Abstract
New benzimidazolium salts 1a–c and their palladium bis-N-heterocyclic carbene complexes 2a–c and palladium PEPPSI-type complexes 3a–c were designed, synthesized and structurally characterized by NMR (1H and 13C), IR, DART-TOF mass spectrometry and elemental analysis. Then these complexes 2–3 were employed in the Suzuki-Miyaura cross-coupling reaction of substituted arenes with phenylboronic acid under mild conditions in toluene and DMF/H2O (1/1) to afford functionalized biaryl derivatives in good to excellent yields. The antibacterial activity of palladium bis-N-heterocyclic carbene complexes 2a–c and palladium PEPPSI-type complexes 3a–c was measured by disc diffusion method against Gram positive and Gram negative bacteria. Compounds 2a, 2c and 3a–c exhibited potential antibacterial activity against four bacterial species among the five used indicator cells. The product 2b inhibits the growth of the all five tested microorganisms. Moreover, the antioxidant activity determination of these complexes 2–3, using 2.2-diphenyl-1-picrylhydrazyl (DPPH) as a reagent, showed that compounds 2a–c and 3b possess DPPH antiradical activity. The higher antioxidant activity was obtained from the product 2b which has radical scavenging activity comparable to that of the two used positive controls (gallic acid “GA“ and tutylatedhydroxytoluene “BHT“). Investigation of the anti-acetylcholinesterase activity of the studied complexes showed that compounds 2b, 3a, and 3b exhibited moderate activity at 100 μg/mL and product 2b is the most active.
1. Introduction
N-heterocyclic carbene (NHC) ligands have become ubiquitous in the preparation of metal complexes with new catalytic applications. Mainly due to their applications in C-C bond formation reactions, a plethora of novel palladium-NHC complexes has been described, and a large number of review articles describing their chemistry have been published. In an attempt to provide a new vision of the topic, this article will focus our attention on the development of new palladium complexes with NHC ligands, paying special attention to their applications in catalytic processes other than the classical C-C coupling [1,2,3,4].
A wide range of NHC ligands which exhibit high activities in various important organic transformations when combined with metal pre-catalysts are now commercially available [5,6,7]. NHC imidazolidine ligands with sterically encumbering groups such as mesityl, 2,6-diisopropylphenyl, and adamantyl have been used in the Pd-catalyzed cyclization of anilides[8],amination of aryl chlorides [9], arylation with ester enolates to afford α-aryl esters [10]. Sonogashira reactions of unactivated alkyl bromides [11] and the ruthenium-catalyzed RCM reaction [12]. The coupling of aryl halides with organoboronic acids is one of the most important palladium-catalyzed cross-coupling reactions of both academic and industrial interest. In particular for the preparation of biaryl-containing molecules [13,14].
The reaction is the organic reaction of an aryl- or vinylboronic acid with an aryl or vinylhalide catalyzed by a palladium (0) complex. It is widely used to synthesize polyolefins, styrenes, and substituted biphenyls, and has been extended to incorporate alkyl bromides. Several reviews have been published [15,16,17]. However, the development of new ligands or the application of existing ligands in Suzuki reaction, particularly involving aryl chlorides as substrates, is still of considerable importance. In order to find more efficient palladium catalysts we have prepared a series of new (NHCs) stable NHC-PdCl2 pyridine complexes for the Suzuki coupling reaction.
Therefore, in this work, we describe the synthesis and characterization of new palladium (II) complexes. We also examined catalytic activities of these Pd (II) complexes 2–3 in the Suzuki-Miyaura cross-coupling reaction. The antibacterial, antioxidant and anti-acetylcholinesterase activities of the new synthesized complexes 2–3 were addressed as well.
2. Results and Discussion
2.1. Preparation of Benzimidazolium Salts 1a–c
The precursors 1a–c were prepared by the quaternization of the intermediate A with a variety of aryl chlorides or aryl bromides in DMF under 70 °C (Scheme 1). The benzimidazolium salts 1a–c were obtained as white solids in very high to good yields of 95%, 90% and 79%, respectively.
Scheme 1.
Synthesis of new benzimidazolium salts 1a–c and their bis-NHC palladium complexes 2a–c and PEPPSI-type complexes 3a–c.
Compounds 1a–c were characterized by NMR (1H and 13C), IR, and DART-TOF mass spectrometry and elemental analysis. The 1H-NMR spectra of benzimidazolium salts 1a–c were recorded in CDCl3. Here, the acidic proton signal of NCHN was seen as the most downfield signal and a sharp singlet at δ 10.91, 11.93 ppm and 11.84 was seen for 1a, 1b and 1c, respectively (Figure 1).
Figure 1.
1H-NMR spectra of benzimidazolium salt 1b in CDCl3.
The imino carbons (NCHN) were detected as typical singlets in the 1H decoupled mode at 141.7, 143.0, and 143.39 ppm. The IR data of 1a, 1b and 1c clearly support the presence of the C-N group with ν(C-N) vibrations at 1545, 1570 and 1623 cm−1 respectively.
2.2. Preparation of bis-NHC-palladium Complexes 2a–c and PEPPSI-type Complexes 3a–c
In order to obtain the PEPPSI-type complexes 3a–c; we employed a reaction between PdCl2 and benzimidazolium salts 1a–c in pyridine at 80 °C in the presence of K2CO3. Further, direct reaction of one equivalents of benzimidazolium salts 1a–c with PdCl2 stirred at reflux in THF for 24 h in the presence of K2CO3 results in palladium complex formation 2a–c (Figure 2).
Figure 2.
Structure of bis-NHC-palladium Complexes 2a–c.
Structural definitions of 2a–c and 3a–c were determined by NMR, IR spectroscopy, DART-TOF mass spectrometry and elemental analysis. The 1H-NMR spectra of compounds 2a–c and 3a–c were taken in CDCl3 at room temperature. In the 1H-NMR spectrum of 2a, the aromatic protons appeared at between 6.28 and 7.24 ppm as a multiplet while methylic protons appeared between 1.98 and 2.42 ppm as singlets. In the 1H-NMR spectra of 3a–c, (NCH2) was resonated at low fields δ 6.27, 6.24 and 6.08 respectively. While signals for the pyridine ring protons appeared between 7.36–8.94 ppm, 7.33–8.94 ppm and 7.28–8.91 ppm, respectively (Figure 3).
Figure 3.
1H-NMR spectra of palladium PEPPSI-type complex 3a in CDCl3.
The absence of NCHN signal proton in a downfield for 2–3 indicated the successful formation of NHC complexes. The 13C-NMR spectra of complexes 2a–c and 3a–c were in good correlation with the structure of these compounds. 13C{1H} NMR spectra prove an increasing downfield shift of the NCN carbon from 1a–c to 2a–c: for example, the 13C{1H}N-C-N shifts of 1a and 2a, which are 141.7 and 180.8 ppm, respectively. The NCHN carbons for 3a–c resonated at δ 161.9, 163.3 and 162.8 ppm respectively (Figure 4).
Figure 4.
13C-NMR spectrum of palladium PEPPSI-type complex 3a in CDCl3.
The functional groups of complexes 2–3 were identified by FT-IR spectroscopy. The IR(CN) band was observed at 1445 cm−1 for 2a, 1462 cm−1 for 2b and1463 cm−1 for 2c in the FT-IR spectra. The same band shifted and appeared at 1461, 1463 and 1460 cm−1 for 3a–c, respectively.
The contents of C, H, and N in palladium bis-N-heterocyclic carbene complexes 2a–c and palladium PEPPSI-type complexes 3a–c were determined by elemental analysis. The results agreed well with the theoretical formula of the complex.
The obtained fragments are typical for each palladium bis-N-heterocyclic carbene complexes 2a–c and palladium PEPPSI-type complexes 3a–c and can provide further evidence for the characterization of the examined compounds. The MS spectrum of complex 3a is given in Figure 5.
Figure 5.
DART MS spectrum (DART-TOF-MS) of complex 3a.
