The Influence of pH Values on the Rheological, Textural and Release Properties of Carbomer Polacril® 40P-Based Dental Gel Formulation with Plant-Derived and Synthetic Active Components
Abstract
1. Introduction
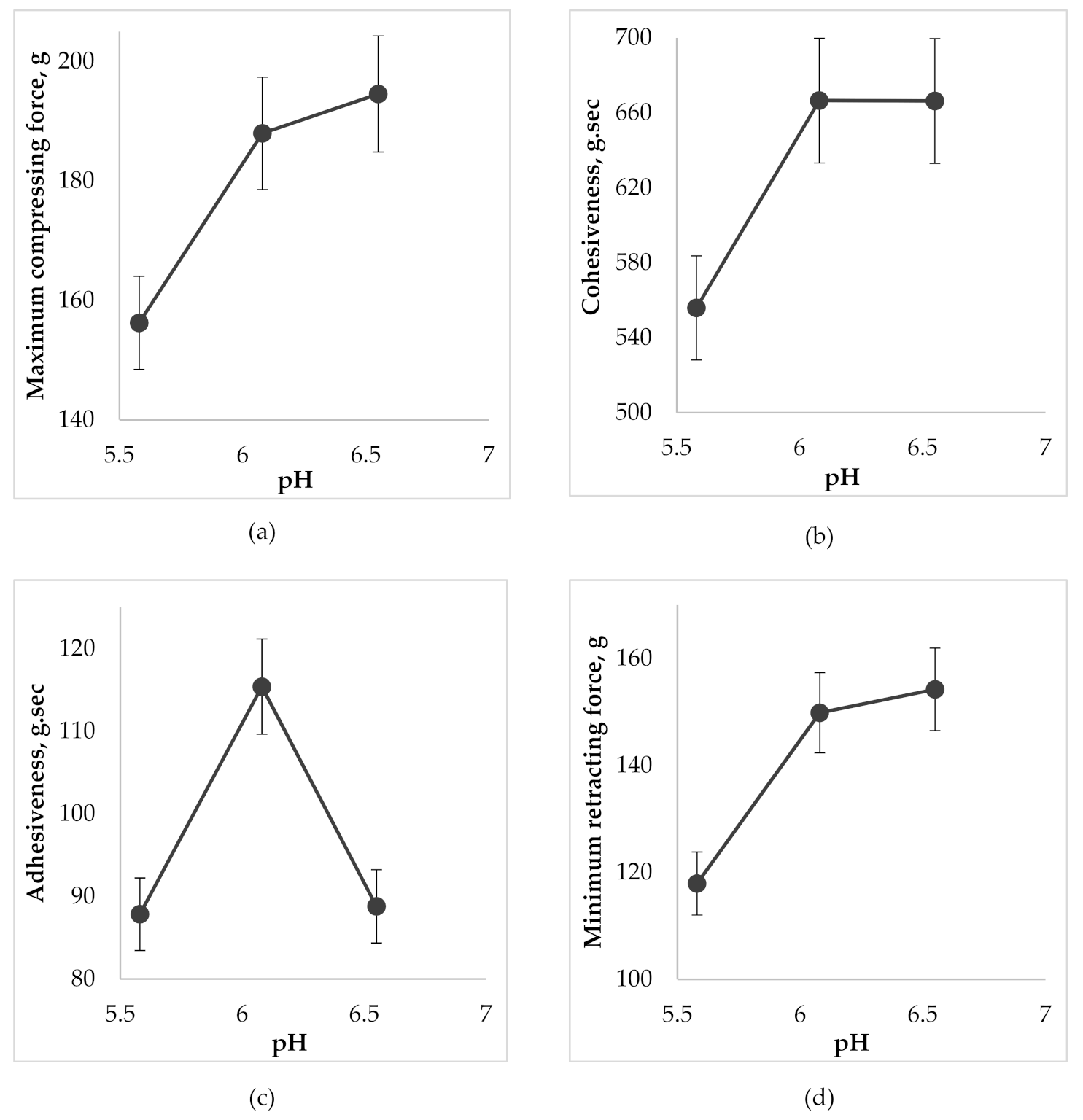
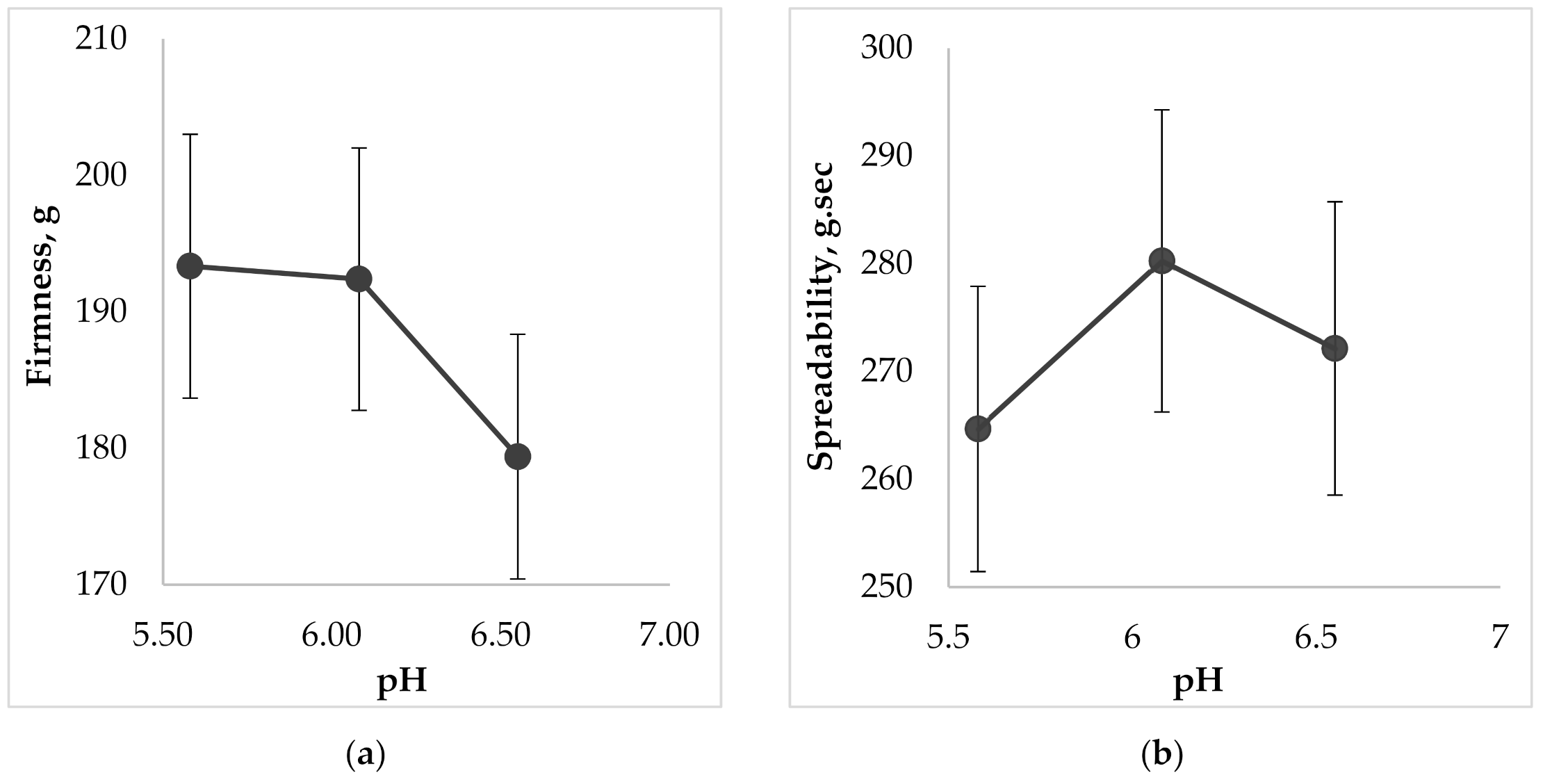
2. Results and Discussion
3. Materials and Methods
3.1. Materials
3.2. Gel Preparation
3.3. Methods
3.3.1. Rheological Studies
3.3.2. Textural Analysis
Back Extrusion Test
Spreadability Test
3.3.3. Release Test in Vitro
HPLC Analysis
3.3.4. Statistical Analysis
4. Conclusions
Author Contributions
Funding
Acknowledgments
Conflicts of Interest
References
- Benjamin, R.M. Oral Health: The Silent Epidemic. Public Health Rep. 2010, 125, 158–159. [Google Scholar] [CrossRef] [PubMed]
- Centers for Disease Control and Prevention. Oral Health Surveillance Report: Trends in Dental Caries and Sealants, Tooth Retention, and Edentulism, United States, 1999–2004 to 2011–2016; Centers for Disease Control and Prevention, US Dept of Health and Human Services: Atlanta, GA, USA, 2019.
