Gold Catalyzed Multicomponent Reactions beyond A3 Coupling
Abstract
1. Introduction
2. Gold-Catalyzed Multicomponent Reactions
2.1. Multicomponent Synthesis of 3,4-Dihydropyrimidin-2(1H)-ones. A Biginelli Approach
2.2. Multicomponent Synthesis of 1,4-Dihydropyridines (1,4-DHPs)
2.3. Multicomponent Synthesis of Pyridines
2.4. Multicomponent Synthesis of Oxazoles
2.5. Multicomponent Synthesis of β-Alkoxy Ketones
2.6. Multicomponent Oxidative Oxyarylation of Alkenes
2.7. Multicomponent Synthesis of Thiazoloquinolines
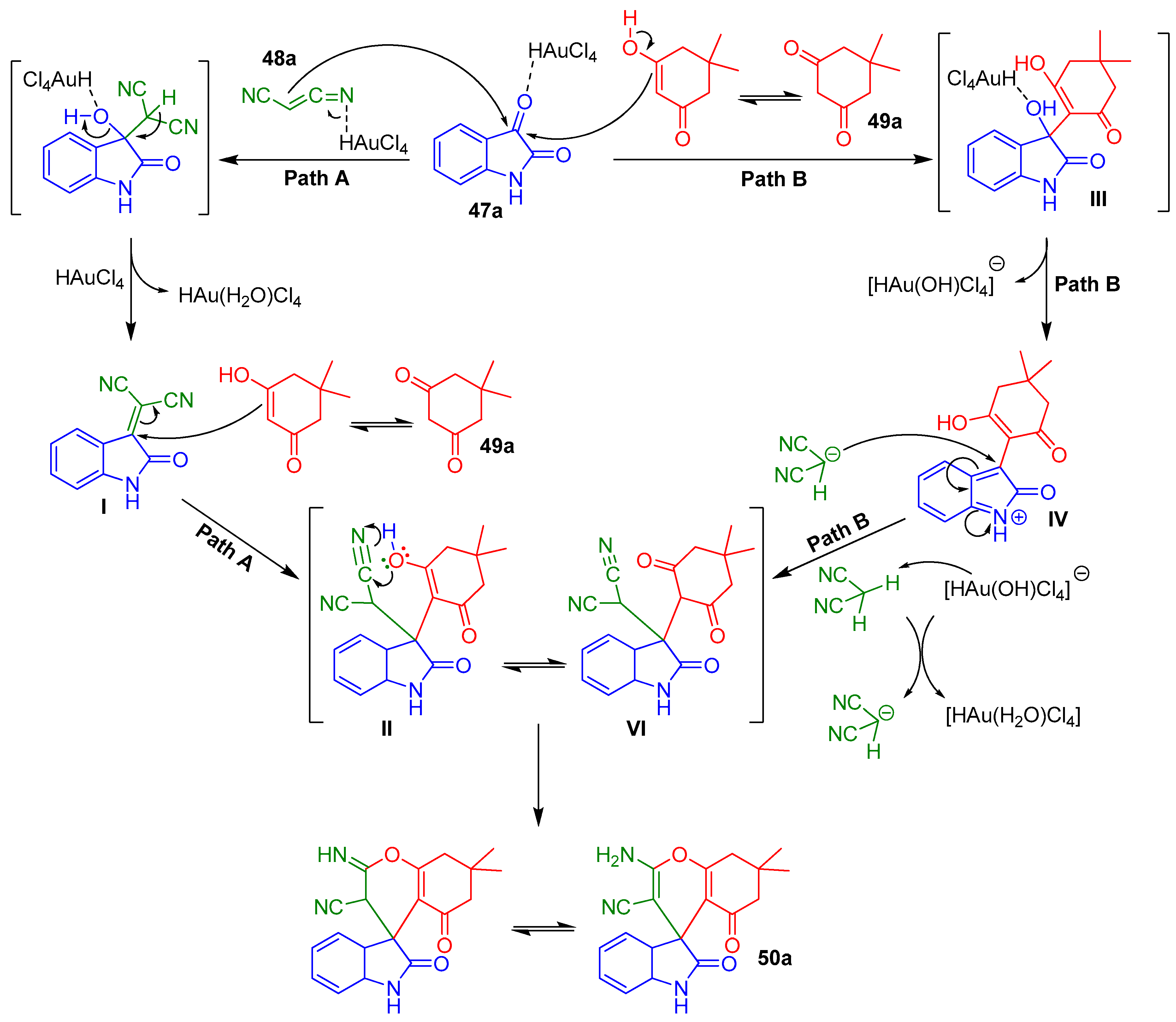
2.8. Multicomponent Synthesis of Spirocycles
2.9. Multicomponent Synthesis of Butenolides
3. Conclusions
Author Contributions
Funding
Conflicts of Interest
References and Note
- Bienaymé, H.; Hulme, C.; Oddon, G.; Schmitt, P. Maximizing synthetic efficiency: Multi-component transformations lead the way. Chem. Eur. J. 2000, 6, 3321–3329. [Google Scholar] [CrossRef]
- Ruijter, E.; Scheffelaar, R.; Orru, R.V.A. Multicomponent reaction design in the quest for molecular complexity and diversity. Angew. Chem. Int. Ed. 2011, 50, 6234–6246. [Google Scholar] [CrossRef] [PubMed]
- Touré, B.B.; Hal, D.G. Natural product synthesis using multicomponent reaction strategies. Chem. Rev. 2009, 109, 4439–4486. [Google Scholar] [CrossRef] [PubMed]
- Zhu, J.; Bienaymé, H. (Eds.) Multicomponent Reactions; Wiley-VCH: Weinheim, Germany, 2005. [Google Scholar]
- Herrera, R.P.; Marqués-López, E. (Eds.) Multicomponent Reactions: Concepts and Applications for Design and Synthesis; John Wiley & Sons: Hoboken, NJ, USA, 2015. [Google Scholar]
- Weber, L. The application of multi-component reactions in drug discovery. Curr. Med. Chem. 2002, 9, 2085–2093. [Google Scholar] [CrossRef] [PubMed]
- Hulme, C.; Gore, V. Multi-component reactions: Emerging chemistry in drug discovery “from xylocain to crixivan”. Curr. Med. Chem. 2003, 10, 51–80. [Google Scholar] [CrossRef] [PubMed]
- Dömling, A. Recent developments in isocyanide based multicomponent reactions in applied chemistry. Chem. Rev. 2006, 106, 17–89. [Google Scholar] [CrossRef] [PubMed]
- Akritopoulou-Zanze, I. Isocyanide-based multicomponent reactions in drug discovery. Curr. Opin. Chem. Biol. 2008, 12, 324–331. [Google Scholar] [CrossRef] [PubMed]
- Dömling, A.; Wang, W.; Wang, K. Chemistry and biology of multicomponent reactions. Chem. Rev. 2012, 112, 3083–3135. [Google Scholar] [CrossRef] [PubMed]
- Hashmi, A.S.K. Homogeneous gold catalysis beyond assumptions and proposals-characterized intermediates. Angew. Chem. Int. Ed. 2010, 49, 5232–5241. [Google Scholar] [CrossRef] [PubMed]
- Rudolph, M.; Hashmi, A.S.K. Heterocycles from gold catalysis. Chem. Commun. 2011, 47, 6536–6544. [Google Scholar] [CrossRef] [PubMed]
- Hashmi, A.S.K. Gold-catalyzed synthesis of N,O-heterocycles. Pure Appl. Chem. 2010, 82, 657–668. [Google Scholar] [CrossRef]
