Abstract
A mild and metal-free regiodivergent addition of carbon nucleophiles to α,β-unsaturated electrophiles was developed. Total 1,2-regioselectivity was observed in the addition of nitrobenzyl chloride derivative 1 to α,β-unsaturated aldehydes 2 in the presence of TDAE. Moreover, the reaction between p-nitrobenzyl chloride 1a and α,β-unsaturated iminium salts 4 led to the formation of the 1,4-adduct with total regioselectivity.
1. Introduction
The conjugate addition of carbanions to α,β-unsaturated carbonyl compounds is one of the most fundamental carbon–carbon bond-forming reactions in organic synthesis [1,2,3,4,5,6]. When a carbon nucleophile is added to α,β-unsaturated aldehydes, it can lead to 1,2-addition or 1,4-addition. This depends on several factors, such as the nature of both organometallic species and substrates. As a general rule, organolithiums are considered the best reagents to promote 1,2-addition, whereas organocuprates predominantly promote conjugate addition.
Tetrakis(dimethylamino)ethylene (TDAE) is an organic reducing agent that reacts with halogenated derivatives to generate a carbanion under mild conditions via a charge transfer complex [7,8,9]. In particular, we have shown that from o- and p-nitrobenzyl chlorides, tetrakis (dimethylamino)ethylene (TDAE) is able to generate a nitrobenzyl carbanion that can react with various electrophiles such as aromatic aldehydes, α-ketoester, ketomalonate, α-ketolactam, and imine derivatives [10,11,12,13,14,15,16,17,18]. More recently, we showed that using TDAE for the regioselective addition of p-nitrobenzyl chloride or 2,3-bis(bromomethyl)quinoxaline to α,β-unsaturated tosylimines allowed the synthesis of allylamines in good yields and with total 1,2-regioselectivity [19]. Here, our aim was to determine how the carbanion generated by our metal-free conditions would react in the presence of α,β-unsaturated aldehydes.
2. Results and Discussion
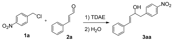
First, the reaction between p-nitrobenzyl chloride 1a and trans-cinnamaldehyde 2a in the presence of TDAE was selected as a model (Table 1). Using 1 equivalent of p-nitrobenzyl chloride 1a, 1 equivalent of TDAE and 1.2 equivalent of trans-cinnamaldehyde 2a in acetonitrile gave a low 33% yield of compound 3aa (Entry 1). Interestingly, however, total 1,2-regioselectivity was observed. Using two equivalents of aldehyde allowed the synthesis of 3aa in 48% yield (Entry 2). Using DMF instead of acetonitrile or changing the order of addition slightly decreased the reactivity (Entry 3 and 4). A better 53% yield was obtained using two equivalents of p-nitrobenzyl chloride 1a, two equivalents of TDAE, and one equivalent of trans-cinnamaldehyde 2a (Entry 5).
Table 1.
Optimization of the 1,2-addition of p-nitrobenzyl chloride 1a to trans-cinnamaldehyde 2a in the presence of TDAE a.
Interestingly, there is no need to decrease temperature to −20 °C, as the yield was slightly better at room temperature (Entry 6). More equivalents of 1a and TDAE were beneficial to the reaction (Entry 7). A sequential addition of both p-nitrobenzyl chloride 1a and TDAE afforded alcohol 3aa in a good 67% yield (Entry 8). So, the best reaction conditions were three equivalents of p-nitrobenzyl chloride 1a, three equivalents of TDAE, and one equivalent of trans-cinnamaldehyde 2a in acetonitrile at room temperature, with slow addition of 1a over 30 min (Entry 9).
With the optimized conditions in hand, we next investigated the generality and scope of the reaction with a series of α,β-unsaturated aldehydes 2a–g (Scheme 1). Both electron-poor (3ab and 3ac) and electron-rich substituents (3ad) gave good yields and total 1,2-regioselectivities. Interestingly, the reaction conditions are tolerant towards the formation of alcohol 3ae from heteroaromatic aldehyde 2e.
Scheme 1.