- Peres, M.A.; Macpherson, L.M.D.; Weyant, R.J.; Daly, B.; Venturelli, R.; Mathur, M.R.; Listl, S.; Celeste, R.K.; Guarnizo-Herreño, C.C.; Kearns, C.; et al. Oral diseases: A global public health challenge. Lancet 2019, 394, 249–260. [Google Scholar] [CrossRef]
- Steele, J.; Shen, J.; Tsakos, G.; Fuller, E.; Morris, S.; Watt, R.; Guarnizo-Herreño, C.; Wildman, J. The interplay between socioeconomic inequalities and clinical oral health. J. Dent. Res. 2014, 94, 19–26. [Google Scholar] [CrossRef] [PubMed]
- Eke, P.I.; Thornton-Evans, G.O.; Wei, L.; Borgnakke, W.S.; Dye, B.A.; Genco, R.J. Periodontitis in US Adults: National Health and Nutrition Examination Survey 2009–2014. J. Am. Dent. Assoc. 2018, 149, 576–588. [Google Scholar] [CrossRef]
- Cullinan, M.; Seymour, G. Periodontal disease and systemic illness: Will the evidence ever be enough? Periodontol 2000 2013, 62, 271–286. [Google Scholar] [CrossRef]
- Otomo-Corgel, J.; Pucher, J.; Rethman, M.; Reynolds, M. State of the science: Chronic periodontitis and systemic health. J. Evid. Based Dent. Pract. 2012, 12, 20–28. [Google Scholar] [CrossRef]
- Tsakos, G.; Quinonez, C. A sober look at the links between oral and general health. J. Epidemiol. Commun. Health 2013, 67, 381–382. [Google Scholar] [CrossRef]
- Boddupalli, B.M.; Mohammed, Z.N.K.; Nath, R.A.; Banji, D. Mucoadhesive drug delivery system: An overview. J. Adv. Pharm. Technol. Res. 2010, 1, 381–387. [Google Scholar] [CrossRef]
- Sheikh, S.; Gupta, D.; Pallagatti, S.; Singla, I. Role of topical drugs in treatment of oral mucosal diseases. A literature review. N. Y. State Dent. J. 2013, 79, 58–64. [Google Scholar]
- Pragati, S.; Ashok, S.; Kuldeep, S. Recent advances in periodontal drug delivery systems. Int. J. Drug Deliv. 2009, 1, 1–14. [Google Scholar] [CrossRef]
- Kovalenko, S.M.; Khokhlenkova, N.V.; Azarenko, J.M. Methodological Aspects of Development of Gels for Treating Inflammatory Dental Diseases. Asian J. Pharm. 2017, 11, S129–S135. [Google Scholar] [CrossRef]
- Nguyen, S.; Hiorth, M. Advanced drug delivery systems for local treatment of the oral cavity. Ther. Deliv. 2015, 6, 595–608. [Google Scholar] [CrossRef]
- Joshi, D.; Garg, T.; Goyal, A.K.; Rath, G. Advanced drug delivery approaches against periodontitis. Drug Delivery 2016, 23, 363–377. [Google Scholar] [CrossRef]
- Masliy, J.S.; Ruban, O.A.; Strilets, O.P. Microbiological justification the choice of APIs and their concentration in composition of dental gel. Ukraïns’kij Bìofarmacevtičnij Žurnal 2017, 1, 54–59. [Google Scholar]
- Maslii, Y.S.; Hrudnytska, O.O.; Ruban, O.A.; Zaychenko, G.V. Justification of local anesthetic and choice of its concentration in composition of dental gel. Farmatsevtychnyi Zhurnal 2019, 3, 49–55. [Google Scholar] [CrossRef]
- U.S. Pharmacopeia. National Formulary: USP 41—NF 36. In Carbomer Homopolymer; United States Pharmacopeial Convention: Rockville, MD, USA, 2018; p. 5257. [Google Scholar]
- Ruban, O.A.; Maslii, Y.S. Research on the choice of rational concentration of the gel forming agent in the composition of dental gel. Ann. Mechnikov Inst. 2019, 2, 29–33. [Google Scholar] [CrossRef]
