Abstract
There is a sustained interest in developing solvents for physically dissolving cellulose, i.e., without covalent bond formation. The use of ionic liquids, ILs, has generated much interest because of their structural versatility that results in efficiency as cellulose solvents. Despite some limitations, imidazole-based ILs have received most of the scientific community’s attention. The objective of the present review is to show the advantages of using quaternary ammonium electrolytes, QAEs, including salts of super bases, as solvents for cellulose dissolution, shaping, and derivatization, and as a result, increase the interest in further investigation of these important solvents. QAEs share with ILs structural versatility; many are liquids at room temperature or are soluble in water and molecular solvents (MSs), in particular dimethyl sulfoxide. In this review we first give a historical background on the use of QAEs in cellulose chemistry, and then discuss the common, relatively simple strategies for their synthesis. We discuss the mechanism of cellulose dissolution by QAEs, neat or as solutions in MSs and water, with emphasis on the relevance to cellulose dissolution efficiency of the charge and structure of the cation and. We then discuss the use of cellulose solutions in these solvents for its derivatization under homogeneous and heterogeneous conditions. The products of interest are cellulose esters and ethers; our emphasis is on the role of solvent and possible side reactions. The final part is concerned with the use of cellulose dopes in these solvents for its shaping as fibers, a field with potential commercial application.
1. Introduction
The demand for cellulosic fibers—natural and man-made—is increasing continually because of world population growth. Cotton production, however will not meet this increased demand. Consequently, a rational strategy to close this “cellulosic fiber gap” is to increase the production of man-made cellulosic fibers, following the principles of green chemistry [1,2,3]. Industrially, fibers, e.g., from wood cellulose, are obtained from Viscose (cellulose xanthate in alkali solution) by extrusion in acid bath to produce the fiber Rayon [4,5,6], or by regeneration of cellulose solutions in N-methylmorpholine N-oxide (NMMO) hydrate in an aqueous bath to produce the fiber Lyocell [7,8,9,10,11]. The limitations of both solvents and processes, coupled with the increased emphasis on sustainability have prompted the search for alternative greener substitutes. This necessity is the impetus for the continued interest in developing new cellulose solvents, despite the existence of several ones in commercial use [12,13,14,15,16]. Imidazole-based ILs have gained importance in the areas of cellulose dissolution, processing and derivatization, resulting in a large number of publications, including review articles [17,18,19,20,21,22,23,24,25,26,27,28,29,30,31,32,33,34,35,36,37,38,39,40,41,42,43,44,45,46]. Some quaternary ammonium electrolytes (QAEs) have melting points below 100 °C and can, therefore, be classified as a subclass of ionic liquids (ILs). In the present review, we cover QAEs that do not bear heterocyclic rings, e.g., tetraalkylammonium halides. We also discuss deep eutectic solvents (DES), and a special class of heterocyclic derivatives, namely, the salts obtained by neutralization of heterocyclic superbases. After giving a short account on their history, we dwell on recent advances in their use as solvents for cellulose dissolution, derivatization, and shaping.
The use of aqueous solutions of cellulose in urea, urethane, guanidine and their derivatives was already reported in 1924 [47]. Alkali-containing [48,49] and alkali-free aqueous quaternary ammonium hydroxides were reported as cellulose solvents as well (Figure 1, top) [50]. Benzyl-substituted quaternary ammonium hydroxides were found to be more efficient cellulose solvents [51,52], leading to the discovery of the well-known electrolytes Triton B and Triton F (Figure 1, bottom) [53,54]. Nevertheless, these cellulose solvents did not have technical importance, mainly due to their high water content, and use of expensive silver oxide in their synthesis (for halide/hydroxide anion exchange).
Figure 1.
Top: from Lilienfeld’s 1924 patented electrolytes for cellulose dissolution [48,49]; bottom: the first commercially available ammonium hydroxides for cellulose dissolution, known as Triton B (left) and Triton F (right) [51].
The inorganic compound ammonium thiocyanate in combination with ammonia was also reported as a cellulose solvent quite early [55]. It was shown that several freeze-thawing cycles enhanced cellulose dissolution [56,57]. Because water and ammonia are not suitable for obtaining some cellulose derivatives, and inorganic electrolytes have limited solubility in organic solvents, organic ammonium salts became the logical candidates to focus on. Hence, in 1986 the binary mixture of tetraethylammonium chloride (N2222Cl) in DMSO was reported to dissolve up to 12 wt% cellulose at 100 °C [58]. Pyridine and DMF were suitable MSs as well. This solvent system (QAE/MS) is the organic counterpart of the solvent LiCl/DMAc that was introduced a few years earlier [59].
Introduction of imidazole-based ILs as cellulose solvents [17], increased noticeably the effort to develop new solvents for cellulose. The structural versatility of ILs is shared by simple QAEs that are used alone, or as solutions in water and MSs. In the present review, we focus on QAE-based cellulose solvents; these have received less attention than ILs. The QAE systems that we address include quaternary ammonium carboxylates, halides, hydroxides, and phosphates. We also include salts of superbases, e.g., tetramethylguanidine (TMG) and 1,5-diazabicyclo[[4.3.0]non-5-ene (DBN) although for these salts the distinction between being ILs or QAEs is rather operational (Figure 2). Where required, we show results of ILs because both classes of compounds share common ground, e.g., anion-basicity dependent cellulose dissolution. We hope that this account will increase the interest in the use of these versatile and efficient cellulose solvent systems.
Figure 2.
The general molecular structures of the electrolytes reviewed: ammonium, morpholinium, amindinium and guanidinium cations and the most commonly used anions.
2. General Synthesis Strategies for Quaternary Ammonium Electrolytes (QAEs)
QAEs are easily available via quaternization of amines; many of them are available commercially, or can be obtained by Hofmann degradation of amides [60]. The simplest derivatives are the ammonium salts obtained by neutralizing the amine, usually with a mineral acid. However, attempts to dissolve cellulose in these molten electrolytes (e.g., trimethyl and triethylammonium chloride) were unsuccessful, and led to fast darkening of the cellulose solutions [61]. The association between the ammonium cation and the chloride anion is probably more efficient than the interaction of cellulose hydroxyl groups with the chloride. The presence of solvated protons in the medium leads to acid-catalyzed cellulose degradation, hence solution darkening.
The deleterious effect on cellulose integrity of the solvated protons is eliminated by quaternization of amines. Many N,N,N-dimethylalkylamines are commercially available or can be easily prepared, e.g., via exhaustive alkylation at the nitrogen and reduction of the intermediate imine (Eschweiler-Clarke reaction) [62,63,64]. The subsequent quaternization can be carried out by the Menshutkin reaction (Scheme 1, path I, if R2 = alkyl, but in principle R1 and R2 can be any alkyl, alkenyl or benzyl group) [65,66]. In this reaction, the molecular structures of the alkyl halides and amines influence the reaction yield as well as its mechanism. For example, for SN2 reactions in aprotic solvents the order of reactivity of the amines is: primary > secondary > tertiary; whereas that of the halides is RI > RBr > RCl. Energetic conditions (high temperature and/or pressure) are required for the reaction of sterically hindered amines (e.g., tribenzylamine) with alkyl halides; tertiary halides react with amines essentially by the SN1 mechanism [67]. The Menshutkin reaction produces the so-called first generation QAEs. Second generation QAEs are very important because of the relevance of basicity of the anion to cellulose dissolution [68,69]. Exchange of the halide anions with, e.g., carboxylates is carried out with anion exchange resins (usually macroporous), via the sequence shown in path II of Scheme 1 (halide → hydroxide → carboxylate). We found that direct anion exchange (halide → carboxylate) is complete, e.g., for chloride → acetate [70]. For efficient methylation or ethylation of amines the use of alkyl carbonates is possible (Scheme 1, path III) [71]; the resulting carbonate is converted into other anions by reaction with the appropriate acid. Alkyl phosphates, and alkyl sulfates are also used for amine alkylation at the nitrogen [72].
Scheme 1.
Synthesis of quaternary ammonium electrolytes by quaternization of tertiary amines with organic halides (I, II) or dialkyl carbonates (III).
Because neat (molten) QAEs are also used to dissolve cellulose [61,73] a comment on the effect of the anion and cation on their melting points is in order. As shown for ILs, quaternary ammonium halides are liquids at room temperature if the Gibbs free energy of fusion is negative, resulting in the liquid state being thermodynamically favored [74]. As a rule of thumb, the melting points decrease with increasing cation size. In addition, asymmetric substitution or branched alkyl chains lead to lower melting points. It is suggested that one or two longer chains, e.g. n-octyl, with two or three shorter chains, e.g. n-butyl should be beneficial for lowering the melting point of the QAE [75]. Considering the same cation with halide anions, the melting points decrease in the order Cl > Br > I [76]; the melting points of the carboxylates are usually lower than the corresponding halides. Apparently, systematic variation of melting points along a homologous series of electrolytes does not always work. They can show scatter depending on the combination of cations and anions [77].
3. Mechanism of Cellulose Dissolution by Neat QAEs, Their Solutions in Water and Molecular Solvents
3.1. Solvents for Dissolution, Regeneration and Derivatization of Cellulose
It is known that the (physical) dissolution of cellulose in any solvent relies on the disruption of the inter- and intramolecular hydrogen bonding between the hydroxyl groups of the anhydroglucose unit (AGU), as well as the solvophobic interactions present [78,79,80]. This is essentially achieved by a combination of cooperative action of the electrolyte solvated ion pair on bonding in cellulose, sufficient basicity of the anion and adequate volume of the electrolyte/solvent complex [81]. Spectroscopic techniques, in particular NMR [82,83,84,85] and IR spectroscopy [85,86], rheology [87,88] and theoretical calculations [83,89,90] shed light on the mechanism of cellulose dissolution and the relationship between the solvent efficiency, the nature of the MS and ions of the QAE. We address these aspects below by examining separately the effects of anion and cation.
3.1.1. Basicity and volume of the anion
Regarding anions, disruption of hydrogen bonds in cellulose increases as a function of increasing the charge density (or hardness), and decreasing the volume of anion. As a result, the biopolymer dissolution capacity of QAE solutions is expected to be related to the Hofmeister series [91]. The interactions of 2,2-bis(hydroxymethyl)-1,3-propanediol (a model for cellulose) with a series of tetra-(n-butyl)ammonium salts (TBAX)/DMSO (X = anion) was studied using IR spectroscopy [85]. Note that hydrogen bonding between TBAX and the hydroxyl group of the polyol (TBAX···HO-polyol) results in a red shift of the frequency of the O-H stretching vibration (ῦ(νO-H)) whose magnitude increases as a function of increasing the hydrogen bond strength. Relative to ῦ(νO-H) of the parent polyol in DMSO, the only peak that showed red shift is that in presence of tetra-(n-butyl)ammonium fluoride (TBAF). For the TBAX series the values of ῦ(νO-H) were in the order X = F− < Cl− < Br− < I− . That is, the interactions X−···HO-polyol increased as a function of increasing the charge density and decreasing the volume of the halide ion. A similar trend was observed for the same polyol in solutions of the ILs 1-ethyl-3-methylimidazolium X (EtMeImX, X = halide) in DMSO [89]. The values of Δῦ(νO-H) (= ῦ(νO-H) in DMSO - ῦ(νO-H) in QAE/DMSO) obeyed the Hofmeister series, as shown by the following order: F− > CH3CO2− > (C2H5)2PO4− > Cl− > SCN− > Br− > I− > C2H5SO4−. These results bear on cellulose dissolution in QAEs/DMSO; the biopolymer is easily soluble in TBAF·3H2O/DMSO but not in other TBAX/DMSO with less basic anions (X = Cl−, Br−, I−) [86].
The extensive use of TBAF·3H2O/DMSO as solvent for cellulose dissolution and derivatization merits additional comments. At room temperature, anhydrous TBAF is the only R4NX that is liquid; it shares with ILs the property of negative energy of fusion [74]. However, obtaining anhydrous TBAF by dehydration of TBAF·3H2O without extensive Hofmann degradation is laborious [86]; its preparation in situ from the reaction between tetra-(n-butyl)ammonium cyanide (TBACN) and C6F6 is expensive, [92] and the resulting TBAF/DMSO is relatively unstable [93]. Consequently, the use of commercially available, solid (m.p. 58–60 °C) TBAF·3H2O/DMSO is convenient. At first glance, the efficiency of TBAF·3H2O/DMSO as solvent for cellulose may seem surprising because the free energies of transfer of the (F−) from water to virtually all dipolar aprotic solvents are positive, i.e., unfavorable due to the strong solvation of this anion by hydrogen bonding to water [94]. However TBAF·3H2O is still a reasonably powerful nucleophile and base, although both properties are dramatically attenuated as a function of increasing the water content of this QAE [95,96]. The potential problem with the use of this electrolyte, however, is the effect of its (uncontrolled) water content on the results, e.g., the reproducibility of the degree of substitution (DS) when different electrolyte batches are employed, or when the same electrolyte sample is employed over a relatively long period. In contact with air, solution of TBAF·3H2O/DMSO absorbs water continuously for hours [97]. Additionally, the water of hydration present in this QAE leads to hydrolysis of the acylating agent. This undesirable side reaction is general-base catalyzed by (F−). The deleterious effect of this water absorption was neatly shown by measuring the dependence of the chemical shifts and bandwidths of the water protons and (F−) as a function of the water content in cellulose TBAF/DMSO solutions. The results suggest the formation of strong Cel-OH···F− bonds, leading to the breakdown of the cellulose-cellulose hydrogen bonds, hence biopolymer dissolution. The latter is favored by electrostatic repulsion between the negatively charged Cel-OH···F− chains [82]. Each negative chain is most certainly surrounded by a sheath of the TBA+ cation. The synergism between electrostatic repulsion of Cel-OH···anion, and steric repulsion of Cel-OH···anion/cation complexes appear to prevent association between cellulose chains and favor a molecularly dissolved state as shown for QAEs [83], and, e.g., for the ILs BuMeIm [26,84,98,99,100,101,102,103] or EtMeIm cation [104,105,106,107,108].
Small concentrations of water strongly solvate the fluoride ions, inhibiting them from association with the cellulose chains. This allows the reformation of the cellulose-cellulose hydrogen bonds, which leads to highly viscous solutions or gel formation. These changes in the physical state of the solution are schematically depicted in Figure 3. Part (a) of Figure 3 shows the cellulose in dry TBAF/DMSO solution; part (b) shows preferential solvation of (F−) by the added water and its removal from cellulose. This lead, finally, to solution gelation due to reestablishing strong hydrogen bonding and hydrophobic interactions between the cellulose chains (c) [82]. Quaternary ammonium fluorides of much less water content were prepared by a simple protocol, e.g., NAl4F·H2O/DMSO and N11Bz2F·0.1 H2O/DMSO (Al and Bz refer to allyl and benzyl group, respectively). Both QAE·xH2O/ DMSO dissolve cellulose and the biopolymer was efficiently acylated in these solvents (see Section 4.3 Ammonium fluorides) [109,110]. Interestingly, tolerance for water as a non-solvent for cellulose dissolution in tetra-(n-butyl)ammonium acetate (TBAAcO)/DMSO is twice as high as tolerance for ethanol (calculated on a molar basis). Based on theoretical calculations, it was suggested that the higher tolerance to water is due to its more efficient hydrogen bond interactions that improve solvation of cellulose and, thereby, marginally favor dissolution [111]. The higher tolerance toward water may be traced to the fact that water-DMSO interactions are stronger than water-water interactions [112,113]. The influence of water and other non-solvents in imidazole-based IL solutions on the cellulose solubility is reported as well, e.g. in [102,114] but is outside the scope of the present review.
Figure 3.
NMR-based illustration of the mechanism of water-induced gelation of cellulose dissolved in TBAF/DMSO. The symbols are: red dots = water molecules, green squares = F− (associated with cellulose in (a), solvated by water in (b), partially exposed cellulose chains, which leads to reaggregation (c), black lines = cellulose chains; yellow circles = hydrogen bond regions between cellulose chains; reprinted with permission from [82], Copyright (2009) American Chemical Society.
In summary, the hygroscopic nature of solutions of these QAEs/MS should never be underestimated because uncontrolled water contents have deleterious effects on their efficiency as cellulose solvents, and the economy of the process due to hydrolysis of the acylating agent. Additionally, effort should be made to control the purity, including water contents of these solutions as stressed repeatedly for ILs and QAEs [17,115,116,117,118]. In case of QAEs, the presence of small concentrations of KBr in the commercial aqueous tetra-(n-butyl)ammonium hydroxide (TBAOH) and TBAAcO/LiCl/DMSO decreased the solubility of cellulose, presumably due to the formation of (K+)-mediated complexes between cellulose chains. Addition of (K+)-complexing crown ether 18-crown-6 resulted in clear biopolymer solutions in both cases and increased the concentration of dissolved cellulose, although this represents an expensive solution to the QAE purity problem (see also Section 4.2 Ammonium carboxylates) [119,120].
The carboxylate group is also a hard base. Therefore, QAEs bearing the carboxylate moiety were successfully tested as solvents for cellulose, with emphasis on TBAAcO/DMSO. Indeed, cellulose fibers from this solvent were obtained without noticeable degradation or (slow) formation of cellulose acetate during dissolution (see Section 4.2 Ammonium carboxylates) [121]. The latter (acetylation) side reaction occurs during acylation of cellulose in pure EtMeImAcO [122].
Different types of cellulose (MCC, cotton, regenerated cellulose) dissolve in TBAAcO/DMSO at 25 °C [85]. The dependence of wt% dissolved cellulose and dissolution time on the electrolyte mass ratio WTBAAcO [mass of TBAAcO/(mass of TBAAcO + mass of DMSO)] was studied. All results showed increases in cellulose dissolution until WTBAAcO = 0.15, then a decrease at higher WTBAAcO. The dependence of solvent efficiency on QAE is schematically represented in Figure 4, where the degree of dissociation of the QAE is larger at WTBAAcO < 0.15 than at WTBAAcO > 0.15 because of the association of QAE ions with cellulose. The authors corroborated this conclusion by the following pieces of evidence: (i) Dependence of solution conductivity (cellulose/TBAAcO/DMSO) on WTBAAcO that showed a rapid increase until WTBAAcO ~ 0.15 followed by subsequent slower increase; (ii) dependence of 1H and 13C-NMR chemical shifts of the cation and anion on WTBAAcO in DMSO-d6, with a “inflection point” at WTBAAcO ~ 0.15; (iii) dependence of the 1H- and 13C-NMR chemical shifts of the cation and anion of TBAAcO on [cellobiose], showing large changes until WTBAAcO ~ 0.15, followed by small changes at WTBAAcO > 0.15; (iv) dependence of ῦ(νS=O) of DMSO on [cellobiose] (decrease in ῦ(νS=O) as a function of increasing [cellobiose]. Thus, the balance between ion concentration and mobility is crucial to cellulose dissolution. This balance is largely controlled by hydrogen bonding and solvophobic interactions. The favorable effect of DMSO is due to viscosity reduction and stabilization of the cellulose-QAE complex [85].
Figure 4.
Schematic representation of the association of cellulose with the ions of TBAAcO as a function of the mass ratio WTBAAcO of the QAE with DMSO; reprinted with permission from [85], Copyright (2016) American Chemical Society.