Regioselective 1,2-addition of nitrobenzyl chloride derivative 1 to various cinnamaldehyde 2 in the presence of TDAE.
Moreover, the more bulky β-disubstituted aldehyde 2f gave only the product of 1,2-addition 3af in 68% yield. Ortho substituents on the aldehyde (3ag) and on the benzyl chloride derivative (3ba) were both well tolerated.
Thus, in all cases, the carbanion generated by our metal-free conditions gave only the 1,2-regioisomer when reacting with α,β-unsaturated aldehydes. Could the reactivity be changed from 1,2 to 1,4-addition? As organocuprates predominantly promote conjugate addition, we tested different conditions using copper salts but no reaction occurred, probably due to problems of compatibility between TDAE and copper derivatives.
To our satisfaction, however, using α,β-unsaturated iminium salts instead of aldehydes completely changed the regioselectivity of the addition. Indeed, the reaction between p-nitrobenzyl chloride 1a and (E)-1-(3-phenylallylidene)pyrrolidin-1-ium 4a in the presence of TDAE led to the formation of the 1,4-adduct 5aa alone, in a very good 74% yield (Scheme 2).
Scheme 2.
Regiodivergent addition of p-nitrobenzyl chloride 1a to α,β-unsaturated electrophiles.
A general feature that emerges from the 13C-NMR studies of unsaturated imines is the observed downfield shift (ca. 5–10 ppm) at C3 in iminium salts compared to the parent unsaturated aldehydes. This feature might reflect the increased electrophilicity of the iminium cation at C3 compared to the parent aldehyde [20].
This metal-free controlled regiodivergence is of great interest, because the same p-nitrobenzyl chloride 1a can lead to the formation of both 1,2 and 1,4-adduct without requiring metallic species like organolithiums for 1,2-addition or organocuprates for 1,4-addition.
We next investigated the possibility of using another α,β-unsaturated iminium salt 4b (Scheme 3). Here, too, total 1,4-regioselectivity was observed and allowed the synthesis of the aldehyde 5ab in 51% yield.
Scheme 3.
Regioselective 1,4-addition of p-nitrobenzyl chloride 1a to α,β-unsaturated iminium salt 4 in the presence of TDAE.
By contrast with the previous examples, the reaction between p-nitrobenzyl chloride 1a and the more bulky β-disubstituted iminium salt 4f gave only the 1,2-adduct 6af, probably due to steric hindrance at the β-position (Scheme 4). We next turned our attention to the use of o-nitrobenzyl chloride 1b instead of p-nitrobenzyl chloride 1a. As expected, the reaction between o-nitrobenzyl chloride 1b and the bulky β-disubstituted iminium salt 4f also gave only the 1,2-adduct 6bf with a very good 78% yield.
Scheme 4.
Regioselective 1,2-addition of nitrobenzyl chloride derivative 1 to bulky α,β-unsaturated iminium salt 4f in the presence of TDAE.
3. Experimental Section
3.1. General
Melting points were determined on a Büchi melting point B-540 apparatus (BÜCHI Labortechnik AG, Flawil, Switzerland) and are uncorrected. Element analyses were performed on a Thermo Finnigan EA1112 (San Jose, CA, USA) at the spectropole of Aix-Marseille University. Both 1H- and 13C-NMR spectra were determined on a Bruker AC 250 spectrometer (Wissembourg, France) at the Service de RMN de la Faculté de Pharmacie de Marseille of the Aix-Marseille University. The 1H and the 13C chemical shifts are reported from CDCl3 peaks: 1H (7.26 ppm) and 13C (77.16 ppm). Multiplicities are represented by the following notations: s, singlet; d, doublet; t, triplet; q, quartet; m, a more complex multiplet or overlapping multiplets. The following adsorbents were used for column chromatography: Silica gel 60 (Merck, Darmstadt, Germany, particle size 0.063–0.200 mm, 70–230 mesh ASTM). TLC was performed on 5 × 10 cm aluminum plates coated with silica gel 60 F254 (Merck, Darmstadt, Germany) in an appropriate solvent.