- Shapiro, N.D.; Toste, F.D. A reactivity-driven approach to the discovery and development of gold-catalyzed organic reactions. Synlett 2010, 675–691. [Google Scholar]
- Gorin, D.J.; Toste, F.D. Relativistic effects in homogeneous gold catalysis. Nature 2007, 446, 395–403. [Google Scholar] [CrossRef] [PubMed]
- Rudolph, M.; Hashmi, A.S.K. Gold catalysis in total synthesis. Chem. Soc. Rev. 2008, 37, 1766–1775. [Google Scholar]
- Rudolph, M.; Hashmi, A.S.K. Gold catalysis in total synthesis—An update. Chem. Soc. Rev. 2012, 41, 2448–2462. [Google Scholar] [CrossRef] [PubMed]
- Schmidbaur, H.; Schier, A. Gold(III) compounds for homogeneous catalysis: Preparation, reaction conditions, and scope of application. Arab. J. Sci. Eng. 2012, 37, 1187–1225. [Google Scholar] [CrossRef]
- Hashmi, A.S.K. Gold-catalyzed organic reactions. Chem. Rev. 2007, 107, 3180–3211. [Google Scholar] [CrossRef] [PubMed]
- Krause, N.; Winter, C. Gold-catalyzed nucleophilic cyclization of functionalized allenes: A powerful access to carbo- and heterocycles. Chem. Rev. 2011, 111, 1994–2009. [Google Scholar] [CrossRef] [PubMed]
- Montanel-Pérez, S.; Herrera, R.P.; Laguna, A.; Villacampa, M.D.; Gimeno, M.C. The fluxional amine gold(III) complex as an excellent catalyst and precursor of biologically active acyclic carbenes. Dalton Trans. 2015, 44, 9052–9062. [Google Scholar] [CrossRef] [PubMed]
- Aliaga-Lavrijsen, M.; Herrera, R.P.; Villacampa, M.D.; Gimeno, M.C. Efficient Gold(I) Acyclic Diaminocarbenes for the Synthesis of Propargylamines and Indolizines. ACS Omega 2018, 3, 9805–9813. [Google Scholar] [CrossRef]
- Abbiati, G.; Rossi, E. Silver and gold-catalyzed multicomponent reactions. Beilstein J. Org. Chem. 2014, 10, 481–513. [Google Scholar] [CrossRef] [PubMed]
- Wang, C.; Han, Z.-Y.; Luo, H.-W.; Gong, L.-Z. Highly enantioselective relay catalysis in the three-component reaction for direct construction of structurally complex heterocycles. Org. Lett. 2010, 12, 2266–2269. [Google Scholar] [CrossRef] [PubMed]
- Zeng, X.; Frey, G.D.; Kinjo, R.; Donnadieu, B.; Bertrand, G. Synthesis of a simplified version of stable bulky and rigid cyclic (alkyl)(amino)carbenes, and catalytic activity of the ensuing gold(I) complex in the three-component preparation of 1,2-dihydroquinoline derivatives. J. Am. Chem. Soc. 2009, 131, 8690–8696. [Google Scholar] [CrossRef] [PubMed]
- Tian, G.-Q.; Shi, M. Gold(I)-catalyzed three-component additions of 2-(arylmethylene)cyclopropylcarbinols, terminal arynes, and alcohols: An efficient access to 3-oxabicyclo[3.1.0]hexanes. Org. Lett. 2007, 9, 4917–4920. [Google Scholar] [CrossRef] [PubMed]
- Berrichi, A.; Bachir, R.; Benabdallah, M.; Choukchou-Braham, N. Supported nano gold catalyzed three-component coupling reactions of amines, dichloromethane and terminal alkynes (AHA). Tetrahedron Lett. 2015, 56, 1302–1306. [Google Scholar] [CrossRef]
