Preparation, In Vivo and In Vitro Release of Polyethylene Glycol Monomethyl Ether-Polymandelic Acid Microspheres Loaded Panax Notoginseng Saponins
Abstract
1. Introduction
2. Results and Discussion
2.1. Characterization Results and Analysis of Copolymer mPEG-PMA
2.2. Determination and Analysis of the Encapsulation Rate and Percentage of Drug Loading in the PNS Microspheres
2.3. In Vitro Analysis of Drug Release from the Microspheres
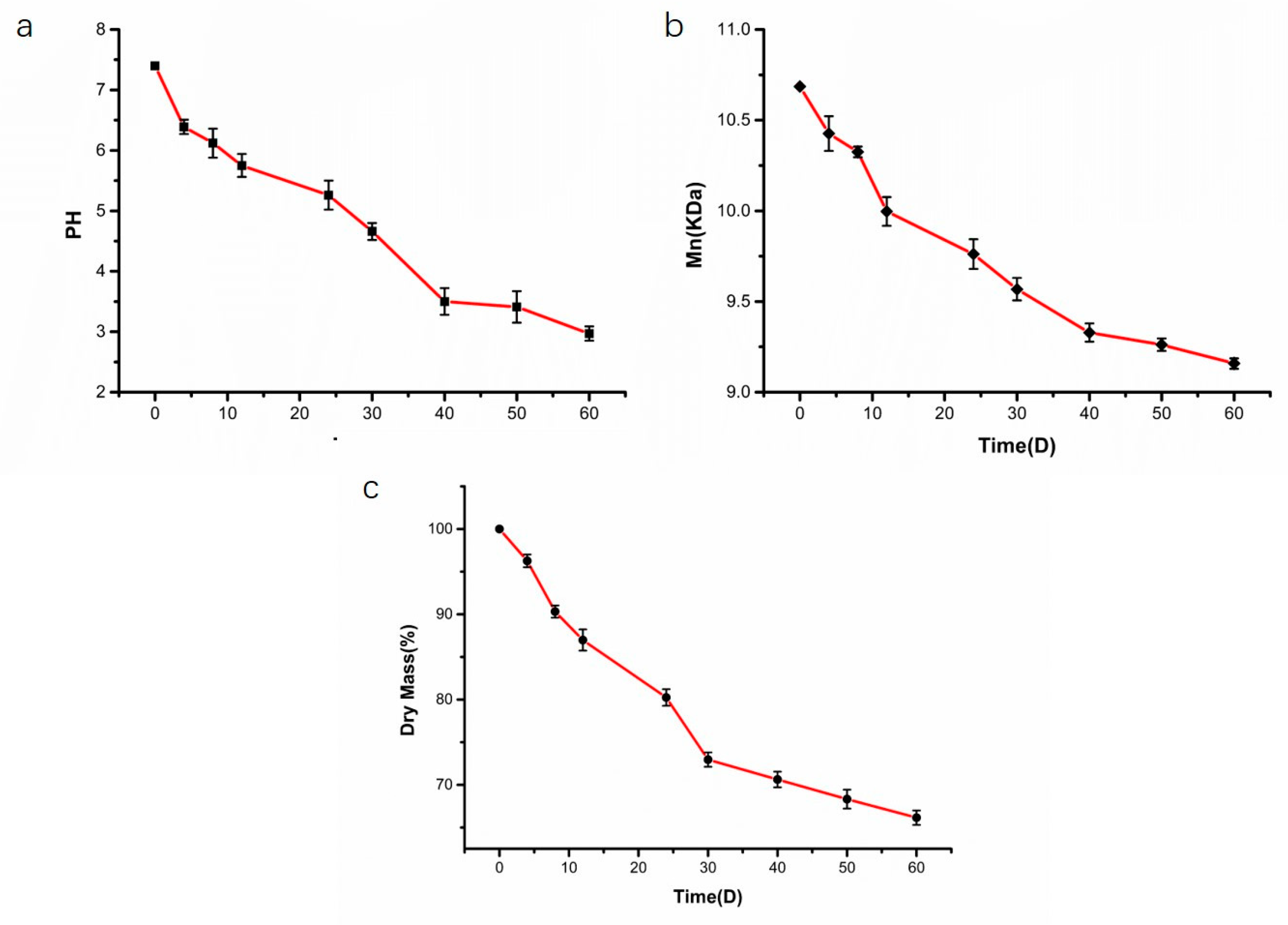
2.4. In Vitro Analysis of Microsphere Degradation
2.5. Analysis of Haemolysis Induced by the Microspheres
2.6. Analysis of Anticoagulant Activity of the Microspheres
2.7. Analysis of the Cytotoxicity of the Microspheres
2.8. Analysis of the Anti-Inflammatory Activity of the Microspheres
2.9. Analysis of the Anti-Tumour Activity of the Microspheres
3. Materials and Methods
3.1. Materials
3.2. Preparation of the mPEG-PMA Copolymer
3.3. Characterization of the mPEG-PMA Copolymer
3.4. Preparation of PNS-Loaded mPEG-PMA Microspheres
3.5. Characterization of the Microspheres
3.6. In Vitro Release and Degradation of the Microspheres
- Q: cumulative release (µg);
- Cn: concentration of the release medium at time t (µg /mL)
- Vt: volume of release medium (mL);
- Vs: volume of solution obtained from the release medium for testing.
3.7. Assessment of the Biocompatibility of the Microspheres
3.8. Assessment of the Anti-Inflammatory Activity
- Atn: At t = n (n = 1, 2, 3, 4, 5) h, the swollen area of the rat toes was observed.
- At0: Initial foot area of rats in each group;
- S1n: At t = n (n = 1, 2, 3, 4, 5) h, the swelling rate of toes in the experimental group was higher than that in the control group.
- S2n: At t = n (n = 1, 2, 3, 4, 5), the toe swelling rate in the control group was higher than that in the control group.
3.9. Assessment of the Anti- Activity
4. Conclusions
Author Contributions
Funding
Acknowledgments
Conflicts of Interest
References
- Tian, Z.; Pang, H.; Du, S.; Lu, Y.; Zhang, L.; Wu, H.; Guo, S.; Wang, S.; Zhang, Q. Effect of Panax notoginseng saponins on the pharmacokinetics of aspirin in rats. J. Chromatogr. B 2017, 1040, 136–143. [Google Scholar] [CrossRef]
- Chen, S.; Liu, J.; Liu, X.; Fu, Y.; Zhang, M.; Lin, Q.; Zhu, J.; Mai, L.; Shan, Z.; Yu, X.; et al. Panax notoginseng saponins inhibit ischemia-induced apoptosis by activating PI3K/Akt pathway in cardiomyocytes. J. Ethnopharmacol. 2011, 137, 263–270. [Google Scholar] [CrossRef]