- Dinkgreve, M.; Fazilati, M.; Denn, M.; Bonn, D. Carbopol: From a simple to a thixotropic yield stress fluid. J. Rheol. 2018, 62, 773–780. [Google Scholar] [CrossRef]
- Prasanna, K.T.P.; Sarath, C.P.N.K.; Lokesh, P.; Krishna, M. Viscoelastic properties and rheological characterization of carbomers. Int. J. Latest Res. Eng. Technol. 2015, 1, 17–30. [Google Scholar]
- Rabisková, M.; Sedláková, M.; Vitková, M.; Kuna, M. Carbomers and their use in pharmaceutical technology. Ceská Slov. Farm. 2004, 53, 300–303. [Google Scholar]
- Islam, M.T.; Rodrıguez Hornedo, N.; Ciotti, S.; Ackermann, C. Rheological characterization of topical carbomer gels neutralized to different pH. Pharm. Res. 2004, 21, 1192–1199. [Google Scholar] [CrossRef]
- Panzade, P.; Puranik, P.K. Carbopol Polymers: A Versatile Polymer for Pharmaceutical Applications. Res. J. Pharm. Technol. 2010, 3, 672–675. [Google Scholar]
- Neel, E.A.A.; Aljabo, A.; Strange, A.; Ibrahim, S.; Coathup, M.; Young, A.M.; Bozec, L.; Mudera, V. Demineralization–remineralization dynamics in teeth and bone. Int. J. Nanomed. 2016, 11, 4743–4763. [Google Scholar] [CrossRef] [PubMed]
- Kianoush, N.; Adler, C.J.; Nguyen, K.A.T.; Browne, G.V.; Simonian, M.; Hunter, N. Bacterial Profile of Dentine Caries and the Impact of pH on Bacterial Population Diversity. PLoS ONE 2014, 9, e92940. [Google Scholar] [CrossRef]
- Edgar, M.; Dawes, C.; O’Mullane, D. Saliva and Oral Health, 4th ed.; Stephen Hancocks Ltd.: Bicester, UK, 2012; p. 154. [Google Scholar]
- Prasad, M.; Toshi; Sehgal, R.; Mallik, M.; Nabi, A.T.; Singh, S. Periodontal disease and salivary pH: Case control study. IAIM 2019, 6, 1–6. [Google Scholar]
- Baliga, S.; Muglikar, S.; Kale, R. Salivary pH: A diagnostic biomarker. J. Indian Soc. Periodontol. 2013, 17, 461–465. [Google Scholar] [CrossRef]
- Nair, A.U.; Thavarajah, R.; Ranganathan, K. Saliva and dental practice. J. Dr. NTR Univ. Health Sci. 2012, 1, 72–76. [Google Scholar] [CrossRef]
- Cormos, G.; Ionas, M.; Bota, G.; Stef, L.; Boitor, G.C.; Ormenisan, A.; Maris, M.; Mitariu, M.C. The Contribution of Salivary pH in Periodontal Health Assessment. Rev. Chim. 2016, 67, 1697–1700. [Google Scholar]
- Varges, P.R.; Costa, C.M.; Fonseca, B.S.; Naccache, M.F.; de Souza Mendes, P.R. Rheological Characterization of Carbopol® Dispersions in Water and in Water/Glycerol Solutions. Fluids 2019, 4, 3. [Google Scholar] [CrossRef]
- Plaiziervercammen, D.M. Rheological Properties of Carbopol-950 and Carbopol-954 neutralized with triethanolamine and Neutrol TE. Pharmazie 1991, 46, 646–650. [Google Scholar]
- Tamburic, S.; Craig, D.Q.M. Rheological evaluation of polyacrylic acid hydrogels. Pharm. Sci. 1995, 1, 107–109. [Google Scholar]
- Ramirez, A.; Fresno, M.J.; Jimenez, M.M.; Selles, E. Rheological study of Carbopol (R) Ultrez (TM) 10 hydroalcoholic gels, I: Flow and thixotropic behavior as a function of pH and polymer concentration. Pharmazie 1999, 54, 444–447. [Google Scholar]
- Contreras, M.J.F.; Dieguez, A.R.; Soriano, M.M.J. Rheological characterization of hydroalcoholic gels—15% ethanol—Of Carbopol (R) Ultrez (TM) 10. Farmaco 2001, 56, 437–441. [Google Scholar] [CrossRef]
- Mazurkeviciute, A.; Ramanauskiene, K.; Ivaskiene, M.; Grigonis, A.; Briedis, V. Topical antifungal bigels: Formulation, characterizationand evaluation. Acta Pharm. 2018, 68, 223–233. [Google Scholar] [CrossRef] [PubMed]