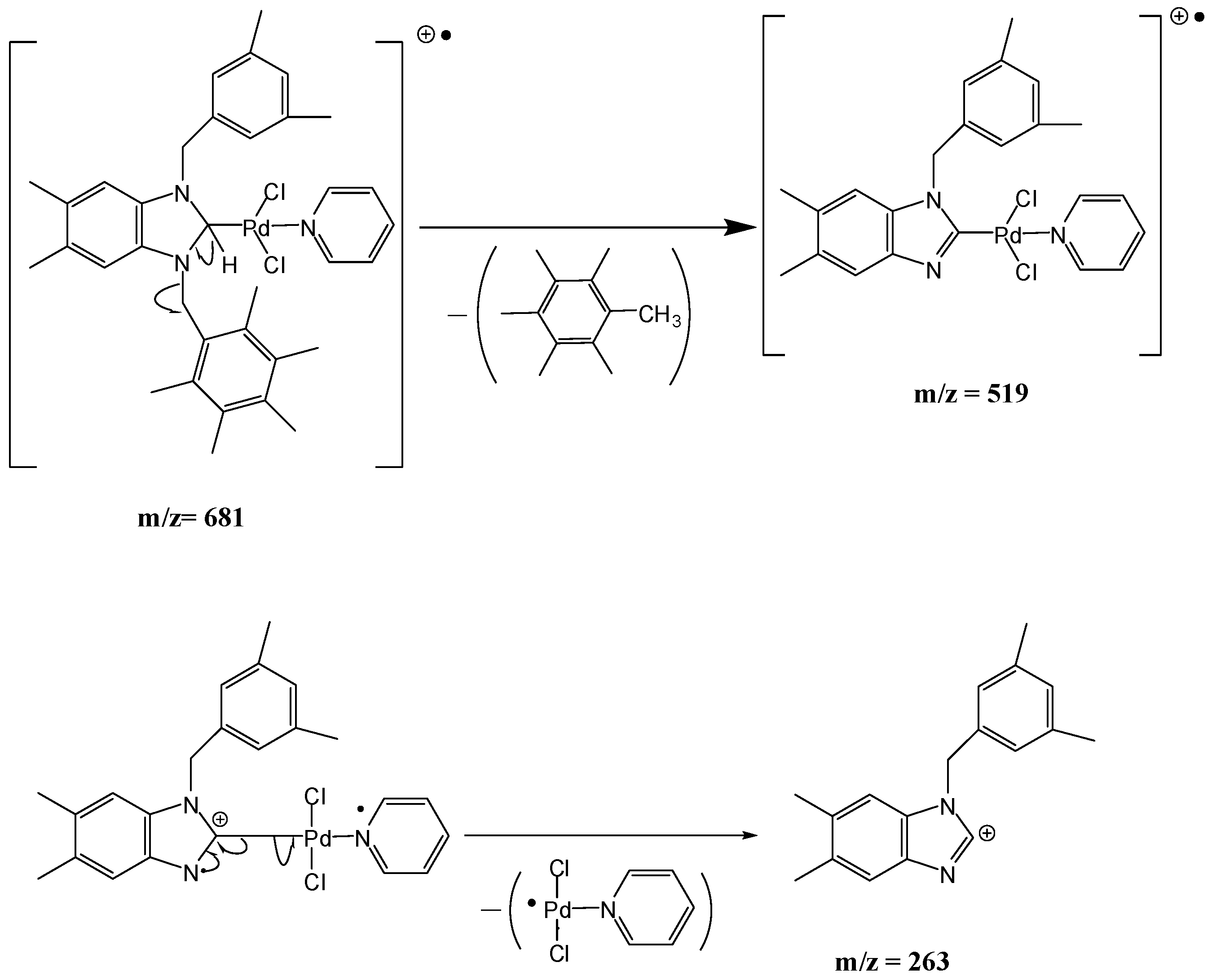
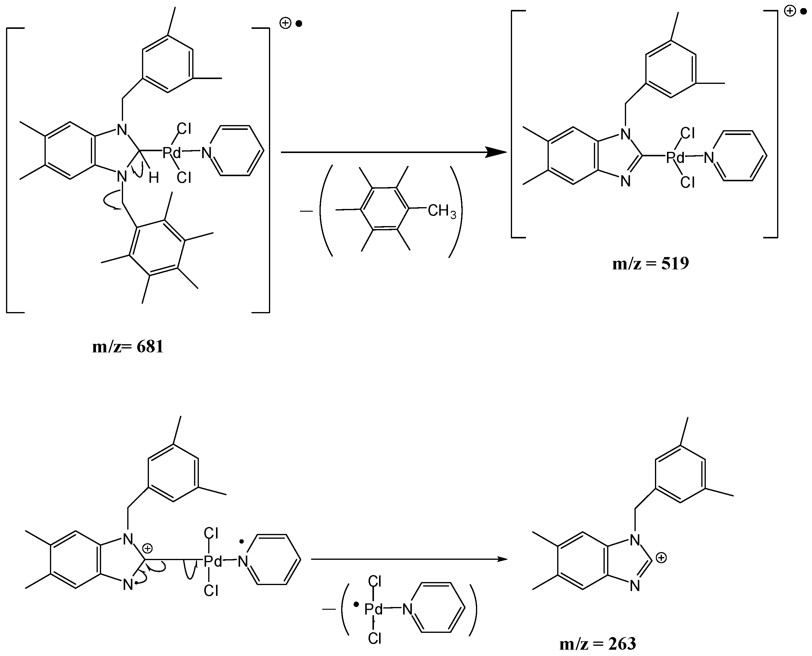
The fragmentation leading to the m/z = 263 can occur via the mechanism of fragmentation given in Figure 6.
Figure 6.
Mechanism of the fragmentation leading to the m/z = 263 peak.
In order to demonstrate the utility of these NHC-PdCl2-pyridine complexes, we used them as co-catalysts in Suzuki-Miyaura cross-coupling reaction, which are common industry-applicable processes.
2.3. Suzuki Coupling Reaction of Aryl Chlorides/Bromides with Phenylboronic Acid
In a pilot study to examine the catalytic activity of bis NHC-palladium complexes 2a–c and PEPPSI-type complexes 3a–c, we initially tested the Suzuki cross coupling reaction between 4-chloroacetophenone and phenylboronic acid as a model reaction to determine optimum conditions. Here we compared both the effect of using toluene or DMF/H2O as the solvent, as well us using KOtBu or K2CO3 as the mineral base. As can be seen in Table 1, the best catalytic activities were only obtained when the Suzuki cross-coupling reaction was performed in DMF/H2O ratio was equal (1:1) with K2CO3 for PEPPSI complexes.
Table 1.
Effect of solvent and base on Suzuki cross-coupling reaction a.
We tested the effect of common mineral bases such as K2CO3 and KOtBu for the Suzuki coupling reactions of aryl chlorides. 1 (eq) of KOtBu showed high performance in these catalytic systems. On the other hand, one can easily observe in Table 2 that a typical reaction of 4-chloroacetophenone and phenylboronic acid indicated that the reaction rate depended on the alkyl substituents. It can also be seen from Table 3 that the efficiency of complexes is not the same for each complex. For instance, the Suzuki cross-coupling reaction with catalyst 3always afforded higher catalytic activity than that with catalyst 2.
Table 2.
The Suzuki coupling reaction of aryl chlorides/bromides with phenylboronic acid catalyzed by different unsymmetrical palladium-bis-NHCs complexes a.
Table 3.
The Suzuki Coupling Reaction of Aryl Chlorides/Bromides with phenylboronic Acid catalyzed by different unsymmetrical PEPPSI complexes a.