- Zhang, Y.G.; Zhang, H.G.; Zhang, G.Y.; Fan, J.S.; Li, X.H.; Liu, Y.H.; Li, S.F.; Liang, X.M.; Tang, Z. Panax notoginseng saponins attenuate atherosclerosis in rats by regulating the blood lipid profile and an anti-inflammatory action. Clin. Exp. Pharm. Physiol. 2008, 35, 1238–1244. [Google Scholar] [CrossRef] [PubMed]
- Shen, Q.; Li, J.; Zhang, C.; Wang, P.; Mohammed, A.; Ni, S.; Tang, Z. Panax notoginseng saponins reduce high-risk factors for thrombosis through peroxisome proliferator-activated receptor -γ pathway. Biomed. Pharm. 2017, 96, 1163–1169. [Google Scholar] [CrossRef]
- Wang, P.; Cui, J.; Du, X.; Yang, Q.; Jia, C.; Xiong, M.; Yu, X.; Li, L.; Wang, W.; Chen, Y.; et al. Panax notoginseng saponins (PNS) inhibits breast cancer metastasis. J. Ethnopharmacol 2014, 154, 663–671. [Google Scholar] [CrossRef] [PubMed]
- Ning, K.; Jiang, L.; Yang, Z.P.; Zheng, Q.; Bao, Y.M. 13 Atp-sensitive potassium channels mediate the cardioprotection of panax notoginseng saponins against myocardial ischemia reperfusion injury and inflammatory reaction. J. Investig. Med. 2017, 65, A5. [Google Scholar] [CrossRef]
- Jiang, Q.F.; Huang, M.Y.; Wu, K.Y.; Weng, J.L.; Deng, R.G.; Xu, X.J.; Xu, J.P.; Jiang, T. Intervention Effects of Atorvastatin Combined with Panax notoginseng Saponins on Rats with Atherosclerosis Complicated with Hepatic Injury. Pharmacogn. Mag. 2017, 13, 430–438. [Google Scholar] [CrossRef] [PubMed]
- Dong, J.; Bin, W.; Rongfeng, H.; Su, D.; Chen, J.; Zhou, H.; Lu, W.; Guo, Y.; Fang, W.; Gao, S. A Novel Colon-Specific Osmotic Pump Capsule of Panax notoginseng Saponins (PNS): Formulation, Optimization and In Vitro-In Vivo Evaluation. AAPS PharmSciTech 2018, 19, 2322–2329. [Google Scholar]
- Chen, X.N.; Li, D.Q.; Zhao, M.D.; Yu, G.; Du, S.Y.; Lu, Y.; Bai, J.; Li, P.Y.; Wu, Y.L.; Tian, Z.H.; et al. Pharmacokinetics of Panax notoginseng Saponins in Adhesive and Normal Preparation of Fufang Danshen. Eur. J. Drug Metab. Pharmacokinet. 2017, 43, 215–225. [Google Scholar] [CrossRef] [PubMed]
- Zhou, Q.; Zhang, L.; Yang, T.; Wu, H. Stimuli-responsive polymeric micelles for drug delivery and cancer therapy. Int. J. Nanomed. 2018, 13, 2921–2942. [Google Scholar] [CrossRef]