Similar dependence of viscosity and conductivity of cellulose/IL/MS mixtures and the wt% of maximum dissolved cellulose on IL concentration were also observed for AlMeImCl in DMSO [87]. The rheological properties of cellulose/IL/MS mixtures (mostly DMSO as MS) were studied extensively and data regarding viscosity of these solutions are readily available in the literature [123,124,125,126,127,128,129,130,131,132,133,134,135]. The comparison and evaluation of the results is not straightforward because there is no common experimental “protocol” for cellulose dissolution (cellulose type, temperature, IL/MS ratio). The effect of MS on the viscosity of cellulose/IL solution have been reviewed as well [136]. It is noteworthy that the viscosity of QAE/MS solution is important but not a controlling factor because at comparable concentration, the same IL is more efficient in DMSO than in (less viscous) DMAc [88].
Dissolution of cellulose in TBAAcO/DMSO was determined at 60 °C by microscopy and turbidity measurements. The results for three QAEs suggested maximum solubilization at molar ratio QAE/AGU of unity. This conclusion was further corroborated from NMR data. This included 1H-NMR chemical shifts of the anion and cation of QAE; diffusion coefficients of the ions of QAE and the MS as a function of the molar ratio QAE/AGU, and the results of molecular dynamics (MD) simulations of the system. The latter calculations indicated binding of the acetate ion to more than one hydroxyl group of the AGU. The calculated contact time between the acetate ion and cellulose is at least an order of magnitude longer than the contact time between any other pair of species in the system (cation-cellulose, cation-DMSO, DMSO-DMSO), a clear indication of the strength of anion···HO-Cel hydrogen bonding [83]. The simultaneous binding of the anion to more than one hydroxyl group in the same AGU was also advanced to explain the efficiency as cellulose solvents of R4NF·xH2O/DMSO and AlMeImCl/DMSO. For both solvents, the halide ion binds simultaneously to C2-OH and C3-OH of the AGU [88,110].
We now address the effects of the volume and charge density of the cation because these variables affect the association anion-cation of the QAE and its (solvophobic) interactions with cellulose, thus bear on its efficiency of as solvent.
3.1.2. Acidity and Volume of the Cation
The quaternary ammonium ions are soft acids [137]. Their volumes are important in determining anion-cation interactions whose strength are determinant to cellulose dissolution, as also shown for IL cations [101,138,139]. This was shown by the fact that TBAF·3H2O/DMSO dissolves cellulose easily, whereas the biopolymer is insoluble in N1111F/DMSO and only marginally soluble in N111BzF/DMSO. This was explained on the bases of solubility of these QAEs in DMSO at room temperature: 0.94, 0.025 mol/L and negligible, respectively [93]. As shown above, electrolyte solubility and dissociation into free ions in the MS are required for efficient ion/AGU interactions, leading to cellulose dissolution. This idea was corroborated by (DFT) theoretical calculations. Due to the weak interaction of (F−) with the voluminous (TBA+) cation of TBAF, the anion transfers significant amount of charge into the antibonding orbital of the Cel-OH groups leading to the disruption of the hydrogen bonding and cellulose dissolution. Due to the smaller volume of (N1111+) of N1111F, the (F−) transfers more negative charge into the positively charged cation, hence cannot disrupt the hydrogen bonding of cellulose; the biopolymer is insoluble [89]. In a systematic study on the effect of QAE cation volume on cellulose dissolution, neat N222RAcO, N222RPrO, N333RAcO, N333RPrO and their solutions in DMSO were studied (N222R and N333R refer to derivatives of triethylamine and tri-(n-propyl)amine, respectively; R = n-alkyl, from butyl to dodecyl). Neat QAE with (R = n-butyl) did not dissolve cellulose, independent of the structure of the parent tertiary amine (N222 or N333). In general, addition of DMSO increased cellulose solubility. The efficient QAEs are those with R longer than n-hexyl, as illustrated in Figure 5. For the most efficient QAE N2228AcO at 80 °C the calculated molar ratio QAE/AGU is 4.8 (neat QAE) and 2.1 (20 wt% DMSO) [73]. The latter (electrolyte/AGU) ratio is smaller than that observed for TBAAcO/DMSO [83], and may reflect the effect of the cation steric hindrance in both QAEs.
Figure 5.
Comparison of the temperature of dissolution of 10 wt % microcrystalline cellulose in pure N222RAcO (top) and in mixtures of N222RAcO/DMSO (80/20 wt%, bottom); reprinted (adapted) with permission from [73], Copyright (2017) Wiley-VCH Verlag.
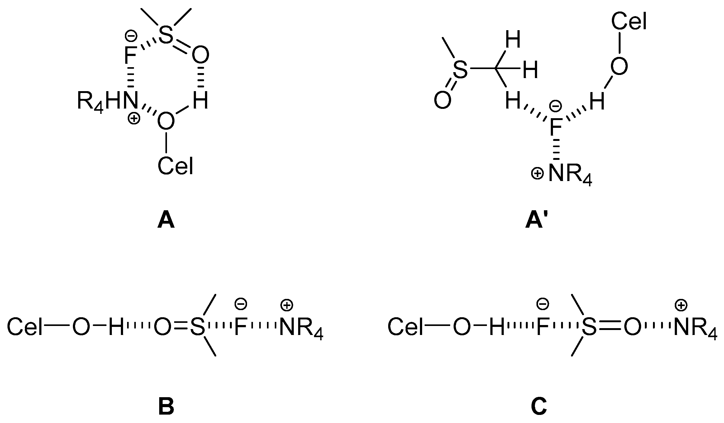
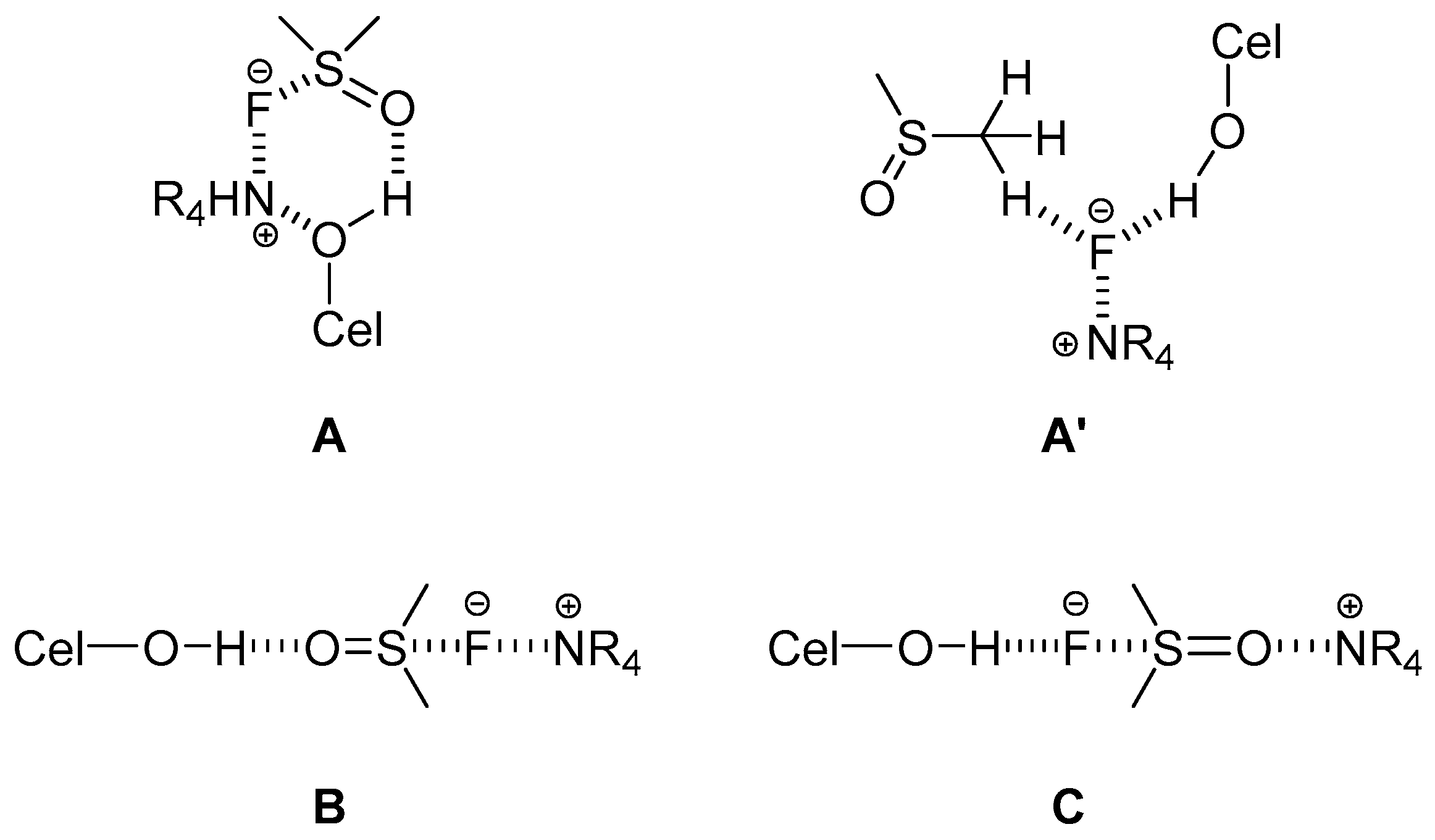
Regarding the molecular structures formed in solutions of cellulose/QAE/DMSO quantum chemistry calculations were performed on cellobiose, methylated at the positions O-4 and O-1 as model for cellulose, and QAEs (N1111F, NAl4F, N11Bz2F, and TBAF)/DMSO. We present the corresponding structures in Figure 6 (see reference [90] for details of these calculations).
Figure 6.
Schematic representations of the structures of interest, including, the starting geometries of the aggregates (A–C), and (A’) an optimized geometry of A [140,141]; redrawn from [90].
In Figure 6, (A) is cyclic whose structure is similar to that indicated elsewhere [140], whereas (B) and (C) are linear with the (F−) bridging the sulfur atom of DMSO either to the quaternary nitrogen of the electrolyte, or to one of the OH groups of the cellulose model. Structure (A´) is the theoretically optimized version of (A). Interestingly, during geometry optimization of (A), the initial cyclic aggregates changed to an F−-centered structure, with change in connectivity, as shown in structure (A´). Based on the results of these calculations, we suggested that the aggregates formed in the system cellulose model/R4NF/DMSO are best represented by (C). This structure is corroborated by the above-mentioned NMR and FTIR data [82,89].
3.2. Salts of Super Bases
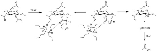
A new class of QAEs based on salts of super bases was recently introduced as potential solvents for cellulose [36,142,143,144,145,146]. These QAEs are prepared by neutralizing superbases, e.g., 1,1,3,3-tetramethylguanidine (TMG), 1,5-diazabicyclo-[[4.3.0]non-5-ene (DBN), 1,8-diazabicyclo- [[5.4.0]undec-7-ene (DBU) with carboxylic acids, such as acetic or propionic acid. The mechanism of cellulose dissolution is mainly connected to the basic moieties of the electrolytes, which can disrupt the strong intra- and intermolecular interactions within the cellulose structure, as shown in Figure 7. The role of solvent descriptors for regeneration of cellulose from EtMeImAcO, TMG PrO and TMG AcO was also compared with other cellulose solvents, e.g., NMMO and LiCl/DMAc [147]. It was found that solvent basicity (SB) was the property that changed most (almost a linear decrease) upon addition of water. However, the ability of the mixtures to dissolve cellulose was best explained by the net basicity, i.e. (SB-SA), rather than SB alone. A window for regeneration of cellulose was suggested (SB < 0.8 and SB-SA < 0.35). Cellulose regeneration was divided into four stages: gelation, particle formation, biopolymer regeneration with adsorbed IL, removal of the latter by washing. It was also shown that there TMG-based solvents were more sensitive towards water during cellulose dissolution than its regeneration. [86]
Figure 7.
Model for the dissolution of cellulose in protic QAEs on the basis of super bases; redrawn from [143].
3.3. Aqueous Solvents for Cellulose Dissolution and Regeneration
Because the above-mentioned QAEs solutions are alkali-free, they are suitable for cellulose dissolution, regeneration and derivatization with reagents that are subject to hydrolysis, e.g., carboxylic acid anhydrides and acyl chlorides. We comment now on another class of efficient cellulose solvents, quaternary ammonium- and phosphonium hydroxides because their larger capacity of cellulose dissolution at room temperature enhances their potential use in cellulose regeneration. Additionally, dissolution by these systems is clearly linked to the amphiphilic characters of cellulose and the QAE. Unlike ILs, the presence of water in the solvent is not a barrier to cellulose dissolution. Thus tetra-(n-butyl)phosphonium hydroxide TBPOH containing 40 wt% water dissolves 20 wt% cellulose within 5 min at 25 °C under stirring. The interaction of the hydroxide anions with the hydroxyl groups of the AGU of MCC was demonstrated by following the chemical shift and line width of the (OH-/H2O) 1H-NMR peak as a function of increasing MCC concentration, and the crystallinity of regenerated cellulose (type I → amorphous) [148]. Aqueous solutions of Bu4POH also dissolve wood discs (cedar, pine, polar). The dissolution efficiency depends on the water content of the biomass solution; the latter content can be decreased by a slow “auto-recovery or “self-dehydration” step, namely by storing the solution for 2–10 days at room temperature under controlled humidity [149].
The effect of water and cation size on the cellulose dissolution capacity of aqueous R4POH at 25 °C were studied in detail by using aqueous solutions of the following QAEs: PRRRR OH (R = ethyl, n-butyl, n-hexyl) and NRRRROH (R = methyl, ethyl, n-butyl, n-hexyl). The QAEs with the smallest volumes (e.g., N1111OH and N2222OH) did not dissolve 0.5 wt% cellulose. The biopolymer dissolution capacity and dissolution time (2–20 min) depended on (n), the number of water molecules/cation (fast dissolution at n ≤ 15). As discussed above, cellulose dissolution by these alkaline solutions involves proton removal, e.g., from C6-OH of the AGU, leading to chemical shift change of the attached (primary) carbon atom. The values of δ 13C-NMR signal of this primary carbon of 10 wt% cellobiose decreased as a function of increasing (n); the limit of cellulose dissolution was reached at δ 13C of 64.8 ppm (n ≈ 15). Below this “threshold” chemical shift, cellobiose is insoluble [150].
The results of several publications highlight the importance of the amphiphilic character of cellulose, and the solvophobic interactions in these QAE solvents. The most relevant result is the effect of urea on dissolution of cellulose. The simplest example is where urea-inorganic base is the solvent. Results of DSC, 1H and 13C-NMR chemical shifts showed that urea hydrate plays its positive role in dissolution through van der Waals interactions, by accumulating on the hydrophobic face of the AGU to prevent dissolved cellulose chains from re-aggregation [151,152]. The amphiphilic character of both components of the system - cellulose and the QAE - was nicely exploited in using aqueous TBAOH to dissolve cellulose. As shown below, the idea is to “match” cellulose and QAE solution, akin to matching the HLB (hydrophilic-lipophilic balance) of the aqueous phase to that of the oil phase in order to obtain stable oil/water emulsions [153]. The cellulose dissolving power of the aqueous solvent is dependent on QAE concentration and the corresponding molar ratio water/QAE (nW/QAE) which was divided (based on DSC measurements) into bound and free water, (nbound-W/QAE) and (nfree-W/QAE), respectively. An increase in QAE concentration decreases the amount of (nbound-W/QAE), leading to contact between the partially desolvated TBA+ cations with concomitant increase in the solvophobic QAE-cellulose interactions. At 60 wt% TBAOH, the value of (nbound-W/QAE) is ca. 2 and cellulose is easily dissolved by solvophobic interactions. In other words, cellulose dissolution can be induced by “tuning” the hydrophilic-lipophilic character of the QAE solution. Another interesting approach to control this character at a fixed QAE concentration is to use urea or thiourea as additive. Addition of urea to 55 wt% of TBAOH led to an upfield shift of the 13C-NMR peaks of (NH2)2C=O and (C3H7CH2)4NOH, indicating the association urea-QAE with displacement of some of the (nbound-W/QAE) of the QAE. A similar rational can be applied to the hydrophobic region of the AGU, as depicted in Figure 8 [154].
Figure 8.
Schematic representation of the mechanism for dissolution of cellulose in TBAOH/urea aqueous solution; reprinted with permission from [154], Copyright (2013) Springer Nature.
This amphiphilic aspect was exploited in synthesis where the reagent is not very sensitive to hydrolysis. Thus, aqueous Bu4POH was used as solvent for the benzylation of cellulose (reaction with benzyl bromide, 10 min, 20–25 °C, DSBz ≈ 2.5). The surface activity of Bu4POH leads to association with benzyl bromide and with (more hydrophobic) partially benzylated cellulose, leading to products with relatively high DSBz. The above mentioned association (RX-QAE-cellulose ether) results in less hydrolysis of the halide and efficient etherification reaction [155].
4. Applications of QAEs for Cellulose Dissolution, Shaping and Derivatization
In principle, the quaternary nitrogen atom of QAEs can be attached to four different substituents (e.g. alkyl, alkenyl, benzyl), leading to structural flexibility; hence their properties can be “tuned” conveniently. They are stable under common conditions for cellulose processing and derivatization, while are not subjected easily to side elimination reactions, unlike 1,3-substituted imidazole-based ILs with their relatively acidic C2-H [156,157,158,159,160,161]. QAEs with various anions were studied, mainly for cellulose dissolution and shaping, and biomass extraction. Cellulose derivatization is reported as well to a lesser extent. In order to give an overview about the QAEs we classified them by their anions.
4.1. Quaternary Ammonium Hydroxides
Parallel to the development of DMSO/TBAF·3H2O Tanczos et al. studied commercially available, relatively inexpensive tetraalkylammonium hydroxides as activating agents and solvents for cellulose [162]. The ability to swell or dissolve cellulose better than other bases such as NaOH was attributed to penetration of R4NOH into cellulose, combined with the amphiphilic character and size of the ammonium cation. The good gelation properties of R4NOH were used to obtain fibrous TEMPO oxidized cellulose nano-dispersions in water [163].
An aqueous solution of commercial TBAOH (40 wt%) was found to dissolve 10 wt % cellulose within 24 h at room temperature [119]. As discussed above in Section 3.1.1, 18-crown-6 was added to eliminate the undesirable effect of KBr (a side product in commercial base solutions). Without addition of crown ether, aqueous TBAOH solutions were used to extract cellulose from wheat straw at 60 °C within less than 1 h [164], and dissolve 10 wt % MCC within 2 min at room temperature ([TBAOH] = 50 and 55 wt%, respectively). Analysis of the regenerated polymer confirmed that no degradation or chemical modification occurred. The same group found that TMAOH solutions dissolve 25 wt % MCC in 2 min [165], and extract cellulose from sugarcane bagasse. The latter was achieved by adding 17 to 29 wt % urea to a 40 wt % aqueous solution of TBAOH [154].
An alternative approach was employed to dissolve cellulose using lower concentrations or R4NOH [166]. Dissolving grade pulp, 6 wt % was dissolved in a solution containing 70 wt % DMSO, 12 wt % TBAOH, and 18 wt % water. The DMSO concentration could be increased to 90 wt % without cellulose precipitation. After complete solubilization of cellulose, β-cyclodextrin was added to the solution to obtain elastic but robust gels. By varying the cellulose and β-cyclodextrin contents the porosity and mean pore size of the cellulose network was adjusted. These cellulose-based hydrogels could potentially find applications in areas such as removal of heavy metal ions from water, or in controlled drug delivery systems [167]. Examples of the solubility of cellulose in the solvent mixtures mentioned in this section are listed in
Table 1, where the dissolved cellulose is given in wt%. Because of the differences in the molar masses of the components (AGU, QAE, MS) the use of the mole fraction scale is, to our view, preferable to wt % because it is unambiguous.