With the best conditions in hand, next we conducted further experiments to investigate the scope of the Suzuki cross-coupling reaction of catalysts 2 with various substrates, including aryl bromides and chlorides having electro N-withdrawing or electro N-donating substituents (Table 2). The highest conversion was up to 91% in the presence of KOtBu within 6 h in toluene at 80 °C for catalyst 2b with bromoanisole. On the other hands PEPPSI-type complexes afforded the efficient coupling of different aryl bromides and chloroacetophenone (Table 3), and in most cases the yield was higher than 90%, the reaction showed a good tolerance of different groups on the aromatic ring.
When aryl chlorides were used as substrates, coupling products were formed with a lower yield (Table 2 and Table 3) chloroanisole and chlorotoluene (entry 4–9). This was expected on the basis of the higher values of the C-Cl bond energy with respect to C–Br. Nevertheless, good results were obtained for 4-chloroacetophenone.
2.4. Biological Activities
2.4.1. Antibacterial Activity
The synthesized compounds palladium bis-N-heterocyclic carbene complexes 2a–c and palladium PEPPSI-type complexes 3a–c were evaluated in vitro for their antibacterial activity by the well diffusion method (Table 4).
Table 4.
Antibacterial activity of the synthesized palladium bis-N-heterocyclic carbene complexes (2a–c) and Palladium PEPPSI-type complexes (3a–c).
Globally, all complexes tested showed an important antibacterial activity against the three used Gram positive bacteria Micrococcus luteus LB 14110, Staphylococcus aureus ATCC 6538 and Listeria monocytogenes ATCC 19117. Concerning the activity against the two tested Gram negative microorganisms, all complexes inhibit the growth of Salmonella Typhimurium ATCC 14028 except the product 3c and only the compound 2b presents an inhibitory effect against Pseudomonas aeruginosa ATCC 49189 (Table 4).
In parallel, the Minimal Inhibitory Concentrations (MICs) values of palladium bis-N-heterocyclic carbene complexes 2a–c and palladium PEPPSI-type complexes 3a–c were determined against the two Gram positive bacteria Micrococcus luteus LB 14110 and Listeria monocytogenes ATCC 19117 and the Gram negative bacterium Salmonella Typhimurium ATCC 14028. The ampicillin was used as standard. As shown in Table 5, the MICs values range from 0.0197–0.625 mg/mL for Micrococcus luteus LB 14110; 0.078–1.25 mg/mL for Listeria monocytogenes ATCC 19117 and 1.25–5 mg/mL for Salmonella Typhimurium ATCC 14028.
Table 5.
Minimum Inhibitory Concentrations (MICs) expressed in mg/ml of compounds 2–3.
The most active compound was 2b which presents against Micrococcus luteus LB 14110 the same MIC value of 0.0195 mg/mL than the used standard (ampicillin).The lowest MIC values of 0.0197 mg/mL were recorded for the Pd complexes 2b against Micrococcus luteus LB 14110. The complex 2c also have MIC values of 1.25 mg/mL against Listeria monocytogenes ATCC 19117.
2.4.2. DPPH Radical Scavenging
The hydroxyl radical is one of the most reactive products of reactive oxygen species (ROS). Among all free radicals, the hydroxyl radical is by far the most potent and therefore the most dangerous oxygen metabolite, which would result in cell membrane disintegration, membrane protein damage, DNA mutation and further initiate or propagate the development of many diseases. Elimination of this radical is one of the major aims of antioxidant administration [18]. Current research has shown that some antioxidants could act as the inducers of DNA damage response, which leads to cell death [19]. Therefore, in present study, we investigated whether the palladium bis-N-heterocyclic carbene complexes 2a–c and palladium PEPPSI-type complexes 3a–c could serve as a potent antioxidant. The scavenging activities of the complex on the DPPH radical were investigated. The radical was generated according to the method in the Experimental Section. From the results, we can see that, within the range of tested concentration, the average suppression ratios of DPPH increase along with the increase of the complex concentration (Figure 7).
Figure 7.
Scavenging activity of compounds 2a–c and 3b on DPPH radicals.
As shown in Figure 7 the compound 2b showed higher antioxidant activity than other complexes. However the scavenging activity of the compound 2b was very similar to that of the two used controlsbutylatedhydroxytoluene (BHT) and gallic acid (GA) known as good antioxidant compounds. No antioxidant activity was observed for the compounds 3a and 3c.
2.4.3. Acetylcholinesterase Inhibition
The acetylcholinesterase enzyme (AChE) is an attractive target for the rational drug design and for the discovery of mechanism based inhibitors because of its role in the hydrolysis of the neurotransmitter acetylcholine (ACh). AChE inhibitors are the most effective approach to treat the cognitive symptoms of Alzheimer disease (AD) [20,21], and other possible therapeutic applications in the treatment of Parkinson′s disease, senile dementia, and ataxia, among others [22].
The results of AChEI of the synthesized compounds palladium bis-N-heterocyclic carbene complexes 2a–c and palladium PEPPSI-type complexes 3a–c are presented in Table 6. Three compounds 2b, 3a, and 3b exhibited moderate AChEI activity at 100 μg/mL. As the antibacterial and antioxidant activities, the compound 2b possesses the most active AChEI activity.
Table 6.
Acetylcholinesterase inhibitory activity (AChEI) (%) of compounds 2a–c and 3a–c.
3. Experimental Section
3.1. General Information
All manipulations were performed using Standard Schlenck techniques under Argon atmosphere. Chemicals were purchased from Sigma Aldrich and used without further purification. All solvents were purified and dried by MBraun SPS 800 solvent purification system. Column chromatography was performed using silica gel 60 (70–230 mesh). 1H-NMR and 13C-NMR spectra were recorded at 300 MHz and 75 MHz, respectively. Chemical shifts, δ, are reported in ppm relative to the internal standard TMS for both 1H- and 13C-NMR. The products were characterized by GC (gas chromatography). Quantitative GC analyses were performed with a GC-2010 Plus gas chromatography (SHIMADZU). The NMR studies were carried out in high-quality 5 mm NMR tubes. Signals are quoted in parts per million as δ downfield from tetramethylsilane (δ = 0.00) as an internal standard. NMR multiplicities are abbreviated as follows: s = singlet, d = doublet, t = triplet, m = multiplet signal. IR spectra were recorded on a 398 spectrophotometer (Perkin-Elmer, King Saud University, Ryadh, Saudi Arabia). MS spectra were recorded on a ((DART-TOF-MS) instrument at King Saud University, Ryadh, Saudi Arabia). Elemental microanalysis was performed on an ElementarVario El III Carlo Erba 1108 elemental analyzer (INRAP, Sidi Thabet, Tunisia) and the values found were within ±0.3% of the theoretical values. Melting points were determined with Kofler bench at Isste of Borj Cedria (Hammam Lif, University of Carthage, Borj Cedria, Tunisia).
3.2. Synthesis of 1-(3,5-Dimethylbenzyl)-5,6-dimethylbenzimidazole (A)
To a solution of 5, 6-dimethylbenzimidazole (3 mmol, 4.38 g) resolved in 25 mL EtOH, (4 mmol, 2.5 g) of KOH was added and the reaction mixture was stirred for 15 min at room temperature. The corresponding aryl chlorides or bromides (3 mmol) were added slowly and the resulting mixture was stirred at room temperature for 1h and then heated for 8 h at 50 °C, after it was heated under reflux for 16 h. Solution was cooled to room temperature and the solvent was removed under reduced pressure. The yellow solid that formed was resolved with DCM (40 mL) and filtered. DCM was evaporated and the isolated product was characterized by NMR spectroscopy. Yield: 100(%). M.p. = 230 °C. FT-IR (KBr) ν, cm−1: 3065 (C-Harom); 1406 (C-N). 1H-NMR (CDCl3) δ (ppm):2.26 (s, 6H, Hc, d); 2.35 (s, 3H, Hb); 2.37 (s, 3H, Ha); 5.22 (s, 2H, H1′); 6.78 (s, 2H, H3′,7′); 6.93 (s, 1H, H5′); 7.08(s, 1H, H7); 7.58 (s, 1H, H4); 7.83 (s, 1H, H2).Anal. Calc. for C9H11N2: C, 73.437%; H, 7.532%; N, 19.031%, Found: C, 73.5; H, 7.6; N, 19.0%.
