Nitrogen Fertilizer Levels Affect the Growth and Quality Parameters of Astragalus mongolica
Abstract
1. Introduction
2. Results
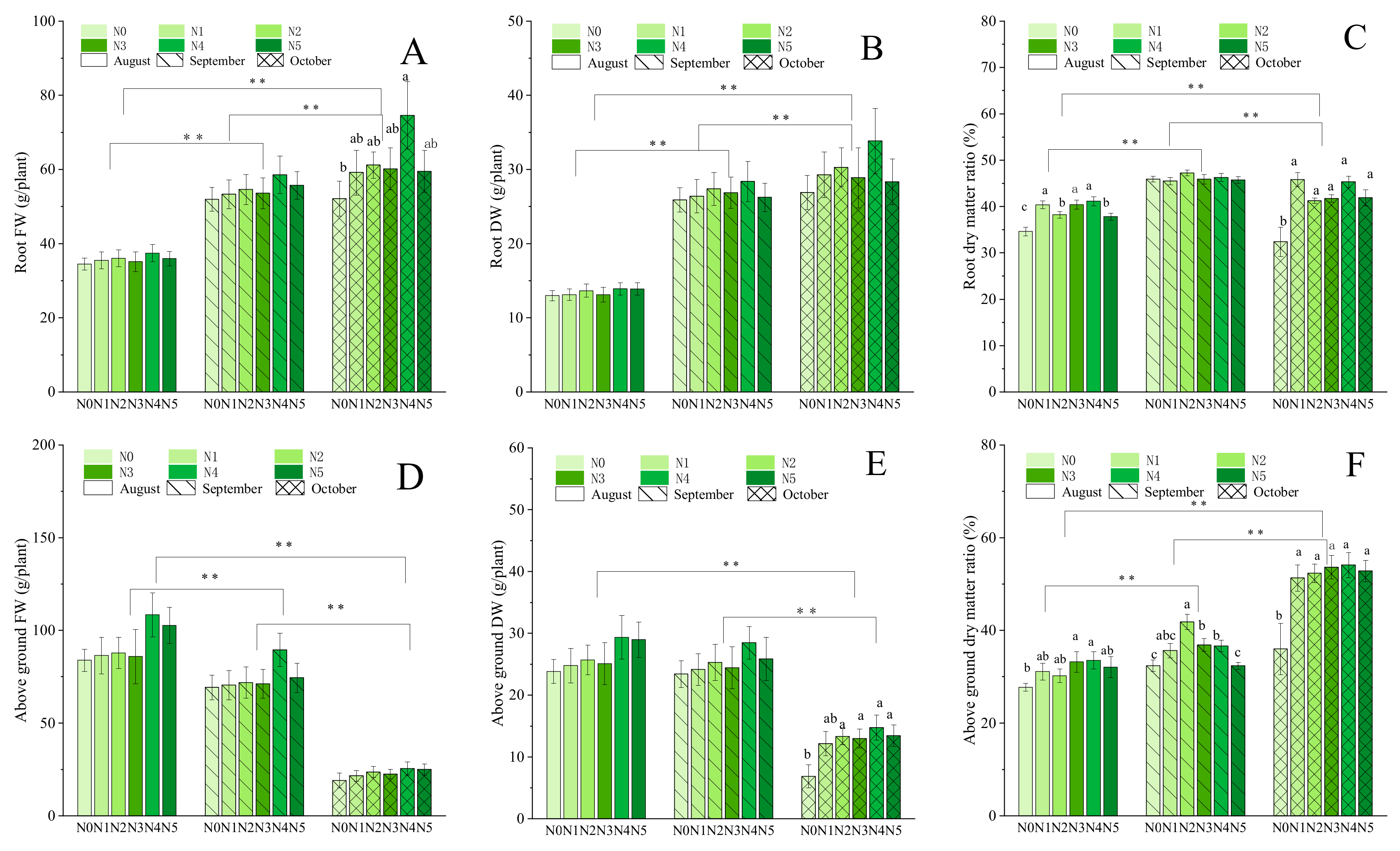
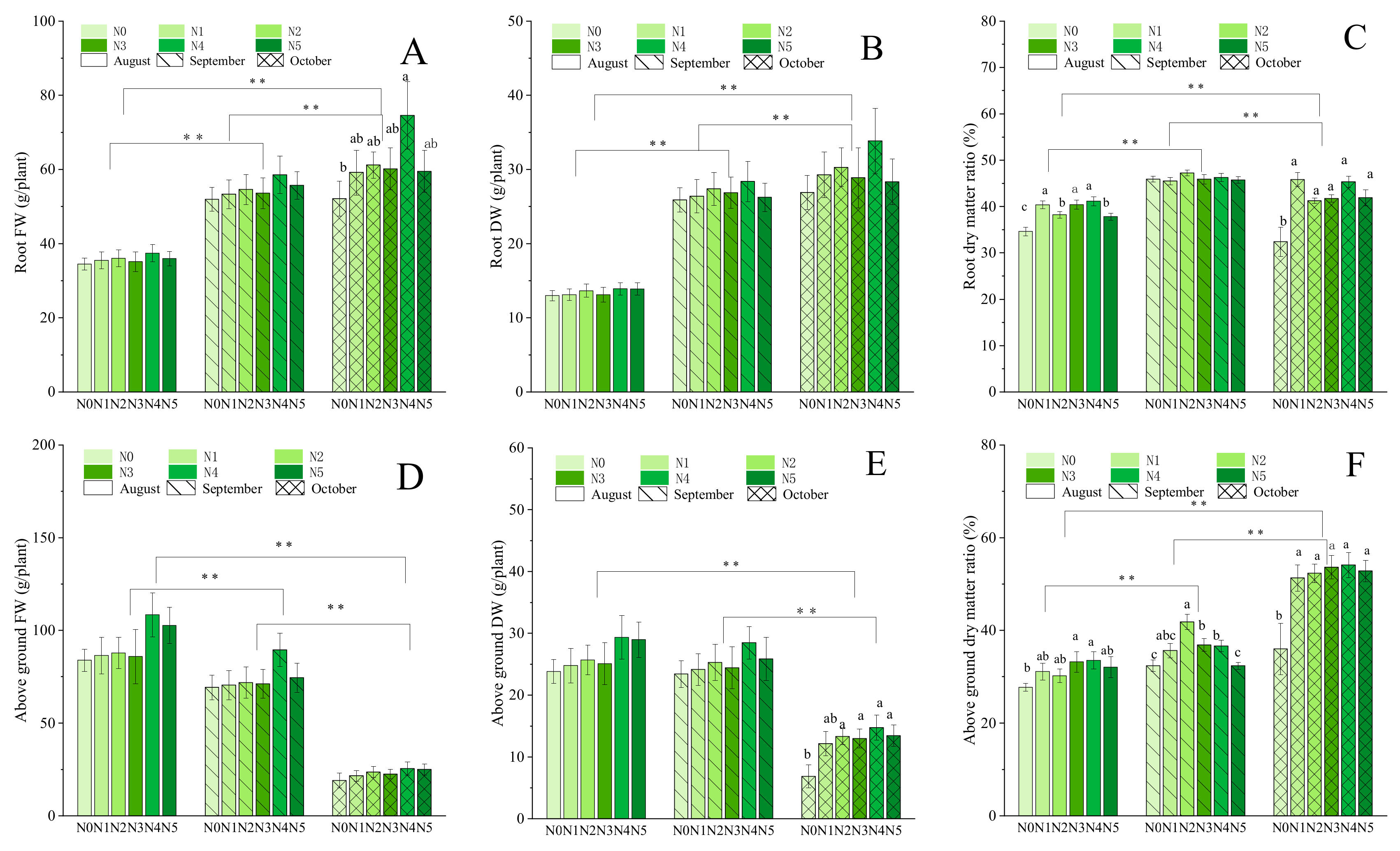
2.1. Effect of Nitrogen Fertilizer on the Biomass and Growth Traits of A. mongolica
2.2. Effect of Different Levels of Nitrogen Fertilizer on the Active Compounds of A. mongolica
2.3. Effect of the Different Levels of Nitrogen Fertilizer on the Yield and Quality of A. mongolica
2.3.1. Effect of the Different Levels of Nitrogen Fertilizer on Yield
2.3.2. Comprehensive Evaluation of Quality under Different Treatments by GRA
3. Discussion
4. Materials and Methods
4.1. Study Area
4.2. Experimental Design
4.3. Plant Material
4.4. Preparation of Sample Solution and Standard Solution
4.5. Chromatographic Conditions
4.6. Grey Relation Analysis
4.6.1. Establishment of the Data Set
4.6.2. Dimensionless Processing of Original Data
4.6.3. Calculation of the Correlation Coefficients
4.6.4. Calculation of the Correlation Degrees
4.6.5. Definition and Calculation of the Relative Correlations
4.7. Data Analysis
5. Conclusions
Supplementary Materials
Author Contributions
