef]
- Kong, X.; Brinkman, A.; Terskikh, V.; Wasylishen, R.E.; Bernard, G.M.; Duan, Z.; Wu, Q.; Wu, G. Proton probability distribution in the O···H···O low-barrier hydrogen bond: A combined solid-state NMR and quantum chemical computational study of dibenzoylmethane and curcumin. J. Phys. Chem. B 2016, 120, 11692–11704. [Google Scholar] [CrossRef] [PubMed]
- Kozerski, L.; Kawecki, R.; Krajewski, P.; Kwiecien, B.; Boykin, D.W.; Bolvig, S.; Hansen, P.E. O-17 Chemical Shifts of Intramolecularly Hydrogen Bonded Compounds. Magn. Reson. Chem. 1998, 36, 921–928. [Google Scholar] [CrossRef]
- Bolvig, S.; Hansen, P.E.; Wemmer, D.; Williams, P. Deuterium Isotope Effects on 17O Chemical Shifts of Intramolecularly Hydrogen Bonded Systems. J. Mol. Struct. 1999, 509, 171–181. [Google Scholar] [CrossRef]
- Morris, K.F.; Johnson, C.S., Jr. Diffusion-ordered 2-Dimension Nuclear-Magnetic-Resonance Spectroscopy. J. Am. Chem. Soc. 1992, 114, 3139–3141. [Google Scholar] [CrossRef]
- Bocian, W.; Kawecki, R.; Bednarek, E.; Sitkowski, J.; Williamson, M.P.; Hansen, P.E.; Kozerski, L. Model DNA oligomer with a nick motif for binding tests of TopoI poisons. Chem. Eur. J. 2008, 14, 2788–2794. [Google Scholar] [CrossRef]
- Naumczuk, B.; Kawecki, R.; Bocian, W.; Bednarek, E.; Sitkowski, J.; Kozerski, L. Regioselective alkylation reaction of the 2′-deoxyctidine with 9-aminomethyl derivatives of SN38. J. Mol. Struct. 2019, 1176, 298–302. [Google Scholar] [CrossRef]
- Naumczuk, B.; Wiktorska, K.; Lubelska, K.; Kawecki, R.; Bocian, W.; Bednarek, E.; Sitkowski, J.; Chilmonczyk, Z.; Kozerski, L. New generation of camptothecin derivatives spontaneously alkylating DNA. New J. Chem. 2016, 40, 7978–7985. [Google Scholar] [CrossRef]
- Lodewyk, M.W.; Siebert, M.R.; Tantillo, D.J. Computational prediction of 1H and 13C Chemical shifts: A useful tool for natural product, mechanistic and synthetic organic chemistry. Chem. Rev. 2012, 112, 1839–1862. [Google Scholar] [CrossRef]
- Liu, Y.; Holt, T.A.; Kutaledadze, A.; Newhouse, R.R. Stereochemical revision of xylogranatin F by GIAO and DU8+ NMR calculations. Chirality 2020, 32, 515–523. [Google Scholar] [CrossRef]
- Nicolaou, K.C.; Ortiz, A.; Zhang, H.; Guella, G. Total Synthesis and Structural Revision of Vannusals A and B: Synthesis of the True Structures of Vannusals A and B. J. Am. Chem. Soc. 2010, 132, 7153–7176. [Google Scholar] [CrossRef] [Green Version]
- Kutateladze, A.G.; Reddy, D.S. High-Throughput in Silico Structure Validation and Revision of Halogenated Natural Products Is Enabled by Parametric Corrections to DFT-Computed C-13 NMR Chemical Shifts and Spin-Spin Coupling Constants. J. Org. Chem. 2017, 82, 3368–3381. [Google Scholar] [CrossRef] [PubMed]
- Smith, S.G.; Goodman, J.M. Assigning Stereochemistry to Single Diastereoisomers by GIAO NMR Calculation: The DP4 Probability. J. Am. Chem. Soc. 2010, 132, 12946–12959. [Google Scholar] [CrossRef]
- Grimblat, N.; Zanardi, M.M.; Sarotti, A.M. Beyond DP4: An Improved Probability for the Stereochemical Assignment of Isomeric Compounds using Quantum Chemical Calculations of NMR Shifts. J. Org. Chem. 2015, 80, 12526–12534. [Google Scholar] [CrossRef] [PubMed]
- De Vita, S.; Terracciano, S.; Bruno, I.; Chini, M.G. From Natural Compounds to Bioactive Molecules through NMR and In Silico Methodologies. Eur. J. Org. Chem. 2020, 2020, 6297–6317. [Google Scholar] [CrossRef]