- Shaabani, A.; Hezarkhani, Z.; Nejad, M.K. AuCu and AgCu bimetallic nanoparticles supported on guanidine-modified reduced graphene oxide nanosheets as catalysts in the reduction of nitroarenes: Tandem synthesis of benzo[b][1,4]diazepine derivatives. RSC Adv. 2016, 6, 30247–30257. [Google Scholar] [CrossRef]
- Ali, F.; Khan, K.M.; Salar, U.; Iqbal, S.; Taha, M.; Ismail, N.H.; Perveen, S.; Wadood, A.; Ghufrane, M.; Ali, B. Dihydropyrimidones: As novel class of β-glucuronidase inhibitors. Bioorg. Med. Chem. 2016, 24, 3624–3635. [Google Scholar] [CrossRef] [PubMed]
- Xuea, H.; Zhao, Y.; Wu, H.; Wang, Z.; Yang, B.; Wei, Y.; Wang, Z.; Tao, L. Multicomponent combinatorial polymerization via the Biginelli reaction. J. Am. Chem. Soc. 2016, 138, 8690–8693. [Google Scholar] [CrossRef] [PubMed]
- Dhumaskar, K.L.; Meena, S.N.; Ghadi, S.C.; Tilve, S.G. Graphite catalyzed solvent free synthesis of dihydropyrimidin-2(1H)-ones/thiones and their antidiabetic activity. Bioorg. Med. Chem. Lett. 2014, 24, 2897–2899. [Google Scholar] [CrossRef] [PubMed]
- Biginelli, P. Aldehyde-urea derivatives of aceto- and oxaloacetic acids. Gazz. Chim. Ital. 1893, 23, 360–413. [Google Scholar]
- Kappe, C.O. Recent advances in the Biginelli dihydropyrimidine synthesis. New tricks from an old dog. Acc. Chem. Res. 2000, 33, 879–888. [Google Scholar] [CrossRef] [PubMed]
- Marqués-López, E.; Herrera, R.P. Biginelli Multicomponent Reactions. In Multicomponent Reactions. Concepts and Applications for Design and Synthesis; Herrera, R.P., Marqués-López, E., Eds.; John Wiley & Sons: Hoboken, NJ, USA, 2015; pp. 306–330. [Google Scholar]
- Nguyen, N.-H.T.; Nguyen, P.-P.T.; Nguyen, T.-D.T.; Tran, M.-N.T.; Huynh, T.-N.T.; Tran, P.H. Au Nanorod: An efficient catalyst for one-pot synthesis of 3,4-dihydropyrimidin-2(1H)-ones via the multicomponent Biginelli reaction. ChemistrySelect 2017, 2, 3932–3936. [Google Scholar] [CrossRef]
- Hantzsch, A. Condensationprodukte aus Aldehydammoniak und ketonartigen Verbindungen. Ber. Dtsch. Chem. Ges. 1881, 14, 1637–1638. [Google Scholar] [CrossRef]
- Ioan, P.; Carosati, E.; Micucci, M.; Cruciani, G.; Broccatelli, F.; Zhorov, B.S.; Chiarini, A.; Budriesi, R. 1,4-Dihydropyridine scaffold in medicinal chemistry, the story so far and perspectives (part 1): Action in ion channels and GPCRs. Curr. Med. Chem. 2011, 18, 4901–4922. [Google Scholar] [CrossRef] [PubMed]
- Carosati, E.; Ioan, P.; Micucci, M.; Broccatelli, F.; Cruciani, G.; Zhorov, B.S.; Chiarini, A.; Budriesi, R. 1,4-Dihydropyridine scaffold in medicinal chemistry, the story so far and perspectives (part 2): Action in other targets and antitargets. Curr. Med. Chem. 2012, 19, 4306–4323. [Google Scholar] [CrossRef] [PubMed]