Funding
Acknowledgments
Conflicts of Interest
References
- Song, Q.Y. Effects of nitrogen, phosphorus and potassium application on yield and quality Astragalus mongolica. Beijing Univ. Chin. Med. 2017, 26–29, S567–239. [Google Scholar]
- Zhou, X.T. A Kind of Astragalus Fiber Textile Raw Material and Its Application. CN107502952A, 22 December 2017. [Google Scholar]
- Cheng, M.; Chi, X.L.; Wang, H.; Yang, G. Analysis of Status and Problems of International Trade of Astragalus mongolica in China. Chin. Mod. Tradit. Med. 2019, 4, 424–428. [Google Scholar] [CrossRef]
- National Pharmacopoeia Committee. Pharmacopoeia of the People’s Republic of China. Chemical Industry Press, Beijing. Available online: https://www.drugfuture.com/standard/ (accessed on 15 January 2020).
- Zhang, W.J.; Hufnagl, P.; Binder, B.R.; Wojta, J. Antiinflammatory activity of Astragaloside IV is mediated by inhibition of NF-kappaB activation and adhesion molecule expression. Thromb Haemost 2003, 89, 904–914. [Google Scholar] [CrossRef] [PubMed]
- Yeung, K.S.; Gubili, J.; Cassileth, B.R. An evidence-based review of Astragalus mongolica (Astragalus) for cancer patients. In Evidence-Based Anticancer Materia Medica; Cho, W.C.-S., Ed.; Springer: Dordrecht, The Netherlands, 2011; pp. 65–84. [Google Scholar] [CrossRef]