- Becke, A.D. Density-functional thermochemistry. III. The role of exact exchange. J. Chem. Phys. 1993, 98, 5648–5652. [Google Scholar] [CrossRef] [Green Version]
- Frisch, M.J.; Pople, J.A.; Binkley, J.S. Self-consistent molecular orbital methods 25. Supplementary functions for Gaussian basis sets. J. Chem. Phys. 1984, 80, 3265. [Google Scholar] [CrossRef]
- Frisch, M.J.; Trucks, G.W.; Schlegel, H.B.; Scuseria, G.E.; Robb, M.A.; Cheeseman, J.R.; Scalmani, G.; Barone, V.; Petersson, G.A.; Nakatsuji, H.; et al. Gaussian 16, Revision C.01; Gaussian, Inc.: Wallingford, CT, USA, 2016. [Google Scholar]
- Abdullaev, N.D.; Tyshchenko, A.A.; Nazarova, I.P.; Ul’Chenko, N.R.; Yagudaev, M.R.; Glushenkova, A.E. 1H and 13C NMR spectra of transformation Product of Gossypol in Solutions. Khim. Prirod. Soedin. 1990, 2, 166–177. [Google Scholar]
- Mbese, Z.; Khwaza, V.; Aderibigbe, B.A. Curcumin and Its Derivatives as Potential Therapeutic Agents in Prostate, Colon and breast Cancers. Molecules 2019, 24, 4386. [Google Scholar] [CrossRef] [Green Version]
- Amalraj, A.; Pius, A.; Gopi, S.; Gopi, S. Biological activities of curcuminoids, other biomolecules from turmeric and their derivatives. A review. J. Tradit. Complement. Med. 2017, 7, 205–233. [Google Scholar] [CrossRef] [Green Version]
- Indira Priyadarsini, K. Chemical and Structural Features Influencing the Biological Activity of Curcumin. Curr. Pharm. Des. 2013, 19, 2093–2100. [Google Scholar]
- Pedersen, U.; Rasmussen, P.B.; Lawesson, S.-O. Synthesis of Naturally Occurring Curcuminoids and Related Compounds. Liebigs Ann. Chem. 1985, 1985, 1557–1569. [Google Scholar] [CrossRef]
- Yanagisawa, D.; Shirai, N.T.; Amatsubo, H.; Taguchi, K.; Hirao, M.; Urushitani, S.; Morikawa, T.; Inubushi, M.; Kato, F.; Kato, K.; et al. Tooyama. Biomaterials 2010, 31, 4179. [Google Scholar] [CrossRef] [PubMed]
- Schobert, R.; Schlenk, A. Tetramic and tetronic acids: An update on new derivatives and biological aspects. Biorg. Med. Chem. 2008, 16, 4203–4221. [Google Scholar] [CrossRef] [PubMed]
- Yamaguchi, T.; Saito, K.; Tsujimoto, T.; Yuki, H. Nmr Spectroscopi Studies on the Tautomerism in Tenuazonic Acid analogs. J. Hetetrocyclic Chem. 1976, 13, 533–537. [Google Scholar] [CrossRef]
- Jeong, Y.-C.; Moloney, M.G. Synthesis of and Tautomerism in 3-Acyltetramic Acids. J. Org. Chem. 2011, 76, 1342–1354. [Google Scholar] [CrossRef] [PubMed]
- Hansen, P.E. Tautomerism and biological activity of -diketones, triketones, -ketoesters and -ketoamides. A Mini Review. Wiad. Chem. 2017, 71, 428–446. [Google Scholar]
- Shephard, G.S.; Thiel, P.G.; Sudenham, E.W.; Vleggaar, R.; Marasas, W.R.O. Reversed-phase high-performance liquid chromatography of tenuazonic acid and related tetramic acids. Chromatography 1991, 566, 195–205. [Google Scholar] [CrossRef]
- Hofmann, J.P.; Hansen, P.E.; Bond, A.D.; Duus, F. Tautomerism in 3-Acyltetronic Acids Revisited. A Spectrochemometric Approach to Tautomerism and Hydrogen-Bonding. J. Mol. Struct. 2006, 790, 80–88. [Google Scholar] [CrossRef]
- Luzina, O.A.; Salakhutdinov, N.F. Usnic acid and its derivatives for pharmaceutical use: A patent review (2000–2017). Expert Opin. Ther. Pat. 2018, 28, 477–491. [Google Scholar] [CrossRef]