- Maiti, C.; Parida, S.; Kayal, S.; Maiti, S.; Mandal, M.; Dhara, D. Redox-Responsive Core Cross-Linked Block Copolymer Micelles for Overcoming Multidrug Resistance in Cancer Cells. Acs Appl. Mater. Interfaces 2018, 10, 5318–5330. [Google Scholar] [CrossRef] [PubMed]
- Wang, H.; Williams, G.R.; Wu, J.; Wu, J.; Niu, S.; Xie, X.; Li, S.; Zhu, L.M. Pluronic F127-based micelles for tumor-targeted bufalin delivery. Int. J. Pharm. 2019, 559, 289–298. [Google Scholar] [CrossRef]
- Yoncheva, K.; Tzankova, V.; Yordanov, Y.; Tzankov, B.; Petrov, P.D. Evaluation of antioxidant activity of caffeic acid phenethyl ester loaded block copolymer micelles. Biotechnol. Biotechnol. Equip. 2019, 33. [Google Scholar] [CrossRef]
- Wang, Q.; Li, Y.; Chen, X.; Zhang, Z.; Sun, X. Optimized in vivo performance of acid-liable micelles for the treatment of rheumatoid arthritis by one single injection. Nano Res. 2019, 12, 421–428. [Google Scholar] [CrossRef]
- Chen, Z.; Zhang, Z.; Chen, M.; Xie, S.; Li, X. Synergistic antitumor efficacy of hybrid micelles with mitochondrial targeting and stimuli-responsive drug release behavior. J. Mater. Chem. B. 2019, 7, 1415–1426. [Google Scholar] [CrossRef]
- Jin, Q.; Cai, Y.; Li, S.; Liu, H.Y.; Zhou, X.Y.; Lu, C.Q.; Gao, X.H.; Qian, J.; Zhang, J.; Ju, S.H.; et al. Edaravone-Encapsulated Agonistic Micelles Rescue Ischemic Brain Tissue by Tuning Blood-Brain Barrier Permeability. Theranostics 2017, 7, 884–898. [Google Scholar] [CrossRef]
- Guan, J.; Zhou, Z.Q.; Chen, M.H.; Li, H.Y.; Tong, D.N.; Yang, J.; Yao, J.; Zhang, Z.Y. Folate-conjugated and pH-responsive polymeric micelles for target-cell-specific anticancer drug delivery. Acta Biomater. 2017, 60, 244–255. [Google Scholar] [CrossRef] [PubMed]
- Luong, D.; Kesharwani, P.; Alsaab, H.O.; Sau, S.; Padhye, S.; Sarkar, F.H.; Iyer, A.K. Folic acid conjugated polymeric micelles loaded with a curcumin difluorinated analog for targeting cervical and ovarian cancers. Colloids Surf. B Biointerfaces 2017, 157, 490–502. [Google Scholar] [CrossRef]
- Hong, Z.; Xuying, H. Preparation and in vitro release characteristics of chitosan sustained-release microspheres containing panax notoginseng saponins. J. Guangdong Pharm. Coll. 2006, 22, 479–482. [Google Scholar]
- Wu, J.L.; Chen, H.R.; Chen, B.S.; Zhang, Y.P. Preparation of Panax notoginseng saponins albumin microspheres. Chin. J. Exp. Formulas 2011, 17, 17–20. [Google Scholar]