Table 1.
Examples of the solubility of cellulose in tetra-(n-alkyl)ammonium hydroxide aqueous solutions.
4.2. Quaternary Ammonium Carboxylates
QAE carboxylates are, by far, the most studied compounds regarding cellulose dissolution, derivatization and shaping. They have the advantage over hydroxides, that they can be used in non-aqueous solvents. This is an essential prerequisite to perform some cellulose derivatization, e.g., into carboxylic esters. They are also considered to be “greener” solvents compared to their corresponding (corrosive) halides (Cl−, F−).
Molten tetraalkylammonium carboxylates were studied regarding their ability to dissolve and chemically modify cellulose [168]. They were obtained by quaternization of triethylamine or tributylamine with dimethylcarbonate and subsequent conversion with the corresponding carboxylic acid (Scheme 1). Triethylmethyl- and tributylmethylammonium formate (N1222Fo, N1444Fo) dissolve MCC. A mixture of 8 wt % dilute formic acid (25 wt % aqueous solution) in N1222Fo dissolved 10 wt % MCC. The 13C-NMR spectrum of this solution revealed the formation of cellulose formate intermadiate during MCC dissolution. As expected, this ester is not stable because pure cellulose was obtained after regeneration of the solution in water. Etherification was performed in these solutions as well. Carboxymethyl cellulose (CMC) with a DS value of 1.55 and a block like distribution of substituents along the polymer backbone was isolated. Hydroxypropylation of MCC, cotton, and spruce sulfite pulp in N1222Fo yielded products with a rather low DS (0.22–1.27) in spite of the large excess of molar ratio propylene oxide/cellulose employed (40/1) [169].
The biorefinery concept is an expanding research field and a driving force in the development of new solvents for renewable resources, especially cellulose. Thus, QAEs are studied to selectively extract cellulosic material or lignin from biomass. The enzyme catalyzed transformation of cellulose dissolved in IL, e.g., transesterification or hydrolysis, was carried out in bis- and tris(2-methoxyethyl)triethylammonium acetates (N222 Me(OEt)2AcO, N222 Me(OEt)3AcO) [170]. Many ILs inhibit these reactions because the employed enzymes are readily denatured. Here, the cation structure combined with the basic acetate anion enhances cellulose dissolution (up to 10 wt % MCC) while the low anion concentration stabilizes the enzyme.
A screening of various cations with carboxylate anions as cellulose solvents was conducted by Zhao et al. [118]. Of the QAEs tested only diethyldimethylammonium acetate (N1122AcO) dissolved 2 wt % cellulose, the formates, propionates and butyrates did not dissolve cellulose. On the other hand, dialkoxydimethylammonium acetates dissolved up to 18 wt % cellulose (MCC) at 80 °C [171], which underlines the discussion in item 3 above, namely that size, structure, and/or molecular weight of the cation influences the solubilization process to a considerable extent. Additionally, the viscosity of the solutions is significantly lower compared to other IL cellulose solutions, due to the higher flexibility of the alkoxy side-chains.
TBAAcO dissolved in various MS (28/72 by weight), such as DMSO, DMAc, DMF, pyridine, or NMP was reported to dissolve up to 9 wt % MCC within a few minutes at 60 °C [172]. In TBAAcO/DMSO the dissolution occurred faster than in the other mixtures. The cellulose containing solutions were also used to produce fibers and membranes. Cellulose acetate and butyrate with DS values of around 3 and 2, respectively, were obtained by acylation in this solvent.
Miao et al. used TBAAcO and mixtures thereof as cellulose solvents as well [120]. Based on the results of DMSO/TBAF·3H2O [173] and TBAOH [119] the introduction of the acetate anion was expected to yield a promising cellulose solvent. However, neat TBAAcO did not dissolve cellulose, addition of DMSO was required [120]. The dissolution optimum for cellulose was found when the binary mixture of DMSO contained 15–20 wt % TBAAcO, vide Figure 4 [85]. Here cellulose (8 wt%) was dissolved at room temperature within 2 min. Increasing the temperature to 40 °C resulted in a noticeable increase of cellulose solvent efficiency. Thus 11, 22, 33 wt % TBAAcO in DMSO dissolved 6, 22, and 33 wt % MCC. These QAE concentrations correspond to 1 mol acetate anion/AGU due to hydrogen bonding of the acetate to more than one hydroxyl group of the AGU, vide 3.1.1. [83]. At 40 °C, up to 20 wt % MCC dissolved in the TBAAcO/DMSO/18-crown-6 mixture (2/7/1 by weight). Additionally, high molecular weight celluloses (DP = 830) and lignin were also soluble in the same mixture. The clear and viscous solutions of cellulose in TBAAcO/DMSO/18-crown-6 proved to be suitable for wet-spinning and the cellulose fibers were regenerated in ethanol at room temperature. The fibers showed more amorphous than crystalline cellulose structure based on MAS-NMR and XRD analyses, and they were homogeneous with smooth surfaces and diameters around 40 μm (Figure 9) [120].
Figure 9.
Scanning electron microscope images of cellulose fibers prepared from TBAAcO/DMSO/18-crown-6: (a) side surface section, (b) magnified side surface section, (c) cross-section with diameter, (d) magnified cross-section; reproduced from [120] with permission of The Royal Society of Chemistry.
In a subsequent study, the same group regenerated cellulose fibers from TBAAcO and DMSO without 18-crown-6. They used a softwood cellulose (DP = 1050) and prepared solutions of 4–10 wt % at 40 °C. The resulting fibers had circular cross-sections and smooth surfaces. Analyses of DP after regeneration indicated no detectable degradation of the regenerated cellulose. The fibers showed tenacities between 2–3 cN/dtex and elongation values between 9.7–11.8% [121]. Thus, the dry strength values are similar to those of viscose (20–25 cN/tex, 18–23% elongation) or cotton (24–36 cN/tex, 7–9% elongation) [174].
The use of a recycled TBAAcO/DMSO solvent for the dissolution and regeneration of cellulose was recently investigated [175]. It was shown that the TBAAcO/DMSO solvent system tolerates addition of some non-solvents, such as water or ethanol, without cellulose precipitation. Mechanical properties of spun filaments were not altered when prepared from a simulated recycled solvent containing 2 wt % (cellulose) non-solvent. The ability of the system to tolerate non-solvents was dependent on the concentration of both cellulose and TBAAcO. By increasing the concentration of TBAAcO, more water can be tolerated for the same cellulose content [111].
Carbon nanotubes were added to a solution of cellulose in TBAAcO/DMSO, and were then formed into composite fibers, spun at room temperature and then coagulated in a water bath. Characterization of the fibers using SEM showed that the fibers were smooth and did not contain micro pores, which indicated that the carbon nanotubes were well-dispersed in the cellulose matrix. It was also shown that the mechanical and thermal properties of the composite fibers (5 wt % carbon nanotubes) compared to neat cellulose fibers were improved: increased tensile strength (approx. 20%), elongation at break (approx. 20% increase), and thermal stability (decomposition temperature increased by ca 20 °C) [176].
The TBAAcO/DMSO system was used for the homogeneous esterification of cellulose without catalysts. After 5 h at 60 °C using a 5 molar excess of acetic anhydride per AGU an organo-soluble cellulose acetate with a DSAc of 2.91 was reached. Under the same conditions, cellulose propionate with a DSPr of 1.83 was obtained. Cellulose acetate/propionate and acetate/butyrate mixed esters with almost full functionalization were obtained [177,178]. The conversion of cellulose with succinic anhydride under catalyst free conditions yielded products with DSSuccinate between 0.3 and 1.2 after 1 h at 60 °C. As known, these products successfully absorb heavy metal ions such as copper(II) and cadmium(II) from aqueous solutions. The concentration of absorbed metal ions increased as a function of increasing DSSuccinate [179].
A binary mixture of tetrabutylammonium propionate with methylimidazole (2.5/7.5 by weight) dissolves 15.7 wt % MCC at 25 °C. The main driving force of the dissolution was attributed to the propionate anion, while methylimidazole was mainly acting as solvent, promoting dissociation of the ions. The authors also claim that the architecture of regenerated cellulose films can be adjusted in dependence of the processing strategy [180]. A set of 20 tetra-(n-alkyl)ammonium acetates and propionates was synthesized and studied regarding the influence of the cation on cellulose dissolution, vide 3.1.2. The majority of these QAE were able to dissolve cellulose with and without the addition of DMSO, and triethylhexylammonium acetate was the best QAE in the set studied; 22 wt % cellulose at 90 °C [73].
Neat N,N-allylmethylmorpholinium acetate was shown to be an efficient cellulose solvent. Thus 17, 28, and 30 wt % MCC were soluble in this QAE at 80, 100, and 120 °C, respectively, even in the presence of some water. Also 25 wt % of high molecular weight samples (DP = 2082) was dissolved without noticeable degradation, as confirmed by SEC analysis. SEM micrographs of native and regenerated cellulose indicated that upon regeneration, the surface of cellulose fibers became smoother, and uniform, as compared to rough and scattered surface of untreated cellulosic fibers. This was attributed to re-aggregation of strongly bonded crystalline cellulose fibers into more homogeneous macromolecular assembly upon dissolution [181].
The following QAEs for cellulose dissolution and processing are based partially on naturally occurring compounds. Ohira et al. prepared QAEs with amino acid moieties as anions. N,N-Diethyl-N-(2-methoxyethyl)-N-methylammonium alaninate (N122 Me(OEt)) was the best cellulose solvent for MCC, dissolving 6 wt % at 60 °C and 12 wt % at 100 °C within 10 minutes. The corresponding acetate and chloride dissolved 7 and 10 wt % MCC, respectively, although much more slowly, ca. 48 h for complete dissolution. The fact that the amino acid anions are better than the corresponding carboxylates may be due to the extra amino moiety present in the former anion. Tryptophanate, lysinate, and threoninate were tested as well; they dissolve MCC between 1 and 11 wt%. When DMSO was added to N,N-diethyl-N-(2-methoxyethyl)-N-methylammonium alaninate (1:1 mixture by volume, which equals a molar fraction of DMSO χDMSO = 0.75) 11 wt % MCC were soluble at 25 °C after 10 min, and 22 wt % after 6 h, or after 10 minutes at 100 °C [182,183]. The dissolution of cellulose in these solvents seems to be more suitable for fiber spinning compared to commonly used IL [22]. Cholinium cation-based QAEs with 28 amino acid and carboxylate anions were used for dissolution of biomass [184]. The solubility of cellulose in these QAEs was poor (<1 wt % in dicholinium malinate), but they dissolve lignin readily. They were used, therefore, for delignification of rice straw, which confirmed similar results reported earlier [185].
Various tetra-(n-alkyl)ammonium cations (N1133, N1333, N1144) were combined with the levulinate anion (Figure 10). The cellulose solvent obtained dissolved 10 wt % MCC in the neat N1333 levulinate. Moreover, this cellulose solution exhibited exceptional tolerance towards water. For example, this QAE could still dissolve cellulose efficiently in the presence of 18 wt % water, an improvement of potential industrial significance because the energy consuming drying of the substances is not required. By addition of 20 wt % γ-valerolactone, a co-solvent based on renewable resources, the cellulose solubility increased to 20 wt % [186].
Figure 10.
Structure of the levulinate and itaconate-based QAE used for cellulose dissolution [186].
Relevant examples of carboxylate-based QAEs as cellulose solvents are summarized in Table 2.
Table 2.
Examples of the solubility of cellulose in quaternary ammonium carboxylates.
4.3. Quaternary Ammonium Halides
4.3.1. Quaternary Ammonium Chlorides (QACls)
Until present, only a few QACls, which dissolve cellulose, were used for various derivatization reactions. Benzyldimethyltetradecylammonium chloride (N11-14-Bz Cl) dissolves up to 5 wt % MCC, a cellulose concentration that is sufficient for chemical modification of the biopolymer but not high enough for its shaping [187]. N11-14-Bz Cl was used for the homogeneous etherification of cellulose to obtain hydroxypropyl cellulose [188]. This compound belongs to the group of “benzalkonium chlorides” and is commercially available as trihydrate or in solution as disinfectant or textile softner. Other QACls that dissolve MCC are triethylheptylammonium chloride, N2227Cl (10 wt%), and triethyloctylammonium chloride, N2228Cl (15 wt%) [189,190,191,192,193]. Several co-solvents were employed as well in order to decrease the viscosity and avoid high dissolution temperatures, in particular DMAc and DMSO. For example, up to 10 wt % MCC dissolves at 60 °C in 1:1 N2228Cl/DMAc mixtures by weight; the N2228Cl concentration can be decreased by further addition of DMAc until the mole fraction (χ) was the same as in a conventional LiCl/DMAc mixture (χN2228Cl =χLiCl) without affecting the ability to dissolve cellulose. The DMAc/N2228Cl solvent was successfully used as SEC eluent for the determination of cellulose molar mass distribution [61]. Besides DMAc, DMF, DMI, pyridine and, surprisingly, acetone were found to form translucent cellulose solutions of low viscosity. Because of its volatility, acetone is a specially promising diluent for cellulose shaping (Figure 11). 13C-NMR spectra of cellulose dissolved in N2228Cl/DMSO and N2228Cl/acetone revealed that no derivatization occurred on the cellulose backbone [192,193]. In subsequent studies it was found that solutions of N2228Cl in the following MSs dissolve cellulose: DMSO, DMAc, DMF, 2-butanone, N-methyl-2-pyrrolidone (NMP), 1-methylimidazole, ethyl acetate, 2-methyltetrahydrofuran, tetrahydropyran, 1,3-dimethyl-2-imidazolidinone, and 3-pentanone [194]. These cellulose solutions exhibited comparably low viscosities, which is beneficial for derivatization reactions but presumably disadvantageous for fiber spinning (Table 3).
Figure 11.
Recycling scheme of a regeneration-dissolution cycle of cellulose in QAE/acetone by simple addition or removal of acetone; reprinted with permission from [195], Copyright (2015) GIT Labor-Fachzeitschrift, Wiley-VCH Verlag.
Table 3.
Zero shear viscosities (η0 ) of cellulose solutions (2.4 wt %), 20 °C [193].
Studies on cellulose derivatization were carried out [194,196]. Silylation, tosylation, carbanilation and especially acetylation reactions were conducted successfully in the binary mixtures of N2228Cl/MS. The latter one led to cellulose acetates with DSAc ranging from 0.16 to 2.79 depending on the reaction conditions. Within 2 h at 50 °C using acetyl chloride/pyridine an organo- soluble (acetone, DMSO, CHCl3) cellulose acetate with DSAc = 2.79 was isolated. Under the same reaction conditions but with LiCl/DMAc or BuMeImCl as solvents the DSAc values were almost identical with 2.83 and 2.81.
A mixture containing tetraethylammonium chloride was used for cellulose dissolution. The optimum conditions to dissolve up to 8.7 wt % cellulose within 15 min were a mixture of: NaOH 8 wt%, DMAc 10 wt%, N2222Cl 6 wt%, water 76 wt % and a dissolution temperature of −5 °C. No degradation or derivatization during dissolution or regeneration was observed [197].
4.3.2. Quaternary Ammonium Fluorides (QAFs)
Among QAFs, the cellulose solvent most investigated is the mixture DMSO/TBAF·3H2O, first described as solvent for cellulose in 2000. This solvent enabled cellulose dissolution with a degree of polymerization up to 650 within 15 min without pretreatment, e.g., previous drying. The 13C-NMR spectrum showed that DMSO/TBAF·3H2O belongs to the class of non-derivatizing solvents, as confirmed by the presence of the signals of unmodified AGU (Figure 12) [173].
Figure 12.
13C-NMR spectrum of unmodified cellulose dissolved in dimethyl sulfoxide-d6/TBAF·3H2O, reprinted with permission from [16], Copyright (2012) Elsevier.
DMSO/TBAF·3H2O was used for homogeneous derivatization of cellulose by transesterification employing vinyl esters of different carboxylic acids, resulting in cellulose esters with varying DS. Ciacco et al. employed sisal cellulose for reactions with acetic anhydride, stearic anhydride, vinyl acetate and vinyl laurate. The DS-values of the esters produced showed that the anhydrides were less reactive as compared to the vinyl esters. This observation may be attributed to the much faster hydrolysis of the anhydrides (relative to the vinyl esters) by water introduced by TBAF·3H2O. This conclusion was corroborated by the observation that the obtained DSAc was 1.29 and 0.3 for experiments run under identical experimental conditions except for TBAF·3H2O of 6 and 11 wt%, respectively. Because the use of molecular sieves proved inefficient, and use of NaH led to the formation of dimsyl ions and side reactions, water was removed by distillation of 30 vol% DMSO [198]. This strategy is akin to water removal from the system cellulose/LiCl-DMAc [199]. The partial drying of TBAF·xH2O/DMSO increased the DSAc to 1.15. The distillation of 50 vol% of DMSO before acetylation of cotton linters resulted in an increasing DSAc from 1.0 to 1.8 [200]. As discussed above, dry TBAF can be generated in situ from the reaction of TBACN with C6F6. Although the solvent was successfully employed for cellulose acylation and carbanilation, it contains hexacyanobenzene byproduct that forms radical anions readily [201,202]; cellulose was insoluble in this medium after 28 h [93]. Regarding the molecular structure of the acylating agent, it was observed that the DS-values of the ester increased with increasing chain length of the acylation agents. As shown from kinetic data of cellulose acylation by carboxylic acid anhydrides in LiCl/DMAc and IL/MSs, the reason for this dependence is a compensation of the reaction entropy and enthalpy of activation [88,203].
Cellulose esters were synthesized in TBAF·3H2O/DMSO using the following carboxylic acids: acetic, stearic, adamantane-1-carboxylic, and 2-furancarboxylic, in the presence of N,N′-carbonyl- diimidazole (CDI) as acid activation agent, see the reaction scheme in Figure 13 [204].
Figure 13.
Schematic demonstration of CDI activation of carboxylic acids; redrawn from [141].
Subsequent studies used the same activation approach with CDI in TBAF·3H2O/DMSO to produce cellulose esters with elaborate structures. The acids employed included (−)-menthyloxyacetic acid, 3-(2-furyl)-acrylcarboxylic acid, furan-2-carboxylic acid and 4’-carboxybenzo-18-crown-6 as well as carboxymethyl-β-cyclodextrin [205]. Another activating agent, 1H-benzotriazole, was employed with the following carboxylic acids: acetic, benzoic, butyric, caprylic, myristic and stearic. Use of this activating agent in TBAF·3H2O/DMSO led to cellulose esters, whereby the preferred functionalization occurred at C-6 of the AGU [206].
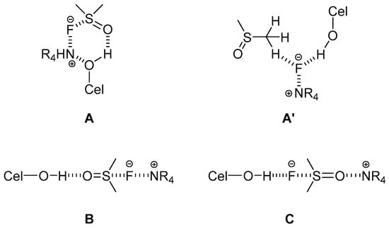
Another interesting application of TBAF·3H2O/DMSO is regioselective deacetylation. During deprotection of silylated cellulose acetate with TBAF·3H2O/THF, cleavage of the acetate groups was observed. Further investigations employing cellulose acetate revealed regioselective deacetylation at positions C-2 and C-3 of the AGU [207,208]. The regioselectivity of deacylation was explained by the mechanism shown in Figure 14, where TBA+ acts as a general-acid catalyst, whereas F− induces deacetylation via ketene intermediate [209]. Formation of the latter was inferred from a kinetic isotope effects experiment [210].