- Kristmundsdóttir, T.; Aradóttir, H.A.; Ingólfsdóttir, K.; Ogmundsdóttir, H.M. Solubilization of the lichen metabolite (+)-usnic acid for testing in tissue culture. J. Pharm. Pharmacol. 2002, 54, 1447–1452. [Google Scholar] [CrossRef]
- Sharma, R.K.; Jahnke, P.J. Acidity of usnic acid. Indian J. Chem. 1966, 4, 16–18. [Google Scholar]
- Luzina, O.; Filimonov, A.; Zakharenko, A.; Chepanova, A.; Zakharova, O.; Ilina, E.; Dyrkheeva, N.; Likhatskaya, G.; Salakhutdinov, N.; Lavrik, O. Usnic Acid Conjugates with Monoterpenoids as Potent Tyrosyl-DNA Phosphodiesterase 1 Inhibitors. Nat. Prod. 2020, 83, 320–2329. [Google Scholar] [CrossRef] [PubMed]
- Filimonov, A.S.; Chepanova, A.A.; Luzina, O.A.; Zakharenko, A.L.; Zakharova, O.D.; Ilina, E.S.; Dyrkheeva, N.S.; Kuprushkin, M.S.; Kolotaev, A.V.; Khachatryan, D.S.; et al. New hydrazinothiazole derivatives of usnic acid as potent Tdp1 inhibitors. Molecules 2019, 24, 3711. [Google Scholar] [CrossRef] [PubMed] [Green Version]
- Samuelsen, L.; Hansen, P.E.; Vang, O. Derivatives of usnic acid cause cytostatic effect in Caco-2 cells. Nat. Prod. Res. 2020. [Google Scholar] [CrossRef] [PubMed]
- Nguyen, H.G.T.; Nguyen, N.V.; Vo, V.A.; Kamounah, F.S.; Vang, O.; Hansen, P.E. Synthesis and cytotoxicity of (+)-usnic acid derivatives in U87MG glioblastoma cells. Nat. Prod. Chem. Res. 2016, 4, 216–223. [Google Scholar]
- Griffin, M.O.; Fricovsky, E.; Ceballos, G.; Villarrea, F. Tetracyclines: A pleitropic family of compounds with promising therapeutic properties. Review of the literature. Am. J. Physiol. Cell. Physiol. 2010, 299, C539–C548. [Google Scholar] [CrossRef] [Green Version]
- Derogis, P.B.M.C.; Martins, F.T.; de Souza, T.C.; de C. Moreira, M.E.; Souza Filho, J.D.; Doriguetto, A.C.; de Souza, K.R.D.; Veloso, M.P.; Dos Santos, M.H. Complete assignment of the 1H NMR and 13C spectra of Garciniaphenone and keto-enol equlibrium statement for prenylated benzophenones. Magn. Reson. Chem. 2008, 46, 278–282. [Google Scholar] [CrossRef]
- Dos Santos, M.H.; Nagem, T.J.; Braz-Filho, R.; Lula, I.S.; Speziali, N.L. Complete assignment of the 1H and 13C NMR spectra of the tetraisoprenylated benzophenone 15-epiclusianone. Magn. Reson. Chem. 2001, 39, 155–159. [Google Scholar] [CrossRef]
- Lage, M.R.; Morbec, J.M.; Santos, M.H.; Carneiro, J.W.d.M.; Costa, L.T. Natural polyprenylated benzophenone: Keto-enol tautomerism from density functional calculations and the AIM theory. J. Mol. Model. 2017, 23, 140. [Google Scholar] [CrossRef]
- Martins, F.T.; Cruz, J.W., Jr.; Derogis, P.B.M.C.; dos Santos, M.H.; Veloso, M.P.; Ellena, J.; Doriguetto, A.C. Natural Polyprenylated Benzophenones: Keto-Enol Tautomerism and Stereochemistry. Braz. Chem. Soc. 2007, 18, 1515–1523. [Google Scholar] [CrossRef] [Green Version]
- Martins, F.T.; Assis, D.M.; dos Santos, M.H.; Camps, I.; Veloso, M.P.; Juliano, M.A.; Alves, L.C.; Doriguetto, A.C. Natural polyprenylated benzophenones inhibiting cysteine and serine proteases. Eur. J. Med. Chem. 2009, 44, 1230–1239. [Google Scholar] [CrossRef] [PubMed]
- Vidal-Albalat, A.; González, F.V. Natural Products as Cathepsin Inhibitors. Stud. Nat. Prod. Chem. 2016, 50, 179–213. [Google Scholar]
- Flavonoids. Available online: https://go.drugbank.com/categories/DBCAT001281 (accessed on 10 March 2020).