- Ma, J.; Lin, Y.; Chen, X.; Zhao, B.; Zhang, J. Flow behavior, thixotropy and dynamical viscoelasticity of sodium alginate aqueous solutions. Food Hydrocoll. 2014, 38, 119–128. [Google Scholar] [CrossRef]
- Aupova, R.; Sakipova, Z.; Zemlicka, M. Study of rheological properties of carbomer gels. Life Sci. J. 2014, 11, 25–27. [Google Scholar] [CrossRef]
- Tai, A.; Bianchini, R.; Jachowicz, J. Texture analysis of cosmetic/pharmaceutical raw materials and formulations. Int. J. Cosmet. Sci. 2014, 36, 291–304. [Google Scholar] [CrossRef]
- Kasparaviciene, G.; Kalveniene, Z.; Pavilonis, A.; Marksiene, R.; Dauksiene, J.; Bernatoniene, J. Formulation and Characterization of Potential Antifungal Oleogel with Essential Oil of Thyme. Evid. Based Complementary Altern. Med. 2018, 3, 1–6. [Google Scholar] [CrossRef]
- Hurler, J.; Engesland, A.; Kermany, B.P.; Škalko-Basnet, N. Improved Texture Analysis for Hydrogel Characterization: Gel Cohesiveness, Adhesiveness, and Hardness. J. Appl. Polym. Sci. 2012, 125, 180–188. [Google Scholar] [CrossRef]
- U.S. Pharmacopeia. National Formulary: USP 41—NF 36. In Semisolid Drug Products—Performance Tests (Chapter 1724); United States Pharmacopeial Convention: Rockville, MD, USA, 2018; p. 7944. [Google Scholar]
- Fotaki, N. Flow-Through Cell Apparatus (USP Apparatus 4): Operation and Features. Dissolution Technol. 2011, 18, 46–49. [Google Scholar] [CrossRef]
- European Pharmacopoeia, 10th ed.; Council of Europe: Strasbourg, France, 2020; Available online: https://pheur.edqm.eu/app/10-0/search/ (accessed on 15 April 2020).
- Mezger, T.G. The Rheology Handbook; Vincentz Network: Hanover, Germany, 2014; p. 432. [Google Scholar]
- Osswald, T.A.; Rudolph, N. Polymer Rheology. In Fundamentals and Applications; Carl Hanser Verlag: Munich, Germany, 2015; p. 221. [Google Scholar]
- Grillet, A.M.; Wyatt, N.B.; Gloe, L.M. Polymer Gel Rheology and Adhesion. In Rheology, 1st ed.; De Vicente, J., Ed.; IntechOpen Limited: London, UK, 2012; Chapter 3; pp. 3–80. [Google Scholar]
- Rahman, M.N.A.; Qader, O.A.J.A.; Sukmasari, S.; Ismail, A.F.; Doolaanea, A.A. Rheological characterization of different gelling polymers for dental gel formulation. J. Pharm. Sci. Res. 2017, 9, 2633–2640. [Google Scholar]













| Gel Sample | Consistency Index (K) | Flow Behavior Index (n) | ||
|---|---|---|---|---|
| 25 °C | 37 °C | 25 °C | 37 °C | |
| pH 5.5 | 65.31 ± 2.36 | 58.26 ± 2.01 | 0.134 ± 0.005 | 0.132 ± 0.005 |
| pH 6.0 | 80.83 ± 1.58 | 78.83 ± 1.05 | 0.127 ± 0.002 | 0.124 ± 0.002 |
| pH 6.6 | 97.57 ± 2.04 | 95.27 ± 1.74 | 0.126 ± 0.004 | 0.123 ± 0.002 |
| Dentinox-N | 74.04 ± 1.75 | 70.04 ± 1.75 | 0.129 ± 0.004 | 0.125 ± 0.003 |
| Gel Sample | API | Released amount of APIs, mg/cm3 | |||||
|---|---|---|---|---|---|---|---|
| Samples Selection Time, h | |||||||
| 0.5 | 1 | 2 | 3 | 4 | 6 | ||
| pH 5.5 | ChSal | 1.350 ± 0.165 | 2.680 ± 0.730 | 7.491 ± 1.762 | 12.637 ± 2.025 | 17.350 ± 2.581 | 25.201 ± 2.780 |
| LidHyd | 0.233 ± 0.011 | 0.587 ± 0.027 | 0.793 ± 0.038 | 1.058 ± 0.047 | 1.212 ± 0.056 | 1.317 ± 0.061 | |