- Wu, F.B.; Chen, X.Y. Review on pharmacological effects of Astragalus mongolica. J. Chin. Med. Mater. 2004, 27, 232–234. [Google Scholar] [CrossRef]
- Auyeung, K.K.; Woo, P.K.; Law, P.C.; Ko, J.K. Astragalus saponins modulate cell invasiveness and angiogenesis in human gastric adenocarcinoma cells. J. Ethnopharmacol. 2012, 141, 635–641. [Google Scholar] [CrossRef] [PubMed]
- Luo, Y.; Qin, Z.; Hong, Z. Astragaloside IV protects against ischemic brain injury in a murine model of transient focal ischemia. Neurosci. Lett. 2004, 363, 218–223. [Google Scholar] [CrossRef]
- Fu, J.; Wang, Z.H.; Huang, L.F.; Zheng, S.; Wang, D.M.; Chen, S.L.; Zhang, H.T.; Yang, S.H. Review of the botanical characteristics, phytochemistry, and pharmacology of Astragalus mongolica (Huangqi). Phytoth Res. 2015, 28, 1275–1283. [Google Scholar] [CrossRef]
- European Pharmacopoeia 8. 0(S). 2013,1158. Available online: http://online6.edqm.eu/ep800/ (accessed on 25 November 2019).
- The Japanese Pharmacoporia (17th) [S]; Ministry of Health, Labour and Welfare: Tokyo, Japan, 2016.