3.2. General Procedure for the Synthesis of Alcohols 3
Under nitrogen atmosphere at room temperature, to a stirred solution of α,β-unsaturated aldehydes 2 (0.2 mmol) in MeCN (1 mL) was added TDAE (140 µL, 0.6 mmol) followed by addition of a solution of the nitrobenzyl chloride derivative 1 (103 mg, 0.6 mmol) in MeCN (1 mL) over 30 min. Reactions were stirred at RT for 2 h. Water (10 mL) was added and the aqueous solution was extracted with CH2Cl2 (3 × 10 mL). The combined organic layer was washed with brine (20 mL) and dried over MgSO4. Evaporation of the solvent furnished the crude product. Purification by silica gel chromatography (PE/EtOAc: From 9/1 to 6/4 depending on the polarity of substrates) afforded pure alcohol products 3.
The general procedure was followed with 2a (26 mg) and 1a (130 mg). (E)-1-(4-nitrophenyl)-4-phenylbut-3-en-2-ol (3aa). 71% yield; yellow solid; m.p. 94–96 °C; 1H-NMR (250 MHz, CDCl3) δ 8.16 (d, J = 8.6 Hz, 2H), 7.42 (d, J = 8.6 Hz, 2H), 7.35–7.26 (m, 5H), 6.58 (d, J = 15.9 Hz, 1H), 6.24 (dd, J = 15.9, 6.6 Hz, 1H), 4.61–4.53 (m, 1H), 3.03 (d, J = 5.5 Hz, 2H), 1.93 (s, 1H). 13C-NMR (63 MHz, CDCl3) δ 146.8, 145.9, 136.2, 131.4, 130.8, 130.6, 128.8, 128.1, 126.6, 123.7, 73.3, 43.7; HRMS (ESI): m/z [M + Na]+ calcd. for [C16H15NO3Na]+: 292.0944; found: 292.0945.
The general procedure was followed with 2b (33 mg) and 1a (130 mg). (E)-4-(4-chlorophenyl)-1-(4-nitrophenyl)but-3-en-2-ol (3ab). 74% yield; yellow solid; m.p. 112–114 °C; 1H-NMR (250 MHz, CDCl3) δ 8.17 (d, J = 8.7 Hz, 2H), 7.42 (d, J = 8.6 Hz, 2H), 7.28–7.24 (m, 4H), 6.53 (d, J = 15.9, 1H), 6.22 (dd, J = 15.9, 6.5 Hz, 1H), 4.60–4.53 (m, 1H), 3.04–3.01 (m, 2H), 1.78 (s, 1H). 13C-NMR (63 MHz, CDCl3) δ 146.9, 145.8, 134.8, 133.8, 131.4, 130.6, 130.1, 129.0, 127.8, 123.7, 73.2, 43.7; HRMS (ESI): m/z [M + Na]+ calcd. for [C16H14NO3ClNa]+: 326.0554; found: 326.0555.
The general procedure was followed with 2c (35 mg) and 1a (130 mg). (E)-1,4-bis(4-nitrophenyl)but-3-en-2-ol (3ac). 56% yield; yellow solid; m.p. 111–113 °C; 1H-NMR (250 MHz, DMSO) δ 8.19–8.13 (m, 4H), 7.68 (d, J = 8.9 Hz, 2H), 7.54 (d, J = 8.7 Hz, 2H), 6.66 (s, 2H), 5.36 (s, 1H), 4.49 (s, 1H), 3.03 (dd, J = 13.4, 5.1 Hz, 1H), 2.90 (dd, J = 13.4, 7.7 Hz, 1H). 13C-NMR (63 MHz, DMSO) δ 147.3, 146.2, 146.0, 143.6, 138.7, 130.9, 127.2, 126.8, 124.0, 123.1, 71.1, 42.9; HRMS (ESI): m/z [M + Na]+ calcd. for [C16H14N2O5Na]+: 337.0795; found: 337.0797.
