Ionic Liquid-Microwave-Based Extraction of Biflavonoids from Selaginella sinensis
Abstract
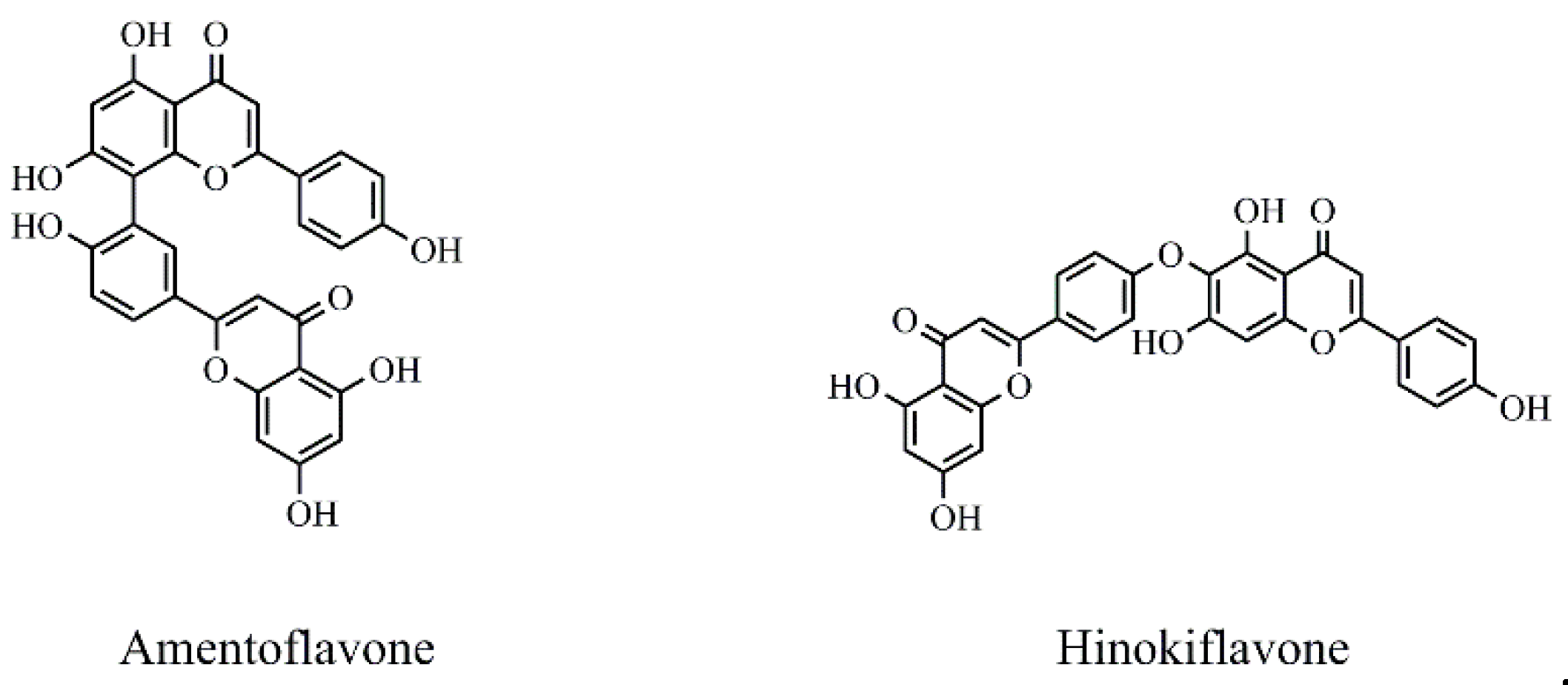
:1. Introduction
2. Results and Discussion
2.1. Screening Different ILs
2.2. Single Factor Experiment
2.2.1. Effect of IL Concentration
2.2.2. Effect of Extracting Temperature
2.2.3. Effect of Solid-Liquid Ratio
2.2.4. Effect of MAE Power
2.2.5. Effect of Extraction Time
2.3. Analysis of Response Surfaces
2.4. Recovery of Two Biflavonoids and IL
2.5. Comparison of Four Extraction Methods
2.6. Feedstock Analysis Before and After Extraction
2.7. Method Validation
2.8. Mechanism of MAE-IL
3. Material and Methods
3.1. Materials
3.2. MAE-ILs Extraction
3.3. Determination of AME and HIN Content
3.4. Experimental Design
3.5. Recovery of Two Biflavonoids and IL
3.6. Conventional Reference Extraction Methods
3.7. Statistical Analysis
4. Conclusions
Author Contributions
Funding
Conflicts of Interest
References
- Gayathri, V.; Asha, V.V.; Subramoniam, A. Preliminary studies on the immunomodulatory and antioxidant properties of Selaginella species. Indian J. Pharm. 2005, 37, 381–385. [Google Scholar]
- Feng, W.-S.; Chen, H.; Zheng, X.-K.; Wang, Y.-Z.; Gao, L.; Li, H.-W. Two new secolignans from Selaginella sinensis (Desv.) Spring. J. Asian Nat. Prod. Res. 2009, 11, 658–662. [Google Scholar] [CrossRef] [PubMed]
- Zhang, L.P.; Yong, M.; Cheng, X.; Liang, D. A new unusual natural pigment from selaginella sinensis and its noticeable physicochemical properties. J. Syn. Org. Chem. 2007, 72, 3921–3924. [Google Scholar] [CrossRef] [PubMed]
- Nguyen, P.H.; Ji, D.; Han, Y.R. Selaginellin and biflavonoids as protein tyrosine phosphatase 1B inhibitors from Selaginella tamariscina and their glucose uptake stimulatory effects. Bioorg. Med. Chem. Lett. 2015, 23, 3730–3737. [Google Scholar] [CrossRef] [PubMed]
- Shan, C.X.; Guo, S.C.; Yu, S.; Shan, M.Q.; Li, S.F.Y.; Chai, C. Simultaneous determination of quercitrin, afzelin, amentoflavone, hinokiflavone in rat plasma by uflc-ms-ms and its application to the pharmacokinetics of platycladus orientalis leaves extract. J. Chromatogr. Sci. 2018, 56, 895–905. [Google Scholar] [PubMed]
- Er, S.; Dikmen, M. Camellia sinensis increased apoptosis on U2OS osteosarcoma cells and wound healing potential on NIH3T3 fibroblast cells. Cytotechnology 2017, 11, 1011–1025. [Google Scholar] [CrossRef]
- Zhen, H.; Zhang, Y.; Fang, Z. Toona sinensis and moschus decoction induced cell cycle arrest in human cervical carcinoma hela cells. Evid-Based Compl. Alt 2014, 2014, 121–276. [Google Scholar] [CrossRef]
- Menon, L.N.; Sindhu, G.; Raghu, K.G.; Rameshkumar, K.B. Chemical Composition and Cytotoxicity of Garcinia rubro- echinata, a Western Ghats Endemic Species. Nat. Prod. Commun. 2018, 13, 1497–1499. [Google Scholar] [CrossRef]
