Photo-Isomerization Kinetics of Azobenzene Containing Surfactant Conjugated with Polyelectrolyte
Abstract
1. Introduction
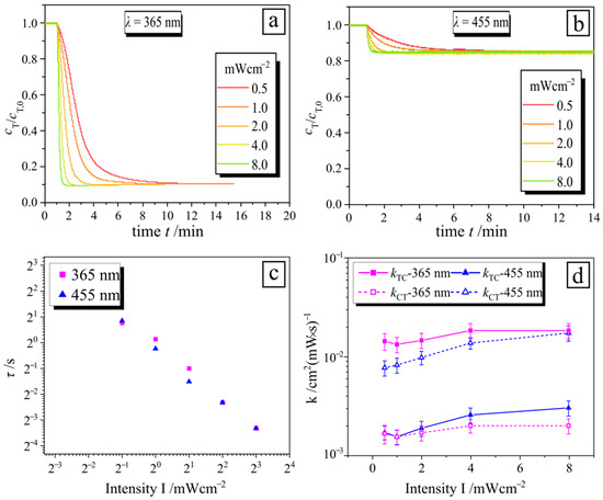
2. Results
3. Materials and Methods
3.1. Light-Responsive Surfactant
3.2. Characterizations
3.3. Kinetic Model and Data Interpretation
- with or
- where cT,eq is the concentration of trans isomers at a photo-stationary state.
4. Conclusions
Supplementary Materials
Author Contributions
Funding
Institutional Review Board Statement
Informed Consent Statement
Data Availability Statement
Acknowledgments
Conflicts of Interest
References
- Santer, S. Remote control of soft nano-objects by light using azobenzene containing surfactants. J. Phys. D Appl. Phys. 2017, 51, 1361–6463. [Google Scholar] [CrossRef]
- Brown, P.; Butts, C.P.; Eastoe, J. Stimuli-responsive surfactants. Soft Matter 2013, 9, 2365–2374. [Google Scholar] [CrossRef]
- Zinchenko, A.A.; Tanahashi, M.; Murata, S. Photochemical Modulation of DNA Conformation by Organic Dications. ChemBioChem 2012, 13, 105–111. [Google Scholar] [CrossRef]
- Rudiuk, S.; Yoshikawa, K.; Baigl, D. Enhancement of DNA compaction by negatively charged nanoparticles. Application to reversible photocontrol of DNA higher-order structure. Soft Matter 2011, 7, 5854–5860. [Google Scholar] [CrossRef]
- Montagna, M.; Guskova, O. Photosensitive Cationic Azobenzene Surfactants: Thermodynamics of Hydration and the Complex Formation with Poly(methacrylic acid). Langmuir 2018, 34, 311–321. [Google Scholar] [CrossRef]
- Schnurbus, M.; Campbell, R.A.; Droste, J.; Honnigfort, C.; Glikman, D.; Gutfreund, P.; Hansen, M.R.; Braunschweig, B. Photo-Switchable Surfactants for Responsive Air-Water Interfaces: Azo versus Arylazopyrazole Amphiphiles. J. Phys. Chem. 2020, 124, 6913–6923. [Google Scholar] [CrossRef]
- Rau, H. Photoisomerization of Azobenzenes. In Photochemistry and Photophysics; Rebek, J., Ed.; CRC Press: Boca Raton, FL, USA, 1989; p. 110. [Google Scholar]
- Chen, S.; Wang, C.; Yin, Y.; Chen, K. Synthesis of photo-responsive azobenzene molecules with different hydrophobic chain length for controlling foam stability. RSC Adv. 2016, 6, 60138–60144. [Google Scholar] [CrossRef]
- Mamane, A.; Chevallier, E.; Olanier, L.; Lequeux, F.; Monteux, C. Optical control of surface forces and instabilities in foam films using photosurfactants. Soft Matter 2017, 13, 1299–1305. [Google Scholar] [CrossRef]
- Hayashita, T.; Kurosawa, T.; Miyata, T.; Tanaka, K.; Igawa, M. Effect of structural variation within cationic azo-surfactant upon photoresponsive function in aqueous solution. Colloid Polym. Sci. 1994, 272, 1611–1619. [Google Scholar] [CrossRef]
- Ny, L.; Anne-Laure, M.; Lee, C.T., Jr. Photoreversible DNA Condensation Using Light-Responsive Surfactants. J. Am. Chem. Soc. 2006, 128, 6400–6408. [Google Scholar]
- Sollogoub, M.; Guieu, S.; Geoffroy, M.; Yamada, A.; Estévez-Torres, A.; Yoshikawa, K.; Drand, D.B. Photocontrol of Single-Chain DNA Conformation in Cell-Mimicking Microcompartments. ChemBioChem 2008, 9, 1201–1206. [Google Scholar] [CrossRef]