- Phosrithong, N.; Ungwitayatorn, J. Molecular docking study on anticancer activity of plant-derived natural products. Med. Chem. Res. 2010, 19, 817–835. [Google Scholar] [CrossRef]
- Nguyen, T.P.; Nguyen, K.P.P.; Wei, Z.; Kamounah, F.S.; Hansen, P.E. Synthesis and NMR studies of novel hydroxyflavones, hydroxyflavothiones, hydroxyflavanones and hydroxyflavanonethiones. Magn. Reson. Chem. 2009, 47, 1043–1054. [Google Scholar] [CrossRef]
- Mykhailenko, O.; Kovalyov, V.; Kovalyov, S.; Krechun, A. Isoflavonoids from the rhizomes of Iris hungarica and antibacterial activity of the dry rhizomes extract. Isoflavonoides de los rizomas de Iris hungarica y actividad antibacteriana del extracto de rizomas. Ars Pharm. 2017, 58, 39–45. [Google Scholar]
- SDBS Data Base. Available online: https://sdbs.db.aist.go.jp/sdbs/cgi-bin/cre_index.cgi (accessed on 10 March 2020).
- Rameshkumar, K.B. (Ed.) Diversity of Garcinia species in the Western Ghats: Phytochemical Perspective; Jawaharlal Nehru Tropical Botanic Garden and Research Institute: Kerala, India, 2016; ISBN 978-81-924674-5-0. [Google Scholar]
- Ha, L.D.; Hansen, P.E.; Vang, O.; Duus, F.; Pham, H.D.; Nguyen, L.-H.D. Cytotoxic geranylated xanthones and O-alkylated derivatives of -mangostin. Chem. Pharm. Bull. 2009, 57, 830–834. [Google Scholar] [CrossRef] [PubMed] [Green Version]
- Fiedor, P.S.; Maksymowicz, M.; Biniecki, K.; Kozerski, L.; Kawecki, R.; Dobrowolski, J.C.; Pachecka, J.; Aranjo, P.; Rowinski, W.; Mazurek, A.P. Abstract no. 196. In Proceedings of the Congress of European Society for Artificial Organs, Warsaw, Poland, 17–19 October 1996; p. 3. [Google Scholar]
- Kozerski, L.; Urbanczyk-Lipkowska, S.; Kamienski, K.; Bocian, W.; Bednarek, E.; Sitkowski, J.; Zakrewska, K.; Nielsen, K.T.; Hansen, P.E. Solution and solid state 13C NMR and X-ray studies of Genistein complexes with amines. Potential biological function of the C-7, C-5, C-4′-OH groups. Org. Biomol. Chem. 2003, 1, 3578–3585. [Google Scholar] [CrossRef] [PubMed]
- Zhao, L.; Brinton, R.D. Structure-based virtual screening for plant-based ER beta-selective ligands as potential preventative therapy against age-related neurodegenerative diseases. J. Med. Chem. 2005, 48, 3463–3466. [Google Scholar] [CrossRef]
- Ma, D.-L.; Chana, D.S.-H.; Leung, C.-H. Molecular docking for virtual screening of natural product databases. Chem. Sci. 2011, 2, 1656–1665. [Google Scholar] [CrossRef]
- Ahmad, M.; Yamin, B.M.; Lazim, A.M. Preliminary Study on Dispersion of α-Mangostin in Pnipam Microgel System. Malays. J. Anal. Sci. 2012, 16, 256–261. [Google Scholar]
- Pyta, K.; Przybylski, P.; Wicher, B.; Gdaniec, M.; Stefańska, J. Intramolecular proton transfer impact on antibacterial properties of ansamycin antibiotic rifampicin and its new amino analogues. Org. Biomol. Chem. 2012, 10, 2385–2388. [Google Scholar] [CrossRef]