- Heo, J.K.; Nguyen, P.H.; Kim, W.C. Inhibitory effect of Selaginellins from Selaginella tamariscina (Beauv.) Spring against Cytochrome P450 and Uridine 5′-Diphosphoglucuronosyltransferase Isoforms on Human Liver Microsomes. Molecules 2017, 22, 1590–1605. [Google Scholar] [CrossRef]
- Yang, S.; Zhang, Y.; Luo, Y. Hinokiflavone induces apoptosis in melanoma cells through the ROS-mitochondrial apoptotic pathway and impairs cell migration and invasion. Biomed Pharm. 2018, 103, 101–110. [Google Scholar] [CrossRef]
- Coulerie, P. 2012. Biflavonoids of dacrydium balansae with potent inhibitory activity on dengue 2 NS5 polymerase. Planta Med. 2015, 78, 672–677. [Google Scholar] [CrossRef] [PubMed]
- Xu, D.; Zhang, M.; Gao, J. Separation of heterocyclic nitrogen compounds from coal tar fractions via ionic liquids: COSMO-SAC screening and experimental study. Chem. Eng. Commun. 2019, 24, 1–19. [Google Scholar] [CrossRef]
- Bridges, N.J.; Visser, A.E.; Fox, E.B. Potential of nanoparticle-enhanced ionic liquids (NEILs) as advanced heat-transfer fluids. Energy Fuels. 2011, 25, 4862–4864. [Google Scholar] [CrossRef]
- Wang, G.; Yao, S.; Cheng, L.; Luo, Y.; Song, H. Antioxidant and anticancer effection of the volatile oil from various habitats of Selaginella doederleinii Hieron. Technol. Health Care. 2015, 23, 21–27. [Google Scholar] [CrossRef] [PubMed]
- Yan, F.; Xia, S.; Wang, Q.; Ma, P. Predicting the decompositiontemperature of ionic liquids by the quantitative structure–propertyrelationshipmethod using a new topological index. Iran J. Chem. Chem. Eng. 2012, 57, 805–810. [Google Scholar]
- Jiang, Y.M.; Li, D.; Ma, X.K.; Jiang, F.Q.; Wang, G. Ionic liquid-ultrasound-based extraction of biflavonoids from Selaginella helvetica and investigation of their antioxidant activity. Molecules 2018, 12, 1–18. [Google Scholar] [CrossRef] [PubMed]
- Yan, T.; Wang, Y.; Knox, C. On the structure of ionic liquids: comparisons between electronically polarizable and nonpolarizable models I. J. Phys. Chem. B 2010, 114, 6905–6917. [Google Scholar] [CrossRef] [PubMed]
- Li, D.; Qian, Y.; Tian, Y.J.; Wei, W.; Wang, G. Optimization of ionic liquid-assisted extraction of biflavonoids from Selaginella doederleinii and evaluation of its antioxidant and antitumor activity. Molecules 2017, 22, 586–602. [Google Scholar] [CrossRef] [PubMed]
- Sistla, Y.S.; Khanna, A. Validation and prediction of the temperature-dependent henry’s constant for co2–ionic liquid systems using the conductor-like screening model for realistic solvation (Cosmo-Rs). Chem. Eng. J. 2011, 56, 4045–4060. [Google Scholar] [CrossRef]
- Lin, X.S.; Wen, Q.; Huang, Z.L.; Cai, Y.Z.; Halling, P.J.; Yang, Z. Impacts of ionic liquids on enzymatic synthesis of glucose laurate and optimization with superior productivity by response surface methodology. Process Biochem. 2015, 50, 1852–1858. [Google Scholar] [CrossRef]