The general procedure was followed with 2d (32 mg) and 1a (130 mg). (E)-4-(4-methoxyphenyl)-1-(4-nitrophenyl)but-3-en-2-ol (3ad). 50% yield; yellow solid; m.p. 115–117 °C; 1H-NMR (250 MHz, CDCl3) δ 8.17 (d, J = 8.6 Hz, 2H), 7.42 (d, J = 8.6 Hz, 2H), 7.29 (d, J = 8.7 Hz, 2H), 6.86 (d, J = 8.7 Hz, 2H), 6.51 (d, J = 15.9 Hz, 1H), 6.09 (dd, J = 15.9, 6.9 Hz, 1H), 4.58–4.51 (m, 1H), 3.81 (s, 3H), 3.03 (d, J = 5.7 Hz, 2H), 1.68 (s, 1H). 13C-NMR (63 MHz, CDCl3) δ 159.7, 146.9, 146.1, 131.1, 130.6, 128.9, 128.5, 127.9, 123.7, 114.2, 73.6, 55.5, 43.8; HRMS (ESI): m/z [M + Na]+ calcd. for [C17H17NO4Na]+: 322.1050; found: 322.1050.
The general procedure was followed with 2e (24 mg) and 1a (130 mg). (E)-4-(furan-2-yl)-1-(4-nitrophenyl)but-3-en-2-ol (3ae). 71% yield; yellow solid; m.p. 67–69 °C; 1H-NMR (250 MHz, CDCl3) δ 8.17 (d, J = 8.2 Hz, 2H), 7.44–7.36 (m, 3H), 6.44–6.38 (m, 2H), 6.25–6.14 (m, 2H), 4.55–4.50 (m, 1H), 3.08–2.99 (m, 2H), 1.72 (s, 1H). 13C-NMR (63 MHz, CDCl3) δ 151.9, 146.9, 145.8, 142.5, 130.6, 129.2, 123.7, 119.6, 111.5, 108.9, 72.9, 43.7; HRMS (ESI): m/z [M + Na]+ calcd. for [C14H13NO4Na]+: 282.0737; found: 282.0738.
The general procedure was followed with 2f (42 mg) and 1a (130 mg). 1-(4-nitrophenyl)-4,4-diphenylbut-3-en-2-ol (3af). 68% yield; yellow solid; m.p. 93–95 °C; 1H-NMR (250 MHz, CDCl3) δ 8.11 (d, J = 8.6 Hz, 2H), 7.35–7.17 (m, 10H), 7.01–6.98 (m, 2H), 6.08 (d, J = 9.2 Hz, 1H), 4.50–4.41 (m, 1H), 3.07–2.98 (m, 2H), 1.70 (s, 1H). 13C-NMR (63 MHz, CDCl3) δ 146.8, 145.9, 144.6, 141.2, 139.0, 130.6, 129.44, 129.41, 128.5, 128.4, 128.1, 127.8, 127.5, 123.6, 70.3, 43.8; HRMS (ESI): m/z [M + Na]+ calcd. for [C22H19NO3Na]+: 368.1257; found: 368.1255.
The general procedure was followed with 2g (35 mg) and 1a (130 mg). (E)-4-(2-nitrophenyl)-1-(4-nitrophenyl)but-3-en-2-ol (3ag). 57% yield; yellow solid; m.p. 118–120 °C; 1H-NMR (250 MHz, CDCl3) δ 8.17 (d, J = 8.7 Hz, 2H), 7.93 (d, J = 8.0 Hz, 1H), 7.61–7.50 (m, 2H), 7.46–7.38 (m, 3H), 7.05 (d, J = 15.7 Hz, 1H), 6.19 (dd, J = 15.7, 6.4 Hz, 1H), 4.68–4.60 (m, 1H), 3.07–3.04 (m, 2H), 1.97 (s, 1H). 13C-NMR (63 MHz, CDCl3) δ 148.0, 147.0, 145.5, 136.2, 133.4, 132.3, 130.6, 128.9, 128.6, 126.8, 124.8, 123.8, 72.8, 43.4; HRMS (ESI): m/z [M + Na]+ calcd. for [C16H14N2O5Na]+: 337.0795; found: 337.0794.