- Edraki, N.; Mehdipour, A.R.; Khoshneviszadeh, M.; Miri, R. Dihydropyridines: Evaluation of their current and future pharmacological applications. Drug. Discov. Today 2009, 14, 1058–1066. [Google Scholar] [CrossRef] [PubMed]
- Wan, J.-P.; Liu, Y. Recent advances in new multicomponent synthesis of structurally diversified 1,4-dihydropyridines. RSC Adv. 2012, 2, 9763–9777. [Google Scholar] [CrossRef]
- Pham, H.T.; Chataigner, I.; Renaud, J.-L. New approaches to nitrogen containing heterocycles: Enantioselective organocatalyzed synthesis of dihydropyridines (DHP’s), quinolizidine derivatives and dihydropyrimidines (DHPM’s). Curr. Org. Chem. 2012, 16, 1754–1775. [Google Scholar] [CrossRef]
- Auria-Luna, F.; Marqués-López, E.; Mohammadi, S.; Heiran, R.; Herrera, R.P. New Organocatalytic Asymmetric Synthesis of Highly Substituted Chiral 2-Oxospiro-[indole-3,4′-(1′,4′-dihydropyridine)] Derivatives. Molecules 2015, 20, 15807–15826. [Google Scholar] [CrossRef] [PubMed]
- Auria-Luna, F.; Marqués-López, E.; Herrera, R.P. Organocatalytic enantioselective synthesis of 1,4-dihydropyridines. Adv. Synth. Catal. 2017, 359, 2161–2175. [Google Scholar] [CrossRef]
- Auria-Luna, F.; Marqués-López, E.; Gimeno, M.C.; Heiran, R.; Mohammadi, S.; Herrera, R.P. Asymmetric organocatalytic synthesis of substituted chiral 1,4-dihydropyridine derivatives. J. Org. Chem. 2017, 82, 5516–5523. [Google Scholar] [CrossRef] [PubMed]
- Wang, S.; Chen, H.; Zhao, H.; Cao, H.; Li, Y.; Liu, Q. Gold-catalyzed multicomponent reaction: Facile strategy for the synthesis of N-substituted 1,4-dihydropyridines by using activated alkynes, aldehydes, and methanamine. Eur. J. Org. Chem. 2013, 7300–7304. [Google Scholar] [CrossRef]
- Jayasinghe, L.; Jayasooriya, C.-P.; Hara, N.; Fujimoto, Y. A pyridine ring-containing ecdysteroid from Diploclisia glaucescens. Tetrahedron Lett. 2003, 44, 8769–8771. [Google Scholar] [CrossRef]
- Henry, G.D. De novo synthesis of substituted pyridines. Tetrahedron 2004, 60, 6043–6061. [Google Scholar] [CrossRef]
- Kubota, T.; Nishi, T.; Fukushi, E.; Kawabata, J.; Fromont, J.; Kobayashi, J. Nakinadine A, a novel bis-pyridine alkaloid with a β-amino acid moiety from sponge Amphimedon sp. Tetrahedron Lett. 2007, 48, 4983–4985. [Google Scholar] [CrossRef]
- Murata, T.; Shimada, M.; Sakakibara, S.; Yoshino, T.; Kadono, H.; Masuda, T.; Shimazaki, M.; Shintani, T.; Fuchikami, K.; Sakai, K.; et al. Discovery of novel and selective IKK-β serine-threonine protein kinase inhibitors. Part 1. Bioorg. Med. Chem. Lett. 2003, 13, 913–918. [Google Scholar] [CrossRef]
- Deng, J.; Sanchez, T.; Al-Mawsawi, L.Q.; Dayam, R.; Yunes, R.A.; Garofalo, A.; Bolger, M.B.; Neamati, N. Discovery of structurally diverse HIV-1 integrase inhibitors based on a chalcone pharmacophore. Bioorg. Med. Chem. 2007, 15, 4985–5002. [Google Scholar] [CrossRef] [PubMed]