- Zheng, W.; Huang, C.; Sun, W. Microstructures of the Sulfonic-Acid-Functionalized Ionic Liquid/Sulfuric Acid and Their Interactions: A Perspective from the Isobutane Alkylation. J. Phys. Chem. B 2018, 122, 739–755. [Google Scholar] [CrossRef] [PubMed]
- Dalahmeh, S.; Ahrens, L.; Gros, M. Potential of biochar filters for onsite sewage treatment: Adsorption and biological degradation of pharmaceuticals in laboratory filters with active, inactive and no biofilm. Sci. Total Env. 2017, 612, 192–201. [Google Scholar] [CrossRef] [PubMed]
- He, Z.J.; Wang, X.M.; Yao, T.; Song, H.; Yao, S. Determination and correlation of solubilities of four novel benzothiazolium ionic liquids with 6 PF- in six alcohols. Chin. J. Chem. Eng. 2014, 22, 435–446. [Google Scholar] [CrossRef]
- Ullah, H.; Wilfred, C.D.; Shaharun, M.S. Comparative assessment of various extraction approaches for the isolation of essential oil from polygonum, minus, using ionic liquids. J. King Saud Univ. Sci. 2017, 31, 230–239. [Google Scholar] [CrossRef]
- Zhang, L.; Li, Y.W.; Liu, Q. Fabrication of ionic liquids-functionalized PVA catalytic composite membranes to enhance esterification by pervaporation. J. Membr. Sci. 2019, 584, 268–281. [Google Scholar] [CrossRef]
- Beejmohun, V.; Fliniaux, O.; Éric, G. Microwave-assisted extraction of the main phenolic compounds in flaxseed. Phytochem. Anal. 2010, 18, 275–282. [Google Scholar] [CrossRef] [PubMed]
- Li, D.; Ma, X.K.; Jang, Y.M.; Wang, G. Profiling of the volatile components in selaginellabased on hs-spme and GC-MS. Bangladesh J. Bot. 2018, 47, 727–735. [Google Scholar]
- Lim, H.; Son, K.H.; Chang, H.W. Effects of anti-inflammatory biflavonoid, ginkgetin, on chronic skin inflammation. Biol. Pharm. Bull. 2006, 29, 1046–1056. [Google Scholar] [CrossRef]
- Karoui, R.; Baerdemaeker, J.D. A review of the analytical methods coupled with chemometric tools for the determination of the quality and identity of dairy products. Food Chem. 2007, 102, 621–640. [Google Scholar] [CrossRef]
- Mazzoni, M.; Rusconi, M.; Valsecchi, S. An on-line solid phase extraction-liquid chromatography- tandem mass spectrometry method for the determination of perfluoroalkyl acids in drinking and surface waters. J. Anal. Methods Chem. 2015, 2015, 42–66. [Google Scholar] [CrossRef]
- Dupuy, A.; Athes, V.; Schenk, J.; Jenelten, U.; Souchon, I. Solvent extraction of highly valuable oxygenated terpenes from lemon essential oil using a polypropylene membrane contactor: Potential and limitations. Flavour Frag. 2011, 26, 192–203. [Google Scholar] [CrossRef]
- Zhou, Y.; Wu, D.; Cai, P.; Cheng, G.; Huang, C.; Pan, Y. Special effect of ionic liquids on the extraction of flavonoid glycosides from Chrysanthemum morifolium ramat by microwave assistance. Molecules 2015, 20, 7683–7699. [Google Scholar] [CrossRef] [PubMed]