Figure 14.
Proposed deacetylation mechanism of cellulose in the presence of TBAF; redrawn from [207,209].
Formation of cellulose succinate was investigated in the presence of N2222Cl/DMSO and TBAF·3H2O/DMSO. The resulting DSSuccinate increased with increasing concentration of the respective QAE until 11 wt%, DS = 1.88 and 2.09 were obtained, respectively. Increasing the QAE concentration to 16 wt % increased the DSSuccinate to 2.01 for N2222Cl/DMSO, but resulted in decrease in case of TBAF·3H2O/DMSO. The results of intrinsic viscosity of a solution of Mulberry wood cellulose and 2D NOESY experiments of cellobiose in both solvents were explained on basis of formation of hydrogen bonds between the hydroxyl groups (of AGU or cellobiose) and the relatively acidic α-methylene hydrogens of N2222+ or TBA+.
Thus, the concentration of QAE, and steric hindrance by QAE+ control the accessibility of the hydroxyl groups of the AGU, affecting the DSSuccinate-value [211]. The production of superabsorbent hydrogels was carried out using succinic anhydride in LiCl/NMP and TBAF·3H2O/DMSO in the presence of DMAP as catalyst. Esters with similar DSSuccinate between 0.1–3.0 were obtained in both solvents, depending on the reaction conditions. Solution gelation was observed during this synthesis; it was attributed to crosslinking, initiated by DMAP. The products obtained at 60 °C showed similar or even better water absorbency compared to the “conventional” absorbent sodium polyacrylate [212]. Cellulose derivatization by bulky acyl moieties to produce precursors for dendronized cellulose derivatives was carried out in TBAF·3H2O/DMSO and LiCl/DMAc. Thus, 3,5-bis(benzyloxy)benzoic acid (activated with CDI), and 3,5-bis(benzyloxy)benzoyl chloride reacted with cellulose. Structure elucidation of the esters by means of FTIR and NMR indicated substitution at position C2 despite the bulkiness of the substituents [213].
Besides acylation, cellulose etherification was carried out in TBAF·3H2O/DMSO, e.g., sisal cellulose and cotton linters was modified using benzyl chloride in the presence of finely divided solid NaOH or aqueous NaOH solution. The DSBz varied between 0.4 and 2.85; a large excess of NaOH (NaOH/AGU molar ratio 6/1 to 18/1) was needed to obtain products with a higher DSBz. The reactions employed without NaOH led to low DS-values, indicating that the basicity of the F− ion alone is not sufficient for activating the hydroxyl groups of the polymer [214]. The structure of cellulose benzyl ether and hence its solubility in MS (e.g. DMSO, DMAc, DMF) depended on the chosen reaction conditions, either the homogeneous reaction in TBAF·3H2O/DMSO, or the heterogeneous one in aqueous NaOH. 1H-NMR data indicated that benzyl moieties are regularly distributed along the polymer backbone in the product from the homogeneous reaction, leading to better solubility, whereas a block-like distribution was found in case of the heterogeneous reaction [215].
Another etherification of cellulose studied was the synthesis of CMC, which is of great industrial interest, regarding its application as thickener. Successful modification of cellulose employing sodium monochloroacetate in the presence of NaOH (powder suspended in DMSO) yielded CMC with DS-values from 1.82 to 2.09 within 1 h. More detailed investigations of CMC preparation from mercerized sisal cellulose and cotton linters examined the effects of different reaction conditions [214]. The influence of solid or aqueous NaOH on the resulting substitution patterns was studied. The use of NaOH powder led to higher reactivity in TBAF·3H2O/DMSO, but samples that are less soluble in water, due to deviation from the conventional statistical substitution pattern of the carboxymethyl groups [216].
The synthesis of allyl cellulose in TBAF·3H2O/DMSO is interesting because the produced ether can be further modified by addition to the double bond. Allyl cellulose with DSAl from 0.5 to 2.98 were obtained [217]. Additionally, TBAF·3H2O/DMSO was also employed for unconventional cellulose products. Thus, graft polymerizations on cellulose were performed in TBAF·3H2O/DMSO employing lactones or N-carboxy-α-amino acid anhydrides [218]. TBAF·3H2O/DMSO was employed for the synthesis of 6-deoxy-6-fluoro cellulose derivatives. Here the QAF is acting as solvent and reagent for converting cellulose tosylate with a DSTosylate of 1.22 to 1.74 into deoxy-fluoro cellulose with DSF− up to 0.41. Compared with other cellulose deoxy-halides, the fluorination could be performed at room temperature. Variation of the water content of TBAF·xH2O, obtained by distillation of DMSO, exhibited no correlation between the DSF and the amount of water removed [219].
The applications of QAFs, other than TBAF·3H2O, are less described in literature. However, another cellulose solvent is tetraallylammonium fluoride monohydrate (TAAF·H2O)/DMSO. Homogeneous acetylation of different types of celluloses (MCC, cotton, eucalyptus) were performed in this solvent, resulting in CAs with DSAc from 0.4 up to 2.4, depending on reaction conditions. An interesting result was observed for prolonged reaction times. Despite the use of an excess acetylation agent, the resulting DSAc were relatively low, which was attributed to the fluoride ion mediated ester hydrolysis. The latter conclusion was corroborated by following the change of DSAc of a commercial CA sample (DSAc = 2.7) as a function of time, at 60 °C, in absence of acetic anhydride; DSAc decreased to 1.7 and 1.1 after 6 and 18 h, respectively. An interesting point that is relevant to all acylation reactions with reactive carboxylic acid derivatives (anhydrides and acyl chlorides) is the formation of acetyl fluoride from TAAF·H2O and acetic anhydride, as indicated by FTIR. Therefore, it is possible that many esters are produced by the reaction of cellulose with two acylating agents, namely carboxylic acid anhydride (or acyl chloride) and the corresponding carboxylic acid fluoride [109].
One problem with TAAF·H2O is its polymerization tendency. To suppress this side reaction, Casarano et al. used dibenzyldimethylammonium fluoride/DMSO with much less water content (Bz2Me2AF·0.1H2O) [110]. This QAE/DMSO solution is efficient in cellulose dissolution and acylation. Based on molecular dynamic simulations, the superior properties of BzMeAF·0.1H2O, compared to TBAF·3H2O, were attributed to the more desolvated fluoride anion which leads to stronger interactions (Cel-OH···F−), hence better cellulose dissolution capacity and higher biopolymer reactivity. The same solvent mixture was also employed for etherification of cellulose. Therefore allylation, benzylation and carboxymethylation of different types of cellulose (MCC, cotton) were carried out. The reactions were performed following the same conditions described for TBAF·3H2O/DMSO. The resulting DS-values of the etherified celluloses in Bz2Me2AF·0.1H2O/DMSO were comparable to those obtained in TBAF·3H2O/DMSO [90].
Table 4 shows selected results of dissolution experiments of cellulose in the discussed QA halides. For the last 3 entries the amount of dissolved cellulose is given as used for the esterification reactions. The maximum amount of cellulose soluble in these mixtures was not determined.
Table 4.
Summary of the solubility of cellulose in quaternary ammonium halides.
4.4. Other Ammonium Electrolytes and Deep Eutectic Solvents (DES)
Tetraalkylammonium dimethylphosphates have already been patented as solvents for cellulose and reaction media for the production of cellulose esters [220,221,222]. Tri-(n-butyl)methylammonium dimethylphosphate (TBMA DMPh) dissolved 12.5 wt % MCC and allowed the homogeneous, catalyst-free synthesis of cellulose acetate with a DSAc of 2.5 using only 3 moles of acetic anhydride/mole AGU in less than 30 min in the neat QAE. DMSO, DMF and NMP were efficiently used as co-solvents to obtain cellulose acetate and cellulose acetate/propionate mixed esters. Cellulose can be dissolved in (2-hydroxyethyl)trimethylammonium- (6.5 wt%), (2-ethoxyethyl)trimethylammonium- (5.9 wt%), tri-(n-pentyl)methylammonium- (2.1 wt%) and trimethylethylammonium dimethylphosphate (1.0 wt%) [222].
The concept of DES goes back to a publication of Abbott et al. [223]. These ionic fluids are obtained by mixing hydrogen bond acceptors, e.g. choline chloride (ChCl), with hydrogen bond donors, e.g., amides such as urea. In principle, they can be viewed as a type of mixed ILs, too, but since they do not consist exclusively of ions the term DES was introduced to distinguish between both classes of fluids [224]. In principle, they share the advantages of ILs, such as non-volatility and structure versatility, but overcome some of their disadvantages, e.g. problematic purification or limited biocompatibility with enzymes [225]. Recently, comprehensive reviews covering this field were published [226,227]. Therefore, we only focus on studies regarding cellulose.
Up to 6.5 wt % cotton linters was soluble in a mixture of allyltriethylammonium chloride and oxalic acid at 110 °C after 2 h [228], which is one of the highest values reported for DES. Only 2.5 wt % was soluble in ChCl/imidazole [229]. ChCl/lactic acid (1/10) dissolved ca. 3 wt % cellulose and 13 wt % lignin. These differences in the capability of dissolving biomass constituents open up a promising alternative towards new delignified cellulosic material [230]. Generally, DES dissolve lignin significantly better than cellulose. Since DES possess strong hydrogen bonds, the amount of free chloride ions is lower than in QAE or ILs, which may be the reason for lower cellulose dissolution capacity, as shown in Table 5.
Table 5.
Summary of the solubility of cellulose in QAE and DES.
The acidic treatment of wood cellulose fibers with ChCl/oxalic acid led to the degradation of the amorphous regions without affecting the crystalline domains. Subsequent disintegration yielded cellulose nanocrystals with a width/length ratios of 9–17/310–410 nm. Compared to common procedures for obtaining nanocrystals, this method uses milder conditions with easily obtainable and biodegradable solvents [231]. Treatment of cellulose board pulp grades with ChCl/urea showed enhanced nanofibrillation. This behavior is a promising route to treat waste board and paper [232].
There are some examples for the successful derivatization of cellulose in DES. Thus, Abbott et al. carried out acetylation reactions with monosaccharides and cellulose. ChCl/ZnCl2 was used as reaction medium, acetic anhydride as reagent and the mixture was stirred for 3 h at 90 °C. DSAc between 0.4 and 1.5 were obtained. The partial solubility of the samples in acetone indicates a block like distribution of the acetyl substituent along the polymer chain. This result is typical for reactions conducted under heterogeneous conditions (swollen solid cellulose/acetylating bath). Therefore, it is assumed that the cellulose used in this experiment was suspended or just partially dissolved in the DES [233]. Etherification reactions towards cationic functionalized cellulose for potential treatment of waste water of the textile industry were reported, using chlorocholine chloride/urea solvent [234]. After 15 h at 90 °C in presence of NaOH, ethyltrimethylammonium cellulose with a substitution of 0.5% of quaternary nitrogen per mole of AGU was isolated, which corresponds to a DS < 0.1. Other modification reactions of cellulose in DES were studied, leading to cellulose succinylates and methylcarbamates. The solvents employed were LiCl/urea and ZnCl2/dimethylurea, respectively [235,236].
5. Salts of Superbases
As indicated in Section 3.2, a new class of cellulose solvents are salts of superbases [142]. The cellulose dissolution capacity of the different salts varies. Several acid-base conjugates were prepared by combining bases and superbases with acetic and propionic acid [143]. For TMG, short-chain carboxylates were able to rapidly dissolve 5 wt % MCC in less than 10 min. The formates and butyrates needed longer to dissolve the same amount of cellulose. Cellulose regenerated from TMGAcO solution exhibited slightly lower molecular weights than the starting material, which was attributed to the presence of small amounts of excess acetic acid. The occurrence of polymer degradation in carboxylate-based ILs is not unusual as the authors showed in comparative dissolution experiments with the IL EtMeImAcO [142]. A comparison of the dissolution capacities was also made between the propionates of TMG, DBN and DBU. High molecular weight cellulose (PHK) pulp was used and the maximum biopolymer loading was compared with EtMeImAcO; both solvents have comparable dissolution efficiency, 15–16 wt % and 18 wt % for the QAEs and IL, respectively. A significant advantage of these QAEs is that they are, unlike ILs, distillable under reduced pressure, i.e., the pure base can be recovered and reused [143].
The salts of super bases were employed as reaction media for cellulose derivatization, e.g., acetylation under homogeneous conditions. The derivatization was carried out with acetic anhydride in combination with different MSs (acetone, acetonitrile, DMSO). DSAc values in the range from 0.90 to 2.89 were obtained depending on the chosen reaction conditions [237]. TMG-based QAEs, including TMG tetrafluoroborate and TMG lactate, were employed for conversion of MCC to 5-hydroxymethylfurfural. In this application, DMAc/LiCl was the solvent, whereas the QAE acted as catalyst [238]. TMG was also employed to obtain cellulose gels. The latter were produced by combining cellulose at room temperature with TMG in different ratios and were evaluated for possible applications to capture CO2 [239].
There are also interesting developments in the use of salts of super bases for shaping and regeneration of cellulose, e.g., for production of cellulose textile fibers or as reinforcing structures in composite materials [240]. The process suggested, called Ioncell-F, is based on DBN AcO as solvent for cellulose. Although DBN AcO is solid at room temperature, its low melting point (63 °C) and the low viscosity of the melt makes it a useful medium. The fiber spinning technique is a dry-jet wet spinning process where the cellulose solution (15–17 wt%) is extruded and drawn in air and the fibers become highly oriented upon coagulation in cold water, resulting in fibers with high tenacities. The morphology of the fibers is similar to the Lyocell fibers, with smooth fiber surfaces, round cross-sections, and homogeneous, dense fibrillar structure (Figure 15) [11]. An advantage of the process is also that moderate process temperatures of 75–80 °C is used, which avoids the otherwise extensive cellulose degradation.
Figure 15.
Scanning electron microscopy images of viscose (a), Lyocell (b) and Ioncell-F (c). The insets in the left corners show a 2.8 and 2.5 times magnification of the body of the viscose (a) and Ioncell-F (c); reprinted with permission from [11], Copyright (2016) by SAGE Publications.
The Ioncell-F process has been covered in a series of publications, and the earlier studies were conducted with a simple experimental spinning set-up, using a monofilament spinneret with a diameter of 100 μm [241,242]. It was found that the spin dope had similar rheological properties as the NMMO dope. An investigation was conducted with focus on the effects of the spinning parameters on the mechanical properties and orientation of the fibers. The parameters investigated included spinning stability, extrusion velocity, draw ratio, spinneret aspect ratio, and coagulation bath temperature (for definition of these terms see the Supplementary Material). It was found that mechanical properties were independent of extrusion velocity and that the orientation of the fibers was nearly complete at a draw ratio of 5. Another conclusion was that fibers with high tenacities were formed at 15 °C (coagulation bath), but not at 30 or 45 °C. In following studies, the spinning equipment was upgraded to a multihole spinneret with 36 holes and a capillary diameter of 100 μm [243]. The spinning process was evaluated using a 13 wt % dissolved PHK pulp. Results of molar mass distribution before and after cellulose dissolution (at 80 οC) and regeneration showed a slight degradation of the high molecular weight fraction. This degradation, however, was substantially lower than that reported for imidazolium-based ILs or NMMO. Additionally, it was found that the draw ratio can be gradually increased up to 18, which led to fast increase in fiber orientation and crystallinity. Tenacity values similar to those of commercial Lyocell fibers (40–42 cN/tex) were reached at medium draw ratio of roughly 5, and further increased draw led to fibers with tenacities above 50 cN/tex. Fibers from this process were also used for yarn spinning, and compared to commercial viscose fibers, using the same equipment. DBN AcO based yarns had higher tenacity but lower elongation and the yarn prepared from the Ioncell-F fibers was also slightly thinner and more uneven than the viscose yarn. Furthermore it was shown that enhanced spinnability increased orientation and high-tenacity fibers were achieved when the cellulose solutions had a large (>20%) fraction of high molecular weight cellulose (DP > 2000) and a minimum polydispersity index of 3.4 [244].
Using the Ioncell-F process for textile applications was further investigated [11]. Ioncell fibers were compared with commercial viscose fibers and converted into two-ply yarn using ring spinning technology. The yarns made using DBN AcO were stronger but more brittle and had higher irregularities than the viscose yarns. However, the Ioncell yarns showed good behavior during the knitting and weaving processes and were produced into garment demonstrators, such as a knitted scarf and a dress. The Ioncell yarn could be dyed in a batch process with reactive dyes that are commonly used on industrial scale. Detailed studies on reasons to spinning failure, such as a breach in the coagulation bath, has also been covered [245]. It was found that NMMO·2H2O and DBN AcO were good spinning solvents, while EtMeImAcO and TMG AcO were poor spinning solvents. The extent of stretching of the forming filaments was simulated by calculating the diffusion dynamics. Thus a good solvent for spinning must also be a solvent that solidifies the structure of the fiber during regeneration, thus permitting increased and retained orientation. Gelatinous dopes that already have a gel network before regeneration or dopes that weaken upon the addition of water (water progressing towards the center of the fiber and leading to fiber breach) were instead poor spinning solvents.
Moreover, the Ioncell-F process has been investigated with cellulose from other types of feedstock. The use of cotton waste to produce virgin fibers of higher quality compared to mechanically recycled material has been reported [246]. However, it was necessary to use a pretreatment to adjust the DP of the cellulose. The material was dissolved and regenerated, and fibers with tenacities as high as 58 cN/tex (870 MPa) were obtained. Another approach the use cellulosic waste, e.g., paper and cardboard, and solubilize all biopolymers in the material (i.e. also hemicelluloses and lignin) in the DBN AcO solvent to prepare a spin dope [247]. Also in this case, a series of refining steps (mechanical, chemical, enzymatic) of the raw material and an adjustment of the DP of the cellulose were required to achieve dissolution. The fibers showed again high tenacities and prototype textiles were produced to evaluate the fiber quality and the possibility to use lignin as a natural (beige/brown) dye.
A challenge to reach commercial success for the Ioncell-F process, and in general for ILs and QAEs, is the development of a viable and efficient solvent recovery system. Initial laboratory scale recycling trials were conducted and the results showed that DBN AcO can be recycled from aqueous media with an average recovery rate of 95.6 wt % using rotary evaporators [248]. The recycling of the solvent did not affect the chemical composition or DP of the recovered cellulose, however the color of the regenerated material became gradually darker with each regeneration cycle. Additionally, DBN AcO itself underwent detectable hydrolysis (6.0–13.6 mol% per cycle) yielding 3-(aminopropyl)-2-pyrrolidonium acetate. With increasing amount of this byproduct solubility of cellulose decreased and ceased at 30.6–45.6 wt % hydrolysis product. Water evaporation using a thin film short evaporation path; stability and toxicity tests of DBN AcO, and tests to remove oligosaccharides from the coagulation bath are being conducted [247].