- Pagadala, R.; Maddila, S.; Moodley, V.; van Zyl, W.E.; Jonnalagadda, S.B. An efficient method for the multicomponent synthesis of multisubstituted pyridines, a rapid procedure using Au/MgO as the catalyst. Tetrahedron Lett. 2014, 55, 4006–4010. [Google Scholar] [CrossRef]
- Jin, Z.; Li, Z.; Huang, R. Muscarine, imidazole, oxazole, thiazole, Amaryllidaceae and Sceletium alkaloids. Nat. Prod. Rep. 2002, 19, 454–476. [Google Scholar] [CrossRef] [PubMed]
- Jin, Z. Muscarine, imidaozle, oxazole and thiazole alkaloids. Nat. Prod. Rep. 2003, 20, 584–605. [Google Scholar] [CrossRef] [PubMed]
- Jin, Z. Muscarine, imidaozle, oxazole and thiazole alkaloids. Nat. Prod. Rep. 2005, 22, 196–229. [Google Scholar] [CrossRef] [PubMed]
- Jin, Z. Muscarine, imidaozle, oxazole and thiazole alkaloids. Nat. Prod. Rep. 2006, 23, 464–496. [Google Scholar] [CrossRef] [PubMed]
- Jin, Z. Muscarine, imidaozle, oxazole and thiazole alkaloids. Nat. Prod. Rep. 2009, 26, 382–445. [Google Scholar] [CrossRef] [PubMed]
- Jin, Z. Muscarine, imidaozle, oxazole and thiazole alkaloids. Nat. Prod. Rep. 2011, 28, 1143–1191. [Google Scholar] [CrossRef] [PubMed]
- Jin, Z. Muscarine, imidaozle, oxazole and thiazole alkaloids. Nat. Prod. Rep. 2013, 30, 869–915. [Google Scholar] [CrossRef] [PubMed]
- Jin, Z. Muscarine, imidaozle, oxazole and thiazole alkaloids. Nat. Prod. Rep. 2016, 33, 1268–1317. [Google Scholar] [CrossRef] [PubMed]
- Zhang, H.-Z.; Zhao, Z.-L.; Zhou, C.-H. Recent advance in oxazole-based medicinal chemistry. Eur. J. Med. Chem. 2018, 144, 444–492. [Google Scholar] [CrossRef] [PubMed]
- Wachenfeldt, Hv.; Röse, P.; Paulsen, F.; Loganathan, N.; Strand, D. Catalytic three-component domino reaction for the preparation of trisubstituted oxazoles. Chem. Eur. J. 2013, 19, 7982–7988. [Google Scholar] [CrossRef] [PubMed]
- He, W.; Li, C.; Zhang, L. An efficient [2 + 2 + 1] synthesis of 2,5-disubstituted oxazoles via gold-catalyzed intermolecular alkyne oxidation. J. Am. Chem. Soc. 2011, 133, 8482–8485. [Google Scholar] [CrossRef] [PubMed]
- Rassadin, V.A.; Boyarskiy, V.P.; Kukushkin, V.Y. Facile gold-catalyzed heterocyclization of terminal alkynes and cyanamides leading to substituted 2-amino-1,3-oxazoles. Org. Lett. 2015, 17, 3502–3505. [Google Scholar] [CrossRef] [PubMed]
- Querard, P.; Girard, S.A.; Uhlig, N.; Li, C.-J. Gold-catalyzed tandem reactions of amide–aldehyde–alkyne coupling and cyclization synthesis of 2,4,5-trisubstituted oxazoles. Chem. Sci. 2015, 6, 7332–7335. [Google Scholar] [CrossRef] [PubMed]
- Yang, W.; Zhang, R.; Yi, F.; Cai, M. A heterogeneous gold(I)-catalyzed [2 + 2 + 1] annulation of terminal alkynes, nitriles, and oxygen atoms leading to 2,5-disubstituted oxazoles. J. Org. Chem. 2017, 82, 5204–5211. [Google Scholar] [CrossRef] [PubMed]
- The authors could not exclude the possibility that an acid or gold species originating from thermal decomposition of the catalyst could catalyze the isomerization step. See Ref. [61].