The general procedure was followed with 2a (26 mg) and 1b (130 mg). (E)-1-(2-nitrophenyl)-4-phenylbut-3-en-2-ol (3ba). 65% yield; yellow solid; m.p. 69–70 °C; 1H-NMR (250 MHz, CDCl3) δ 7.83 (d, J = 8.0 Hz, 1H), 7.48–7.16 (m, 8H), 6.50 (d, J = 15.8 Hz, 1H), 6.20 (dd, J = 15.9, 6.4 Hz, 1H), 4.56–4.49 (m, 1H), 3.23 (dd, J = 13.6, 4.4 Hz, 1H), 3.06 (dd, J = 13.6, 8.2 Hz, 1H), 1.94 (s, 1H). 13C-NMR (63 MHz, CDCl3) δ 150.0, 136.5, 133.6, 133.2, 132.9, 131.2, 130.9, 128.7, 128.0, 127.8, 126.7, 124.9, 73.0, 40.8; HRMS (ESI): m/z [M + Na]+ calcd. for [C16H15NO3Na]+: 292.0944; found: 292.0945.
3.3. General Procedure for the Synthesis of Iminium Salts 4
Compound 4a was synthesized according to a previously described procedure and experimental data are in accordance with the literature [21].
An aqueous solution of CF3SO3H (4.00 g in 20 mL of water, 27.0 mmol) was added to a solution of α,β-unsaturated aldehyde 2 (27.0 mmol) and pyrrolidine (2.25 mL, 27.0 mmol) in diethyl ether (25 mL). After 1 h, the organic phase was separated. The aqueous phase was extracted with CH2Cl2 (15 mL). The organic layers were combined, washed with brine, and dried (MgSO4). After evaporation of the solvent under vacuum, the residue was mixed with Et2O. The solvent was removed under vacuum, and then the residue was remixed with Et2O. This cycle was repeated several times until iminium salt 4 was obtained as a solid.
The general procedure was followed with 2b (4.5 g). (E)-1-(3-(4-chlorophenyl)allylidene)pyrrolidin-1-ium trifluoromethanesulfonate (4b). 38% yield; white solid; m.p. 106–108 °C; 1H-NMR (250 MHz, CDCl3) δ 8.82 (d, J = 10.5 Hz, 1H), 7.86 (d, J = 15.3 Hz, 1H), 7.63 (d, J = 8.6 Hz, 2H), 7.35 (d, J = 8.6 Hz, 2H), 7.08 (dd, J = 15.3, 10.5 Hz, 1H), 4.15–4.01 (m, 4H), 2.21–2.06 (m, 4H). 13C-NMR (63 MHz, CDCl3) δ 166.6, 159.4, 139.9, 132.0, 131.7, 129.8, 120.8 (JC,F = 321 Hz), 117.9, 57.4, 52.1, 24.7, 24.5; HRMS (ESI): m/z [M]+ calcd. for [C13H15ClN]+: 220.0888; found: 220.0892.
The general procedure was followed with 2f (5.6 g). 1-(3,3-diphenylallylidene)pyrrolidin-1-ium trifluoromethanesulfonate (4f). 65% yield; light-blue solid; m.p. 136–138 °C; 1H-NMR (250 MHz, CDCl3) δ 8.01 (d, J = 10.8 Hz, 1H), 7.58–7.35 (m, 10H), 6.90 (d, J = 10.8 Hz, 1H), 4.18–4.07 (m, 4H), 2.28–2.13 (m, 4H). 13C-NMR (63 MHz, CDCl3) δ 171.6, 162.5, 139.1, 136.0, 132.8, 131.64, 131.60, 130.6, 129.12, 129.10, 116.4, 57.9, 52.3, 24.7, 24.5 (CF3 not visible under these conditions); HRMS (ESI): m/z [M]+ calcd. for [C19H20N]+: 262.1590; found: 262.1588.