3.3. General Preparation of Benzimidazolium Salts 1a–c
To a solution of 5,6-dimethylbenzimidazole (3 mmol, 4.38 g) resolved in EtOH (25 mL) KOH (4 mmol, 2.5 g) was added and the reaction mixture was stirred for 15 min at room temperature. The corresponding aryl chlorides or bromides (3 mmol, 3equiv.) were added slowly and the resulting mixture was stirred at room temperature for 1h and then heated for 8 h at 50 °C, after it was heated under reflux for 16 h. Solution was cooled to room temperature and the solvent was removed under reduced pressure. The yellow solid that formed was resolved with DCM (40 mL) and filtered. DCM was evaporated and the isolated product was characterized by NMR spectroscopy.
A mixture of crude product (1 g) and corresponding aryl chlorides or bromides in DMF (2 mL) was stirred and heated at 70 °C for 1–2 days. The white solid that formed was washed with diethyl ether (30 mL), filtrated and dried under vacuum.
1-(3,5-Dimethylbenzyl)-5,6-dimethyl-3-(2,3,4,5,6-pentamethylbenzyl) benzimidazolium chloride (1a). Yield: 95 (%). M.p. = 225 °C. FT-IR (KBr) ν, cm−1: 3055 (C-Harom); 1545 (C-N); 1H-NMR (CDCl3) δ (ppm): 2.23 (s, 15H, He,f,g,h,i); 2.29 (s, 12H, Ha,b,c,d); 5.77 (s, 2H, H1′); 5.79 (s, 2H, H1′′); 6.87 (s, 2H, H3′,7′); 6.91 (s, 1H, H5′); 7.08 (s, 1H, H7); 7.24 (s, 1H, H4,); 10.91 (s, 1H, H2). 13C-NMR (CDCl3) δ (ppm): 16.65 (Cg); 16.80 (Cf,h); 16.99 (Ce,i); 20.49 (Cc,d); 20.90 (Ca,b); 47.47 (C1′′); 50.87 (C1′); 113 (C4,7); 124.84 (C5′); 125.01 (C4′,6′); 129.89 (C8,9); 130.14 (C4′′,6′′); 132.95 (C5′′); 133.27 (C5,6); 133.59 (C3′′,7′′); 136.74 (C2′); 136.88 (C2′′); 138.51 (C4′,6′); 141.73 (C2). Anal. Calc. for C30H38N2Cl: C, 77.977%; H, 8.289%; N, 6.062%, Found: C, 78.1; H, 8.3; N, 6.1%.
3-(4-Cyanobenzyl)-1-(3,5-dimethylbenzyl)-5,6-dimethyl-1H-benzo[d]imidazol-3-ium chloride (1b). Yield: 90 (%). M.p. = 235 °C. FT-IR (KBr) ν, cm−1: 3062(C-Harom); 1570(C-N); 1H-NMR (CDCl3, δ (ppm): 2.26 (s, 6H, Ha,b); 2.32 (s, 6H, Hc,d); 5.61 (s, 2H, H1′); 6.07 (s, 2H, H1′′); 6.96 (s, 3H, H3′,5′,7′); 7.26 (s, 2H, H4,7); 7.61 (s, 2H, H3′′,7′′); 7.67 (s, 2H, H4′′,6′′); 11.93 (s, 1H, H2). 13C-NMR (CDCl3) δ (ppm): 20.81 (Ca,b); 21.34 (Cc,d); 50.46 (C1′′); 51.66 (C1′); 113.06 (C5′′); 113.58 (C4,7); 118.20 (CN); 125.64 (C5′); 129.10 (C3′,7′); 129.83 (C7′′); 129.93 (C3′′); 131.06 (C8,9); 132.42 (C4′′,6′′); 133.06 (C5,6); 137.74 (C6′); 137.82 (C4′); 138.52 (C2′); 139.28 (C2′′); 143.02 (C2). Anal. Calc. for C26H27N3Cl: C, 74.893%; H, 6.527%; N, 10.078%, Found: C, 74.9; H, 6.6; N, 10.1%.
1-(3,5-Dimethylbenzyl)-5,6-dimethyl-3-(2-methylbenzyl)benzo-1H-imidazol-3-ium chloride (1c). Yield: 79 (%). M.p. = 215 °C. FT-IR (KBr) ν, cm−1: 3064 (C-Harom); 1623(C-N); 1H-NMR (CDCl3) δ (ppm):2.26 (s, 9H, Hb,c,d); 2.32 (s, 3H, Ha); 2.40 (s, 3H, He); 5.72 (s, 2H, H1′); 5.85 (s, 2H, H1′′); 6.94 (s, 1H, H3′′); 7.00 (s, 2H, H3′,7′); 7.03 (s, 1H, H4′′); 7.09 (s, 1H, H5′′); 7.14 (s, 1H, H5′);7.22 (s, 1H, H7); 7.24 (s, 1H, H4); 7.28 (s, 1H, H6′′); 11.84 (s, 1H, H2). 13C-NMR (CDCl3) δ (ppm):19.63 (Ca,b); 20.79 (Ce); 21.33 (Cc, d); 50.02 (C1′′); 51.42 (C1′); 113.51 (C4, 7); 125.70 (C5′′); 126.77 (C5′); 127.88 (C3′,7′); 129.20 (C4′′); 130.02 (C3′′); 130.26 (C6′′); 130.86 (C9); 131.00 (C8); 131.36 (C5,6); 132.89 (C2′); 136.54 (C7′′); 137.35 (C2′′); 139.13 (C4′,6′); 143.39 (C2). Anal. Calc. for C26H30N2Cl: C, 76.919%; H, 7.448%; N, 6.900%, Found: C, 77.1; H, 7.5; N, 7.1%.
3.4. General Preparation of Palladium-bis-NHCs Complexes 2a–c
A Schlenk flask was charged with benzimidazolium salt (1 mmol), PdCl2 (0.5 mmol; 0.09 g), K2CO3 (0.6 g) and a stir bar under argon. Dried THF (25 mL) was then added as a solvent. The mixture was heated under reflux and stirred for 24 h at 100 °C. After completion, the reaction mixture was cooled at r.t. and the solvent was removed under vacuum. The solid formed was solubilized with DCM and purified by flash column, eluting with DCM until the product was completely recovered. DCM was removed under reduce pressure and the white solid was characterized by NMR spectroscopy. Further purification was done using recrystallization (DCM-hexane) or (DCM-CHCl3) to get pure complexes for analysis and catalysis.
