Synthesis and Structure-Activity Relationship of Some New Thiophene-Based Heterocycles as Potential Antimicrobial Agents
Abstract
:1. Introduction
2. Results and Discussion
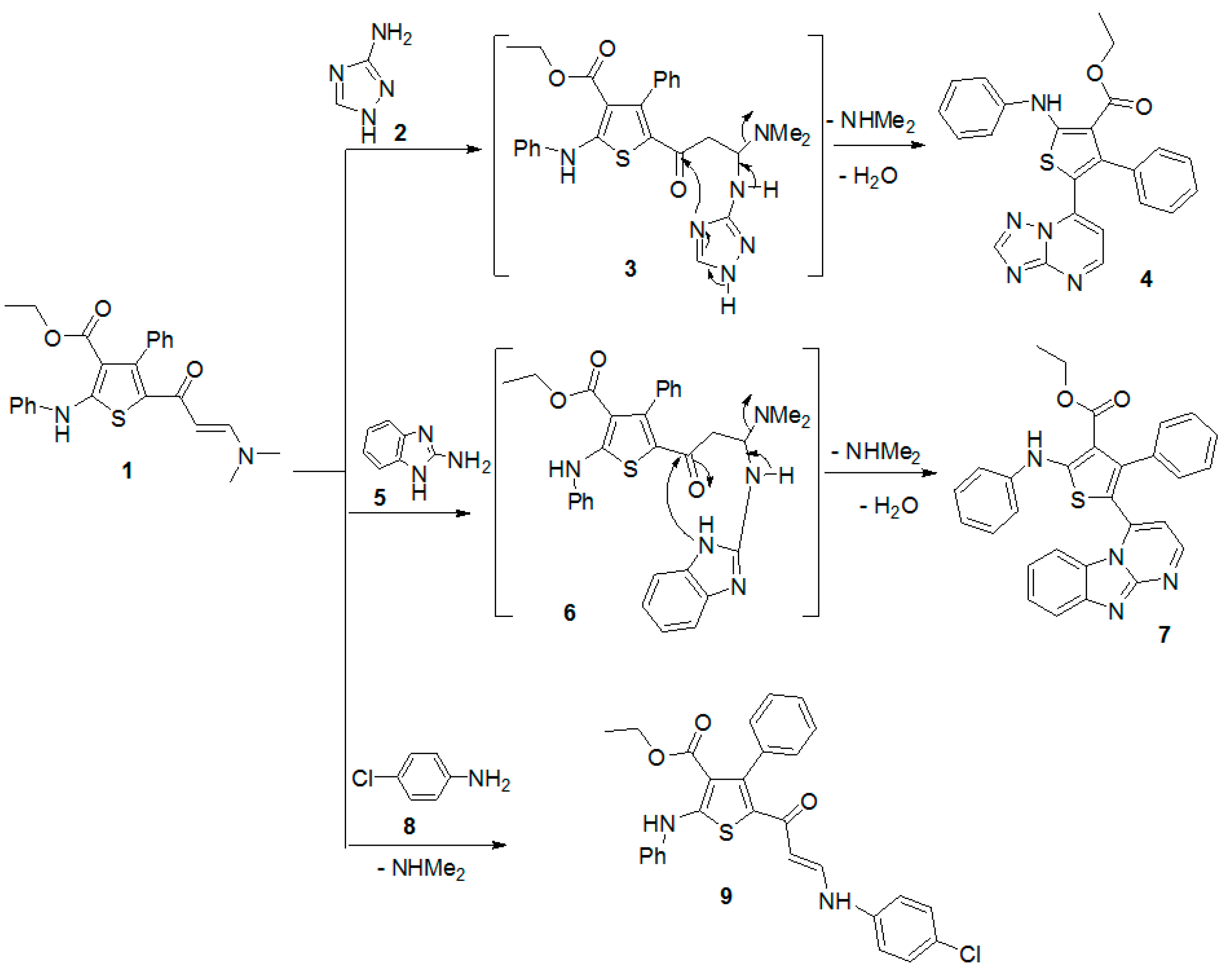
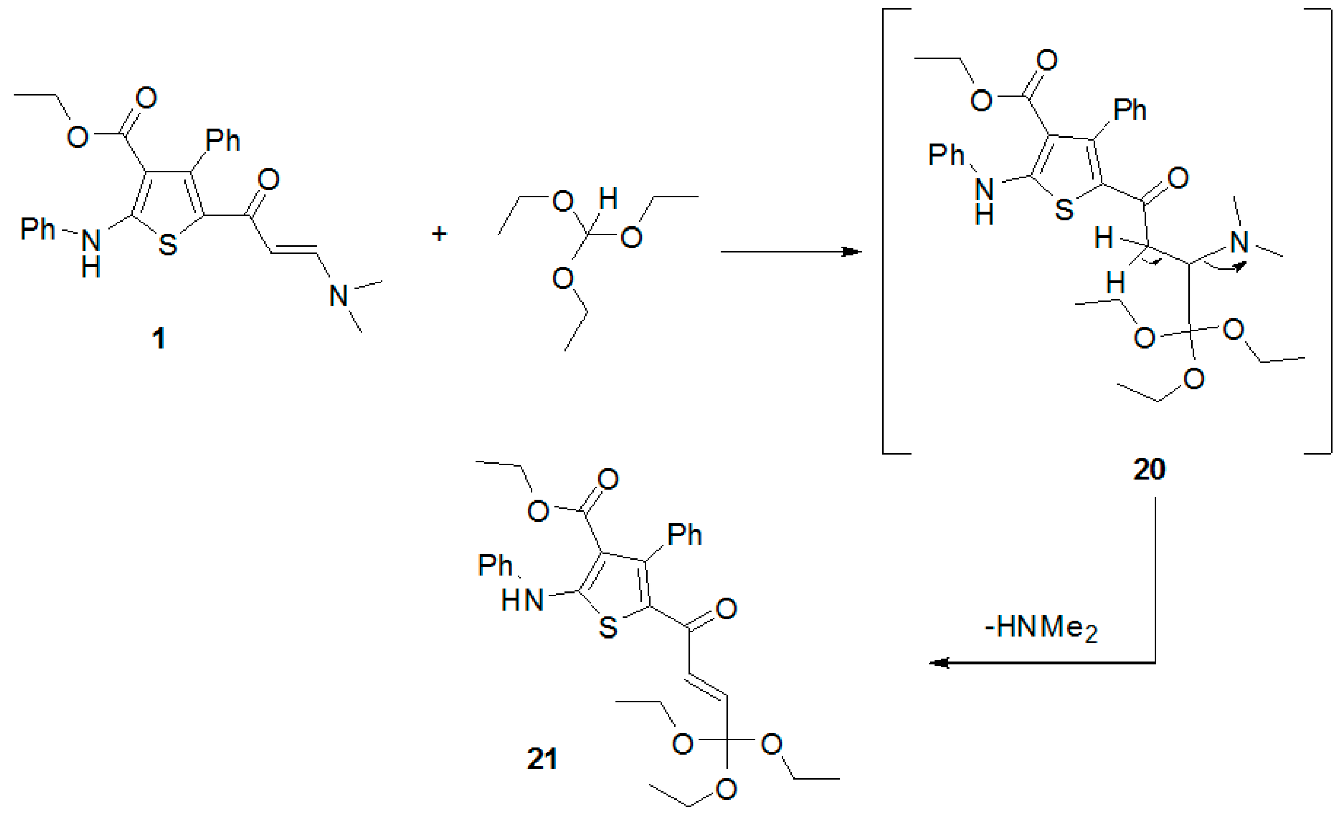
2.1. Chemistry
2.2. Antimicrobial Evaluation
2.3. Structure Activity Relationship (SAR)
- The pyrazole moiety in compound 16 is necessary to have higher antibacterial activities towards Pseudomonas aeruginosa, and Escherichia coli.