- Von Wachenfeldt, H.; Polukeev, A.V.; Loganathan, N.; Paulsen, F.; Röse, P.; Garreau, M.; Wendt, O.F.; Strand, D. Cyclometallated gold(III) aryl-pyridine complexes as efficient catalysts for three-component synthesis of substituted oxazoles. Dalton Trans. 2015, 44, 5347–5353. [Google Scholar] [CrossRef] [PubMed]
- Denmark, S.E.; Stavanger, R.A. Asymmetric catalysis of aldol reactions with chiral Lewis bases. Acc. Chem. Res. 2000, 33, 432–440. [Google Scholar] [CrossRef] [PubMed]
- Saito, S.; Yamamoto, H. Design of acid-base catalysis for the asymmetric direct aldol reaction. Acc. Chem. Res. 2004, 37, 570–579. [Google Scholar] [CrossRef] [PubMed]
- Paterson, I.; Chen, D.Y.-K.; Coster, M.J.; Aceña, J.L.; Bach, J.; Gibson, K.R.; Keown, L.E.; Oballa, R.M.; Trieselmann, T.; Wallace, D.J.; et al. Stereocontrolled total synthesis of (+)-Altohyrtin A/Spongistatin 1. Angew. Chem. Int. Ed. 2001, 40, 4055–4060. [Google Scholar] [CrossRef]
- Calter, M.A.; Liao, W. First total synthesis of a natural product containing a chiral, β-diketone: Synthesis and stereochemical reassignment of siphonarienedione and siphonarienolone. J. Am. Chem. Soc. 2002, 124, 13127–13129. [Google Scholar] [CrossRef] [PubMed]
- Nicolaou, K.C.; Ritzen, A.; Namoto, K. Recent developments in the chemistry, biology and medicine of the epothilones. Chem. Commun. 2001, 17, 1523–1535. [Google Scholar] [CrossRef]
- Schultz, D.M.; Babij, N.R.; Wolfe, J.P. Intermolecular gold(I)-catalyzed alkyne carboalkoxylation reactions for the multicomponent assembly of β-alkoxy ketones. Adv. Synth. Catal. 2012, 354, 3451–3455. [Google Scholar] [CrossRef]
- Zhang, M.; Wang, Y.; Yang, Y.; Hu, X. An alternative approach to direct aldol reaction based on gold-catalyzed methoxyl transfer. Adv. Synth. Catal. 2012, 354, 981–985. [Google Scholar] [CrossRef]
- Melhado, A.D.; Brenzovich, W.E., Jr.; Lackner, A.D.; Toste, F.D. Gold-catalyzed three-component coupling: Oxidative oxyarylation of alkenes. J. Am. Chem. Soc. 2010, 132, 8885–8887. [Google Scholar] [CrossRef] [PubMed]
- Brenzovich, W.E. Jr.; Benitez, D.; Lackner, A.D.; Shunatona, H.P.; Tkatchouk, E.; Goddard, W.A., III; Toste, F.D. Gold-catalyzed intramolecular aminoarylation of alkenes: C-C bond formation through bimolecular reductive elimination. Angew. Chem. Int. Ed. 2010, 49, 5519–5522. [Google Scholar] [CrossRef] [PubMed]
- Lidström, P.; Tierney, J.; Wathey, B.; Westman, J. Microwave assisted organic synthesis–A review. Tetrahedron 2001, 57, 9225–9283. [Google Scholar] [CrossRef]
- Sadeghzadeh, S.M. Ultrasound-promoted green approach for the synthesis of thiazoloquinolines using gold(III) dipyridine complex immobilized on SBA-15 as nano catalysts at room temperature. RSC Adv. 2015, 5, 68947–68952. [Google Scholar] [CrossRef]
- Nagaraju, A.; Ramulu, B.J.; Shukla, G.; Srivastava, A.; Verma, G.K.; Raghuvanshi, K.; Singh, M.S. Catalyst-free one-pot four-component domino reactions in water–PEG-400: Highly efficient and convergent approach to thiazoloquinoline scaffolds. Green Chem. 2015, 17, 950–958. [Google Scholar] [CrossRef]
- Wu, Y.-J. New indole-containing medicinal compounds. Top. Heterocycl. Chem. 2010, 26, 1–29. [Google Scholar]
- Bronner, S.M.; Im, G.Y.J.; Garg, N.K. Heterocycles in Natural Product Synthesis; Majumdar, K.C., Chattopadhyay, S.K., Eds.; Wiley-VCH, Verlag GmbH & Co., KGaA: Weinheim, Germany, 2011; pp. 221–265. [Google Scholar]