- Rostamifasih, Z.; Pasalari, H.; Mohammadi, F. Heterogeneous catalytic degradation of methylparaben using persulfate activated by natural magnetite; optimization and modeling by response surface methodology. J. Chem. Technol. Biot. 2019, 94, 1880–1892. [Google Scholar] [CrossRef]
- Li, H.Z.; Zhang, Z.J.; Hou, T.Y. Optimization of ultrasound-assisted hexane extraction of perilla oil using response surface methodology. Ind. Crop Prod. 2015, 76, 18–24. [Google Scholar] [CrossRef]
- Zhao, H.; Xia, S.Q.; Ma, P.S. Use of ionic liquids as ‘green’ solvents for extractions. J. Chem. Technol. Biot. 2005, 80, 1089–1096. [Google Scholar] [CrossRef]
- Liu, X.; Jing, X.; Li, G. Process to acquire essential oil by distillation concatenated liquid-liquid extraction and flavonoids by solid-liquid extraction simultaneously from Helichrysum arenarium (L.) moench inflorescences under ionic liquid-microwave mediated. Sep. Purif. Technol. 2019, 209, 164–174. [Google Scholar] [CrossRef]
- Zhang, Y.; Zhou, Z.; Zou, L.; Chi, R. Imidazolium-based ionic liquids with inorganic anions in the extraction of salidroside and tyrosol from Rhodiola: The role of cations and anions on the extraction mechanism. J. Mol. Liq. 2018, 12, 207–221. [Google Scholar] [CrossRef]
- Roohinejad, S.; Koubaa, M.; Barba, F.J.; Greiner, R.; Orlien, V.; Lebovka, N.I. Negative pressure cavitation extraction: A novel method for extraction of food bioactive Compd. plant materials. Trends Food Sci. Technol. 2016, 52, 98–108. [Google Scholar] [CrossRef]
- Xu, C.; Ling, L.; Zhu, J.; Long, J.; Duan, G.; Yu, Y. Ionic-Liquid-Based Infrared-Assisted Extraction (IL-IRAE) Coupled with HPLC–MS: A Green and Convenient Tool for Determination of TCMs. Chromatography 2017, 80, 335–340. [Google Scholar] [CrossRef]
- Ding, X.; Li, L.; Wang, Y.; Chen, J.; Huang, Y.; Xu, K. Design of guanidinium ionic liquid based microwave-assisted extraction for the efficient extraction of Praeruptorin A from Radix peucedani. J. Sep. Sci. 2014, 37, 3539–3547. [Google Scholar] [CrossRef]
- Mahibalan, S.; Begum, A.S.; Sojitra, R.; Basha, S.A.; Chandavenkata, S.K.; Sudhakar, C. Physico-chemical characterization of spineless safflower petals and HPLC-based process optimization for extracting quercetin-3-o-rutinoside. J. Indian Chem. Soc. 2014, 91, 2179–2187. [Google Scholar]
- Zhao, H.; Jones, C.L.; Baker, G.A. Regenerating cellulose from ionic liquids for an accelerated enzymatic hydrolysis. J. Biotechnol. 2009, 139, 47–54. [Google Scholar] [CrossRef] [PubMed]
- Chen, Y.; Zhu, X.; Yu, Y.; Cai, Y.; Li, Y.; Duan, G. Comparison of infrared-assisted extraction and other techniques for analysis of indigo and indirubin in leaves of isatis indigotica fort. J. Liq. Chromatogr. 2012, 35, 362–374. [Google Scholar] [CrossRef]