- Tian, H.; Gou, L.; Hu, G.H.; Liu, F.; Li, F.H.; Cao, L.Q. Study on Preparation of Panax notoginseng saponins beta-cyclodextrin sustained-release microspheres. J. Wenshan Univ. 2010, 23, 139–142. [Google Scholar]
- Dong, Y.; Feng, S.S. Methoxy poly (ethylene glycol)-poly (lactide) (MPEG-PLA) nanoparticles for controlled delivery of anticancer drugs. Biomaterials 2004, 25, 2843–2849. [Google Scholar] [CrossRef]
- Mu, C.F.; Balakrishnan, P.; Cui, F.D.; Yin, Y.M.; Lee, Y.B.; Choi, H.G.; Yong, C.S.; Chuang, S.J.; Shim, C.K.; Kim, D.D. The effects of mixed MPEG-PLA/Pluronic copolymer micelles on the bioavailability and multidrug resistance of docetaxel. Biomaterials 2010, 31, 2371–2379. [Google Scholar] [CrossRef]
- Fei, C. A comparative in vitro evaluation of self-assembled PTX-PLA and PTX-MPEG-PLA nanoparticles. Nanoscale Res. Lett. 2013, 8, 1–8. [Google Scholar]
- Huang, S.; Yu, X.; Yang, L.; Song, F.; Chen, G.; Lv, Z.; Li, T.; Chen, D.; Zhu, W.H.; Yu, A.A.; et al. The efficacy of nimodipine drug delivery using mPEG-PLA micelles and mPEG-PLA/TPGS mixed micelles. Eur. J. Pharm. Sci. 2014, 63, 187–198. [Google Scholar] [CrossRef]
- Li, W.; Li, X.; Gao, Y.; Zhou, Y.; Ma, S.; Zhao, Y.; Li, J.W.; Liu, Y.; Wang, X.L.; Yin, D.D. Inhibition Mechanism of P-glycoprotein Mediated Efflux by mPEG-PLA and Influence of PLA Chain Length on P-glycoprotein Inhibition Activity. Mol. Pharm. 2014, 11, 71–80. [Google Scholar] [CrossRef]
- Yang, C.; Xue, Z.; Liu, Y.; Xiao, J.; Chen, J.; Zhang, L.; Guo, J.W.; Lin, W. Delivery of anticancer drug using pH-sensitive micelles from triblock copolymer MPEG-b-PBAE-b-PLA. Mater. Sci. Eng. C 2018, 84, 254–262. [Google Scholar] [CrossRef]
- Duan, Y.; Zhang, B.; Chu, L.; Tong, H.H.; Liu, W.; Zhai, G. Evaluation in vitro and in vivo of curcumin-loaded mPEG-PLA/TPGS mixed micelles for oral administration. Colloids Surf. B Biointerfaces 2016, 141, 345–354. [Google Scholar] [CrossRef]
- Xie, J.; Zhang, X.; Teng, M.; Yu, B.; Yang, S.; Lee, R.J.; Teng, L. Synthesis, characterization and evaluation of mPEG–SN38 and mPEG–PLA–SN38 micelles for cancer therapy. Int. J. Nanomed. 2016, 11, 1677–1686. [Google Scholar]
- Pan, L.; Zhou, J.; Ju, F.; Zhu, H. Intranasal delivery of α-asarone to the brain with lactoferrin-modified mPEG-PLA nanoparticles prepared by premix membrane emulsification. Drug Deliv. Transl. Res. 2017, 8, 83–96. [Google Scholar] [CrossRef]