Bis-[1-(3,5-dimethylbenzyl)-5,6-dimethyl-3-(2,3,4,5,6–pentamethylbenzyl)benzimidazoliN-2-ylidene] palladium (IV) dichloride (2a). Yield: 87 (%). M.p. = 233 °C. FT-IR (KBr) ν, cm−1: 3062 (C-Harom); 1445 (C-N); 1H-NMR (CDCl3) δ (ppm): 7.24 (s, 2H, H14, 14′, arom. CH); 7.07 (s, 2H, H12, 16, arom. CH); 6.92 (s, 1H, H12′, arom. CH); 6.83 (s, 1H, H16′, arom. CH); 6.73 (s, 2H, H4,7, arom. CH); 6.28 (s, 2H, H4′, 7′, arom. CH); 6.16 (s, 2H, H17, CH2); 6.02 (4H, H10, 10′, 2× CH2); 5.88 (2H, H17′, CH2); 2.42 (s, 6H, Hc, d, 2× CH3); 2.31 (s, 6H, Hc′, d′, 2× CH3); 2.28(s, 3H, Hg, CH3); 2.25 (s, 3H, Hg′, CH3); 2.22 (s, 12H, Ha, b, a′, b′, 4× CH3); 2.17 (s, 6H, He, i, 2× CH3); 2.15 (s, 12H, Hf,h,f′,h′, 4× CH3); 1.98 (s, 6H, He′,i′, 2× CH3). 13C-NMR (CDCl3) δ (ppm): 180.89 (NCN (C2,2′); 138.11–137.76 (arom. Cq (C8,9,8′,9′)); 136.09–135.90 (arom. Cq (C13,15,13′,15′); 135.34–135.12 (arom. Cq (C11,11′); 134.29 (arom. Cq (C18′,18); 133.16 (arom. Cq (C21,21′); 132.87–132.64 (arom. Cq (C20,22,20′,22′); 131.16 (arom. CH (C14,14′); 129.12–128.91 (arom. CH (C12,16,12′,16′); 125.41 (arom. Cq (C19,23,19′,23′); 125.18 (arom. Cq (C5,6,5′,6′); 112.37 (arom. CH (C4,7,4′,7′); 51.50 (CH2 (C10,10′); 50.86 (CH2 (C17,17′);16.82 (CH3 (Ce,i,e′,i′); 17.13 (CH3 (Cf,h,f′,h′); 17.57 (CH3 (Cg,g′); 20.46 (CH3 (Ca,b,a,b′); 21.05 (CH3 (Cc,d,c′,d′). (DART-TOF-MS) = (m/z = 732.32). Anal. Calc. for C60H74N4PdCl2: C, 70.062%; H, 7.252%; N, 5.447%, Found: C, 70.1; H, 7.3; N, 5.6%.
Bis-[3-(4-cyanolbenzyl)-1-(3,5-dimethylbenzyl)-5,6-dimethylbenzimidazoliN-2-ylidene] palladium (IV) dichloride (2b). Yield: 88 (%). M.p. = 234 °C. FT-IR (KBr) ν, cm−1: 3060 (C-Harom); 1462 (C-N); 1H-NMR (CDCl3) δ (ppm): 7.52 (s, 2H, H 4,7, arom. CH); 7.48 (s, 2H, H4′,7′, arom. CH); 7.41 (s, 4H, H19,23,19′,23′, arom. CH); 7.26 (s, 2H, H14,14′, arom. CH); 7.07 (s, 4H, H12,16,12′,16′, arom. CH); 6.95 (s, 2H, H20,22, arom. CH); 6.85 (s, 2H, H20′,22′, arom. CH); 5.97 (s, 2H, H10, CH2); 5.90 (s, 2H, H17, CH2); 5.82 (s, 2H, H17′, CH2); 5.76 (s, 2H, H10′, CH2); 2.24 (s, 12H, Hc,d,c′,d′, 4× CH3); 2.21–2.20 (s, 12H, Ha, b, a′, b′, 4× CH3). 13C-NMR (CDCl3) δ (ppm): 181.34 (NCN (C2,2′); 141.95 (arom. Cq (C8,9,8′,9′); 138.80 (arom. Cq (C18,18′); 136.06 (arom. Cq (C13,15,13′,15′); 133.47 (arom. Cq (C11,11′); 133.19 (arom. CH (C20,22); 133.00 (arom. CH (C20′,22′); 132.02 (arom. CH (C14,14′); 130.03–129.89 (arom. CH (C19,23,19′,23′); 128.44 (arom. CH (C12,16,12′,16′); 125.78–125.47 (arom. Cq (C5,6,5′,6′); 119.21 (CN); 112.21 (arom. CH (C4,7,4′,7′); 111.90 (arom. Cq (C21,21′); 52.08 (CH2 (C10,10′); 51.46 (CH2 (C17,17′); 21.76 (CH3 (Cc,d,c′,d′); 20.83 (CH3 (Ca,b,a′,b′). (DART-TOF-MS) (m/z = 642.32). Anal. Calc. for C52H52N6PdCl2: C, 66.560%; H, 5.586%; N, 8.956%, Found: C, 66.6; H, 5.6; N, 8.9%.
Bis-[1-(3,5-dimethylbenzyl)-5,6-dimethyl-3-(2-methylbenzyl)benzimidazoliN-2-ylidene] palladium (IV) dichloride (2c). Yield: 95 (%). M.p. = 245 °C. FT-IR (KBr) ν, cm−1: 3064 (C-Harom); 1463 (C-N); 1H-NMR (CDCl3) δ (ppm): 7.14 (s, 4H, H22,23,22′,23′, arom. CH); 7.09 (s, 4H, H14,14′,21,21′, arom. CH); 7.05 (s, 4H, H12,16,12′,16′, arom. CH); 6.94 (s, 1H, H4, arom. CH); 6.90 (s, 1H, H7, arom. CH); 6.84 (s, 1H, H4′, arom. CH); 6.81 (s, 1H, H7′, arom. CH); 6.73 (s, 1H, H20, arom. CH); 6.71 (s, 1H, H20′, arom. CH); 5.90 (s, 2H, H10, CH2); 5.84 (s, 2H, H10′, CH2); 5.75 (s, 2H, H17, CH2); 5.72 (s, 2H, H17′, CH2); 2.22 (s, 6H, Hc, d, 2× CH3); 2.21(s, 6H, Hc′,d′, 2× CH3); 2.18 (s, 12H, Ha,b,a′,b′, 4× CH3); 2.15 (s, 6H, He,e′, 4× CH3). 13C-NMR (CDCl3) δ (ppm): 181.91 (NCN (C2,2′); 138.55 (arom. Cq (C8,9,8′,9′); 136.50 (arom. Cq (C13,15,13′,15′); 135.63 (arom. Cq (C11,11′); 135.48 (arom. Cq (C19′,19); 134.69–134.51 (arom. Cq (C18,18′); 133.85–133.77 (arom. CH (C20,20′); 133.61–133.50 (arom. CH (C14,14′); 132.45 (arom. CH (C21,21′); 130.41 (arom. CH (C12,16); 129.71 (arom. CH (C12′,16′); 127.90–127.67 (arom. CH (C23,23′); 126.86 (arom. Cq (C5,6); 126.76 (arom. Cq (C5′,6′); 125.98–125.73 (arom. CH (C22,22′); 111.99–111.63 (arom. CH (C4,7,4′,7′); 52.20 (CH2 (C10,10′); 49.96 (CH2 (C17,17′); 21.70 (CH3 (Cc,d,c′,d′); 20.37 (CH3 (Ce,e′); 19.79 (CH3 (Ca,b,a′,b′). (DART-TOF-MS) (m/z = 383.2, m/z = 367.29). Anal. Calc. for C52H58N9PdCl2: C, 63.317%; H, 5.927%; N, 12.780%, Found: C, 63.4; H, 5.9; N, 12.8%.
3.5. General Preparation of PEPPSI Complexes 3a–c
A pressure tube was charged with benzimidazolium salts (1 mmol), PdCl2 (1 mmol; 0.18 g), K2CO3 (0.6 g) and a stir bar under atmosphere. Pyridine (1 mmol, 3 mL) was then added as the solvent and the reactant. The mixture was heated and stirred for 16 h at 80 °C. After cooling to r.t, the reaction mixture was diluted with CH2Cl2 and purified by flash column, eluting with DCM until the product was completely recovered. DCM was evaporated and the crude product was washed with 3 × 20 mL hexane. The yellow solid was characterized by NMR spectroscopy. Further purification was done using recrystallization (DCM-hexane) to get pure complexes for analysis and catalysis.