Switchable ILs are another class of electrolytes worth a short mentioning in the frame of this review [226]. They are formed by mixing equimolar amounts of an alcohol with a strong organic base, e.g. amidines such as DBU, with gaseous CO2 at ambient pressure and room temperature. By combining these three components, an exothermic transformation takes place, converting the mixture to an ionic fluid by formation of the alkyl carbonate, between CO2 and the alcohol to subsequently form the amine salt (Figure 16). Addition of N2 or other gases leads to a shift of the CO2, and the system is surprisingly found to be fully reversible, resulting once more in the starting materials [249]. Suitable applications for such QAEs are supposedly in biomass processing [250,251,252] or for CO2 capture [253]. The switchable IL that is produced from DBU, methanol and CO2 was also shown to be able to dissolve cellulose. It could be used as reaction media for acylation of cellulose and yielded DSAc values of up to 2.94 depending on reaction conditions [254].
Figure 16.
Illustration of the concept and mechanism of switchable ILs; reprinted with permission from [226], Copyright (2013) Society of Chemical Industry.
6. Conclusions
Solutions of QAEs in MSs are exciting solvents for cellulose because of their structural versatility, and easy recycling. Cellulose dissolution is favored if the QAE is composed of a small, hard anion and a voluminous cation. The dissolution proceeds by a cooperative mechanism. The anion interacts with the hydroxyl groups of the AGU, leading to hydrogen bond disruption; the polymer chain thus acquires a negative charge. The repulsion between the negatively charged cellulose-anion complex is enhanced by: (i) steric crowding due to the attached sheath of the corresponding cation of the QAE; (ii) solvophobic interactions of the latter with the hydrophobic face of the AGU. Thus, the hardness of the anion and the hydrophobic character of the cation are important for cellulose dissolution.
The most employed QAEs are the halides, in particular TBAF·3H2O, the carboxylates, hydroxides and dialkyl phosphates. Solutions of cellulose/QAE/MS were successfully employed for derivatization of cellulose under homogeneous conditions into esters and mixed esters. Cellulose ethers were also obtained under homogeneous and heterogeneous conditions with difference in the distribution of the ether group along the biopolymer backbone, leading to different solubility, e.g., in water. Solutions of QA-hydroxides are suitable for cellulose dissolution, shaping and derivatization if the reagent is not particularly sensitive to hydrolysis.
The use of QAEs for regeneration and shaping as well as chemical modification of cellulose was reported to a limited extent in the literature. However, initial results from cellulose dissolved in QAEs, dominantly TBAAcO and TBAOH, showed high potential and their use in processing of cellulose is an active field of investigation. QA halides, such as TBAF and N2228Cl, proved to be excellent media for various acylation reactions. Some unconventional products are reported as well. Dissolution of cellulose in salts of super bases revealed promising results, and there are currently intensive research on shaping cellulose from such solvents. The formed fibers (Ioncell-F) showed favorable mechanical properties. However, the recovery of the solvent from such processes needs to be developed further. A common protocol for cellulose dissolution is needed to provide more consistency in data reporting, as already mentioned by Wang et al. [138] and Pinkert et al. [18,255].
The intended application of each cellulose solution, e.g., fiber spinning or chemical modification is a decisive factor for the choice of the right solvent system. From the sustainability point of view, the solvent should be stable under processing conditions and easily to recycle in a continuous process. The importance of other properties such as viscosity of the biopolymer solution and toxicity of QAE and MS should be taken into consideration.
Supplementary Materials
Supplementary File 1Acknowledgments
O.A.El Seoud and M. Kostag thank the FAPESP research foundation for financial support and postdoctoral fellowship (grants 2014/22136-4 and 2016/22869-7, respectively). O. A. El Seoud thanks CNPq for research productivity fellowship (grant 307022/2014-5). K. Jedvert gratefully acknowledges the Swedish Research Council Formas for financial support.
Conflicts of Interest
The authors declare no conflict of interest.
Abbreviations and Acronyms
| AcO | Acetate |
| AGU | Anhydroglucose unit |
| Al | Allyl group |
| AlMeImCl | 1-Allyl-3-methylimidazolium chloride |
| BuMeImCl | 1-Butyl-3-methylimidazolium chloride |
| Bz | Benzyl group |
| CDI | N,N′-Carbonyldiimidazole |
| Cel | Cellulose |
| ChCl | Choline chloride |
| CMC | Carboxymethyl cellulose |
| DBN | 1,5-Diazabicyclo[[4.3.0]non-5-ene |
| DBU | 1,8-Diazabicyclo[[5.4.0]undec-7-ene |
| DFT | Density functional theory |
| DMAc | N,N-Dimethylacetamide |
| DMF | N,N-Dimethylformamide |
| DMPh | Dimethylphosphate |
| DMSO | Dimethyl sulfoxide |
| DP | Average degree of polymerization |
| DS | Average degree of substitution |
| DSC | Differential scanning calorimetry |
| EtMeImAcO | 1-Ethyl-3-methylimidazolium acetate |
| Fo | Formate group |
| IL | Ionic liquid |
| MCC | Microcrystalline cellulose |
| MD | Molecular dynamics simulations |
| Me(OEt) | Methoxyethyl |
| MS | Molecular solvent |
| NMMO | N-Methylmorpholine N-oxide |
| NMP | N-Methyl-2-pyrrolidone |
| NRRRR | Quaternary ammonium ion, R = 1 (methyl), 2 (ethyl), Al (allyl), Bz (benzyl), Me(OEt) (2-methoxyethyl), e.g., N222 Me(OEt)2 = bis(2-methoxyethyl)triethyl ammonium |
| PHK | Prehydrolysis kraft |
| PrO | Proprionate group |
| QACl | Quaternary ammonium chloride |
| QAF | Quaternary ammonium fluoride |
| SA | Solvent acidity as determined by solvatochromic probes (also designated as α) |
| SB | Solvent basicity as determined by solvatochromic probes (also designated as β) |
| SEC | Size exclusion chromatography |
| SEM | Scanning electron microscopy |
| TBA | Tetra-(n-butyl)ammonium |
| TBAAcO | Tetra-(n-butyl)ammonium acetate |
| TBACN | Tetra-(n-butyl)ammonium cyanide |
| TBAF | Tetra-(n-butyl)ammonium fluoride |
| TBAOH | Tetra-(n-butyl)ammonium hydroxide |
| TBPOH | Tetra-(n-butyl)phosphonium hydroxide |
| TMG | Tetramethylguanidine, Tetramethylguanidinium |
| χ | Mole fraction |
| W | Mass fraction |
| ῦ | Wavenumber |
References
- Haemmerle, F.M. The cellulose gap (the future of cellulose fibres). Lenzing. Berichte 2011, 89, 12–21. [Google Scholar]
- Eichinger, D. A Vision of the World of Cellulosic Fibers in 2020. Lenzing. Berichte 2012, 90, 1–7. [Google Scholar]
- Bywater, N. The global viscose fibre industry in the 21st century - the first 10 years. Lenzing. Berichte 2011, 89, 22–29. [Google Scholar]
- Cross, C.F.; Bevan, E.J. Improvements in Dissolving Cellulose and Allied Compounds. British Patent Application No. 8700, 7 May 1892. [Google Scholar]
- Cross, C.F.; Bevan, E.J.; Beadle, C. LIV.-The interaction of alkali-cellulose and carbon bisulphide: Cellulose thisulphocarbonates. J. Chem. Soc. Trans. 1893, 63, 837–845. [Google Scholar] [CrossRef]
- Müller, M. GB Patent Application No. 10,094, 30 April 1906.
- Johnson, D.L. Method of Preparing Polymers from a Mixture of Cyclic Amine Oxides and Polymers. U.S. Patent 3508941 A, 28 April 1970. [Google Scholar]
- McCorsley, C.; Varga, J.K. Process for Making a Precursor of a Solution of Cellulose. U.S. Patent 4142913 A, 6 March 1979. [Google Scholar]
- Fink, H.-P.; Weigel, P.; Purz, H.J.; Ganster, J. Structure formation of regenerated cellulose materials from NMMO-solutions. Prog. Polym. Sci. 2001, 26, 1473–1524. [Google Scholar] [CrossRef]
- Perepelkin, K.E. Lyocell fibres based on direct dissolution of cellulose in N-methylmorpholine N-oxide: Development and prospects. Fibre Chem. 2007, 39, 163–172. [Google Scholar] [CrossRef]
- Michud, A.; Tanttu, M.; Asaadi, S.; Ma, Y.; Netti, E.; Kääriainen, P.; Persson, A.; Berntsson, A.; Hummel, M.; Sixta, H. Ioncell-F: ionic liquid-based cellulosic textile fibers as an alternative to viscose and Lyocell. Text. Res. J. 2016, 86, 543–552. [Google Scholar] [CrossRef]
- Turbak, A.F.; Hammer, R.B.; Davies, R.E.; Portnoy, N.A. A Critical Review of Cellulose Solvent Systems. In Solvent Spun Rayon, Modified Cellulose Fibers and Derivatives; ACS Symposium Series; American Chemical Society: Washington, DC, USA, 1977; Volume 58, pp. 12–24. ISBN 978-0-8412-0388-4. [Google Scholar]
- Klemm, D.; Philipp, B.; Heinze, T.; Heinze, U.; Wagenknecht, W. Swelling and Dissolution of Cellulose. In Comprehensive Cellulose Chemistry: Fundamentals and Analytical Methods, Volume 1; Wiley-VCH Verlag GmbH & Co. KGaA: Weinheim, Germany, 1998; pp. 43–82. ISBN 978-3-527-60192-9. [Google Scholar]
- Heinze, T.; Koschella, A. Solvents applied in the field of cellulose chemistry: a mini review. Polímeros 2005, 15, 84–90. [Google Scholar] [CrossRef]
- Liebert, T. Cellulose Solvents—Remarkable History, Bright Future. In Cellulose Solvents: For Analysis, Shaping and Chemical Modification; ACS Symposium Series; American Chemical Society: Washington, DC, USA, 2010; Volume 1033, pp. 3–54. ISBN 978-0-8412-0006-7. [Google Scholar]
- Heinze, T.; Liebert, T. 10.05—Celluloses and Polyoses/Hemicelluloses. In Polymer Science: A Comprehensive Reference; Matyjaszewski, K., Möller, M., Eds.; Elsevier: Amsterdam, The Netherlands, 2012; pp. 83–152. ISBN 978-0-08-087862-1. [Google Scholar]
- Swatloski, R.P.; Spear, S.K.; Holbrey, J.D.; Rogers, R.D. Dissolution of Cellose with Ionic Liquids. J. Am. Chem. Soc. 2002, 124, 4974–4975. [Google Scholar] [CrossRef] [PubMed]
- Pinkert, A.; Marsh, K.N.; Pang, S.; Staiger, M.P. Ionic Liquids and Their Interaction with Cellulose. Chem. Rev. 2009, 109, 6712–6728. [Google Scholar] [CrossRef] [PubMed]
- Wang, H.; Gurau, G.; Rogers, R.D. Dissolution of Biomass Using Ionic Liquids. In Structures and Interactions of Ionic Liquids; Zhang, S., Wang, J., Lu, X., Zhou, Q., Eds.; Springer: Berlin/Heidelberg, Germany, 2014; Volume 151, pp. 79–105. ISBN 978-3-642-38618-3. [Google Scholar]
- Hummel, M.; Laus, G.; Schwärzler, A.; Bentivoglio, G.; Rubatscher, E.; Kopacka, H.; Wurst, K.; Kahlenberg, V.; Gelbrich, T.; Griesser, U.J.; Röder, T.; Weber, H.K.; Schottenberger, H.; Sixta, H. Non-Halide Ionic Liquids for Solvation, Extraction, and Processing of Cellulosic Materials. In Cellulose Solvents: For Analysis, Shaping and Chemical Modification; ACS Symposium Series; American Chemical Society: Washington, DC, USA, 2010; Volume 1033, pp. 229–259. ISBN 978-0-8412-0006-7. [Google Scholar]
- Fukaya, Y.; Hayashi, K.; Kim, S.S.; Ohno, H. Design of Polar Ionic Liquids To Solubilize Cellulose without Heating. In Cellulose Solvents: For Analysis, Shaping and Chemical Modification; ACS Symposium Series; American Chemical Society: Washington, DC, USA, 2010; Volume 1033, pp. 55–66. ISBN 978-0-8412-0006-7. [Google Scholar]
- Itoh, T. Design of Ionic Liquids for Cellulose Dissolution. In Production of Biofuels and Chemicals with Ionic Liquids; Biofuels and Biorefineries; Springer: Dordrecht, Netherlands, 2014; pp. 91–106. ISBN 978-94-007-7710-1. [Google Scholar]
- Olivier-Bourbigou, H.; Magna, L.; Morvan, D. Ionic liquids and catalysis: Recent progress from knowledge to applications. Appl. Catal. Gen. 2010, 373, 1–56. [Google Scholar] [CrossRef]
- El Seoud, O.A.; Koschella, A.; Fidale, L.C.; Dorn, S.; Heinze, T. Applications of Ionic Liquids in Carbohydrate Chemistry: A Window of Opportunities. Biomacromolecules 2007, 8, 2629–2647. [Google Scholar] [CrossRef] [PubMed]
- Liebert, T.; Heinze, T. Interaction of ionic liquids wlth polysaccharides 5. Solvents and reaction media for the modification of cellulose. BioResources 2008, 3, 576–601. [Google Scholar] [CrossRef]
- Feng, L.; Chen, Z. Research progress on dissolution and functional modification of cellulose in ionic liquids. J. Mol. Liq. 2008, 142, 1–5. [Google Scholar] [CrossRef]
- Mäki-Arvela, P.; Anugwom, I.; Virtanen, P.; Sjöholm, R.; Mikkola, J.P. Dissolution of lignocellulosic materials and its constituents using ionic liquids–A review. Ind. Crops Prod. 2010, 32, 175–201. [Google Scholar] [CrossRef]
- Mora-Pale, M.; Meli, L.; Doherty, T.V.; Linhardt, R.J.; Dordick, J.S. Room temperature ionic liquids as emerging solvents for the pretreatment of lignocellulosic biomass. Biotechnol. Bioeng. 2011, 108, 1229–1245. [Google Scholar] [CrossRef] [PubMed]
- Tadesse, H.; Luque, R. Advances on biomass pretreatment using ionic liquids: An overview. Energy Environ. Sci. 2011, 4, 3913–3929. [Google Scholar] [CrossRef]
- Vancov, T.; Alston, A.-S.; Brown, T.; McIntosh, S. Use of ionic liquids in converting lignocellulosic material to biofuels. Renew. Energy 2012, 45, 1–6. [Google Scholar] [CrossRef]
- Mantz, R.A.; Fox, D.M.; Green, J.M.; Fylstra, P.A.; De, L.H.C.; Trulove, P.C. Dissolution of Biopolymers Using Ionic Liquids. Z. Für Naturforschung A 2014, 62, 275–280. [Google Scholar] [CrossRef]
- Isik, M.; Sardon, H.; Mecerreyes, D. Ionic Liquids and Cellulose: Dissolution, Chemical Modification and Preparation of New Cellulosic Materials. Int. J. Mol. Sci. 2014, 15, 11922–11940. [Google Scholar] [CrossRef] [PubMed]
- Cao, Y.; Zhang, R.; Cheng, T.; Guo, J.; Xian, M.; Liu, H. Imidazolium-based ionic liquids for cellulose pretreatment: recent progresses and future perspectives. Appl. Microbiol. Biotechnol. 2017, 101, 521–532. [Google Scholar] [CrossRef] [PubMed]
- Myllymaeki, V.; Aksela, R. A Method for Preparing a Cellulose Ether. WO Patent Application No. 2005054298 (A1), 16 June 2005. [Google Scholar]
- Fanselow, M.; Holbrey, J.; Seddon, K. A Method for Preparing a Cellulose Ether. WO Patent Application No. 2005054298 (A1), 16 June 2005. [Google Scholar]
- D’andola, G.; Szarvas, L.; Massonne, K.; Stegmann, V. Ionic Liquids for Solubilizing Polymers. WO Patent Application No. 2008043837 (A1), 17 April 2008. [Google Scholar]
- Kershaw, D.; Adams, S. Dissolution and Processing of Cellulose. WO Patent Application No. 2008062209 (A2), 29 May 2008. [Google Scholar]
- Buchanan, C.; Buchanan, N.; Hembre, R.; Lambert, J. Cellulose Esters and Their Production in Carboxylated Ionic Liquids. WO Patent Application No. 2008100566 (A1), 21 August 2008. [Google Scholar]
- Buchanan, C.; Buchanan, N. Cellulose Esters and Their Production in Halogenated Ionic Liquids. WO Patent Application No. 2009102306 (A1), 20 August 2009. [Google Scholar]
- Buchanan, C.; Buchanan, N. Production of Cellulose Esters in the Presence of a Cosolvent. WO Patent Application No. 2009102307 (A1), 20 August 2009. [Google Scholar]
- Ohno, H.; Fukaya, Y. Treating Agent for Polysaccharide. WO Patent Application No. 2008114584 (A1), 25 September 2008. [Google Scholar]
- Stegmann, V.; Massonne, K.; Maase, M.; Uerdingen, E.; Lutz, M.; Hermanutz, F.; Gaehr, F. Solvent System Based on Molten Ionic Liquids, Its Production and Use for Producing Regenerated Carbohydrates. U.S. Patent 2008269477 (A1), 30 October 2008. [Google Scholar]
- Zhang, Z.; Su, Y.; Brown, H. Method of Conversion of Carbohydrate Polymers to Value-Added Chemical Products. WO Patent Application No. 2009134631 (A1), 5 November 2009. [Google Scholar]