- Tan, L.W.; Ma, B.Y.; Zhao, Q.; Zhang, L.; Chen, L.J.; Peng, J.R.; Qian, Z.Y. Toxicity Evaluation and Anti-Tumor Study of Docetaxel Loaded mPEG-Polyester Micelles for Breast Cancer Therapy. J. Biomed. Nanotechnol. 2017, 13, 393–408. [Google Scholar] [CrossRef] [PubMed]
- Che, Z.; Wong, T.N.; Nguyen, N.T. A simple method for the formation of water-in-oil-in-water (W/O/W) double emulsions. Microfluid. Nanofluidics 2017, 21, 8. [Google Scholar] [CrossRef]
- Bao, Y.; Wang, Y.; Li, H.; Yuan, M.; Wang, S.; Chen, H. Characterization, stability and biological activity in vitro of cathelicidin-BF-30 loaded 4-arm star-shaped PEG-PLGA microspheres. Molecules 2018, 23, 497. [Google Scholar] [CrossRef]
- Shen, M.; Li, H.; Yuan, M.; Jiang, L.; Zheng, X.; Zhang, S.; Yuan, M. Preparation of bergenin-Poly (lactic acid) polymers and in vitro controlled release studies. Int. J. Biol. Macromol. 2018, 116, 354–363. [Google Scholar] [CrossRef] [PubMed]
- Boullay, O.T.; Marchal, E.; Martin-Vaca, B.; Fernando, P.; Bourissou, D. An Activated Equivalent of Lactide toward Organocatalytic Ring-Opening Polymerization. J. Am. Chem. Soc. 2006, 128, 16442–16443. [Google Scholar] [CrossRef]
- Bonduelle, C.; Martín-Vaca, B.; Cossío, F.P.; Bourissou, D. Monomer versus Alcohol Activation in the 4-Dimethylaminopyridine-Catalyzed Ring-Opening Polymerization of Lactide and Lactic O-Carboxylic Anhydride. Chem. A Eur. J. 2008, 14, 5304–5312. [Google Scholar] [CrossRef]
- Bonduelle, C.; Martin-Vaca, B.; Bourissou, D. Lipase-Catalyzed Ring-Opening Polymerization of the O-Carboxylic Anhydride Derived from Lactic Acid. Biomacromolecules 2009, 10, 3069–3073. [Google Scholar] [CrossRef]
Sample Availability: Samples of the compounds PNS and mPEG-PMA are available from the authors. |










| Samples | mPEG/Mac-OCA | mPEG | Mn (g/mol) | Mw (g/mol) | PDI |
|---|---|---|---|---|---|
| a | 1:9 | 2000 | 2656 | 2896 | 1.2041 |
| b | 1:9 | 5000 | 5468 | 6024 | 1.1216 |
| c | 1:9 | 10000 | 12596 | 13523 | 1.1106 |
| d | 1:7 | 10000 | 11120 | 11952 | 1.1947 |
| e | 1:5 | 10000 | 10685 | 11458 | 1.1763 |
| Samples | mPEG | mPEG/Mac-OCA | DL% | EE% |
|---|---|---|---|---|
| a | 2000 | 1:9 | 4.12 ± 0.08% | 22.69 ± 1.42% |
| b | 5000 | 1:9 | 6.52 ± 0.12% | 35.82 ± 1.57% |
| c | 10,000 | 1:9 | 8.54 ± 0.16% | 47.25 ± 1.64% |
| d | 10,000 | 1:7 | 7.34 ± 0.13% | 40.36 ± 1.82% |
| e | 10,000 | 1:5 | 6.82 ± 0.14% | 37.48 ± 1.25% |