1-(3,5-Dimethylbenzyl)-5,6-dimethyl-3-(pentamethylbenzyl)-benzimidazoliN-2-ylidene-N-(pyridine)dichloro palladium (II) complex (3a):Yield: 92(%). M.p. = 215 °C. FT-IR (KBr) ν, cm−1: 3062 (C-Harom); 1461 (C-N); 1H-NMR (CDCl3) δ (ppm): 8.94 (dd, 2H, (arom. CH (C2′′′,6′′′); 7.78 (m, 1H, (arom. CH (H4′′′)); 7.36 (m, 2H, (arom. CH (H3′′′,5′′′); 7.30 (s, 1H, (arom. CH (H5′); 6.96 (s, 1H, (arom.CH (H7); 6.89 (s, 1H, (arom. CH (H4); 6.27 (s, 4H, (2× CH2 (H1′,1′′); 6.12 (s, 2H, (arom. CH (H3′,7′); 2.38 (s, 6H, 2× CH3 (He, i); 2.36 (s, 3H, (CH3 (Hg); 2.33 (s, 6H, (2× CH3 (Hf,h); 2.28 (s, 6H, (2× CH3 (Ha, b); 2.19 (s, 3H, (CH3 (Hc); 2.07 (s, 3H, (CH3 (Hd). 13C-NMR (CDCl3) δ (ppm): 161.91 (NCN (C2); 151.37 (arom. CH (C2′′′,6′′′); 138.34 (arom. Cq (C8,9); 138.01 (arom. Cq (C4′,6′); 135.78 (arom. CH (C4′′′); 135.54 (arom. Cq (C2′); 134.80 (arom. Cq (C2′′); 133.81 (arom. Cq (C5′′); 133.26 (arom. Cq (C4′′,6′′); 133.13 (arom. CH (C5′); 131.89 (arom. CH (C3′,7′); 129.67 (arom. Cq (C3′′,7′′); 128.45 (arom. Cq (C5,6); 125.79–124.43 (arom. CH (C3′′′,5′′′); 112.07 (arom. CH (C4,7); 52.96 (CH2 (C1′); 50.97 (CH2 (C1′′); 21.44 (CH3 (Cc,d); 20.56 (CH3 (Ca,b); 17.32 (CH3 (Cf,h); 17.36 (CH3 (Cg); 17.02 (CH3 (Ce,i). (DART-TOF-MS) (m/z = 520.3). Anal. Calc. for C35H42N3PdCl2: C, 61.634%; H, 6.207%; N, 6.161%, Found: C, 61.7; H, 6.3; N, 6.2%.
1-(3,5-Dimethylbenzyl)-3-(cyanobenzyl)-5,6-dimethylbenzimidazol-2-ylidene-N-(pyridine)dichloro palladium (II) complex (3b). Yield: 85(%). M.p. = 225 °C. FT-IR (KBr) ν, cm−1: 3062 (C-Harom); 1463 (C-N); 1H-NMR (CDCl3) δ (ppm): 8.94 (d, 2H, H2′′′,6′′′, arom. CH); 7.76 (m, 1H, H4′′′, arom. CH); 7.66 (s, 4H, H3′′,4′′,6′′,7′′, arom. CH); 7.33 (m, 2H, H3′′′,5′′′, arom. CH); 7.24 (s, 1H, H4,7, arom. CH); 6.96(s, 1H, H3′,7′, arom. CH); 6.78 (s, 1H, H5′, arom. CH); 6.24 (s, 2H, H1′, CH2); 6.08 (s, 2H, H1′′, CH2); 2.30 (s, 6H, Hc,d, 2× CH3); 2.22 (s, 6H, Ha,b, 2× CH3). 13C-NMR (CDCl3) δ (ppm): 163.36 (NCN (C2); 151.37 (arom. CH (C2′′′,6′′′); 140.94 (arom. Cq (C8,9); 138.57 (arom. Cq (C2′′); 138.32 (arom. Cq (C4′,6′); 135.10 (arom. CH (C4′′′); 133.37 (arom. Cq (C2′); 133.01 (arom. CH (C4′′,6′′); 132.83 (arom. CH (C5′); 129.96 (arom. CH (C3′′,7′′); 128.53 (arom. CH (C3′,7′); 125.79 (arom. Cq (C5,6); 124.64 (arom. CH (C3′′′,5′′′); 118.77 (CN); 112.05 (arom. CH (C4,7); 111.10 (arom. Cq (C5′′); 52.91 (CH2 (C1′); 52.25 (CH2 (C1′′); 21.44 (CH3 (Cc,d); 20.40 (CH3 (Ca,b). (DART-TOF-MS) (m/z = 523.3, m/z = 263.1). Anal. Calc. for C31H31N4PdCl2: C, 58.458 %; H, 4.906 %; N, 8.796 %, Found: C, 58.7; H, 5.1; N, 8.8%.
1-(3,5-Dimethylbenzyl)-5,6-dimethyl-3-(2-methylbenzyl)-benzimidazoli-2-yl-idene-N-(pyridine)dichloro palladium (II) complex(3c). Yield: 90(%). M.p. = 235 °C. FT-IR (KBr) ν, cm−1: 3061 (C-Harom); 1460 (C-N); 1H-NMR (CDCl3) δ (ppm): 8.91 (s, 2H, H2′′′,6′′′, arom. CH), 7.71 (t, 1H, H4′′′, arom. CH); 7.28 (m, 2H, H3′′′,5′′′, arom. CH); 7.24 (s, 1H, H3′′, arom. CH); 7.22 (s, 3H, H4′′,5′′,6′′, arom. CH); 7.20 (s, 1H, H5′, arom. CH); 6.92 (s, 2H, H3′,7′, arom. CH); 6.71 (s, 2H, H4,7, arom. CH); 6.13 (s, 2H, H1′, CH2); 6.08 (s, 2H, H1′′, CH2); 2.49 (s, 3H, He, CH3); 2.28(s, 6H, Hc,d, 2× CH3); 2.19 (s, 3H, Ha, CH3); 2.16 (s, 3H, Hb, CH3). 13C-NMR (CDCl3) δ (ppm): 162.84 (NCN (C2); 151.44 (arom. CH (C2′′′,6′′′); 138.46 (arom. Cq (C8,9); 138.10 (arom. Cq (C4′,6′); 135.53 (arom. CH (C4′′′); 133.50 (arom .Cq (C2′); 133.26 (arom. Cq (C2′′); 132.55 (arom. Cq (C7′′); 130.45 (arom. CH (C6′′); 129.80 (arom. CH (C5′); 128.12 (arom. CH (C5′′); 127.92 (arom. CH (C3′,7′); 126.61 (arom. CH (C3′′); 125.76 (arom. Cq (C5,6); 124.49 (arom. CH (C4′′); 111.77 (arom. CH (C3′′′,5′′′); 111.49 (arom. CH (C4,7); 52.88 (CH2 (C1′); 50.30 (CH2 (C1′′); 21.44 (CH3 (Cc,d); 20.41(CH3 (Ce); 19.89 (CH3 (Ca,b). (DART-TOF-MS) (m/z = 464.26, m/z = 384.2). Anal. Calc. for C31H34N3PdCl2: C, 59.483%; H, 5.475 %; N, 6.713%, Found: C, 59.5; H, 5.6; N, 6.8%.
3.6. General Procedure for the Suzuki Miyaura Reaction
Phenylboronic acid (0.75 mmol), aryl halides (0.5 mmol), palladium catalyst (0.25 mol %), base (1 mmol) and solvent (1:1) (6 mL) were added under argon to a Schlenk flask containing a magnetic stir bar. The mixture was vigorously stirred at 80 °C for the indicate time. Upon completion, the mixture was cooled to room temperature, extracted with ethyl acetate (5 mL) and filtered through a short pad of silica gel. The filtrate was sampled at intervals for GC analysis.
3.7. Antibacterial Activity
3.7.1. Bacterial Strains, Media and Growth Conditions
Bacteria strains, Gram-positive bacteria: Micrococcus luteus LB 14110, Staphylococcus aureus ATCC 6538 and Listeria monocytogenes ATCC 19117, and Gram-negative bacteria: Salmonella Typhimurium ATCC 14028 and Pseudomonas aeruginosa ATCC 49189, used as indicator microorganisms for the antibacterial activity assays, were obtained from International Culture Collections (ATCC) and local culture collection of Laboratory of Microorganisms and Biomolecules of the Centre of Biotechnology of Sfax-Tunisia. For antibacterial determination, indicator microorganisms were grown overnight in Luria-Bertani (LB) agar medium composed of (g/L): peptone 10; yeast extract 5; and NaCl 5 at pH 7.2 under aerobic conditions and constant agitation (200 rpm) at 30 °C for M. luteus LB14110, and L. monocytogenes ATCC 19117 and at 37 °C for S. aureus ATCC 6538, S. Typhimurium ATCC 14028 and P. aeruginosa ATCC 49189, and then diluted 1:100 in LB media and incubated for 5 h under constant agitation (200 rpm) at the appropriate temperature.