- Yao, X.L.; Pei, C.Y.; Wang, Z.Q. Determination of calycosin-7-O-β-D-glucoside and formononetin in crude drugs and slices of Astragalus from different habitats and gathering periods. J. Pharm. Anal. 2012, 32, 797–801. [Google Scholar] [CrossRef]
- Yu, K.Z.; Liu, J.; Hong, H.; Guo, B.; Cai, S.; Chen, H. Ecological environment of cultivated Astragali Radix and market specification of prepared slices. Chin. J. Tradit. Chin. Med. 2010, 35, 1112–1115. [Google Scholar]
- Qin, X.M.; Li, Z.Y.; Sun, H.F.; Zhang, L.Z.; Zhou, R.; Feng, Q.J.; Li, A.P. Status and analysis of Astragali radix resource in China. Chin. J. Chin. Mater. Med. 2013, 38, 3234–3238. [Google Scholar]
- Amujoyegbe, B.J.; Opabode, J.T.; Olayinka, A. Effect of organic and inorganic fertilizer on yield and chlorophyll content of maize (Zea mays L.) and sorghum Sorghum bicolour (L.) Moench. Afr. J. Biotechnol. 2007, 6, 1869–1873. [Google Scholar] [CrossRef]
- Xin, C.S.; Dong, H.Z.; Luo, Z.; Tang, W.; Zhang, D.M.; Li, W.J.; Kong, X.Q. Effects of N, P, and K fertilizer application on cotton growing in saline soil in yellow river delta. Acta Agron. Sin 2010, 36, 1698–1706. [Google Scholar] [CrossRef]
- Jeshni, M.G.; Mousavinik, M.; Khammari, I.; Rahimi, M. The changes of yield and essential oil components of German Chamomile (Matricaria recutita L.) under application of phosphorus and zinc fertilizers and drought stress conditions. J. Saudi Soc. Agric. Sci. 2017, 16, 60–65. [Google Scholar] [CrossRef]
- Shen, N.; Cui, Y.; Xu, W.; Zhao, X.; Yang, L. Impact of phosphorus and potassium fertilizers on growth and anthraquinone content in Rheum tanguticum Maxim. Ex Balf. Ind. Crop. Prod. 2017, 107, 312–319. [Google Scholar] [CrossRef]
- Zhou, J.; Kulkarni, M.G.; Huang, L.Q.; Guo, L.P.; Van Staden, J. Effects of temperature, light, nutrients and smoke-water on seed germination and seedling growth of Astragalus mongolica Panax notoginseng and Magnolia officinalis—Highly traded Chinese medicinal plants. Biology 2012, 79, 62–70. [Google Scholar]
- Scherer, H.W.; Danzeisen, L. The effect of increasing nitrogen fertilizer rates on the development of root nodules, symbiotic nitrogen assimilation and growth and yield of broad beans (Vicia faba L.). Z. Fur Pflanzenernahr. Und Bodenkd. 1980, 143, 464–470. [Google Scholar] [CrossRef]
- Emnova, E.E.; Daraban, O.V.; Bizgan, I.V.; Toma, S.I. Effect of phosphoric fertilizer and starter rates of nitrogen fertilizers on the phosphatase activity in the rhizosphere soil and nonlignified soybean roots under drought conditions. Eurasian Soil Sci 2014, 47, 102–109. [Google Scholar] [CrossRef]
- Achakzai, A.K.K.; Habibullah, B.H.S.; Wahid, M.A. Effect of nitrogen fertilizer on the growth of mungbean [Vigna radiata (L.) Wilczek] grown in Quetta. Pak. J. Bot. 2012, 44, 981–987. [Google Scholar]
- Achakzai, A.K.K.; Bangulzai, M.I. Effect of various levels of nitrogen fertilizer on the yield and yield attributes of pea (Pisum sativum L.) cultivars. Pak. J. Bot. 2006, 38, 331–340. [Google Scholar]
- Santachiara, G.; Borrás, L.; Salvagiotti, F.; Gerde, J.A.; Rotundo, J. Relative importance of biological nitrogen fixation and mineral uptake in high yielding soybean cultivars. Plant Soil 2017, 418, 191–203. [Google Scholar] [CrossRef]