- Harris, T.K.; Zhao, Q.; Mildvan, A.S. NMR studies of strong hydrogen bonds in enzymes and in a model compound. J. Mol. Struct. 2000, 552, 97–109. [Google Scholar] [CrossRef]
- Wicher, B.; Pyta, K.; Przybylski, P.; Tykarska, E.; Gdaniec, M. Redetermination of rifampicin pentahydrate revealing a zwitterionic form of the antibiotic. Acta Cryst. 2012, C68, 209–212. [Google Scholar] [CrossRef] [PubMed]
- Brzezezinski, B.; Olejnik, J.; Paszyc, S.; Aripov, T.F. H-1-NMR Studies of Gossypol and its complexes with some Organic-compounds. J. Mol. Struct. 1990, 220, 261–268. [Google Scholar] [CrossRef]
- O’Brien, D.H.; Stipanov, R.D. Carbon-13 Magnetic Resonance of Cotton Terpenoids: Carbon-Proton Long- Range Couplings. J. Org. Chem. 1978, 43l, 1105–1111. [Google Scholar] [CrossRef]
- Hansen, P.E.; Bolvig, S. Deuterium Isotope Effects on 13C Chemical Shifts of o-Hydroxy Acyl Aromatics. Intramolecular hydrogen-bonding. Magn. Reson. Chem. 1997, 35, 520–528. [Google Scholar] [CrossRef]
- Hansen, P.E.; Kamounah, F.S.; Saeed, B.A.; MacLachlan, M.J.; Spanget-Larsen, J. Intramolecular Hydrogen Bonds in Normal and Sterically Compressed o-Hydroxy Aromatic Aldehydes. Isotope Effects on Chemical Shifts and Hydrogen Bond Strength. Molecules 2019, 24, 4533. [Google Scholar] [CrossRef] [PubMed] [Green Version]
- Gordon, W.G. Occurrence of Halogenated Alkaloids. Alkaloids Chem. Biol. 2012, 71, 1–165. [Google Scholar]
- Williams, D.H.; Faulkner, D.J. Isomers and Tautomers of Hymenialdisine and Debromohymenialdisine. Nat. Prod. Lett. 1996, 9, 57–64. [Google Scholar] [CrossRef]
- Lee, S.M.; Kim, N.-H.; Lee, S.; Kim, Y.N.; Heo, J.-D.; Rho, J.-R.; Jeong, E.J. (10Z)-Debromohymenialdisine from Marine Sponge Stylissa sp. Regulates Intestinal Inflammatory Responses in Co-Culture Model of Epithelial Caco-2 Cells and THP-1 Macrophage Cells. Molecules 2019, 24, 3394. [Google Scholar] [CrossRef] [Green Version]
- Wang, Q.; Chen, D.; Jin, H.; Ye, Z.; Wang, C.; Chen, K.; Kuek, V.; Xu, K.; Qiu, H.; Chen, P.; et al. Hymenialdisine: A Marine Natural Product That Acts on Both Osteoblasts and Osteoclasts and Prevents Estrogen-Dependent Bone Loss in Mice. J. Bone Miner. Res. 2020, 35, 1582–1596. [Google Scholar] [CrossRef] [PubMed]
- Meijer, L.; Thunnissen, A.-M.W.H.; White, A.W.; Garnier, M.; Nikolic, M.; Tsai, L.-H.; Walter, J.; Cleverley, K.E.; Salinas, P.C.; Wu, Y.-Z.; et al. Inhibition of cyclin-dependent kinases, GSK-3β and CK1 by hymenialdisine, a marine sponge constituent. Chem. Biol. 2000, 7, 51–63. [Google Scholar] [CrossRef]
- Hymenialdisine. Available online: https://go.drugbank.com/drugs/DB02950 (accessed on 10 March 2020).