- It is interesting to point out that 4-chlorophenylaminoacryloylmoiety in 9, pyridine moiety in 12, and triazolo[3,4-c]triazine moiety in 19 are necessary to have higher antifungal activity against Aspergillus fumigates.
3. Experimental Section
3.1. Chemistry
3.1.1. General
3.1.2. Synthetic Procedures
Reaction of Enaminone 1 with Heterocyclic and Aromatic Amines
3.2. Agar Diffusion Well Method to Determine the Antimicrobial Activity
4. Conclusions
Acknowledgments
Author Contributions
Conflicts of Interest
References
- Abdel-Wahab, B.F.; Abdel-Gawad, H.; Ghada, E.A.A.; Badria, F.A. Synthesis, antimicrobial, antioxidant, antiinflammatory and analgesic activities of some new 3-(2′-thienyl)pyrazolebased heterocycles. Med. Chem. Res. 2012, 21, 1418–1426. [Google Scholar] [CrossRef]
- Bonini, C.; Chiummiento, L.; Bonis, M.D.; Funicello, M.; Lupattelli, P.; Suanno, G.; Berti, F.; Campaner, P. Synthesis, biological activity and modelling studies of two novel anti HIV PR inhibitors with a thiophene containing hydroxyethylamino core. Tetrahedron 2005, 61, 6580–6589. [Google Scholar] [CrossRef]
- Geronikaki, A.; Theophilidis, G. Synthesis of 2-(aminoacetylamino)thiazole derivatives and comparison of their local anaesthetic activity by the method of action potential. Eur. J. Med. Chem. 1992, 27, 709–716. [Google Scholar] [CrossRef]
- Rejon, G.J.M.; Castell, R.O.M. Synthesis and primary evaluation of the bactericide and fungicide activity of some 5-halofuranic and 5-halo-4-phenylthiazolic derivatives. Afinidad 1993, 50, 319–322. [Google Scholar]
- Ahmad, V.U.; Alam, N. New antifungal bithienylacetylenes from Blumea obliqua. J. Nat. Prod. 1995, 58, 1426–1429. [Google Scholar] [CrossRef] [PubMed]
- Giridhar, T.; Reddy, R.B.; Prasanna, B.; Chandra Mouli, G.V.P. Aminothiazoles: Part 1 Synthesis and pharmacological evaluation of 4-[isobutylphenyl]-2-substituted aminothiazoles. Indian J. Chem. 2001, 40, 1279–1281. [Google Scholar]
- Lu, X.; Wan, B.; Franzblau, S.G.; You, Q. Design, synthesis and anti-tubercular evaluation of new 2-acylated and 2-alkylated amino-5-(4-(benzyloxy)phenyl)thiophene-3-carboxylic acid derivatives. Eur. J. Med. Chem. 2011, 46, 3551–3563. [Google Scholar] [CrossRef] [PubMed]
- Kaushik, N.K.; Kim, H.S.; Chae, Y.J.; Lee, Y.N.; Kwon, G.; Choi, E.H.; Kim, I.T. Synthesis and Anticancer Activity of Di(3-thienyl)methanol and Di(3-thienyl)methane. Molecules 2012, 17, 11456–11468. [Google Scholar] [CrossRef] [PubMed]
- Wang, Y.D.; Johnson, S.; Powell, D.; McGinnis, J.P.; Miranda, M.; Rabindran, S.K. Inhibition of tumor cell proliferation by thieno[2,3-d]pyrimidin-4(1H)-one-based analogs. Bioorg. Med. Chem. Lett. 2005, 15, 3763–3766. [Google Scholar] [CrossRef] [PubMed]