3.4. General Procedure for the Synthesis of Aldehydes 5 and Allylic Amines 6
Under nitrogen atmosphere, TDAE (102 µL, 0.44 mmol) was slowly added, with a syringe, at −20 °C to a vigorously stirred solution of iminium salt 4 (0.80 mmol) with the appropriate nitrobenzyl chloride derivative 1 (69 mg, 0.40 mmol) in 3 mL of DMF. The mixture was then stirred at −20 °C for 45 min and warmed to room temperature for 1 h. Then 10 mL of water was added to quench the reaction. The solution was extracted with dichloromethane (3 × 30 mL), the combined organic layers were washed with brine (3 × 40 mL), and dried over MgSO4. The crude product was then obtained after evaporation of the solvent under reduced pressure. Purification by alumina gel chromatography (PE/DCM: From 10/0 to 0/10 depending on the polarity of substrates) afforded the corresponding products 5 or 6.
The general procedure was followed with 4a (268 mg) and 1a (69 mg). 4-(4-nitrophenyl)-3-phenylbutanal (5aa). 74% yield; yellow oil; 1H-NMR (250 MHz, CDCl3) δ 9.70 (s, 1H), 8.04 (d, J = 8.6 Hz, 2H), 7.29–7.05 (m, 7H), 3.56–3.45 (m, 1H), 3.10 (dd, J = 13.3, 5.9 Hz, 1H), 2.95 (dd, J = 13.3, 9.2 Hz, 1H), 2.86–2.82 (m, 2H). 13C-NMR (63 MHz, CDCl3) δ 200.8, 147.3, 146.8, 142.1, 130.1, 128.9, 127.6, 127.3, 123.6, 49.5, 42.9, 41.6; HRMS (ESI): m/z [M + Na]+ calcd. for [C16H15NO3Na]+: 292.0944; found: 292.0953.
The general procedure was followed with 4b (296 mg) and 1a (69 mg). 3-(4-chlorophenyl)-4-(4-nitrophenyl)butanal (5ab). 51% yield; orange oil; 1H-NMR (250 MHz, CDCl3) δ 9.71 (s, 1H), 8.07 (d, J = 8.5 Hz, 2H), 7.24 (d, J = 8.5 Hz, 2H), 7.15 (d, J = 8.5 Hz, 2H), 7.02 (d, J = 8.5 Hz, 2H), 3.56–3.45 (m, 1H), 3.08 (dd, J = 16.3, 6.0 Hz, 1H), 2.95–2.84 (m, 3H). 13C-NMR (63 MHz, CDCl3) δ 200.1, 146.7, 146.6, 140.4, 132.8, 129.9, 128.9, 128.8, 123.6, 49.3, 42.6, 40.8; HRMS (ESI): m/z [M + Na]+ calcd. for [C16H14NO3ClNa]+: 326.0560; found: 326.0562.
The general procedure was followed with 4f (329 mg) and 1a (69 mg). 1-(1-(4-nitrophenyl)-4,4-diphenylbut-3-en-2-yl)pyrrolidine (6af). 71% yield; orange oil; 1H-NMR (250 MHz, CDCl3) δ 8.06 (d, J = 8.7 Hz, 2H), 7.25–7.10 (m, 10H), 6.48 (d, J = 7.8 Hz, 2H), 6.10 (d, J = 10.0 Hz, 1H), 3.31–3.19 (m, 2H), 2.89 (dd, J = 13.0, 9.9 Hz, 1H), 2.77–2.69 (m, 4H), 1.86–1.78 (m, 4H). 13C-NMR (63 MHz, CDCl3) δ 146.8, 146.6, 144.8, 141.5, 139.2, 130.9, 129.4, 128.4, 128.1, 127.8, 127.6, 127.2, 123.4, 64.2, 51.6, 41.3, 23.4 (1 carbon missing due to overlap); HRMS (ESI): m/z [M + H]+ calcd. for [C26H27N2O2]+: 399.2067; found: 399.2070.