3.7.2. Agar Well Diffusion Method
Agar well diffusion method was employed for the determination of the antibacterial activity of the synthesized compounds with some modifications according to [23].
3.7.3. MIC Determination
The antimicrobial activities of the synthesized compounds were determined by the minimum inhibitory concentration (MICs) in accordance with NCCLS guideline M7-A6 and M38-P [24]. The test was performed in sterile 96-well microplates with a final volume in each microplate well of 100 μL. The synthesized compounds (20 mg/mL) were properly prepared in solution of dimethylsulfoxide (DMSO)/water (1/9; v/v). The inhibitory activity of each synthesized compound was transferred to each well in order to obtain a twofold serial dilution of the original sample and to produce the concentration range of 0.0048–20 mg/mL.
3.8. DPPH Radical Scavenging Activity
DPPH possess a proton free radical, when DPPH encounters proton radical scavengers its purple color fades rapidly. This assay determines the scavenging of stable radical species according to the method of [25], with slight modifications. Briefly, synthesized compounds were dissolved in dimethylsulfoxide (DMSO)/water (1/9; v/v) and diluted with ultrapure water at different concentrations (1, 0.5, 0.250, 0.125, 0.0625, 0.03125 mg/mL). Then, 500 μL of a 4% (w/v) solution of DPPH radical in methanol was mixed with 500 μL of samples. The mixture was incubated for 30 min in the dark at room temperature. The scavenging capacity was determined spectrophotometrically by monitoring the decrease in absorbance at 517 nm against a blank. The percentage of antiradical activity (% ArA) had been calculated as follows: % ArA = [(absorbance of control − absorbance of test sample)/absorbance of control] × 100. All tests are assayed in triplicate and expressed as the average ± standard deviation of the measurements.
3.9. Acetylcholinesterase Inhibitory Potential
AChE inhibitory activity was measured by slightly modified spectrophotometric method of Ellman et al.[26]. Electric eel AChE was used, while acetylthiocholine iodide (ATCI) was employed as substrate of the reaction. 5.5′-dithiobis-(2-nitrobenzoic acid) (DTNB) was used for the measurement of the antiacetylcholinesterase activity. Briefly, in this method, 100 μL of Tris buffer at 50 mM (pH 8.0), 30 μL of sample or standard and 5 μL of AChE enzyme (0.5 U/mL) were added in a 96 well microplate and incubated for 10 min at 25 °C. Then, 142 μL of DTNB (3 mM) and 23 μL of substrate (75 mM) were added. Percentage of inhibition of AChE was determined by comparison of rates reaction of samples relative to control (10% DMSO in Tris buffer) using the following formula:
where δA sample: Sample absorbance at zero time − Sample absorbance at the end of reaction, and δA control: Control absorbance at zero time − Control absorbance at the end of reaction. Galanthamine, an antiacetylcholinesterase alkaloid type of drug obtained from the snowdrop bulbs (Galanthus sp.), was used as standard. All synthesized compounds have been tested at 100 μg/mL of concentration. This determination was done in triplicate and obtained results were very similar. The reported value is the average of the three tests.
% AChEI = 1 − (δA sample/δA control) × 100
4. Conclusions
In summary, a simple route for the synthesis of palladium (II) complexes containing N donor ligands has been successfully demonstrated and the products fully characterized by NMR, IR, DART-TOF mass spectrometry and elemental analysis. These air and moisture stable palladium (II) complexes efficiently catalyze the cross-coupling of aryl bromides and chlorides (from electron rich to electron poor) with phenylboronic acid in DMF/H2O at 80 °C for 24 h, using KOtBu or K2CO3 as bases, without addition of free ligand or any promoting additive, no significant homocoupling of phenylboronic acid to unsubstituted biphenyl was observed.
The obtained complexes 2a–c and 3a–c were tested for their antibacterial activity against Micrococcus luteus LB 14110, Staphylococcus aureus ATCC 6538, Listeria monocytogenes ATCC 19117, Salmonella Typhimurium ATCC 14028 and Pseudomonas aeruginosa ATCC 49189. Obtained results show that the obtained complexes 2a–c and 3a–c have an effective antibacterial activity against the used indicator bacteria. However, it should be noted that the product 2b strongly inhibits the growth of the all tested food-borne pathogens and clinical microorganisms. Interestingly, this compound 2b, possesses scavenging activity very similar to that of the two well-known antioxidant standards butylatedhydroxytoluene (BHT) and gallic acid (GA). Three compounds 2b, 3a, and 3b exhibited moderate AChEI activity and the product 2b was the most active, with an acetylcholinesterase inhibitory activity of 38.15% at 100 μg/mL. Though the complexes showed slightly more antibacterial activities than other reported complexes, their strong abilities to bind with DNA and scavenge free radicals compared to other reported palladium complexes was notable [27,28,29,30].
Acknowledgments
This project was supported by King Saud University, Deanship of Scientific Research, College of Science Research Center. We are also grateful to the Technological and Scientific Research Council of Turkey TUBİTAK-MESRS (Tunisia) for the financial support of the PhD student, Lamia BOUBAKRI.
Author Contributions
Boubakri Lamia, a third year PhD. Student, she prepared all the compounds; this work was a part of her project. Ahlem Chakchouk-Mtibaa she carried out all the biological activities, Bilel Hallouma she assisted in the interpretation of spectra. Lamjed Mansour he performed some of analysis as well as interpretation of biological activities. While Sedat Yaşar, Ismail Özdemir, Lotfi Mellouli and Naceur Hamdi were co-investigators of the project. All authors are aware of this manuscript and have agreed for its publication.
Conflicts of Interest
The authors confirm that this paper content has no conflict of interests.