- Jennings, L.D.; Kincaid, S.L.; Wang, Y.D.; Krishnamurthy, G.; Beyer, C.F.; McGinnis, J.P.; Miranda, M.; Discafani, C.M.; Rabindran, S.K. Parallel synthesis and biological evaluation of 5,6,7,8-tetrahydrobenzothieno[2,3-d]pyrimidin-4(3H)-one cytotoxic agents selective for p21-deficient cells. Bioorg. Med. Chem. Lett. 2005, 15, 4731–4735. [Google Scholar] [CrossRef] [PubMed]
- Aubry, M.L.; Cowell, P.; Davey, M.J.; Shevde, S. Aspects of the pharmacology of a new anthelmintic: Pyrantel. Br. J. Pharmacol. 1970, 38, 332–344. [Google Scholar] [CrossRef] [PubMed]
- Tian, Y.; Wei, X.; Xu, H.J. Photoactivated Insecticidal Thiophene Derivatives from Xanthopappus subacaulis. Nat. Prod. 2006, 69, 1241–1244. [Google Scholar]
- Shen, Y.; Zhao, Y.; Li, Z.; Wang, J.; Qiu, L.; Liu, S.; Zhai, J.; Zhou, J. The synthesis of highly active thiophene ring-containing chromophore components for photonic polymers based on a newly designed route. J. Chem. Soc. Perkin Trans. 1 1999, 3691–3695. [Google Scholar] [CrossRef]
- Zhiryakov, V.G.; Abramenko, P.I. Polymethylene dyes derived from heterocyclic bases containing condensed thiophene rings IV. Derivatives of thienopyridines-5 and-6. Chem. Heterocycl. Compd. 1967, 3, 501–504. [Google Scholar] [CrossRef]
- Heeney, M.; Bailey, C.; Genevicius, K.; Shkunov, M.; Sparrowe, D.; Tierney, S.; McCulloch, I. Stable Polythiophene Semiconductors Incorporating Thieno[2,3-b]thiophene. J. Am. Chem. Soc. 2005, 127, 1078–1079. [Google Scholar] [CrossRef] [PubMed]
- Kheder, N.A.; Mabkhot, Y.N.; Farag, A.M. Facile and Convenient Synthesis of Pyrazole, Pyridine, Pyridazine, Pyrazolo[3,4-b]pyridine, and Pyrazolo[5,1-c][1,2,4]triazine Derivatives. Synth. Commun. 2008, 38, 3170–3182. [Google Scholar] [CrossRef]
- Mabkhot, Y.N.; Kheder, N.A.; Al-Majid, A.M. Facile and convenient synthesis of new thieno[2,3-b]-thiophene derivatives. Molecules 2010, 15, 9418–9426. [Google Scholar] [CrossRef] [PubMed]
- Mabkhot, Y.N.; Brakat, A.; Alatibi, F.A.; Choudharyc, M.I.; Yousuf, S. (E)-Ethyl 2-anilino-5-[3-(dimethylamino)-acryloyl]-4-phenylthiophene-3-carboxylate. Acta Crystallogr. Sect. E 2013, 69. [Google Scholar] [CrossRef] [PubMed]
- Mabkhoot, Y.N. Synthesis and analysis of some bis-heterocyclic compounds containing sulphur. Molecules 2009, 14, 1904–1914. [Google Scholar] [CrossRef] [PubMed]
- Kheder, N.A.; Mabkhot, Y.N. Synthesis and Antimicrobial Studies of Some Novel bis-[1,3,4]thiadiazole and bis-thiazole Pendant to Thieno[2,3-b]thiophene moiety. Int. J. Mol. Sci. 2012, 13, 3661–3670. [Google Scholar] [CrossRef] [PubMed]