- Zhu, L.; Zhao, C.; Zhang, J.; Gong, D. Photocontrollable volume phase transition of an azobenzene functionalized microgel and its supramolecular complex. RSC Adv. 2015, 5, 84263–84268. [Google Scholar] [CrossRef]
- Diguet, A.; Mani, N.K.; Geoffroy, M.; Sollogoub, M. Photosensitive surfactants with various hydrophobic tail lengths for the photocontrol of genomic DNA conformation with improved efficiency. Chem. A Eur. J. 2010, 16, 11890–11896. [Google Scholar] [CrossRef]
- Kopyshev, A.; Galvin, C.J.; Patil, R.R.; Genzer, J.; Lomadze, N.; Feldmann, D.; Zakrevski, Y.; Santer, S. Light-Induced Reversible Change of Roughness and Thickness of Photosensitive Polymer Brushes. ACS Appl. Mater. Interf. 2016, 8, 19175–19184. [Google Scholar] [CrossRef] [PubMed]
- Kopyshev, A.; Galvin, J.C.; Genzer, J.; Lomadze, N.; Santer, S. Polymer brushes modified by photosensitive azobenzene containing polyamines. Polymer 2016, 98, 421–428. [Google Scholar] [CrossRef]
- Lomadze, N.; Kopyshev, A.; Bargheer, M.; Wollgarten, M.; Santer, S. Mass production of polymer nano-wires filled with metal nano-particles. Sci. Rep. 2017, 7, 8506. [Google Scholar] [CrossRef]
- Shang, T.; Smith, K.A.; Hatton, T.A. Photoresponsive Surfactants Exhibiting Unusually Large, Reversible Surface Tension Changes under Varying Illumination Conditions. Langmuir 2003, 19, 10764–10773. [Google Scholar] [CrossRef]
- Chevallier, E.; Mamane, A.; Stone, H.A.; Tribet, C.; Lequeuxa, F.; Monteux, C. Pumping-out photo-surfactants from an air-water interface using light. Soft Matter 2011, 7, 7866–7874. [Google Scholar] [CrossRef]
- Venancio-Marques, A.; Barbaud, F.; Baigl, D. Microfluidic Mixing Triggered by an External LED Illumination. J. Am. Chem. Soc. 2013, 135, 3218–3223. [Google Scholar] [CrossRef]
- Chevallier, E.; Monteux, C.; Lequeux, F.; Tribet, C.C. Photofoams: Remote Control of Foam Destabilization by Exposure to Light Using an Azobenzene Surfactant. Langmuir 2012, 28, 2308–2312. [Google Scholar] [CrossRef]
- Lei, L.; Xie, D.; Song, B.; Jiang, J.; Pei, X.; Cui, Z. Photoresponsive Foams Generated by a Rigid Surfactant Derived from Dehydroabietic Acid. Langmuir 2017, 33, 7908–7916. [Google Scholar] [CrossRef]
- Rideg, N.A.; Darvas, M.; Varga, I.; Jedlovszky, P. Lateral Dynamics of Surfactants at the Free Water Surface: A Computer Simulation Study. Langmuir 2012, 28, 14944–14953. [Google Scholar] [CrossRef]
- Zakrevskyy, Y.; Richter, M.; Zakrevska, S.; Lomadze, N.; von Klitzing, R.; Santer, S. Light Controlled Reversible Manipulation of Microgel Particle Size Using Azobenzene Containing Surfactant. Adv. Funct. Mater. 2012, 22, 5000–5009. [Google Scholar] [CrossRef]
- Schimka, S.; Lomadze, N.; Rabe, M.; Kopyshev, A.; Lehmann, M.; von Klitzing, R.; Rumyantsev, A.M.; Kramarenko, E.Y.; Santer, S. Photosensitive microgels containing azobenzene surfactants of different charge. Phys. Chem. Chem. Phys. 2017, 19, 108–117. [Google Scholar] [CrossRef]
- Arya, P.; Jelken, J.; Lomadze, N.; Santer, S.; Bekir, M. Kinetics of photo-isomerization of azobenzene containing surfactants. J. Chem. Phys. 2020, 152, 024904. [Google Scholar] [CrossRef]
- Zakrevskyy, Y.; Roxlau, J.; Brezesinski, G.; Lomadze, N.; Santer, S. Photosensitive surfactants: Micellization and interaction with DNA. J. Chem. Phys. 2014, 140, 044906. [Google Scholar] [CrossRef]