- Rogers, R.D.; Daly, D.T.; Gurau, G. Methods for Dissolving Polymers Using Mixtures of Different Ionic Liquids and Compositions Comprising the Mixtures. U.S. Patent 2012216705 (A1), 30 August 2012. [Google Scholar]
- Kano, H.; Ito, Y.; Aranishi, Y. Ester Compound of Cellulose Derivative and Manufacturing Method for Same. WO Patent Application No. 2012133003 (A1), 4 October 2012. [Google Scholar]
- King, A.W.T.; Selg, C.; Karhunen, P.; Matikainen, J.; Kilpeläinen, I. Method of Modifying Polymers. WO Patent Application No. 2014188081 (A1), 27 November 2014. [Google Scholar]
- Lielenfeld, L. Manufacture of cellulose solutions. GB Patent Application No. 216475 A, 3 November 1924. [Google Scholar]
- Lilienfeld, L. Verfahren zur Herstellung von Loesungen der Cellulose und ihrer Umwandlungsprodukte sowie alkaliloeslicher Cellulosederivate. Germany Patent Application No. 443095 C, 16 April 1927. [Google Scholar]
- Lielenfeld, L. Cellulose Solutions and Process for Their Production. GB Patent Application No. 217166 A, 29 September 1924. [Google Scholar]
- Lilienfeld, L. Cellulose Solutions and Process for Their Production. U.S. Patent 1771460A, 29 July 1930. [Google Scholar]
- Powers, D.H.; Bock, L.H. Cellulose Solutions. U.S. Patent 2009015 A, 23 July 1935. [Google Scholar]
- Lieser, T.; Ebert, R. Zur Kenntnis der Kohlenhydrate. X. Viscositätsuntersuchungen an Cellulose-lösungen. Justus Liebigs Ann. Chem. 1937, 532, 94–103. [Google Scholar] [CrossRef]
- Brownsett, T.; Clibbens, D.A. The dissolution of chemically modified cotton cellulose in alkaline solutions. Part VII. The solvent action of solutions of trimethylbenzyl- and dimethyldibenzylammonium hydroxides (Tritons B and F). J. Text. Inst. Trans. 1941, 32, T32–T44. [Google Scholar] [CrossRef]
- Brownsett, T.; Clibbens, D.A. A comparison of the rates of flow of modified cotton celluloses dissolved in solutions of trimethylbenzylammonium hydroxide (Triton B) and dimethyldibenzylammonium hydroxides (Triton F), sodium hydroxide, cuprammonium and cupri-ethylenediamine. J. Text. Inst. Trans. 1941, 32, T57–T70. [Google Scholar] [CrossRef]
- Scherer, P.C. Solubility of cellulose in ammonia salt solutions. J. Am. Chem. Soc. 1931, 53, 4009–4013. [Google Scholar] [CrossRef]
- De Groot, A.W.; Guinnup, D.E.; Theil, M.H.; Cuculo, J.A. Light-scattering studies on solutions of cellulose in the ammonia/ammonium thiocyanate solvent system. I. Classical light-scattering. J. Polym. Sci. Part B Polym. Phys. 1991, 29, 547–556. [Google Scholar] [CrossRef]
- Cuculo, J.A.; Smith, C.B.; Sangwatanaroj, U.; Stejskal, E.O.; Sankar, S.S. A study on the mechanism of dissolution of the cellulose/NH3/NH4SCN system. I. J. Polym. Sci. Part Polym. Chem. 1994, 32, 229–239. [Google Scholar] [CrossRef]
- Kamata, M.; Tabushi, I.; Morimoto, S.; Asaeda, T.; Aoki, Y. Method for Dissolving Cellulose in Organic Solvents and Resulting Cellulose Solutions. U.S. Patent 4597798 A, 1 July 1986. [Google Scholar]
- McCormick, C.L.; Lichatowich, D.K. Homogeneous solution reactions of cellulose, chitin, and other polysaccharides to produce controlled-activity pesticide systems. J. Polym. Sci. Polym. Lett. Ed. 1979, 17, 479–484. [Google Scholar] [CrossRef]
- Rane, D.S.; Sharma, M.M. New strategies for the Hofmann reaction. J. Chem. Technol. Biotechnol. 1994, 59, 271–277. [Google Scholar] [CrossRef]
- Kostag, M. Entwicklung neuer Lösemittel für Cellulose auf Basis von Alkylammoniumsalzen. Ph.D. Thesis, Friedrich Schiller University of Jena, Jena, Germany, 2015. [Google Scholar]
- Eschweiler, W. Ersatz von an Stickstoff gebundenen Wasserstoffatomen durch die Methylgruppe mit Hülfe von Formaldehyd. Berichte Dtsch. Chem. Ges. 1905, 38, 880–882. [Google Scholar] [CrossRef]
- Clarke, H.T.; Gillespie, H.B.; Weisshaus, S.Z. The Action of Formaldehyde on Amines and Amino Acids. J. Am. Chem. Soc. 1933, 55, 4571–4587. [Google Scholar] [CrossRef]
- Rosenau, T.; Potthast, A.; Röhrling, J.; Hofinger, A.; Sixta, H.; Kosma, P. A Solvent-Free and Formalin-Free Eschweiler-Clarke Methylation for Amines. Synth. Commun. 2002, 32, 457–466. [Google Scholar] [CrossRef]
- Menschutkin, N. Beiträge zur Kenntnis der Affinitätskoeffizienten der Alkylhaloide und der organischen Amine. Z. Für Phys. Chem. 1890, 5U, 589–600. [Google Scholar] [CrossRef]
- Menschutkin, N. Über die Affinitätskoeffizienten der Alkylhaloide und der Amine. Z. Für Phys. Chem. 1890, 6U, 41–57. [Google Scholar] [CrossRef]
- Clayden, J.; Greeves, N.; Warren, S. Organic Chemistry; OUP Oxford: UK, 2012; ISBN 978-0-19-927029-3. [Google Scholar]
- Brandt, A.; Hallett, J.P.; Leak, D.J.; Murphy, R.J.; Welton, T. The effect of the ionic liquid anion in the pretreatment of pine wood chips. Green Chem. 2010, 12, 672–679. [Google Scholar] [CrossRef]
- Xu, D.; Yang, Q.; Su, B.; Bao, Z.; Ren, Q.; Xing, H. Enhancing the Basicity of Ionic Liquids by Tuning the Cation–Anion Interaction Strength and via the Anion-Tethered Strategy. J. Phys. Chem. B 2014, 118, 1071–1079. [Google Scholar] [CrossRef] [PubMed]
- de Jesus, J.C.; Pires, P.A.R.; Scharf, M.; El Seoud, O.A. Solvation by aqueous solutions of imidazole-based ionic liquids: 2- A comparison between alkyl and alkoxy side-chains. Fluid Phase Equilibria 2017, 451, 48–56. [Google Scholar] [CrossRef]
- Aricò, F.; Tundo, P. Dimethyl carbonate as a modern green reagent and solvent. Russ. Chem. Rev. 2010, 79, 479–489. [Google Scholar] [CrossRef]
- Sharma, S.K. Reactions of dimethyl sulphate with amines-Structural elucidation and thermochemical studies. Indian J. Chem. 1994, 33A, 338–340. [Google Scholar]
- Meng, X.; Devemy, J.; Verney, V.; Gautier, A.; Husson, P.; Andanson, J.-M. Improving Cellulose Dissolution in Ionic Liquids by Tuning the Size of the Ions: Impact of the Length of the Alkyl Chains in Tetraalkylammonium Carboxylate. ChemSusChem 2017, 10, 1749–1760. [Google Scholar] [CrossRef] [PubMed]
- Krossing, I.; Slattery, J.M.; Daguenet, C.; Dyson, P.J.; Oleinikova, A.; Weingärtner, H. Why Are Ionic Liquids Liquid? A Simple Explanation Based on Lattice and Solvation Energies. J. Am. Chem. Soc. 2006, 128, 13427–13434. [Google Scholar] [CrossRef] [PubMed]
- Eike, D.M.; Brennecke, J.F.; Maginn, E.J. Predicting melting points of quaternary ammonium ionic liquids. Green Chem. 2003, 5, 323–328. [Google Scholar] [CrossRef]
- Ngo, H.L.; LeCompte, K.; Hargens, L.; McEwen, A.B. Thermal properties of imidazolium ionic liquids. Thermochim. Acta 2000, 357–358, 97–102. [Google Scholar] [CrossRef]
- Valderrama, J.O.; Campusano, R.A. Melting properties of molten salts and ionic liquids. Chemical homology, correlation, and prediction. Comptes Rendus Chim. 2016, 19, 654–664. [Google Scholar] [CrossRef]
- Glasser, W.G.; Atalla, R.H.; Blackwell, J.; Brown, R.M.; Burchard, W.; French, A.D.; Klemm, D.O.; Nishiyama, Y. About the structure of cellulose: debating the Lindman hypothesis. Cellulose 2012, 19, 589–598. [Google Scholar] [CrossRef]
- Lindman, B.; Karlström, G.; Stigsson, L. On the mechanism of dissolution of cellulose. J. Mol. Liq. 2010, 156, 76–81. [Google Scholar] [CrossRef]
- Medronho, B.; Romano, A.; Miguel, M.G.; Stigsson, L.; Lindman, B. Rationalizing cellulose (in)solubility: reviewing basic physicochemical aspects and role of hydrophobic interactions. Cellulose 2012, 19, 581–587. [Google Scholar] [CrossRef]
- Morgenstern, B.; Kammer, H.-W. Solvation in Cellulose-LiCl-DMAc Solutions. Trends Polym. Sci. 1996, 3, 87–91. [Google Scholar]
- Östlund, Å.; Lundberg, D.; Nordstierna, L.; Holmberg, K.; Nydén, M. Dissolution and Gelation of Cellulose in TBAF/DMSO Solutions: The Roles of Fluoride Ions and Water. Biomacromolecules 2009, 10, 2401–2407. [Google Scholar] [CrossRef] [PubMed]
- Idström, A.; Gentile, L.; Gubitosi, M.; Olsson, C.; Stenqvist, B.; Lund, M.; Bergquist, K.-E.; Olsson, U.; Köhnke, T.; Bialik, E. On the dissolution of cellulose in tetrabutylammonium acetate/dimethyl sulfoxide: A frustrated solvent. Cellulose 2017, 24, 3645–3657. [Google Scholar] [CrossRef]
- Mostofian, B.; Smith, J.C.; Cheng, X. Simulation of a cellulose fiber in ionic liquid suggests a synergistic approach to dissolution. Cellulose 2014, 21, 983–997. [Google Scholar] [CrossRef]
- Huang, Y.-B.; Xin, P.-P.; Li, J.-X.; Shao, Y.-Y.; Huang, C.-B.; Pan, H. Room-Temperature Dissolution and Mechanistic Investigation of Cellulose in a Tetra-Butylammonium Acetate/Dimethyl Sulfoxide System. ACS Sustain. Chem. Eng. 2016, 4, 2286–2294. [Google Scholar] [CrossRef]
- Cox, D.P.; Terpinski, J.; Lawrynowicz, W. “Anhydrous” tetrabutylammonium fluoride: a mild but highly efficient source of nucleophilic fluoride ion. J. Org. Chem. 1984, 49, 3216–3219. [Google Scholar] [CrossRef]
- Bioni, T.A.; Arêas, E.P.G.; Couto, L.G.; Favarin, G.; El Seoud, O.A. Dissolution of cellulose in mixtures of ionic liquid and molecular solvents: Relevance of solvent-solvent and cellulose-solvent interactions. Nord. Pulp Pap. Res. J. 2015, 30, 105–111. [Google Scholar] [CrossRef]
- Nawaz, H.; Pires, P.A.R.; Arêas, E.P.G.; Malek, N.I.; El Seoud, O.A. Probing Cellulose Acetylation in Binary Mixtures of an Ionic Liquid with Dimethylsulfoxide and Sulfolane by Chemical Kinetics, Viscometry, Spectroscopy, and Molecular Dynamics Simulations. Macromol. Chem. Phys. 2015, 216, 2368–2376. [Google Scholar] [CrossRef]
- Papanyan, Z.; Roth, C.; Wittler, K.; Reimann, S.; Ludwig, R. The Dissolution of Polyols in Salt Solutions and Ionic Liquids at Molecular Level: Ions, Counter Ions, and Hofmeister Effects. ChemPhysChem 2013, 14, 3667–3671. [Google Scholar] [CrossRef] [PubMed]
- Casarano, R.; Pires, P.A.R.; Borin, A.C.; Seoud, O.A.E. Novel solvents for cellulose: Use of dibenzyldimethylammonium fluoride/dimethyl sulfoxide (DMSO) as solvent for the etherification of the biopolymer and comparison with tetra(1-butyl)ammonium fluoride/DMSO. Ind. Crops Prod. 2014, 54, 185–191. [Google Scholar] [CrossRef]
- Hofmeister, F. Zur Lehre von der Wirkung der Salze. Arch. Für Exp. Pathol. Pharmakol. 1888, 24, 247–260. [Google Scholar] [CrossRef]
- Sun, H.; DiMagno, S.G. Anhydrous Tetrabutylammonium Fluoride. J. Am. Chem. Soc. 2005, 127, 2050–2051. [Google Scholar] [CrossRef] [PubMed]
- Köhler, S.; Heinze, T. New Solvents for Cellulose: Dimethyl Sulfoxide/Ammonium Fluorides. Macromol. Biosci. 2007, 7, 307–314. [Google Scholar] [CrossRef] [PubMed]
- Hefter, G.T. Fluoride solvation - the case of the missing ion. Pure Appl. Chem. 1991, 63, 1749–1758. [Google Scholar] [CrossRef]
- Landini, D.; Maia, A.; Rampoldi, A. Dramatic effect of the specific solvation on the reactivity of quaternary ammonium fluorides and poly (hydrogen fluorides),(HF)n.cntdot. F−, in media of low polarity. J. Org. Chem. 1989, 54, 328–332. [Google Scholar] [CrossRef]
- Albanese, D.; Landini, D.; Penso, M. Hydrated Tetrabutylammonium Fluoride as a Powerful Nucleophilic Fluorinating Agent. J. Org. Chem. 1998, 63, 9587–9589. [Google Scholar] [CrossRef]
- Fidale, L.C.; Köhler, S.; Prechtl, M.H.G.; Heinze, T.; Seoud, O.A.E. Simple, expedient methods for the determination of water and electrolyte contents of cellulose solvent systems. Cellulose 2006, 13, 581–592. [Google Scholar] [CrossRef]
- Moulthrop, J.S.; Swatloski, R.P.; Moyna, G.; Rogers, R.D. High-resolution 13C NMR studies of cellulose and cellulose oligomers in ionic liquid solutions. Chem. Commun. 2005, 0, 1557–1559. [Google Scholar] [CrossRef] [PubMed]
- Remsing, R.C.; Swatloski, R.P.; Rogers, R.D.; Moyna, G. Mechanism of cellulose dissolution in the ionic liquid 1-n-butyl-3-methylimidazolium chloride: A 13C and 35/37Cl NMR relaxation study on model systems. Chem. Commun. 2006, 0, 1271–1273. [Google Scholar] [CrossRef] [PubMed]
- Xu, H.; Pan, W.; Wang, R.; Zhang, D.; Liu, C. Understanding the mechanism of cellulose dissolution in 1-butyl-3-methylimidazolium chloride ionic liquid via quantum chemistry calculations and molecular dynamics simulations. J. Comput. Aided Mol. Des. 2012, 26, 329–337. [Google Scholar] [CrossRef] [PubMed]
- Zhao, Y.; Liu, X.; Wang, J.; Zhang, S. Effects of Cationic Structure on Cellulose Dissolution in Ionic Liquids: A Molecular Dynamics Study. ChemPhysChem 2012, 13, 3126–3133. [Google Scholar] [CrossRef] [PubMed]
- Andanson, J.-M.; Bordes, E.; Devémy, J.; Leroux, F.; Pádua, A.A.H.; Gomes, M.F.C. Understanding the role of co-solvents in the dissolution of cellulose in ionic liquids. Green Chem. 2014, 16, 2528–2538. [Google Scholar] [CrossRef]
- Zhang, J.; Xu, L.; Yu, J.; Wu, J.; Zhang, X.; He, J.; Zhang, J. Understanding cellulose dissolution: effect of the cation and anion structure of ionic liquids on the solubility of cellulose. Sci. China Chem. 2016, 59, 1421–1429. [Google Scholar] [CrossRef]
- Fukaya, Y.; Hayashi, K.; Wada, M.; Ohno, H. Cellulose dissolution with polar ionic liquids under mild conditions: required factors for anions. Green Chem. 2008, 10, 44–46. [Google Scholar] [CrossRef]
- Sellin, M.; Ondruschka, B.; Stark, A. Hydrogen Bond Acceptor Properties of Ionic Liquids and Their Effect on Cellulose Solubility. In Cellulose Solvents: For Analysis, Shaping and Chemical Modification; ACS Symposium Series; American Chemical Society: Washington, DC, USA, 2010; Volume 1033, pp. 121–135. ISBN 978-0-8412-0006-7. [Google Scholar]
- Cheng, G.; Varanasi, P.; Arora, R.; Stavila, V.; Simmons, B.A.; Kent, M.S.; Singh, S. Impact of Ionic Liquid Pretreatment Conditions on Cellulose Crystalline Structure Using 1-Ethyl-3-methylimidazolium Acetate. J. Phys. Chem. B 2012, 116, 10049–10054. [Google Scholar] [CrossRef] [PubMed]
- Radhi, A.; Le, K.A.; Ries, M.E.; Budtova, T. Macroscopic and Microscopic Study of 1-Ethyl-3-methyl-imidazolium Acetate–DMSO Mixtures. J. Phys. Chem. B 2015, 119, 1633–1640. [Google Scholar] [CrossRef] [PubMed]
- Mohan, M.; Banerjee, T.; Goud, V.V. Effect of Protic and Aprotic Solvents on the Mechanism of Cellulose Dissolution in Ionic Liquids: A Combined Molecular Dynamics and Experimental Insight. ChemistrySelect 2016, 1, 4823–4832. [Google Scholar] [CrossRef]
- Casarano, R.; Nawaz, H.; Possidonio, S.; da Silva, V.C.; El Seoud, O.A. A convenient solvent system for cellulose dissolution and derivatization: Mechanistic aspects of the acylation of the biopolymer in tetraallylammonium fluoride/dimethyl sulfoxide. Carbohydr. Polym. 2011, 86, 1395–1402. [Google Scholar] [CrossRef]
- Casarano, R.; Pires, P.A.R.; El Seoud, O.A. Acylation of cellulose in a novel solvent system: Solution of dibenzyldimethylammonium fluoride in DMSO. Carbohydr. Polym. 2014, 101, 444–450. [Google Scholar] [CrossRef] [PubMed]
- Bengtsson, J.; Olsson, C.; Hedlund, A.; Köhnke, T.; Bialik, E. Understanding the Inhibiting Effect of Small-Molecule Hydrogen Bond Donors on the Solubility of Cellulose in Tetrabutylammonium Acetate/DMSO. J. Phys. Chem. B 2017. [Google Scholar] [CrossRef] [PubMed]
- Borin, I.A.; Skaf, M.S. Molecular association between water and dimethyl sulfoxide in solution: A molecular dynamics simulation study. J. Chem. Phys. 1999, 110, 6412–6420. [Google Scholar] [CrossRef]
- Shin, D.N.; Wijnen, J.W.; Engberts, J.B.F.N.; Wakisaka, A. On the Origin of Microheterogeneity: A Mass Spectrometric Study of Dimethyl Sulfoxide−Water Binary Mixture. J. Phys. Chem. B 2001, 105, 6759–6762. [Google Scholar] [CrossRef]
- Minnick, D.L.; Flores, R.A.; DeStefano, M.R.; Scurto, A.M. Cellulose Solubility in Ionic Liquid Mixtures: Temperature, Cosolvent, and Antisolvent Effects. J. Phys. Chem. B 2016, 120, 7906–7919. [Google Scholar] [CrossRef] [PubMed]