- Eibes, G.; Lú-Chau, T.; Feijoo, G. Complete degradation of anthracene by Manganese Peroxidase in organic solvent mixtures. Enzym. Microb. Tech. 2005, 37, 365–372. [Google Scholar] [CrossRef]
Sample Availability: Samples of the compounds amentoflavone (AME) and hinokiflavone (HIN) are available from the authors. |












| Source | Sum of Squares | df | F Value | p-Value | R2 | R2(Adj) | Significant |
|---|---|---|---|---|---|---|---|
| Model | 0.96 | 9 | 157.933 | <0.0001 | 0.9951 | 0.9888 | significant |
| X1X2 | 0.27 | 1 | 405.2008 | <0.0001 | |||
| X1X3 | 0.042 | 1 | 62.23044 | <0.0001 | |||
| X2X3 | 0.013 | 1 | 18.94292 | 0.0033 | |||
| X12 | 0.01 | 1 | 14.79915 | 0.0063 | |||
| X22 | 3.60 × 10−3 | 1 | 5.327696 | 0.0543 | |||
| X32 | 0 | 1 | 0 | 1.0000 | |||
| Residual | 0.27 | 1 | 394.1389 | <0.0001 | |||
| Lack of Fit | 0.18 | 1 | 265.7134 | <0.0001 | |||
| Pure Error | 0.11 | 1 | 162.5243 | <0.0001 | |||
| Cor Total | 4.73 × 10−3 | 7 | |||||
| X1X2 | 2.45 × 10−3 | 3 | 1.432749 | 0.3577 | not significant | ||
| X1X3 | 2.28 × 10−3 | 4 | |||||
| X2X3 | 0.97 | 16 |
| Source | Sum of Squares | df | F Value | p Value | R2 | R2(Adj) | Significant |
|---|---|---|---|---|---|---|---|
| Model | 0.258677 | 9 | 128.1486 | <0.0001 | 0.9940 | 0.9862 | significant |
| X1X2 | 0.0578 | 1 | 257.707 | <0.0001 | |||
| X1X3 | 0.0128 | 1 | 57.07006 | 0.0001 | |||
| X2X3 | 0.00405 | 1 | 18.05732 | 0.0038 | |||
| X12 | 0.0016 | 1 | 7.133758 | 0.0320 | |||
| X22 | 0.0009 | 1 | 4.012739 | 0.0852 | |||
| X32 | 1 × 10−4 | 1 | 0.44586 | 0.5257 | |||
| Residual | 0.081938 | 1 | 365.3282 | <0.0001 | |||
| Lack of Fit | 0.070612 | 1 | 314.8287 | <0.0001 | |||
| Pure Error | 0.012506 | 1 | 55.76064 | 0.0001 | |||
| Cor Total | 0.00157 | 7 | |||||
| X1X2 | 0.00045 | 3 | 0.535714 | 0.6823 | not significant | ||
| X1X3 | 0.00112 | 4 | |||||
| X2X3 | 0.260247 | 16 |
| Ethyl Acetate | Chloroform | n-Butanol | Dichloromethane | Ether | n-Hexane | |
|---|---|---|---|---|---|---|
| AME | 92.17 ± 0.38 | 31.57 ± 0.29 | 69.63 ± 0.56 | 41.31 ± 0.44 | 81.28 ± 0.62 | 12.46 ± 0.37 |
| HIN | 91.53 ± 0.49 | 28.64 ± 0.51 | 63.79 ± 0.36 | 39.28 ± 0.41 | 76.17 ± 0.46 | 13.59 ± 0.31 |
| IL | 95.28 ± 0.37 | 93.36 ± 0.44 | 94.19 ± 0.28 | 94.08 ± 0.35 | 96.21 ± 0.32 | 95.89 ± 0.26 |
| Analyte | Calibration Curve | R2 | LOD (μg/mL) | LOQ (μg/mL) | Intraday Precision (п = 6) a | Interday Precision (п = 6) a | Stability (п = 5) a | Repeatability (n = 6) a | Recovery (n = 6) a |
|---|---|---|---|---|---|---|---|---|---|
| AME | y = 346.35x + 3.4667 | 0.9992 | 0.033 | 0.179 | 0.56 | 1.75 | 0.68 | 1.34 | 1.81 |
| HIN | y = 264.05x + 6.0667 | 0.9996 | 0.046 | 0.278 | 0.73 | 1.39 | 1.21 | 1.72 | 1.88 |
| Ionic liquids | Cations | Anions |
|---|---|---|
| [C4mim]Cl (1-butyl-3-methylimidazolium-chloride) | ![]() | Cl− |