- Arya, P.; Jelken, J.; Feldmann, D.; Lomadze, N.; Santer, S. Light driven diffusioosmotic repulsion and attraction of colloidal particles. J. Chem. Phys. 2020, 152, 194703. [Google Scholar] [CrossRef]
- Feldmann, D.; Arya, P.; Molotilin, T.Y.; Lomadze, N.; Kopyshev, A.; Vinogradova, O.I.; Santer, S. Extremely Long-Range Light-Driven Repulsion of Porous Microparticles. Langmuir 2020, 36, 6994–7004. [Google Scholar] [CrossRef]
- Arya, P.; Feldmann, D.; Kopyshev, A.; Lomadze, N.; Santer, S. Light driven guided and self-organized motion of mesoporous colloidal particles. Soft Matter 2020, 16, 1148–1155. [Google Scholar] [CrossRef] [PubMed]
- Feldmann, D.; Arya, P.; Lomadze, N.; Kopyshev, A.; Santer, S. Light-driven motion of self-propelled porous Janus particles. Appl. Phys. Lett. 2019, 115, 263701. [Google Scholar] [CrossRef]
- Zakrevskyy, Y.; Cywinski, P.; Cywinska, M.; Paasche, J.; Lomadze, N.; Reich, O.; Löhmannsröben, H.G.; Santer, S. Interaction of photosensitive surfactant with DNA and poly acrylic acid. J. Chem. Phys. 2014, 140, 044907. [Google Scholar] [CrossRef]
- Dumont, D.; Galstian, T.; Senkow, S.; Ritcey, A. Liquid Crystal Photoalignment using New Photoisomerisable Langmuir-Blodgett Films. Mol. Cryst. Liq. Cryst. 2002, 375, 341–352. [Google Scholar] [CrossRef]
- Palladino, P.; Ragone, R. Ionic Strength Effects on the Critical Micellar Concentration of Ionic and Nonionic Surfactants: The Binding Model. Langmuir 2011, 27, 14065–14070. [Google Scholar] [CrossRef]
- Khokhlov, A.R.; Kramarenko, E.Y.; Makhaeva, E.E.; Starodubtzev, S.G. Collapse of polyelectrolyte networks induced by their interaction with an oppositely charged surfactant. Makromol. Chem. Theory Simul. 1992, 1, 105–118. [Google Scholar] [CrossRef]







| Publisher’s Note: MDPI stays neutral with regard to jurisdictional claims in published maps and institutional affiliations. | 
© 2020 by the authors. Licensee MDPI, Basel, Switzerland. This article is an open access article distributed under the terms and conditions of the Creative Commons Attribution (CC BY) license (http://creativecommons.org/licenses/by/4.0/).
Share and Cite
Sharma, A.; Bekir, M.; Lomadze, N.; Santer, S. Photo-Isomerization Kinetics of Azobenzene Containing Surfactant Conjugated with Polyelectrolyte. Molecules 2021, 26, 19. https://doi.org/10.3390/molecules26010019
Sharma A, Bekir M, Lomadze N, Santer S. Photo-Isomerization Kinetics of Azobenzene Containing Surfactant Conjugated with Polyelectrolyte. Molecules. 2021; 26(1):19. https://doi.org/10.3390/molecules26010019
Chicago/Turabian StyleSharma, Anjali, Marek Bekir, Nino Lomadze, and Svetlana Santer. 2021. "Photo-Isomerization Kinetics of Azobenzene Containing Surfactant Conjugated with Polyelectrolyte" Molecules 26, no. 1: 19. https://doi.org/10.3390/molecules26010019
APA StyleSharma, A., Bekir, M., Lomadze, N., & Santer, S. (2021). Photo-Isomerization Kinetics of Azobenzene Containing Surfactant Conjugated with Polyelectrolyte. Molecules, 26(1), 19. https://doi.org/10.3390/molecules26010019
 
        