References
- Natalie, M.S.; Steven, P. Stabilization of Organometallic Species Achieved by the Use of N-Heterocyclic Carbene (NHC) Ligands. Eur. J. Inorg. Chem. 2005, 1815–1828. [Google Scholar]
- Christmann, U.; Vilar, R. Monoligated Palladium Species as Catalysts in Cross-Coupling Reactions. Angew. Chem. Int. Ed. 2005, 44, 366–374. [Google Scholar] [CrossRef] [PubMed]
- Wolfgang, A.H. N-Heterocyclic Carbenes: A New Concept in Organometallic Catalysis. Angew. Chem. Int. Ed. 2002, 41, 1290–1309. [Google Scholar]
- Hadei, N.; Kantchev, A.E.B.; Christopher, J.O.; Organ, M.G. Electronic Nature of N-Heterocyclic Carbene Ligands: Effect on the Suzuki Reaction. Org. Lett. 2005, 7, 1991–1994. [Google Scholar] [CrossRef] [PubMed]
- Lee, S.; Hartwig, J.F. Improved Catalysts for the Palladium-Catalyzed Synthesis of Oxindoles by Amide α-Arylation. Rate Acceleration, Use of Aryl Chloride Substrates, and a New Carbene Ligand for Asymmetric Transformations. J. Org. Chem. 2001, 66, 3402–3415. [Google Scholar] [CrossRef] [PubMed]
- Ramalho, T.C.; Tanos, C.C.F.; Rennó, M.N.; Ana, P.G.; da Cunha, E.F.F.; Kuča, K. Development of new acetylcholinesterase reactivators: Molecular modeling versus in vitro data. Chem.-Biol. Interact. 2010, 185, 73–77. [Google Scholar] [CrossRef] [PubMed]
- Rashid, R.; Ahmad Dar, B.; Majeed, R.; Hamid, A. Synthesis and biological evaluation of ursolic acid-triazolyl derivatives as potential anti-cancer agents. Eur. J. Med. Chem. 2017, 128, 238–245. [Google Scholar] [CrossRef] [PubMed]
- Willian, E.A.D.L.; Pereira, A.F.; Alexandre, A.D.C.; Elaine, F.F.D.C.; Ramalho, T.C. Flexibility in the Molecular Design of Acetylcholinesterase Reactivators: Probing Representative Conformations by Chemometric Techniques and Docking/QM Calculations. Lett. Drug Des. Discov. 2016, 13, 360–371. [Google Scholar]
- Sedat, Y.; Çağlar, Ş.; Murat, A.; Özdemir, İ. Synthesis, characterization and the Suzuki–Miyaura coupling reactions of N-heterocyclic carbene–Pd(II)–pyridine (PEPPSI) complexes. J. Organomet. Chem. 2015, 776, 107–112. [Google Scholar]
- Suzan, Ç.; Sedat, Y.; Özdemir, İ. Palladium(II)-N-heterocyclic carbene complexes: Synthesis, characterization and catalytic application. Appl. Organomet. Chem. 2014, 28, 423–431. [Google Scholar]
- Matthias, E.; Gregory, C.F. The First Applications of Carbene Ligands in Cross-Couplings of Alkyl Electrophiles: Sonogashira Reactions of Unactivated Alkyl Bromides and Iodides. J. Am. Chem. Soc. 2003, 125, 13642–13643. [Google Scholar]
- Alois, F.; Oliver, R.; Thiel, L.; Ackermann, H.-J.; Schanz, S.P.N. Ruthenium Carbene Complexes with N,N′-Bis(mesityl)imidazol-2-ylidene Ligands: RCM Catalysts of Extended Scope. J. Org. Chem. 2000, 65, 2204–2207. [Google Scholar]
- Suzuki, A. Recent advances in the cross-coupling reactions of organoboron derivatives with organic electrophiles. J. Organomet. Chem. 1999, 576, 147–168. [Google Scholar] [CrossRef]
- Jennifer, C.; Dougherty, D.A. The Cation−π Interaction. Chem. Rev. 1997, 97, 1303–1324. [Google Scholar]
- Rische, T.; Eilbracht, P. One-pot synthesis of pharmacologically active secondary and tertiary 1-(3,3-diarylpropyl)amines via rhodium-catalysed hydroamino methylation of 1,1-diarylethenes. Tetrahedron 1999, 55, 1915–1920. [Google Scholar] [CrossRef]
- Stephen, P.S. Catalytic Cross-coupling Reactions in Biaryl Synthesis. Tetrahedron 1998, 54, 263–303. [Google Scholar]
- Mario, R.; Paul, K. New multi-coupling benzylic zinc reagents for the preparation of flexible aromatic compounds. Tetrahedron Lett. 1997, 38, 1749–1752. [Google Scholar]
- Ismail, O.; Yetkin, G.; Özlem, Ö.; Murat, K.; Henri, D.; Christian, B. N-Heterocyclic Carbenes: Useful Ligands for the Palladium-Catalysed Direct C5 Arylation of Heteroaromatics with Aryl Bromides or Electro N-Deficient Aryl Chlorides. Eur. J. Inorg. Chem. 2010, 41, 1798–1805. [Google Scholar]
- Fox, J.T.; Sakamuru, S.; Huang, R.L.; Teneva, N.; Simmons, S.O.; Xia, M.H.; Tice, R.R.; Austin, C.P.; Myung, K. High-throughput genotoxicity assay identifies antioxidants as inducers of DNA damage response and cell death. Proc. Natl. Acad. Sci. USA 2012, 109, 5423–5428. [Google Scholar] [CrossRef] [PubMed]
- Kalauni, S.K.; Choudhary, M.I.; Khalid, A.; Manandhar, M.D.; Shaheen, F.; Atta-ur-Rahman, G.M.B. New cholinesterase inhibiting steroidal alkaloids from the leaves of Sarcococca coriacea of Nepalese origin. Chem. Pharm. Bull. 2002, 50, 1423–1426. [Google Scholar] [CrossRef] [PubMed]
- Atta-ur-Rahman, W.A.T.; Nawas, S.A.; Choudhary, M.I. New cholinesterase inhibiting bisbenzylisoquinoline alkaloids from Cocculus pendulus. Chem. Pharm. Bull. 2004, 52, 802–806. [Google Scholar] [CrossRef] [PubMed]
- Ahmad, W.; Ahmad, B.; Ahmad, M.; Iqbal, Z.; Nisar, M.; Ahmad, M. In vitro inhibition of acetylcholinesterase, butyrylcholinesterase and lipoxygenase by crude extract of Myricaria elegans Royle. J. Biol. Sci. 2003, 11, 1046–1049. [Google Scholar]
- Güven, K.; Yücel, E.; Cetintas, F. Antimicrobial activities of fruits of Crataegus and Pyrus species. Pharm. Biol. 2006, 44, 79–83. [Google Scholar] [CrossRef]
- National Committee for Clinical Laboratory Standard. Referece method for Broth Dilution Antifungal Susceptibility Testing of Conidium-Forming Filamentous Fungi. Proposed Standard M38-P; National Committee for Clinical Laboratory Standard: Wayne, PA, USA, 1998. [Google Scholar]
- Kirby, A.J.; Schmidt, R. The anti-oxidant activity of Chinese herbs for eczema and of placebo herbs. J. Ethnopharmacol. 1997, 56, 103–108. [Google Scholar] [CrossRef]
- Ellman, G.L.; Courtney, K.D.; Andres, V.J.R.; Featherstone, R.M. A new and rapid colorimetric determination of acetylcholinesterase activity. Biochem. Pharmacol. 1961, 7, 88–95. [Google Scholar] [CrossRef]
- Kalaivani, P.; Umadevi, C.; Prabhakaran, R.; Dallemer, F.; Mohan, P.S.; Natarajan, K. New palladium(II) complexes of 3-methoxysalicylaldehyde-4(N)-substituted thiosemicarbazones: Synthesis, spectroscopy, X-ray crystallography and DNA/protein binding study. Polyhedron 2014, 80, 97–105. [Google Scholar] [CrossRef]
- Tavares, T.T.; Paschoal, D.; Motta, E.V.S.; Carpanez, A.G.; Lopes, M.T.P.; Fontes, E.S.; Dos Santos, H.F.; Silva, H.; Grazul, A.P.S.R.M. Platinum (II) and palladium (II) aryl-thiosemicarbazone complexes: Synthesis, characterization, molecular modeling, cytotoxicity, and antimicrobial activity. J. Coord. Chem. 2014, 67, 956–968. [Google Scholar] [CrossRef]
- Shabbir, H.; Iftikhar, H.B.; Saqib, A.; Saira, S.; Muhammad, S.; Khurram, S.M. Synthesis and spectroscopic and thermogravimetric characterization of heterobimetallic complexes with Sn (IV) and Pd (II); DNA binding, alkaline phosphatase inhibition and biological activity studies. J. Coord. Chem. 2015, 68, 662–677. [Google Scholar]
- EN-Jun, G.; Qiong, W.; Chuan-Sheng, W.; Ming-Chang, Z.; Lei, W.; Hong-Yan, L.; Yun, H.; Ya-Guang, S. Synthesis, interaction with double-helical DNA and biological activity of new Pt(II) and Pd(II) complexes with phenylglycine. J. Coord. Chem. 2009, 62, 3425–3437. [Google Scholar]
- Sample Availability: Samples of the compounds 1–3 are available from the authors.
© 2017 by the authors. Licensee MDPI, Basel, Switzerland. This article is an open access article distributed under the terms and conditions of the Creative Commons Attribution (CC BY) license ( http://creativecommons.org/licenses/by/4.0/).



