- Wu, Y.W.; Li, Q.; Jin, R.; Chen, W.; Liu, X.L.; Kong, F.L.; Ke, Y.P.; Shi, H.C.; Yuan, J.C. Effect of low-nitrogen stress on photosynthesis and chlorophyll fluorescence characteristics of maize cultivars with different low-nitrogen tolerances. J. Integr. Agric. 2019, 6, 1246–1256. [Google Scholar] [CrossRef]
- Jing, Z.Y. Studies of adapted fertilization and seed harvesting time of A. mongolica (Fisch.) Bge.var.mongholicus (Bge.) Hsiao. Master’s Thesis, Gansu Agricultural University, Lanzhou, China, May 2011. [Google Scholar]
- Cheng, M.M. The influence of nitrogen, phosphorus and potassium on growth and secondary metabolism of astragalus. Master’s Thesis, Northwest A&F University, Yanglin, China, May 2016. [Google Scholar]
- Gao, Q.G. The Influence Different Harvest Time and Fertilization on Root Growth Index and the Main Secondary Metabolites Content of Mongolian Astragalus. Master’s Thesis, Northwest A&F University, Yanglin, China, May 2015. [Google Scholar]
- Qi, Y.; Zhu, C.; Chen, J.; Liu, G.; Yang, Z.; Chen, W. Comparative analysis of the quality and health-promoting compounds of two-shaped fruits of wild Lycium ruthenicum Murr. from the Qinghai–Tibet Plateau. Acta Physiol. Plant. 2019, 41, 101. [Google Scholar] [CrossRef]
- Liu, Z.M.; Yang, J.D.; Liu, X.M. Effects of several environmental factors on plant physiology in Qinghai-Xizang Plateau. J. Desert Res 2000, 20, 309–313. [Google Scholar]
- Du, G.J.; Qin, X.M.; Li, Z.Y.; He, P.; Gao, F.R.; Li, R.; Zhou, R. Comparative study on quality of Astragali Radix by two different planting patterns in major producing areas. Chin. Herb. Med. 2013, 44, 3386–3393. [Google Scholar] [CrossRef]
- Hanif, M.; Ahmad, W.; Hussain, S.; Jahanzaib, M.; Shah, A.H. Investigating the effects of electric discharge machining parameters on material removal rate and surface roughness on AISI D2 steel using RSM-GRA integrated approach. Int. J. Adv. Des. Manuf. Technol. 2019, 101, 1255–1265. [Google Scholar] [CrossRef]
- Lin, X.; Cui, S.; Han, Y.; Geng, Z.; Zhou, Y. An improved ISM method based on GRA for hierarchical analyzing the influencing factors of food safety. Food Control 2019, 99, 48–56. [Google Scholar] [CrossRef]
- Achakzai, A.K.K.; Kayani, S.A. Effect of fertilizer, inoculation and sowing time on the chemical composition of field grown soybean seeds. Asian J. Plant Sci. 2002, 6, 618–621. [Google Scholar]
- Bahlu, V.B.; Sadaria, S.G.; Vaneria, B.B.; Kanpara, V.D. Effect of nitrogen, phosphorus and Rhizobium inoculation on yield, quality, N and P uptake and economics of black gram (Vigna mungo). Ind. J. Agron. 1996, 40, 1078. [Google Scholar]
- Wu, F. Allometric Law of Desert Herbs under Different Nutrition Status at Different Growth Stages. Master’s Thesis, Lanzhou University, Lanzhou, China, May 2017. [Google Scholar]
- Zhang, B.; Cadotte, M.W.; Chen, S.; Tan, X.; You, C.; Ren, T.; Jiang, L. Plants alter their vertical root distribution rather than biomass allocation in response to changing precipitation. Ecol. 2019, 100, e02828. [Google Scholar] [CrossRef]
- Dong, J.; Xu, Q.; Gruda, N.; Chu, W.; Li, X.; Duan, Z. Elevated and super-elevated CO2 differ in their interactive effects with nitrogen availability on fruit yield and quality of cucumber. J Sci Food Agric 2018, 98, 4509–4516. [Google Scholar] [CrossRef] [PubMed]