- Kaushik, N.K.; Kaushik, N.; Attri, P.; Kumar, N.; Kim, C.H.; Verma, A.K.; Choi, E.H. Biomedical importance of indoles. Molecules 2013, 18, 6620–6662. [Google Scholar] [CrossRef] [PubMed]
- Zhang, M.-Z.; Chen, Q.; Yang, G.-F. A review on recent developments of indole-containing antiviral agents. Eur. J. Med. Chem. 2015, 89, 421–441. [Google Scholar] [CrossRef] [PubMed]
- Ohshima, T. Enantioselective total syntheses of several bioactive natural products based on the development of practical asymmetric catalysis. Chem. Pharm. Bull. 2004, 52, 1031–1052. [Google Scholar] [CrossRef] [PubMed]
- Sharma, V.; Kumar, P.; Pathak, D. Biological importance of the indole nucleus in recent years: A comprehensive review. J. Heterocyclic. Chem. 2010, 47, 491–502. [Google Scholar] [CrossRef]
- Biswal, S.; Sahoo, U.; Sethy, S.; Kumar, H.K.S.; Banerjee, M. Indole: The molecule of diverse biological activities. Asian J. Pharm. Clin. Res. 2012, 5, 1–6. [Google Scholar]
- Abdel-Rahman, A.H.; Keshk, E.M.; Hanna, M.A.; El-Bady, Sh.M. Synthesis and evaluation of some new spiro indoline-based heterocycles as potentially active antimicrobial agents. Bioorg. Med. Chem. 2004, 12, 2483–2488. [Google Scholar] [CrossRef] [PubMed]
- Williams, R.M.; Cox, R.J. Paraherquamides, Brevianamides, and Asperparalines: Laboratory synthesis and biosynthesis. An interim report. Acc. Chem. Res. 2003, 36, 127–139. [Google Scholar] [CrossRef] [PubMed]
- Cui, C.B.; Kakeya, H.; Okada, G.; Ubukata, M.; Takahashi, I.; Isono, K.; Osada, H. Tryprostatins A and B, novel mammalian cell cycle inhibitors produced by Aspergillus fumigatus. J. Antibiot. 1995, 48, 1382–1384. [Google Scholar] [CrossRef] [PubMed]
- Kang, T.-H.; Matsumoto, K.; Tohda, M.; Murakami, Y.; Takayama, H.; Kitajima, M.; Aimi, N.; Watanabe, H. Pteropodine and isopteropodine positively modulate the function of rat muscarinic M1 and 5-HT2 receptors expressed in Xenopus oocyte. Eur. J. Pharmacol. 2002, 444, 39–45. [Google Scholar] [CrossRef]
- Seaton, J.C.; Marion, L. The structure of rhyncophylline. Can. J. Chem. 1957, 35, 1102–1108. [Google Scholar] [CrossRef]
- Shamma, M.; Shine, R.J.; Kompiš, I.; Sticzay, T.; Morsingh, F.; Poisson, J.; Pousset, J.-L. The stereochemistry of the pentacyclic oxindole alkaloids. J. Am. Chem. Soc. 1967, 89, 1739–1740. [Google Scholar] [CrossRef] [PubMed]
- Bonsignore, L.; Loy, G.; Secci, D.; Calignano, A. Synthesis and pharmacological activity of 2-oxo-(2H) 1-benzopyran-3-carboxamide derivatives. Eur. J. Med. Chem. 1993, 28, 517–520. [Google Scholar] [CrossRef]
- Kidwai, M.; Jahan, A.; Mishra, N.K. Gold(III) chloride (HAuCl4·3H2O) in PEG: A new and efficient catalytic system for the synthesis of functionalized spirochromenes. App. Catal. A Gen. 2013, 425–426, 35–43. [Google Scholar] [CrossRef]
- Liang, B.; Kalidindi, S.; Porco, J.A. Jr.; Stephenson, C.R.J. Three-component synthesis of spirooxindoles. Org. Lett. 2010, 12, 572–575. [Google Scholar] [CrossRef] [PubMed]
- Slaughter, J.C. The naturally occurring furanones: Formation and function from pheromone to food. Biol. Rev. 1999, 74, 259–276. [Google Scholar] [CrossRef]
- Braun, M.; Hohmann, A.; Rahematpura, J.; Bühne, C.; Grimme, S. Synthesis and determination of the absolute configuration of Fugomycin and Desoxyfugomycin: CD spectroscopy and fungicidal activity of butenolides. Chem. Eur. J. 2004, 10, 4584–4593. [Google Scholar] [CrossRef] [PubMed]
- Mansoor, T.A.; Hong, J.; Lee, C.-O.; Sim, C.J.; Im, K.S.; Lee, D.S.; Jung, J.H. New cytotoxic metabolites from a marine sponge Homaxinella sp. J. Nat. Prod. 2004, 67, 721–724. [Google Scholar] [CrossRef] [PubMed]