The general procedure was followed with 4f (329 mg) and 1b (69 mg). 1-(1-(2-nitrophenyl)-4,4-diphenylbut-3-en-2-yl)pyrrolidine (6bf). 78% yield; orange oil; 1H-NMR (250 MHz, CDCl3) δ 7.90 (d, J = 8.0 Hz, 1H), 7.48–7.07 (m, 11H), 6.31 (d, J = 7.9 Hz, 2H), 6.17 (d, J = 10.1 Hz, 1H), 3.70 (dd, J = 12.5, 3.5 Hz, 1H), 3.32 (td, J = 10.3, 3.5 Hz, 1H), 3.00 (dd, J = 12.4, 10.6 Hz, 1H), 2.84–2.74 (m, 4H), 1.87–1.78 (m, 4H). 13C-NMR (63 MHz, CDCl3) δ 149.7, 144.4, 141.4, 139.1, 134.6, 134.0, 132.8, 129.2, 128.6, 128.3, 128.1, 127.59, 127.57, 127.11, 127.07, 125.0, 63.4, 51.9, 38.2, 23.3; HRMS (ESI): m/z [M + H]+ calcd. for [C26H27N2O2]+: 399.2067; found: 399.2069.
4. Conclusions
In conclusion, regiodivergent addition of nitrobenzyl chloride derivative 1 to α,β-unsaturated electrophiles led to 1,2-addition with α,β-unsaturated aldehydes 2 and 1,4-addition with α,β-unsaturated iminium salts 4. The mild conditions and the tolerance of nitro groups on the nucleophiles suggest that this method is a good alternative to the use of organometallic reagents to achieve regiodivergent additions on α,β-unsaturated aldehydes. Further research is in progress to extend the scope to a catalytic and asymmetric version using enantiopure organocatalysts.
Supplementary Materials
Supplementary Materia are available online, Figures S1–S28: 1H- and 13C-NMR of all compounds 3aa–3ag, 3ba, 4b, 4f, 5aa, 5ab, 6af and 6bf.
Acknowledgments
This work was supported by the CNRS and Aix-Marseille University. The authors thank the Spectropole team for HRMS analysis. We express our thanks to V. Remusat for 1H- and 13C-NMR spectra recording.
Author Contributions
C.S. and A.G.G.-T. conceived and designed the experiments; C.S. and A.G.G.-T. performed the experiments; C.S., A.G.G.-T., T.T. and P.V. discussed the results. C.S. wrote the paper.
Conflicts of Interest
The authors declare no conflict of interest.
References
- Perlmutter, P. Conjugate Addition Reactions in Organic Synthesis; Pergamon Press: Oxford, UK, 1992. [Google Scholar]
- Krause, N.; Hoffman-Roder, A. Recent advances in catalytic enantioselective Michael additions. Synthesis 2001, 2, 171–196. [Google Scholar] [CrossRef]
- Sibi, M.; Manyem, S. Enantioselective conjugate addition. Tetrahedron 2000, 56, 8033–8061. [Google Scholar] [CrossRef]
- Kanai, M.; Shibasaki, M. Catalytic Asymmetric Synthesis, 2nd ed.; Ojima, I., Ed.; Wiley: New York, NY, USA, 2000; p. 569. [Google Scholar]
- Tomioka, K.; Nagaoka, Y. Comprehensive Asymmetric Catalysis; Jacobsen, E.N., Pfaltz, A., Yamamoto, H., Eds.; Springer: Berlin, Germany, 1999; Volume 3, Chapter 31.1. [Google Scholar]
- Tsogoeva, S.B. Recent advances in asymmetric organocatalytic 1,4-conjugate additions. Eur. J. Org. Chem. 2007, 11, 1701–1716. [Google Scholar] [CrossRef]
- Takechi, N.; Aït-Mohand, S.; Médebielle, M.; Dolbier, W.R., Jr. Nucleophilic trifluoromethylation of acyl chlorides using the trimethyl iodide/TDAE reagent. Tetrahedron Lett. 2002, 43, 4317–4319. [Google Scholar] [CrossRef]
- Pooput, C.; Médebielle, M.; Dolbier, W.R., Jr. A new and efficient method for the synthesis of trifluoromethylthio- and selenoethers. Org. Lett. 2004, 6, 301–303. [Google Scholar] [CrossRef] [PubMed]