- Vitz, J.; Erdmenger, T.; Haensch, C.; Schubert, U.S. Extended dissolution studies of cellulose in imidazolium based ionic liquids. Green Chem. 2009, 11, 417–424. [Google Scholar] [CrossRef]
- Zavrel, M.; Bross, D.; Funke, M.; Büchs, J.; Spiess, A.C. High-throughput screening for ionic liquids dissolving (ligno-)cellulose. Bioresour. Technol. 2009, 100, 2580–2587. [Google Scholar] [CrossRef] [PubMed]
- Mazza, M.; Catana, D.-A.; Vaca-Garcia, C.; Cecutti, C. Influence of water on the dissolution of cellulose in selected ionic liquids. Cellulose 2009, 16, 207–215. [Google Scholar] [CrossRef]
- Zhao, B.; Greiner, L.; Leitner, W. Cellulose solubilities in carboxylate-based ionic liquids. RSC Adv. 2012, 2, 2476–2479. [Google Scholar] [CrossRef]
- Ema, T.; Komiyama, T.; Sunami, S.; Sakai, T. Synergistic effect of quaternary ammonium hydroxide and crown ether on the rapid and clear dissolution of cellulose at room temperature. RSC Adv. 2014, 4, 2523–2525. [Google Scholar] [CrossRef]
- Miao, J.; Sun, H.; Yu, Y.; Song, X.; Zhang, L. Quaternary ammonium acetate: an efficient ionic liquid for the dissolution and regeneration of cellulose. RSC Adv. 2014, 4, 36721–36724. [Google Scholar] [CrossRef]
- Sun, H.; Miao, J.; Yu, Y.; Zhang, L. Dissolution of cellulose with a novel solvent and formation of regenerated cellulose fiber. Appl. Phys. A 2015, 119, 539–546. [Google Scholar] [CrossRef]
- Hinner, L.P.; Wissner, J.L.; Beurer, A.; Nebel, B.A.; Hauer, B. Homogeneous vinyl ester-based synthesis of different cellulose derivatives in 1-ethyl-3-methyl-imidazolium acetate. Green Chem. 2016, 18, 6099–6107. [Google Scholar] [CrossRef]
- Lv, Y.; Wu, J.; Zhang, J.; Niu, Y.; Liu, C.-Y.; He, J.; Zhang, J. Rheological properties of cellulose/ionic liquid/dimethylsulfoxide (DMSO) solutions. Polymer 2012, 53, 2524–2531. [Google Scholar] [CrossRef]
- Clough, M.T. Organic electrolyte solutions as versatile media for the dissolution and regeneration of cellulose. Green Chem. 2017, 19, 4754–4768. [Google Scholar] [CrossRef]
- Liu, J.; Zhang, J.; Zhang, B.; Zhang, X.; Xu, L.; Zhang, J.; He, J.; Liu, C.-Y. Determination of intrinsic viscosity-molecular weight relationship for cellulose in BmimAc/DMSO solutions. Cellulose 2016, 23, 2341–2348. [Google Scholar] [CrossRef]
- Zhang, C.; Kang, H.; Li, P.; Liu, Z.; Zhang, Y.; Liu, R.; Xiang, J.-F.; Huang, Y. Dual effects of dimethylsulfoxide on cellulose solvating ability of 1-allyl-3-methylimidazolium chloride. Cellulose 2016, 23, 1165–1175. [Google Scholar] [CrossRef]
- Lu, F.; Wang, L.; Zhang, C.; Cheng, B.; Liu, R.; Huang, Y. Influence of temperature on the solution rheology of cellulose in 1-ethyl-3-methylimidazolium chloride/dimethyl sulfoxide. Cellulose 2015, 22, 3077–3087. [Google Scholar] [CrossRef]
- Stolarska, O.; Pawlowska-Zygarowicz, A.; Soto, A.; Rodríguez, H.; Smiglak, M. Mixtures of ionic liquids as more efficient media for cellulose dissolution. Carbohydr. Polym. 2017, 178, 277–285. [Google Scholar] [CrossRef] [PubMed]
- Wang, L.; Gao, L.; Cheng, B.; Ji, X.; Song, J.; Lu, F. Rheological behaviors of cellulose in 1-ethyl-3-methylimidazolium chloride/dimethylsulfoxide. Carbohydr. Polym. 2014, 110, 292–297. [Google Scholar] [CrossRef] [PubMed]
- Iguchi, M.; Aida, T.M.; Watanabe, M.; Smith, J. Dissolution and recovery of cellulose from 1-butyl-3-methylimidazolium chloride in presence of water. Carbohydr. Polym. 2013, 92, 651–658. [Google Scholar] [CrossRef] [PubMed]
- Rein, D.M.; Khalfin, R.; Szekely, N.; Cohen, Y. True molecular solutions of natural cellulose in the binary ionic liquid-containing solvent mixtures. Carbohydr. Polym. 2014, 112, 125–133. [Google Scholar] [CrossRef] [PubMed]
- Le, K.A.; Rudaz, C.; Budtova, T. Phase diagram, solubility limit and hydrodynamic properties of cellulose in binary solvents with ionic liquid. Carbohydr. Polym. 2014, 105, 237–243. [Google Scholar] [CrossRef] [PubMed]
- Rinaldi, R. Instantaneous dissolution of cellulose in organic electrolyte solutions. Chem. Commun. 2011, 47, 511–513. [Google Scholar] [CrossRef] [PubMed]
- Gericke, M.; Liebert, T.; Seoud, O.A.E.; Heinze, T. Tailored Media for Homogeneous Cellulose Chemistry: Ionic Liquid/Co-Solvent Mixtures. Macromol. Mater. Eng. 2011, 296, 483–493. [Google Scholar] [CrossRef]
- Evlampieva, N.P.; Vitz, J.; Schubert, U.S.; Ryumtsev, E.I. Molecular solutions of cellulose in mixtures of ionic liquids with pyridine. Russ. J. Appl. Chem. 2009, 82, 666–672. [Google Scholar] [CrossRef]
- Gericke, M.; Fardim, P.; Heinze, T. Ionic Liquids - Promising but Challenging Solvents for Homogeneous Derivatization of Cellulose. Molecules 2012, 17, 7458–7502. [Google Scholar] [CrossRef] [PubMed]
- Pearson, R.G. Hard and soft acids and bases—the evolution of a chemical concept. Coord. Chem. Rev. 1990, 100, 403–425. [Google Scholar] [CrossRef]
- Wang, H.; Gurau, G.; Rogers, R.D. Ionic liquid processing of cellulose. Chem. Soc. Rev. 2012, 41, 1519–1537. [Google Scholar] [CrossRef] [PubMed]
- Xu, A.; Zhang, Y.; Zhao, Y.; Wang, J. Cellulose dissolution at ambient temperature: Role of preferential solvation of cations of ionic liquids by a cosolvent. Carbohydr. Polym. 2013, 92, 540–544. [Google Scholar] [CrossRef] [PubMed]
- Pinkert, A.; Marsh, K.N.; Pang, S. Reflections on the Solubility of Cellulose. Ind. Eng. Chem. Res. 2010, 49, 11121–11130. [Google Scholar] [CrossRef]
- El Seoud, O.; Nawaz, H.; Arêas, E. Chemistry and Applications of Polysaccharide Solutions in Strong Electrolytes/Dipolar Aprotic Solvents: An Overview. Molecules 2013, 18, 1270–1313. [Google Scholar] [CrossRef] [PubMed]
- King, A.W.T.; Asikkala, J.; Mutikainen, I.; Järvi, P.; Kilpeläinen, I. Distillable Acid-Base Conjugate Ionic Liquids for Cellulose Dissolution and Processing. Angew. Chem. Int. Ed. 2011, 50, 6301–6305. [Google Scholar] [CrossRef] [PubMed]
- Parviainen, A.; King, A.W.T.; Mutikainen, I.; Hummel, M.; Selg, C.; Hauru, L.K.J.; Sixta, H.; Kilpeläinen, I. Predicting Cellulose Solvating Capabilities of Acid-Base Conjugate Ionic Liquids. ChemSusChem 2013, 6, 2161–2169. [Google Scholar] [CrossRef] [PubMed]
- Kilpeläinen, I.; King, A.; Karhunen, P.; Matikainen, J.; Helsinki, U.O. Process for Fibrillating Lignocellulosic Material, Fibres and Their Use. WO Patent Application No. 2011114004A1, 22 September 2011. [Google Scholar]
- King, A.W.T.; Kilpelainen, I. Method of Dissolving Lignocellulosic Materials. U.S. Patent 20130153163 A1, 20 June 2013. [Google Scholar]
- Kilpelainen, I.; King, A.; Karhunen, P.; Matikainen, J. Process for Fibrillating Lignocellulosic Material, Fibres and Their Use. U.S. Patent 2013056165 A1, 7 March 2013. [Google Scholar]
- Hauru, L.K.J.; Hummel, M.; King, A.W.T.; Kilpeläinen, I.; Sixta, H. Role of Solvent Parameters in the Regeneration of Cellulose from Ionic Liquid Solutions. Biomacromolecules 2012, 13, 2896–2905. [Google Scholar] [CrossRef] [PubMed]
- Abe, M.; Fukaya, Y.; Ohno, H. Fast and facile dissolution of cellulose with tetrabutylphosphonium hydroxide containing 40 wt % water. Chem. Commun. 2012, 48, 1808–1810. [Google Scholar] [CrossRef] [PubMed]
- Abe, M.; Yamada, T.; Ohno, H. Dissolution of wet wood biomass without heating. RSC Adv. 2014, 4, 17136–17140. [Google Scholar] [CrossRef]
- Abe, M.; Kuroda, K.; Ohno, H. Maintenance-Free Cellulose Solvents Based on Onium Hydroxides. ACS Sustain. Chem. Eng. 2015, 3, 1771–1776. [Google Scholar] [CrossRef]
- Cai, J.; Zhang, L. Rapid Dissolution of Cellulose in LiOH/Urea and NaOH/Urea Aqueous Solutions. Macromol. Biosci. 2005, 5, 539–548. [Google Scholar] [CrossRef] [PubMed]
- Xiong, B.; Zhao, P.; Hu, K.; Zhang, L.; Cheng, G. Dissolution of cellulose in aqueous NaOH/urea solution: role of urea. Cellulose 2014, 21, 1183–1192. [Google Scholar] [CrossRef]
- Tadros, T.F. Emulsion Science and Technology: A General Introduction. In Emulsion Science and Technology; Tadros, T.F., Ed.; Wiley-VCH Verlag GmbH & Co. KGaA: Weinheim, Germany, 2009; pp. 1–56. ISBN 978-3-527-62656-4. [Google Scholar]
- Wei, W.; Meng, F.; Cui, Y.; Jiang, M.; Zhou, Z. Room temperature dissolution of cellulose in tetra-butylammonium hydroxide aqueous solvent through adjustment of solvent amphiphilicity. Cellulose 2017, 24, 49–59. [Google Scholar] [CrossRef]
- Abe, M.; Sugimura, K.; Nishiyama, Y.; Nishio, Y. Rapid Benzylation of Cellulose in Tetra-n-butylphosphonium Hydroxide Aqueous Solution at Room Temperature. ACS Sustain. Chem. Eng. 2017, 5, 4505–4510. [Google Scholar] [CrossRef]
- Liebert, T. Innovative Concepts for the Shaping and Modification of Cellulose. Macromol. Symp. 2008, 262, 28–38. [Google Scholar] [CrossRef]
- Handy, S.T.; Okello, M. The 2-Position of Imidazolium Ionic Liquids: Substitution and Exchange. J. Org. Chem. 2005, 70, 1915–1918. [Google Scholar] [CrossRef] [PubMed]
- Ebner, G.; Schiehser, S.; Potthast, A.; Rosenau, T. Side reaction of cellulose with common 1-alkyl-3-methylimidazolium-based ionic liquids. Tetrahedron Lett. 2008, 49, 7322–7324. [Google Scholar] [CrossRef]
- Clough, M.T.; Geyer, K.; Hunt, P.A.; Mertes, J.; Welton, T. Thermal decomposition of carboxylate ionic liquids: trends and mechanisms. Phys. Chem. Chem. Phys. 2013, 15, 20480–20495. [Google Scholar] [CrossRef] [PubMed]
- Clough, M.T.; Geyer, K.; Hunt, P.A.; Son, S.; Vagt, U.; Welton, T. Ionic liquids: not always innocent solvents for cellulose. Green Chem. 2015, 17, 231–243. [Google Scholar] [CrossRef]
- Clough, M.T.; Griffith, J.A.; Kuzmina, O.; Welton, T. Enhancing the stability of ionic liquid media for cellulose processing: acetal protection or carbene suppression? Green Chem. 2016, 18, 3758–3766. [Google Scholar] [CrossRef]
- Tanczos, I.; Borsa, J.; Sajó, I.; László, K.; Juhász, Z.A.; Tóth, T. Effect of tetramethylammonium hydroxide on cotton cellulose compared to sodium hydroxide. Macromol. Chem. Phys. 2000, 201, 2550–2556. [Google Scholar] [CrossRef]
- Shimizu, M.; Saito, T.; Isogai, A. Bulky Quaternary Alkylammonium Counterions Enhance the Nanodispersibility of 2,2,6,6-Tetramethylpiperidine-1-oxyl-Oxidized Cellulose in Diverse Solvents. Biomacromolecules 2014, 15, 1904–1909. [Google Scholar] [CrossRef] [PubMed]
- Zhong, C.; Wang, C.; Huang, F.; Jia, H.; Wei, P. Wheat straw cellulose dissolution and isolation by tetra-n-butylammonium hydroxide. Carbohydr. Polym. 2013, 94, 38–45. [Google Scholar] [CrossRef] [PubMed]
- Zhong, C.; Wang, C.; Wang, F.; Jia, H.; Wei, P.; Zhao, Y. Application of tetra-n-methylammonium hydroxide on cellulose dissolution and isolation from sugarcane bagasse. Carbohydr. Polym. 2016, 136, 979–987. [Google Scholar] [CrossRef] [PubMed]
- Medronho, B.; Duarte, H.; Magalhães, S.; Alves, L.; Valente, A.J.M.; Romano, A. From a new cellulose solvent to the cyclodextrin induced formation of hydrogels. Colloids Surf. Physicochem. Eng. Asp. 2017, 532, 548–555. [Google Scholar] [CrossRef]
- Bahram, M.; Mohseni, N.; Moghtader, M. An Introduction to Hydrogels and Some Recent Applications. In Emerging Concepts in Analysis and Applications of Hydrogels; InTech: London, UK, 2016; ISBN 978-953-51-2510-5. [Google Scholar]
- Köhler, S.; Liebert, T.; Heinze, T. Ammonium-Based Cellulose Solvents Suitable for Homogeneous Etherification. Macromol. Biosci. 2009, 9, 836–841. [Google Scholar] [CrossRef] [PubMed]
- Köhler, S.; Liebert, T.; Heinze, T.; Vollmer, A.; Mischnick, P.; Möllmann, E.; Becker, W. Interactions of ionic liquids with polysaccharides 9. Hydroxyalkylation of cellulose without additional inorganic bases. Cellulose 2010, 17, 437–448. [Google Scholar] [CrossRef]
- Zhao, H.; Baker, G.A.; Song, Z.; Olubajo, O.; Crittle, T.; Peters, D. Designing enzyme-compatible ionic liquids that can dissolve carbohydrates. Green Chem. 2008, 10, 696–705. [Google Scholar] [CrossRef]
- Chen, Z.; Liu, S.; Li, Z.; Zhang, Q.; Deng, Y. Dialkoxy functionalized quaternary ammonium ionic liquids as potential electrolytes and cellulose solvents. New J. Chem. 2011, 35, 1596–1606. [Google Scholar] [CrossRef]
- Lin, L.; Yamaguchi, H.; Tsuchii, K. Solvent Used for Dissolving Polysaccharide and Method for Manufacturing Molded Article and Polysaccharide Derivative Using This Solvent. WO Patent Application No. 2012128315 (A1), 21 September 2012. [Google Scholar]
- Heinze, T.; Dicke, R.; Koschella, A.; Kull, A.H.; Klohr, E.-A.; Koch, W. Effective preparation of cellulose derivatives in a new simple cellulose solvent. Macromol. Chem. Phys. 2000, 201, 627–631. [Google Scholar] [CrossRef]
- Bredereck, K.; Hermanutz, F. Man–made cellulosics. Rev. Prog. Color. Relat. Top. 2005, 35, 59–75. [Google Scholar] [CrossRef]
- Bengtsson, J. Evaluating recyclability and suitability of tetrabutylammonium acetate: Dimethyl sulfoxide as a solvent for cellulose. Master’s Thesis, University of Borås, Borås, Sweden, 2016. [Google Scholar]
- Jiang, Z.; Chen, D.; Yu, Y.; Miao, J.; Liu, Y.; Zhang, L. Composite fibers prepared from multi-walled carbon nanotubes/cellulose dispersed/dissolved in ammonium/dimethyl sulfoxide mixed solvent. RSC Adv. 2017, 7, 2186–2192. [Google Scholar] [CrossRef]
- Yu, Y.; Miao, J.; Jiang, Z.; Sun, H.; Zhang, L. Cellulose esters synthesized using a tetrabutylammonium acetate and dimethylsulfoxide solvent system. Appl. Phys. A 2016, 122, 656. [Google Scholar] [CrossRef]
- Yu, Y.; Jiang, Z.; Miao, J.; Liu, Y.; Zhang, L. Application of the Solvent Dimethyl Sulfoxide/Tetrabutyl-Ammonium Acetate as Reaction Medium for Mix-Acylation of Pulp. Adv. Polym. Technol. 2016. [Google Scholar] [CrossRef]
- Xin, P.-P.; Huang, Y.-B.; Hse, C.-Y.; Cheng, H.; Huang, C.; Pan, H. Modification of Cellulose with Succinic Anhydride in TBAA/DMSO Mixed Solvent under Catalyst-Free Conditions. Materials 2017, 10, 526. [Google Scholar] [CrossRef] [PubMed]
- Xu, A.-R.; Wen, S.; Chen, L. Dissolution performance of cellulose in MIM plus tetrabutylammonium propionate solvent. J. Mol. Liq. 2017, 246, 153–156. [Google Scholar] [CrossRef]
- Raut, D.G.; Sundman, O.; Su, W.; Virtanen, P.; Sugano, Y.; Kordas, K.; Mikkola, J.-P. A morpholinium ionic liquid for cellulose dissolution. Carbohydr. Polym. 2015, 130, 18–25. [Google Scholar] [CrossRef] [PubMed]
- Ohira, K.; Abe, Y.; Kawatsura, M.; Suzuki, K.; Mizuno, M.; Amano, Y.; Itoh, T. Design of Cellulose Dissolving Ionic Liquids Inspired by Nature. ChemSusChem 2012, 5, 388–391. [Google Scholar] [CrossRef] [PubMed]
- Ohira, K.; Yoshida, K.; Hayase, S.; Itoh, T. Amino Acid Ionic Liquid as an Efficient Cosolvent of Dimethyl Sulfoxide to Realize Cellulose Dissolution at Room Temperature. Chem. Lett. 2012, 41, 987–989. [Google Scholar] [CrossRef]
- Hou, X.-D.; Xu, J.; Li, N.; Zong, M.-H. Effect of anion structures on cholinium ionic liquids pretreatment of rice straw and the subsequent enzymatic hydrolysis. Biotechnol. Bioeng. 2015, 112, 65–73. [Google Scholar] [CrossRef] [PubMed]
- Liu, Q.-P.; Hou, X.-D.; Li, N.; Zong, M.-H. Ionic liquids from renewable biomaterials: Synthesis, characterization and application in the pretreatment of biomass. Green Chem 2012, 14, 304–307. [Google Scholar] [CrossRef]
- Boissou, F.; Mühlbauer, A.; De Oliveira Vigier, K.; Leclercq, L.; Kunz, W.; Marinkovic, S.; Estrine, B.; Nardello-Rataj, V.; Jérôme, F. Transition of cellulose crystalline structure in biodegradable mixtures of renewably-sourced levulinate alkyl ammonium ionic liquids, γ-valerolactone and water. Green Chem 2014, 16, 2463–2471. [Google Scholar] [CrossRef]