- Qiu, D.Y.; Peng, N.G.; Chen, X.N. Effect of different fertilization amounts on growth, medicinal yield, seed yield and quality of Astragalus mongolica(Fisch.) Bge. Chin. Agric. Sci. Bull 2016, 32, 95–101. [Google Scholar]
- Song, Q.Y. Effects of nitrogen, phosphorus and potassium on the growth and dry matter accumulation of Astragalus mongolica. J. Chin. Mod. Med. 2017, 19, 1157–1161. [Google Scholar] [CrossRef]
- Xin, B. Study on the influence of climate, soil factors and growing years on the quality of Astragalus mongolica. Master’s Thesis, Beijing University of Chinese Medicine, Beijing, China, May 2015. [Google Scholar]
- Li, G.Y. Correlative relationship of active constituents together with ecological factors and effects of drought stress on flavonoids in Astragalus mongolica (fisch.) Bunge. Master’s Thesis, Inner Mongolia University, Huhhot, China, May 2017. [Google Scholar]
- Sivirihauma, C.; Blomme, G.; Ocimati, W.; Vutseme, L.; Sikyolo, I.; Valimuzigha, K.; Turner, D.W. Altitude effect on plantain growth and yield during four production cycles in North Kivu, eastern Democratic Republic of Congo. Acta Hortic. 2016. [Google Scholar] [CrossRef]
- Ma, S.Z.; Chen, Z.G.; Li, Y.; Zhang, D.X.; Ma, J.M. Study on the changes of Astragalus mongolica astragaloside IV in different growing stage in Longxi County. Agric. Arid Reg. Res. 2005, 23, 174–176. [Google Scholar]
- Wang, Y.F. Studies on Preparation Astragaloside IV and Quality Evaluation of Radix Astragalus. Master’s Thesis, Jilin University, Changchun, China, May 2013. [Google Scholar]
Sample Availability: Samples of the compounds of Astragalus mongolica are available from the authors. |




| Time (min) | Mobile Phase A | Mobile Phase B |
|---|---|---|
| 0~5 | 10 | 90 |
| 5~15 | 18 | 82 |
| 15~25 | 20 | 80 |
| 25~32 | 25 | 75 |
| 32~52 | 30 | 70 |
| Treatment | Relative Correlation Degree | Rank |
|---|---|---|
| N0 | 0.2984 | 6 |
| N1 | 0.4775 | 4 |
| N2 | 0.5244 | 3 |
| N3 | 0.4529 | 5 |
| N4 | 0.5684 | 1 |
| N5 | 0.5428 | 2 |
© 2020 by the authors. Licensee MDPI, Basel, Switzerland. This article is an open access article distributed under the terms and conditions of the Creative Commons Attribution (CC BY) license (http://creativecommons.org/licenses/by/4.0/).
Share and Cite
Wang, L.; Yang, L.; Xiong, F.; Nie, X.; Li, C.; Xiao, Y.; Zhou, G. Nitrogen Fertilizer Levels Affect the Growth and Quality Parameters of Astragalus mongolica. Molecules 2020, 25, 381. https://doi.org/10.3390/molecules25020381
Wang L, Yang L, Xiong F, Nie X, Li C, Xiao Y, Zhou G. Nitrogen Fertilizer Levels Affect the Growth and Quality Parameters of Astragalus mongolica. Molecules. 2020; 25(2):381. https://doi.org/10.3390/molecules25020381
Chicago/Turabian StyleWang, Lingling, Lucun Yang, Feng Xiong, Xiuqing Nie, Changbin Li, Yuanming Xiao, and Guoying Zhou. 2020. "Nitrogen Fertilizer Levels Affect the Growth and Quality Parameters of Astragalus mongolica" Molecules 25, no. 2: 381. https://doi.org/10.3390/molecules25020381
APA StyleWang, L., Yang, L., Xiong, F., Nie, X., Li, C., Xiao, Y., & Zhou, G. (2020). Nitrogen Fertilizer Levels Affect the Growth and Quality Parameters of Astragalus mongolica. Molecules, 25(2), 381. https://doi.org/10.3390/molecules25020381