| pH 6.0 | ChSal | 1.055 ± 0.172 | 2.680 ± 0.331 | 7.215 ± 0.398 | 12.338 ± 0.606 | 16.884 ± 0.263 | 24.440 ± 0.360 |
| LidHyd | 0.203 ± 0.009 | 0.517 ± 0.025 | 0.748 ± 0.033 | 0.956 ± 0.041 | 1.145 ± 0.054 | 1.251 ± 0.059 | |
| pH 6.6 | ChSal | 1.105 ± 0.035 | 2.822 ± 0.429 | 7.194 ± 0.972 | 12.261 ± 1.019 | 16.663 ± 1.915 | 24.015 ± 2.744 |
| LidHyd | 0.215 ± 0.010 | 0.533 ± 0.026 | 0.764 ± 0.035 | 0.998 ± 0.044 | 1.154 ± 0.056 | 1.267 ± 0.060 | |
| Control | ChSal | 17.262 ± 0.141 | 31.630 ± 0.510 | 47.076 ± 1.044 | 50.545 ± 1.123 | 51.342 ± 1.811 | 51.671 ± 2.012 |
| LidHyd | 0.668 ± 0.029 | 1.191 ± 0.057 | 1.388 ± 0.066 | 1.437 ± 0.070 | 1.459 ± 0.071 | 1.481 ± 0.071 | |
| Ingredients | Amount, % |
|---|---|
| Tincture “Phytodent” | 15.0 |
| Choline salicylate 80% | 8.0 |
| Lidocaine hydrochloride | 1.5 |
| Carbomer homopolymer (Polacril® 40P) | 1.5 |
| Sodium hydroxide (10% solution) | to the required pH |
| Vinyl methyl ether and maleic anhydride copolymer | |
| (OraRez® W-100L16) | 1.5 |
| Methyl parahydroxybenzoate | 0.15 |
| Propyl parahydroxybenzoate | 0.05 |
| Purified water | Up to 100.0 |
Sample Availability: Samples of the developed gel are available from the authors. |
Publisher’s Note: MDPI stays neutral with regard to jurisdictional claims in published maps and institutional affiliations. |
© 2020 by the authors. Licensee MDPI, Basel, Switzerland. This article is an open access article distributed under the terms and conditions of the Creative Commons Attribution (CC BY) license (http://creativecommons.org/licenses/by/4.0/).
Share and Cite
Maslii, Y.; Ruban, O.; Kasparaviciene, G.; Kalveniene, Z.; Materiienko, A.; Ivanauskas, L.; Mazurkeviciute, A.; Kopustinskiene, D.M.; Bernatoniene, J. The Influence of pH Values on the Rheological, Textural and Release Properties of Carbomer Polacril® 40P-Based Dental Gel Formulation with Plant-Derived and Synthetic Active Components. Molecules 2020, 25, 5018. https://doi.org/10.3390/molecules25215018
Maslii Y, Ruban O, Kasparaviciene G, Kalveniene Z, Materiienko A, Ivanauskas L, Mazurkeviciute A, Kopustinskiene DM, Bernatoniene J. The Influence of pH Values on the Rheological, Textural and Release Properties of Carbomer Polacril® 40P-Based Dental Gel Formulation with Plant-Derived and Synthetic Active Components. Molecules. 2020; 25(21):5018. https://doi.org/10.3390/molecules25215018
Chicago/Turabian StyleMaslii, Yuliia, Olena Ruban, Giedre Kasparaviciene, Zenona Kalveniene, Anna Materiienko, Liudas Ivanauskas, Agne Mazurkeviciute, Dalia M. Kopustinskiene, and Jurga Bernatoniene. 2020. "The Influence of pH Values on the Rheological, Textural and Release Properties of Carbomer Polacril® 40P-Based Dental Gel Formulation with Plant-Derived and Synthetic Active Components" Molecules 25, no. 21: 5018. https://doi.org/10.3390/molecules25215018
APA StyleMaslii, Y., Ruban, O., Kasparaviciene, G., Kalveniene, Z., Materiienko, A., Ivanauskas, L., Mazurkeviciute, A., Kopustinskiene, D. M., & Bernatoniene, J. (2020). The Influence of pH Values on the Rheological, Textural and Release Properties of Carbomer Polacril® 40P-Based Dental Gel Formulation with Plant-Derived and Synthetic Active Components. Molecules, 25(21), 5018. https://doi.org/10.3390/molecules25215018