| Groups | Doses (/kg) | Auricular Swelling | Inhibition Rate (%) |
|---|---|---|---|
| Control group | — | 6.17 ± 0.49 | — |
| ASP | 10 mg | 2.82 ± 0.27 | 54.29 ± 4.4% |
| Panax notoginseng slices | 10 mg | 3.52 ± 0.13 | 45.16 ± 2.65% |
| PNS | 10 mg | 3.45 ± 0.27 | 48.14 ± 4.42% |
| Microspheres | 10 mg | 4.08 ± 0.44 | 33.87 ± 2.06% |
| 20 mg | 3.83 ± 0.18 | 37.93 ± 2.99% | |
| 40 mg | 3.54 ± 0.21 | 42.63 ± 3.09% |
| Groups | Doses (/kg) | Inhibitory Rate of Toe Swelling | ||||
|---|---|---|---|---|---|---|
| 1h | 2h | 3h | 4h | 5h | ||
| ASP | 5 mg | 49.16% | 65.17% | 75.34% | 74.58% | 72.56% |
| PNS | 5 mg | 48.04% | 54.48% | 70.90% | 73.61% | 71.50% |
| Panax notoginseng slices | 5 mg | 22.34% | 45.05% | 56.01% | 58.25% | 60.47% |
| Microspheres | 5 mg | 32.80% | 36.66% | 44.77% | 49.01% | 47.08% |
| 10 mg | 38.23% | 41.91% | 51.70% | 55.09% | 54.40% | |
| 20 mg | 41.01% | 45.55% | 53.11% | 61.20% | 61.06% | |
© 2019 by the authors. Licensee MDPI, Basel, Switzerland. This article is an open access article distributed under the terms and conditions of the Creative Commons Attribution (CC BY) license (http://creativecommons.org/licenses/by/4.0/).
Share and Cite
He, Y.; Li, H.; Zheng, X.; Yuan, M.; Yang, R.; Yuan, M.; Yang, C. Preparation, In Vivo and In Vitro Release of Polyethylene Glycol Monomethyl Ether-Polymandelic Acid Microspheres Loaded Panax Notoginseng Saponins. Molecules 2019, 24, 2024. https://doi.org/10.3390/molecules24102024
He Y, Li H, Zheng X, Yuan M, Yang R, Yuan M, Yang C. Preparation, In Vivo and In Vitro Release of Polyethylene Glycol Monomethyl Ether-Polymandelic Acid Microspheres Loaded Panax Notoginseng Saponins. Molecules. 2019; 24(10):2024. https://doi.org/10.3390/molecules24102024
Chicago/Turabian StyleHe, Yi, Hongli Li, Xiangyu Zheng, Mingwei Yuan, Renyu Yang, Minglong Yuan, and Cui Yang. 2019. "Preparation, In Vivo and In Vitro Release of Polyethylene Glycol Monomethyl Ether-Polymandelic Acid Microspheres Loaded Panax Notoginseng Saponins" Molecules 24, no. 10: 2024. https://doi.org/10.3390/molecules24102024
APA StyleHe, Y., Li, H., Zheng, X., Yuan, M., Yang, R., Yuan, M., & Yang, C. (2019). Preparation, In Vivo and In Vitro Release of Polyethylene Glycol Monomethyl Ether-Polymandelic Acid Microspheres Loaded Panax Notoginseng Saponins. Molecules, 24(10), 2024. https://doi.org/10.3390/molecules24102024