- Pooput, C.; Médebielle, M.; Dolbier, W.R., Jr. Nucleophilic perfluoroalkylation of aldehydes, ketones, imines, disulfides, and diselenides. J. Org. Chem. 2006, 71, 3564–3568. [Google Scholar] [CrossRef] [PubMed]
- Giuglio-Tonolo, G.; Terme, T.; Médebielle, M.; Vanelle, P. Original reaction of p-nitrobenzyl chloride with aldehydes using tetrakis(dimethylamino)ethylene (TDAE). Tetrahedron Lett. 2003, 44, 6433–6435. [Google Scholar] [CrossRef]
- Giuglio-Tonolo, G.; Terme, T.; Médebielle, M.; Vanelle, P. Nitrobenzylation of α-carbonyl ester derivatives using TDAE approach. Tetrahedron Lett. 2004, 45, 5121–5124. [Google Scholar] [CrossRef]
- Amiri-Attou, O.; Terme, T.; Vanelle, P. Functionalization of 6-nitrobenzo[1,3]dioxole with carbonyl compounds via TDAE methodology. Molecules 2005, 10, 545–551. [Google Scholar] [CrossRef] [PubMed]
- Montana, M.; Terme, T.; Vanelle, P. Original synthesis of α-chloroketones in azaheterocyclic series using TDAE approach. Tetrahedron Lett. 2006, 47, 6573–6576. [Google Scholar] [CrossRef]
- Khoumeri, O.; Terme, T.; Vanelle, P. Original and efficient synthesis of substituted 3,4-dihydronaphtho[2,3-g]quinoline-2,6,11(1H)-triones. Synthesis 2009, 3677–3683. [Google Scholar] [CrossRef]
- Khoumeri, O.; Giuglio-Tonolo, G.; Crozet, M.D.; Terme, T.M.; Vanelle, P. Original synthesis of 2-substituted-4,11-dimethoxy-1-(phenylsulfonyl)-2,3-dihydro-1H-naphtho[2,3-f]indole-5,10-diones using TDAE and Cu-catalyzed reaction strategy. Tetrahedron 2011, 67, 6173–6180. [Google Scholar] [CrossRef]
- Spitz, C.; Khoumeri, O.; Terme, T.; Vanelle, P. Diastereoselective synthesis of N-tert-butanesulfinylamines through addition of p-nitrobenzyl chloride to N-tert-butanesulfinimines using a TDAE strategy. Synlett 2013, 24, 1725–1727. [Google Scholar] [CrossRef]
- Spitz, C.; Lin, A.; Terme, T.; Vanelle, P. Mild and Metal-Free Diastereoselective Synthesis of N-tert-Butanesulfinylamines by Using Tetrakis(dimethylamino)ethylene. Synthesis 2014, 46, 3229–3232. [Google Scholar] [CrossRef]
- Spitz, C.; Mathias, F.; Giuglio-Tonolo, A.-G.; Terme, T.; Vanelle, P. Practical and metal-free synthesis of novel enantiopure amides containing the potentially bioactive 5-nitroimidazole moiety. Molecules 2016, 21, 1472. [Google Scholar] [CrossRef] [PubMed]
- Spitz, C.; Terme, T.; Vanelle, P. Mild and metal-free regioselective 1,2-addition of carbon nucleophiles to α,β-unsaturated imines. Synlett 2016, 27, 301–303. [Google Scholar] [CrossRef]
- Erkkilä, A.; Majander, I.; Pihko, P.M. Iminium catalysis. Chem. Rev. 2007, 107, 5416–5470. [Google Scholar] [CrossRef] [PubMed]
- Lakhdar, S.; Tokuyasu, T.; Mayr, H. Electrophilic reactivities of α,β-unsaturated iminium ions. Angew. Chem. Int. Ed. 2008, 47, 8723–8726. [Google Scholar] [CrossRef] [PubMed]
Sample Availability: Samples of the compounds 3aa–3ag, 3ba, 4b, 4f, 5aa, 5ab, 6af and 6bf are available from the authors. |
© 2017 by the authors. Licensee MDPI, Basel, Switzerland. This article is an open access article distributed under the terms and conditions of the Creative Commons Attribution (CC BY) license (http://creativecommons.org/licenses/by/4.0/).