- Mabkhot, Y.N.; Kheder, N.A.; Farag, A.M. Synthesis and Antimicrobial Activity of Some New Thieno[2,3-b]thiophene Derivatives. Molecules 2013, 18, 4669–4678. [Google Scholar] [CrossRef] [PubMed]
- Mabkhot, Y.N.; Alatibi, F.; El-Sayed, N.N.; Al-Showiman, S.; Kheder, N.A.; Wadood, A.; Rauf, A.; Bawazeer, S.; Hadda, T. Antimicrobial Activity of Some Novel Armed Thiophene Derivatives and Petra/Osiris/Molinspiration (POM) Analyses. Molecules 2016, 21, 222. [Google Scholar] [CrossRef] [PubMed]
- Dieckmann, W.; Platz, L. Ueber eine neue Bildungsweise von Osotetrazonen. Ber. Dtsch. Chem. Ges. 1905, 38, 2986–2990. [Google Scholar] [CrossRef]
- Abushamleh, A.S.; Al-Aqarbeh, M.M.; Day, V. Transition Metal Complexes of Derivatized Chiral Dihydro-1,2,4-triazin-6-ones. Template Synthesis of Nickel(II) Tetraaza-(4N-M) Complexes Incorporating the Triazinone Moiety. Am. J. Appl. Sci. 2008, 5, 750–754. [Google Scholar] [CrossRef]
- Komarova, E.S.; Makarov, V.A.; Alekseeva, G.V.; Granik, V.G. Synthesis of derivatives of a new heterocyclic system pyrazolo[3,4-b]pyrido[1′,2′:1,2]imidazo[4,5-d]pyridine. Russ. Chem. Bull. 2006, 55, 735–740. [Google Scholar] [CrossRef]
- He, F.Q.; Liu, X.H.; Wang, B.L.; Li, Z.M. Synthesis and biological activities of novel bis-heterocyclic pyrrodiazole derivatives. Heteroat. Chem. 2008, 19, 21–27. [Google Scholar] [CrossRef]
- Amer, F.A.; Hammouda, M.; El-Ahl, A.S.; Abdelwahab, B.F. Synthesis of Important New Pyrrolo[3,4-c]pyrazoles and Pyrazolyl-Pyrrolines from Heterocyclic β-Ketonitriles. J. Chin. Chem. Soc. 2007, 54, 1543–1552. [Google Scholar] [CrossRef]
- Salaheldin, A.M.; Al-Sheikh, M.A. β-Enamino Esters in Heterocyclic Synthesis: Synthesis of Pyrazolone and Pyridinone Derivatives. Molecules 2010, 15, 4359–4368. [Google Scholar] [CrossRef] [PubMed]
- Al-Shiekh, M.A.; Salah El-Din, A.M.; Hafez, E.A.; Elnagdi, M.H. α-Enones in heterocyclic synthesis, Part I. Classical synthetic and environmentally friendly synthetic approaches to alkyl and acyl azoles and azines. J. Chem. Res. 2004, 174–179. [Google Scholar] [CrossRef]
- Riyadh, S.M. Enaminones as Building Blocks for the Synthesis of Substituted Pyrazoles with Antitumor and Antimicrobial Activities. Molecules 2011, 16, 1834–1853. [Google Scholar] [CrossRef] [PubMed]
- Smânia, A., Jr.; Monache, F.D.; Smânia, E.F.A.; Cuneo, R.S. Antibacterial activity of steroidal compounds isolated from Ganoderma applanatum (Pers.) Pat. (Aphyllophoromycetideae) fruit body. Int. J. Med. Mushrooms 1999, 1, 325–330. [Google Scholar] [CrossRef]
- Sample Availability: Samples of the compounds are available from the authors.