- Heinze, T.; Schwikal, K.; Barthel, S. Ionic Liquids as Reaction Medium in Cellulose Functionalization. Macromol. Biosci. 2005, 5, 520–525. [Google Scholar] [CrossRef] [PubMed]
- Moellmann, E.; Heinze, T.; Liebert, T.; Koehler, S. Homogeneous Synthesis of Cellulose Ethers in Ionic Liquids. U.S. Patent 8541571 B2, 24 September 2013. [Google Scholar]
- Kleinert, M.; Heinze, T.; Liebert, T.; Kostag, M. Cellulose- und Celluloseether-Lösungen und deren Verwendung. Germany Patent Application No. 102012024727 A1, 18 June 2012. [Google Scholar]
- Kleinert, M.; Heinze, T.; Liebert, T.; Kostag, M. Cellulose and Cellulose Ether Solutions and Use Thereof. U.S. Patent 20140171352A1, 19 June 2014. [Google Scholar]
- Kleinert, M.; Heinze, T.; Liebert, T.; Kostag, M. Cellulosic and Cellulose Ether Solutions and Their Use. European Patent Application No. 2746348 B1, 21 October 2015. [Google Scholar]
- Kostag, M.; Liebert, T.; El Seoud, O.A.; Heinze, T. Efficient Cellulose Solvent: Quaternary Ammonium Chlorides. Macromol. Rapid Commun. 2013, 34, 1580–1584. [Google Scholar] [CrossRef] [PubMed]
- Kostag, M.; Liebert, T.; Heinze, T. Acetone-Based Cellulose Solvent. Macromol. Rapid Commun. 2014, 35, 1419–1422. [Google Scholar] [CrossRef] [PubMed]
- Achtel, C.; Jedvert, K.; Kosan, B.; Seoud, O.A.E.; Heinze, T. Dissolution Capacity of Novel Cellulose Solvents Based on Triethyloctylammonium Chloride. Macromol. Chem. Phys. 2017, 218, 1700208. [Google Scholar] [CrossRef]
- Heinze, T.; Kostag, M.; Liebert, T. Lösen von Cellulose einfach gemacht - Ionische Flüssigkeiten ebnen den Weg. GIT Labor-Fachz. 2015, 06, 52–54. [Google Scholar]
- Achtel, C.; Heinze, T. Homogeneous Acetylation of Cellulose in the New Solvent Triethyloctylammonium Chloride in Combination with Organic Liquids. Macromol. Chem. Phys. 2016, 217, 2041–2048. [Google Scholar] [CrossRef]
- Zhao, D.; Liu, M.; Ren, H.; Li, H.; Fu, L.; Ren, P. Dissolution of cellulose in NaOH based solvents at low temperature. Fibers Polym. 2013, 14, 1261–1265. [Google Scholar] [CrossRef]
- Ciacco, G.T.; Liebert, T.F.; Frollini, E.; Heinze, T.J. Application of the solvent dimethyl sulfoxide/tetrabutyl-ammonium fluoride trihydrate as reaction medium for the homogeneous acylation of Sisal cellulose. Cellulose 2003, 10, 125–132. [Google Scholar] [CrossRef]
- Regiani, A.M.; Frollini, E.; Marson, G.A.; Arantes, G.M.; El Seoud, O.A. Some aspects of acylation of cellulose under homogeneous solution conditions. J. Polym. Sci. Part Polym. Chem. 1999, 37, 1357–1363. [Google Scholar] [CrossRef]
- Ass, B.A.P.; Frollini, E.; Heinze, T. Studies on the Homogeneous Acetylation of Cellulose in the Novel Solvent Dimethyl Sulfoxide/Tetrabutylammonium Fluoride Trihydrate. Macromol. Biosci. 2004, 4, 1008–1013. [Google Scholar] [CrossRef] [PubMed]
- Bryce, M.R. Recent progress on conducting organic charge-transfer salts. Chem Soc Rev 1991, 20, 355–390. [Google Scholar] [CrossRef]
- Underhill, A.E. Feature article. Molecular metals and superconductors. J Mater Chem 1992, 2, 1–11. [Google Scholar] [CrossRef]
- Nawaz, H.; Casarano, R.; Seoud, O.A.E. First report on the kinetics of the uncatalyzed esterification of cellulose under homogeneous reaction conditions: a rationale for the effect of carboxylic acid anhydride chain-length on the degree of biopolymer substitution. Cellulose 2012, 19, 199–207. [Google Scholar] [CrossRef]
- Hussain, M.A.; Liebert, T.; Heinze, T. Acylation of Cellulose with N,N′-Carbonyldiimidazole-Activated Acids in the Novel Solvent Dimethyl Sulfoxide/Tetrabutylammonium Fluoride. Macromol. Rapid Commun. 2004, 25, 916–920. [Google Scholar] [CrossRef]
- Liebert, T.F.; Heinze, T. Tailored Cellulose Esters: Synthesis and Structure Determination. Biomacromolecules 2005, 6, 333–340. [Google Scholar] [CrossRef] [PubMed]
- Nagel, M.C.V.; Heinze, T. Esterification of cellulose with acyl-1H-benzotriazole. Polym. Bull. 2010, 65, 873–881. [Google Scholar] [CrossRef]
- Xu, D.; Edgar, K.J. TBAF and Cellulose Esters: Unexpected Deacylation with Unexpected Regioselectivity. Biomacromolecules 2012, 13, 299–303. [Google Scholar] [CrossRef] [PubMed]
- Edgar, K.; Xu, D.; Zheng, X. Regioselectively Substituted Cellulose Esters and Efficient Methods of Preparing Them. U.S. Patent 2013178614 (A1), 11 July 2013. [Google Scholar]
- Zheng, X.; Gandour, R.D.; Edgar, K.J. Probing the Mechanism of TBAF-Catalyzed Deacylation of Cellulose Esters. Biomacromolecules 2013, 14, 1388–1394. [Google Scholar] [CrossRef] [PubMed]
- Zheng, X.; Gandour, R.D.; Edgar, K.J. TBAF-catalyzed deacylation of cellulose esters: Reaction scope and influence of reaction parameters. Carbohydr. Polym. 2013, 98, 692–698. [Google Scholar] [CrossRef] [PubMed]
- Chen, J.; Su, M.; Zhang, X.; Chen, R.; Hong, J.; Yang, L.; Yang, Z. The role of cations in homogeneous succinoylation of mulberry wood cellulose in salt-containing solvents under mild conditions. Cellulose 2014, 21, 4081–4091. [Google Scholar] [CrossRef]
- Yoshimura, T.; Matsuo, K.; Fujioka, R. Novel biodegradable superabsorbent hydrogels derived from cotton cellulose and succinic anhydride: Synthesis and characterization. J. Appl. Polym. Sci. 2006, 99, 3251–3256. [Google Scholar] [CrossRef]
- Heinze, T.; Pohl, M.; Schaller, J.; Meister, F. Novel Bulky Esters of Cellulose. Macromol. Biosci. 2007, 7, 1225–1231. [Google Scholar] [CrossRef] [PubMed]
- Ramos, L.A.; Frollini, E.; Koschella, A.; Heinze, T. Benzylation of cellulose in the solvent dimethylsulfoxide/tetrabutylammonium fluoride trihydrate. Cellulose 2005, 12, 607–619. [Google Scholar] [CrossRef]
- Rohleder, E.; Heinze, T. Comparison of Benzyl Celluloses Synthesized in Aqueous NaOH and Dimethyl Sulfoxide/Tetrabutylammonium Fluoride. Macromol. Symp. 2010, 294, 107–116. [Google Scholar] [CrossRef]
- Liebert, T.F.; Heinze, T.J. Exploitation of Reactivity and Selectivity in Cellulose Functionalization Using Unconventional Media for the Design of Products Showing New Superstructures. Biomacromolecules 2001, 2, 1124–1132. [Google Scholar] [CrossRef] [PubMed]
- Heinze, T.; Lincke, T.; Fenn, D.; Koschella, A. Efficient allylation of cellulose in dimethyl sulfoxide/tetrabutylammonium fluoride trihydrate. Polym. Bull. 2008, 61, 1–9. [Google Scholar] [CrossRef]
- Ikeda, I.; Washino, K.; Maeda, Y. Graft Polymerization of Cyclic Compounds on Cellulose Dissolved in Tetrabutylammonium Fluoride ⁄ Dimethyl Sulfoxide. Seni Gakkaishi 2003, 59, 110–114. [Google Scholar] [CrossRef]
- Koschella, A.; Heinze, T. Unconventional cellulose products by fluorination of tosyl cellulose. Macromol. Symp. 2003, 197, 243–254. [Google Scholar] [CrossRef]
- Buchanan, C.M.; Buchanan, N.L.; Guzman-Morales, E. Regioselectively Substituted Cellulose Esters Produced in a Tetraalkylammonium Alkylphosphate Ionic Liquid Process and Products Produced Therefrom. U.S. Patent 2010267942 A1, 21 October 2010. [Google Scholar]
- Buchanan, C.M.; Buchanan, N.L.; Guzman-Morales, E. Cellulose Solutions Comprising Tetraalkylammonium Alkylphosphate and Products Produced Therefrom. U.S. Patent 2012041080 A1, 29 November 2011. [Google Scholar]
- Buchanan, C.M.; Buchanan, N.L.; Guzman-Morales, E. Cellulose Solutions Comprising Tetraalkylammonium Alkylphosphate and Products Produced Therefrom. U.S. Patent 8067488 B2, 16 February 2012. [Google Scholar]
- Abbott, A.P.; Capper, G.; Davies, D.L.; Rasheed, R.K.; Tambyrajah, V. Novel solvent properties of choline chloride/urea mixtures. Chem. Commun. 2003, 70–71. [Google Scholar] [CrossRef]
- Abbott, A.P.; Boothby, D.; Capper, G.; Davies, D.L.; Rasheed, R.K. Deep Eutectic Solvents Formed between Choline Chloride and Carboxylic Acids: Versatile Alternatives to Ionic Liquids. J. Am. Chem. Soc. 2004, 126, 9142–9147. [Google Scholar] [CrossRef] [PubMed]
- Ruß, C.; König, B. Low melting mixtures in organic synthesis—An alternative to ionic liquids? Green Chem. 2012, 14, 2969–2982. [Google Scholar] [CrossRef]
- Domínguez de María, P. Recent trends in (ligno)cellulose dissolution using neoteric solvents: switchable, distillable and bio-based ionic liquids: Recent trends in (ligno)cellulose dissolution with ionic liquids. J. Chem. Technol. Biotechnol. 2014, 89, 11–18. [Google Scholar] [CrossRef]
- Tang, X.; Zuo, M.; Li, Z.; Liu, H.; Xiong, C.; Zeng, X.; Sun, Y.; Hu, L.; Liu, S.; Lei, T.; Lin, L. Green Processing of Lignocellulosic Biomass and Its Derivatives in Deep Eutectic Solvents. ChemSusChem 2017, 10, 2696–2706. [Google Scholar] [CrossRef] [PubMed]
- Ren, H.; Chen, C.; Guo, S.; Zhao, D.; Wang, Q. Synthesis of a Novel Allyl-Functionalized Deep Eutectic Solvent to Promote Dissolution of Cellulose. BioResources 2016, 11, 8457–8469. [Google Scholar] [CrossRef]
- Ren, H.; Chen, C.; Wang, Q.; Zhao, D.; Guo, S. The Properties of Choline Chloride-based Deep Eutectic Solvents and their Performance in the Dissolution of Cellulose. BioResources 2016, 11, 5435–5451. [Google Scholar] [CrossRef]
- Lynam, J.G.; Kumar, N.; Wong, M.J. Deep eutectic solvents’ ability to solubilize lignin, cellulose, and hemicellulose; thermal stability; and density. Bioresour. Technol. 2017, 238, 684–689. [Google Scholar] [CrossRef] [PubMed]
- Sirviö, J.A.; Visanko, M.; Liimatainen, H. Acidic Deep Eutectic Solvents As Hydrolytic Media for Cellulose Nanocrystal Production. Biomacromolecules 2016, 17, 3025–3032. [Google Scholar] [CrossRef] [PubMed]
- Suopajärvi, T.; Sirviö, J.A.; Liimatainen, H. Nanofibrillation of deep eutectic solvent-treated paper and board cellulose pulps. Carbohydr. Polym. 2017, 169, 167–175. [Google Scholar] [CrossRef] [PubMed]
- Abbott, A.P.; Bell, T.J.; Handa, S.; Stoddart, B. O-Acetylation of cellulose and monosaccharides using a zinc based ionic liquid. Green Chem. 2005, 7, 705–707. [Google Scholar] [CrossRef]
- Abbott, A.P.; Bell, T.J.; Handa, S.; Stoddart, B. Cationic functionalisation of cellulose using a choline based ionic liquid analogue. Green Chem. 2006, 8, 784–786. [Google Scholar] [CrossRef]
- Selkälä, T.; Sirviö, J.A.; Lorite, G.S.; Liimatainen, H. Anionically Stabilized Cellulose Nanofibrils through Succinylation Pretreatment in Urea-Lithium Chloride Deep Eutectic Solvent. ChemSusChem 2016, 9, 3074–3083. [Google Scholar] [CrossRef] [PubMed]
- Sirviö, J.A.; Heiskanen, J.P. Synthesis of Alkaline-Soluble Cellulose Methyl Carbamate Using a Reactive Deep Eutectic Solvent. ChemSusChem 2017, 10, 455–460. [Google Scholar] [CrossRef] [PubMed]
- Jogunola, O.; Eta, V.; Hedenström, M.; Sundman, O.; Salmi, T.; Mikkola, J.-P. Ionic liquid mediated technology for synthesis of cellulose acetates using different co-solvents. Carbohydr. Polym. 2016, 135, 341–348. [Google Scholar] [CrossRef] [PubMed]
- Qu, Y.; Wei, Q.; Li, H.; Oleskowicz-Popiel, P.; Huang, C.; Xu, J. Microwave-assisted conversion of microcrystalline cellulose to 5-hydroxymethylfurfural catalyzed by ionic liquids. Bioresour. Technol. 2014, 162, 358–364. [Google Scholar] [CrossRef] [PubMed]
- Carrera, G.V.S.M.; Raymundo, A.; Fernandes, F.M.B.; Jordão, N.; Sousa, I.; da Ponte, M.N.; Branco, L.C. Tetramethylguanidine-based gels and colloids of cellulose. Carbohydr. Polym. 2017, 169, 58–64. [Google Scholar] [CrossRef] [PubMed]
- Sixta, H.; Michud, A.; Hauru, L.; Asaadi, S.; Ma, Y.; King, A.W.; Kilpelainen, I.; Hummel, M. Ioncell-F: A high-strength regenerated cellulose fibre. Nord. Pulp Pap. Res. J. 2015, 30, 43–57. [Google Scholar] [CrossRef]
- Michud, A.; King, A.; Parviainen, A.; Sixta, H.; Hauru, L.; Hummel, M.; Kilpeläinen, I. Process for the Production of Shaped Cellulose Articles. WO Patent Application No. 2014162062 (A1), 9 October 2014. [Google Scholar]
- Hauru, L.K.J.; Hummel, M.; Michud, A.; Sixta, H. Dry jet-wet spinning of strong cellulose filaments from ionic liquid solution. Cellulose 2014, 21, 4471–4481. [Google Scholar] [CrossRef]
- Hummel, M.; Michud, A.; Tanttu, M.; Asaadi, S.; Ma, Y.; Hauru, L.K.J.; Parviainen, A.; King, A.W.T.; Kilpeläinen, I.; Sixta, H. Ionic Liquids for the Production of Man-Made Cellulosic Fibers: Opportunities and Challenges. In Cellulose Chemistry and Properties: Fibers, Nanocelluloses and Advanced Materials; Springer: Berlin/Heidelberg, Germany, 2015; pp. 133–168. ISBN 978-3-319-26013-6. [Google Scholar]
- Michud, A.; Hummel, M.; Sixta, H. Influence of molar mass distribution on the final properties of fibers regenerated from cellulose dissolved in ionic liquid by dry-jet wet spinning. Polymer 2015, 75, 1–9. [Google Scholar] [CrossRef]
- Hauru, L.K.J.; Hummel, M.; Nieminen, K.; Michud, A.; Sixta, H. Cellulose regeneration and spinnability from ionic liquids. Soft Matter 2016, 12, 1487–1495. [Google Scholar] [CrossRef] [PubMed]
- Asaadi, S.; Hummel, M.; Hellsten, S.; Härkäsalmi, T.; Ma, Y.; Michud, A.; Sixta, H. Renewable High-Performance Fibers from the Chemical Recycling of Cotton Waste Utilizing an Ionic Liquid. ChemSusChem 2016, 9, 3250–3258. [Google Scholar] [CrossRef] [PubMed]
- Ma, Y.; Hummel, M.; Määttänen, M.; Särkilahti, A.; Harlin, A.; Sixta, H. Upcycling of waste paper and cardboard to textiles. Green Chem. 2016, 18, 858–866. [Google Scholar] [CrossRef]
- Parviainen, A.; Wahlström, R.; Liimatainen, U.; Liitiä, T.; Rovio, S.; Helminen, J.K.J.; Hyväkkö, U.; King, A.W.T.; Suurnäkki, A.; Kilpeläinen, I. Sustainability of cellulose dissolution and regeneration in 1,5-diazabicyclo[4.3.0]non-5-enium acetate: a batch simulation of the IONCELL-F process. RSC Adv. 2015, 5, 69728–69737. [Google Scholar] [CrossRef]
- Jessop, P.G.; Heldebrant, D.J.; Li, X.; Eckert, C.A.; Liotta, C.L. Green chemistry: Reversible nonpolar-to-polar solvent. Nature 2005, 436, 1102. [Google Scholar] [CrossRef] [PubMed]
- Anugwom, I.; Eta, V.; Virtanen, P.; Mäki-Arvela, P.; Hedenström, M.; Hummel, M.; Sixta, H.; Mikkola, J.-P. Switchable Ionic Liquids as Delignification Solvents for Lignocellulosic Materials. ChemSusChem 2014, 7, 1170–1176. [Google Scholar] [CrossRef] [PubMed]
- Anugwom, I.; Eta, V.; Virtanen, P.; Mäki-Arvela, P.; Hedenström, M.; Yibo, M.; Hummel, M.; Sixta, H.; Mikkola, J.-P. Towards optimal selective fractionation for Nordic woody biomass using novel amine-organic superbase derived switchable ionic liquids (SILs). Biomass Bioenergy 2014, 70, 373–381. [Google Scholar] [CrossRef]
- Eta, V.; Mikkola, J.-P. Deconstruction of Nordic hardwood in switchable ionic liquids and acylation of the dissolved cellulose. Carbohydr. Polym. 2016, 136, 459–465. [Google Scholar] [CrossRef] [PubMed]
- Xie, H.; Yu, X.; Yang, Y.; Zhao, Z.K. Capturing CO2 for cellulose dissolution. Green Chem. 2014, 16, 2422–2427. [Google Scholar] [CrossRef]
- Yang, Y.; Xie, H.; Liu, E. Acylation of cellulose in reversible ionic liquids. Green Chem. 2014, 16, 3018–3023. [Google Scholar] [CrossRef]
- Pinkert, A. Comment on “Instantaneous Dissolution of Cellulose in Organic Electrolyte Solutions”. J. Chem. Eng. Data 2012, 57, 1338–1340. [Google Scholar] [CrossRef]
Note: For ease of reading of the part on man-made cellulosic fibers, we provide in the Supplementary Material information and definitions regarding technical terms used in the textile industry. |
© 2018 by the authors. Licensee MDPI, Basel, Switzerland. This article is an open access article distributed under the terms and conditions of the Creative Commons Attribution (CC BY) license (http://creativecommons.org/licenses/by/4.0/).
