- Husain, A.; Khan, M.S.Y.; Hasan, S.M.; Alam, M.M. 2-Arylidene-4-(4-phenoxy-phenyl)but-3-en-4-olides: Synthesis, reactions and biological activity. Eur. J. Med. Chem. 2005, 40, 1394–1404. [Google Scholar] [CrossRef] [PubMed]
- Wright, A.D.; de Nys, R.; Angerhofer, C.K.; Pezzuto, J.M.; Gurrath, M. Biological activities and 3D QSAR studies of a series of Delisea pulchra (cf. fimbriata) derived natural products. J. Nat. Prod. 2006, 69, 1180–1187. [Google Scholar] [CrossRef] [PubMed]
- Zhang, Q.; Cheng, M.; Hu, X.; Li, B.-G.; Ji, J.-X. Gold-catalyzed three-component tandem process: An efficient and facile assembly of complex butenolides from alkynes, amines, and glyoxylic acid. J. Am. Chem. Soc. 2010, 132, 7256–7257. [Google Scholar] [CrossRef] [PubMed]
- Genin, E.; Tullec, P.Y.; Antoniotti, S.; Brancour, C.; Genêt, J.-P.; Michelet, V. Room temperature Au(I)-catalyzed exo-selective cycloisomerization of acetylenic acids: an entry to functionalized γ-lactones. J. Am. Chem. Soc. 2006, 128, 3112–3113. [Google Scholar] [CrossRef] [PubMed]
- Harkat, H.; Weibel, J.-M.; Pale, P. A mild access to γ- or δ-alkylidene lactones through gold catalysis. Tetrahedron Lett. 2006, 47, 6273–6276. [Google Scholar] [CrossRef]
- Genin, E.; Toullec, P.Y.; Marie, P.; Antoniotti, S.; Brancour, C.; Genêt, J.-P.; Michelet, V. Gold catalysis in organic synthesis: Efficient intramolecular cyclization of γ-acetylenic carboxylic acids to 5-exo-alkylidene-butyrolactones. ARKIVOC 2007, 2007, 67–78. [Google Scholar]


























| Entry | R | Yield (%) | Entry | R | Yield (%) |
|---|---|---|---|---|---|
| 1 | Me | 79 | 7 | ![]() | 85 |
| 2 | Et | 85 | 8 | ![]() | 88 d.r. 1:1 |
| 3 | iPr | 90 | 9 | Me(CO)- | 62 |
| 4 | (Me)3CCH2 | 91 | 10 | Et(CO)- | 69 |
| 5 | tBu | 33 | 11 | iPr(CO)- | 50 |
| 6 | ![]() | 85 | 12 | Ph(CO)- | 48 |

| Entry | R | Yield (%) | Entry | R | Yield (%) |
|---|---|---|---|---|---|
| 1 | 4-Me | 88 | 7 | 4-MeO2C | 83 |
| 2 | 4-Br | 90 | 8 | 4-H(CO) | 82 |
| 3 | 3-F | 79 | 9 | 3,5-bis-CF3 | 77 |

| Entry | R1 | R2 | Yield (%) | ||
|---|---|---|---|---|---|
| 1 | ![]() | ![]() | 4-Br | 69 | |
| 2 | Me | 2-CO2Me | 78 | ||
| 3 | Me(CO) | 4-Br | 51 | ||
| 4 | ![]() | n = 5 | ![]() | 4-Br | 76 |
| 5 | n = 5 | (Me)3CCH2 | 4-Br | 73 | |
| 6 | n = 9 | (Me)3CCH2 | H | 66 | |
| 7 | n = 5 | Me(CO) | 4-Br | 53 | |
© 2018 by the authors. Licensee MDPI, Basel, Switzerland. This article is an open access article distributed under the terms and conditions of the Creative Commons Attribution (CC BY) license (http://creativecommons.org/licenses/by/4.0/).
Share and Cite
Visbal, R.; Graus, S.; Herrera, R.P.; Gimeno, M.C. Gold Catalyzed Multicomponent Reactions beyond A3 Coupling. Molecules 2018, 23, 2255. https://doi.org/10.3390/molecules23092255
Visbal R, Graus S, Herrera RP, Gimeno MC. Gold Catalyzed Multicomponent Reactions beyond A3 Coupling. Molecules. 2018; 23(9):2255. https://doi.org/10.3390/molecules23092255
Chicago/Turabian StyleVisbal, Renso, Sara Graus, Raquel P. Herrera, and M. Concepción Gimeno. 2018. "Gold Catalyzed Multicomponent Reactions beyond A3 Coupling" Molecules 23, no. 9: 2255. https://doi.org/10.3390/molecules23092255
APA StyleVisbal, R., Graus, S., Herrera, R. P., & Gimeno, M. C. (2018). Gold Catalyzed Multicomponent Reactions beyond A3 Coupling. Molecules, 23(9), 2255. https://doi.org/10.3390/molecules23092255