| Sample | Gram Positive Bacteria | Gram Negative Bacteria | ||
|---|---|---|---|---|
| Streptococcus pneumoniae | Bacillis subtilis | Pseudomonas aeruginosa | Escherichia coli | |
| Ampicillin | Gentamicin | |||
| St | 23.8 ± 0.2 | 32.4 ± 0.3 | 17.3 ± 0.1 | 19.9 ± 0.3 |
| 4 | 12.3 ± 0.58 | 12.7 ± 0.37 | 9.8 ± 0.34 | 11.3 ± 0.39 |
| 7 | 14.6 ± 0.58 | 14.3 ± 0.58 | 10.2 ± 0.31 | 8.8 ± 0.24 |
| 9 | 13.8 ± 0.40 | 17.2 ± 0.43 | 11.6 ± 0.36 | 10.9 ± 0.21 |
| 12 | 12.9 ± 0.63 | 13.2 ± 0.58 | 10.7 ± 0.24 | 9.9 ± 0.34 |
| 16 | 17.5 ± 0.44 | 19.8 ± 0.63 | 15.1 ± 0.45 | 18.0 ± 0.25 |
| 19 | 13.8 ± 0.4 | 17.2 ± 0.43 | 11.6 ± 0.36 | 10.9 ± 0.21 |
| Sample | Fungi | |||
|---|---|---|---|---|
| Aspergillus fumigates | Syncephalastrum racemosum | Geotricum candidum | Candida albicans | |
| Amphotericin B | ||||
| St | 23.7 ± 0.1 | 19.7 ± 0.2 | 28.7 ± 0.2 | 25.4 ± 0.1 |
| 4 | 15.7 ± 0.47 | 16.6 ± 0.62 | 12.6 ± 0.38 | 12.7 ± 0.37 |
| 7 | 16.3 ± 0.35 | 14.8 ± 0.46 | 15.3 ± 0.52 | 14.3 ± 0.58 |
| 9 | 24.1 ± 0.51 | 16.9 ± 0.52 | 11.5 ± 0.43 | 10.8 ± 0.46 |
| 12 | 28.1 ± 0.76 | 23.4 ± 0.77 | 14.1 ± 0.65 | 13.2 ± 0.58 |
| 16 | 15.3 ± 0.55 | 13.4 ± 0.35 | 11.5 ± 0.58 | 13.1 ± 0.3 |
| 19 | 24.1 ± 0.51 | 16.9 ± 0.52 | 11.5 ± 0.34 | 10.8 ± 0.46 |
© 2016 by the authors. Licensee MDPI, Basel, Switzerland. This article is an open access article distributed under the terms and conditions of the Creative Commons Attribution (CC-BY) license ( http://creativecommons.org/licenses/by/4.0/).
Share and Cite
Mabkhot, Y.N.; Alatibi, F.; El-Sayed, N.N.E.; Kheder, N.A.; Al-Showiman, S.S. Synthesis and Structure-Activity Relationship of Some New Thiophene-Based Heterocycles as Potential Antimicrobial Agents. Molecules 2016, 21, 1036. https://doi.org/10.3390/molecules21081036
Mabkhot YN, Alatibi F, El-Sayed NNE, Kheder NA, Al-Showiman SS. Synthesis and Structure-Activity Relationship of Some New Thiophene-Based Heterocycles as Potential Antimicrobial Agents. Molecules. 2016; 21(8):1036. https://doi.org/10.3390/molecules21081036
Chicago/Turabian StyleMabkhot, Yahia Nasser, Fatima Alatibi, Nahed Nasser E. El-Sayed, Nabila Abdelshafy Kheder, and Salim S. Al-Showiman. 2016. "Synthesis and Structure-Activity Relationship of Some New Thiophene-Based Heterocycles as Potential Antimicrobial Agents" Molecules 21, no. 8: 1036. https://doi.org/10.3390/molecules21081036
APA StyleMabkhot, Y. N., Alatibi, F., El-Sayed, N. N. E., Kheder, N. A., & Al-Showiman, S. S. (2016). Synthesis and Structure-Activity Relationship of Some New Thiophene-Based Heterocycles as Potential Antimicrobial Agents. Molecules, 21(8), 1036. https://doi.org/10.3390/molecules21081036