- Yang, Q.; Guo, L.; Zhang, Y.; Feng, L.; Zhang, S.; Zhou, L.; Yang, S.; Yao, Q.; Pescitelli, G.; Xie, Z. Isolation, structure elucidation and racemization of (+)- and (−)-pratensilins A–C: Unprecedented spiro indolinone-naphthofuran alkaloids from a marine Streptomyces sp. Chem. Commun. 2017, 53, 10066–10069. [Google Scholar]
- Greer, E.M.; Aebisher, D.; Greer, A.; Bentley, R. Computational Studies of the Tropone Natural Products, Thiotropocin, Tropodithietic Acid and Troposulfenin. Significance of Thiocarbonyl-Enol tautomerism. J. Org. Chem. 2008, 73, 280–283. [Google Scholar] [CrossRef]
- Duan, Y.; Petzold, M.; Saleem-Batcha, R.; Teufel, R. Bacterial Tropone Natural Products and Derivatives: Overview of their Biosynthesis, Bioactivities, Ecological Role and Biotechnological Potential. ChemBioChem 2020, 21, 2384–2407. [Google Scholar] [CrossRef]
- La, J.Q.-H.; Michaelides, A.A.; Manderville, R.A. Tautomeric Equilibria in Phenolic A-Ring Derivatives of Prodigiosin Natural Products. J. Phys. Chem. B 2007, 111, 11803–11811. [Google Scholar] [CrossRef]
- Kupka, T.; Broda, M.A.; Wieczorek, P.P. What is the form of muscimol from fly agaric mushroom (Amanita muscaria) in water? An insight from NMR experiment supported by molecular modeling. Magn. Reson. Chem. 2020, 58, 584–593. [Google Scholar] [CrossRef]
- Jendželovská, Z.; Jendželovský, R.; Kuchárová, B.; Fedoročko, P. Hypericin in the Light and in the Dark: Two Sides of the Same Coin. Front. Plant Sci. 2016, 7, 560. [Google Scholar] [CrossRef] [PubMed] [Green Version]
- Tatsis, E.C.; Exarchou, V.; Troganis, A.N.; Gerothanassis, I.P. 1H NMR determination of hypericin and pseudohypericin in complex natural mixtures by the use of strongly deshielded OH groups. Anal. Chim. Acta 2008, 607, 219–226. [Google Scholar] [CrossRef] [PubMed]
- Siskos, M.G.; Choudhary, M.I.; Tzakos, A.G.; Gerothanassis, I.P. 1H NMR chemical shift assignment, structure and conformationalelucidation of hypericin with the use of DFT calculations. The challenge of accurate positions of labile hydrogens. Tetrahedron 2016, 72, 8287–8293. [Google Scholar] [CrossRef]
- Etzlstorfer, C.; Falk, H.; Mayr, E.; Schwarzinger, S. Concerning the Acidity and Hydrogen Bonding of Hydroxyphenanthroperylene Quinones like Fringelite D, Hypericin, and Stentorin. Monatsh. Chem. 1996, 127, 1229–1237. [Google Scholar] [CrossRef]
- Liu, M.; Dong, J.; Hansen, P.E.; Qiu, L.; Yin, H.; Qian, Z.; Yang, M.; Qi, X.; Li, J.; Miao, J. Pharmacological profile of Xanthohumol, a Prenylated Flavonoid from Hops (Humulus lupulus). Molecules 2015, 20, 754–779. [Google Scholar] [CrossRef]
- Afonin, A.V.; Vashchenko, A.V.; Sigalov, M.V. Estimating the energy of intramolecular hydrogenbonds from1H NMR and QTAIM calculations. Org. Biomol. Chem. 2016, 14, 11199–11211. [Google Scholar] [CrossRef]
- Oh, J.; Quan, K.T.; Lee, J.S.; Park, I.; Kim, C.S.; Ferreira, D.; Thuong, P.T.; Kim, Y.H.; Na, M. NMR-Based Investigation of Hydrogen Bonding in a Dihydroanthracen-1(4H)one from Rubia philippinensis and Its Soluble Epoxide Hydrolase Inhibitory Potential. J. Nat. Prod. 2018, 81, 2429–2435. [Google Scholar] [CrossRef]