| [C4mim]NO3 (1-butyl-3-methylimidazolium-nitrate) | ![]() | NO3− |
| [C4mim] CH3COO (1-butyl-3-methyli-midazolium-acetate) | ![]() | CH3COO− |
| [C4mim]Br (1-butyl-3-methylimidazolium-bromine) | ![]() | Br− |
| [C2mim]BF4 (1-ethyl-3-methylimidazolium- hexafluorophosphate) | ![]() | BF4− |
| [C4mim]BF4 (1-butyl-3-methylimidazolium-tetrafluoroborate) | ![]() | BF4− |
| [C6mim]BF4 (1-hexyl-3-methylimidazolium-hexafluorophosphate) | ![]() | BF4− |
| [C8mim]BF4 (1-octyl-3-methylimida-zolium-hexafluorophosphate) | ![]() | BF4− |
| [C10mim]BF4 (1-decyl-3-methylimidazolium-hexafluorophosphate) | ![]() | BF4− |
| Level | Factors | ||
|---|---|---|---|
| Extraction Temperature (°C) | IL Concentration (mmol/L) | Solid-Liquid Ratio (g/mL) | |
| −1 | 40 | 0.4 | 1:9 |
| 0 | 50 | 0.6 | 1:11 |
| 1 | 60 | 0.8 | 1:13 |
| Run | X1 (Extraction Temperature/°C) | X2 (Solid-Liquidratio/g/mL) | X3 (IL Concentration/mmol/L) | AME (mg/g) | HIN (mg/g) |
|---|---|---|---|---|---|
| 1 | 60 | 1:11 | 0.4 | 1.37 | 0.50 |
| 2 | 60 | 1:9 | 0.6 | 1.41 | 0.46 |
| 3 | 60 | 1:13 | 0.6 | 1.15 | 0.33 |
| 4 | 50 | 1:11 | 0.6 | 1.88 | 0.72 |
| 5 | 50 | 1:11 | 0.6 | 1.91 | 0.74 |
| 6 | 50 | 1:13 | 0.4 | 1.51 | 0.55 |
| 7 | 40 | 1:11 | 0.8 | 1.68 | 0.63 |
| 8 | 40 | 1:9 | 0.6 | 1.65 | 0.58 |
| 9 | 50 | 1:11 | 0.6 | 1.92 | 0.76 |
| 10 | 50 | 1:13 | 0.8 | 1.44 | 0.50 |
| 11 | 50 | 1:11 | 0.6 | 1.94 | 0.76 |
| 12 | 50 | 1:9 | 0.8 | 1.57 | 0.58 |
| 13 | 50 | 1:9 | 0.4 | 1.64 | 0.61 |
| 14 | 40 | 1:11 | 0.4 | 1.71 | 0.65 |
| 15 | 60 | 1:11 | 0.8 | 1.22 | 0.42 |
| 16 | 50 | 1:11 | 0.6 | 1.89 | 0.74 |
| 17 | 40 | 1:13 | 0.6 | 1.59 | 0.53 |
© 2019 by the authors. Licensee MDPI, Basel, Switzerland. This article is an open access article distributed under the terms and conditions of the Creative Commons Attribution (CC BY) license (http://creativecommons.org/licenses/by/4.0/).
Share and Cite
Li, D.; Sun, C.; Yang, J.; Ma, X.; Jiang, Y.; Qiu, S.; Wang, G. Ionic Liquid-Microwave-Based Extraction of Biflavonoids from Selaginella sinensis. Molecules 2019, 24, 2507. https://doi.org/10.3390/molecules24132507
Li D, Sun C, Yang J, Ma X, Jiang Y, Qiu S, Wang G. Ionic Liquid-Microwave-Based Extraction of Biflavonoids from Selaginella sinensis. Molecules. 2019; 24(13):2507. https://doi.org/10.3390/molecules24132507
Chicago/Turabian StyleLi, Dan, Chengxin Sun, Jiaqiang Yang, Xiankui Ma, Yongmei Jiang, Shaoliang Qiu, and Gang Wang. 2019. "Ionic Liquid-Microwave-Based Extraction of Biflavonoids from Selaginella sinensis" Molecules 24, no. 13: 2507. https://doi.org/10.3390/molecules24132507
APA StyleLi, D., Sun, C., Yang, J., Ma, X., Jiang, Y., Qiu, S., & Wang, G. (2019). Ionic Liquid-Microwave-Based Extraction of Biflavonoids from Selaginella sinensis. Molecules, 24(13), 2507. https://doi.org/10.3390/molecules24132507