- Korsinczky, M.L.J.; Schirra, H.J.; Rosengren, K.J.; West, J.; Condie, B.A.; Otvos, L.; Anderson, M.A.; Craik, D.J. Solution Structures by1H NMR of the Novel CyclicTrypsinInhibitorSFTI-1fromSunflowerSeedsandanAcyclic Permutant. J. Mol. Biol. 2001, 311, 579–591. [Google Scholar] [CrossRef]
- Kala, K.J.; Prashob, P.K.J.; Chandramohanakumar, N. Humic substances as a potent biomaterial for therapeutic and drug delivery system-a review. Int. J. App. Pharm. 2019, 11, 1–4. [Google Scholar]
- Klöcking, R.; Helbig, B. Medical Aspects and Applications of Humic Substances; Wiley-VCH: Weinheim, Germany, 2005. [Google Scholar] [CrossRef]
- Simpson, A.J.; Lefebre, B.; Moser, A.; Williams, A.; Larin, N.; Hvasna, M.; Kigery, W.L.; Kelleher, B. Identifying residues in natural organic matter through spectral prediction and pattern matching of 2D NMR datasets. Magn. Reson. Chem. 2004, 42, 14–22. [Google Scholar] [CrossRef]
- Diallo, M.S.; Simpson, A.; Gassman, P.; Johnson, J.H.; Goddard, W.A.; Hatcher, P.G. 3-D structural modelling of humic acids through experimental characterization, computer assisted structure elucidation and atomistic simulations. 1. Chelsea soil humic acid. Environ. Sci. Technol. 2003, 37, 1783–1793. [Google Scholar] [CrossRef] [PubMed] [Green Version]
- Simpson, A.J.; Song, G.; Smith, E.; Lam, B.; Novotny, E.H.; Hayes, M.H.B. Unraveling the Structural Components of soil Humin by Use of solution-State Nuclear Magnetic Resonance spectroscopy. Environ. Sci. Technol. 2007, 41, 876–883. [Google Scholar] [CrossRef] [PubMed]
- Albers, C.N.; Hansen, P.E. 13C-NMR chemical shift databases as a quick tool to evaluate structural models of humic substances. Open Magn. Reson. J. 2010, 3, 96–105. [Google Scholar] [CrossRef]
- Albers, C.N.; Banta, G.T.; Jacobsen, O.S.; Hansen, P.E. Characterisation and structural modelling of Danish field humic substances displaying significant differences compared to previously proposed structures. Eur. J. Soil Sci. 2008, 59, 693–705. [Google Scholar] [CrossRef]































Publisher’s Note: MDPI stays neutral with regard to jurisdictional claims in published maps and institutional affiliations. |
© 2021 by the author. Licensee MDPI, Basel, Switzerland. This article is an open access article distributed under the terms and conditions of the Creative Commons Attribution (CC BY) license (https://creativecommons.org/licenses/by/4.0/).
Share and Cite
Hansen, P.E. NMR of Natural Products as Potential Drugs. Molecules 2021, 26, 3763. https://doi.org/10.3390/molecules26123763
Hansen PE. NMR of Natural Products as Potential Drugs. Molecules. 2021; 26(12):3763. https://doi.org/10.3390/molecules26123763
Chicago/Turabian StyleHansen, Poul Erik. 2021. "NMR of Natural Products as Potential Drugs" Molecules 26, no. 12: 3763. https://doi.org/10.3390/molecules26123763
APA StyleHansen, P. E. (2021). NMR of Natural Products as Potential Drugs. Molecules, 26(12), 3763. https://doi.org/10.3390/molecules26123763
