Abstract
Cholinesterases and amyloid beta are one of the major biological targets in the search for a new and efficacious treatment of Alzheimer’s disease. The study describes synthesis and pharmacological evaluation of new compounds designed as dual binding site acetylcholinesterase inhibitors. Among the synthesized compounds, two deserve special attention—compounds 42 and 13. The former is a saccharin derivative and the most potent and selective acetylcholinesterase inhibitor (EeAChE IC50 = 70 nM). Isoindoline-1,3-dione derivative 13 displays balanced inhibitory potency against acetyl- and butyrylcholinesterase (BuChE) (EeAChE IC50 = 0.76 μM, EqBuChE IC50 = 0.618 μM), and it inhibits amyloid beta aggregation (35.8% at 10 μM). Kinetic studies show that the developed compounds act as mixed or non-competitive acetylcholinesterase inhibitors. According to molecular modelling studies, they are able to interact with both catalytic and peripheral active sites of the acetylcholinesterase. Their ability to cross the blood-brain barrier (BBB) was confirmed in vitro in the parallel artificial membrane permeability BBB assay. These compounds can be used as a solid starting point for further development of novel multifunctional ligands as potential anti-Alzheimer’s agents.
1. Introduction
Alzheimer’s disease (AD) is a fatal neurodegenerative disorder and the most frequent cause of dementia. World Health Organization estimates the global prevalence of the disease at 36 million [1] and annual costs at $604 billion [2]. These figures are expected to rise, yet we have no new drugs to ease the burden of the disease. Currently, only four drugs are used for the treatment of AD, the last of them being approved a decade ago. Also, an alarmingly low number of drug candidates are undergoing clinical trials, with only a dozen compounds in Phase III [3,4]. These facts highlight the necessity of new effective therapeutic agents for AD.
The etiology of AD is not entirely understood due to the heterogeneity of the disease where ageing, genetic and environmental risk factors play a very important role [5]. Two pathological changes in AD are senile plaques—deposits of amyloid beta peptide (Aβ) and neurofibrillary tangles (NFTs)—and aggregates of hyperphosphorylated tau protein [6]. These lesions accumulate in the affected brains and damage mainly the cholinergic neurons [7,8]. Severe loss of cholinergic neurons in the basal forebrain reduces the cholinergic activity in the cerebral cortex and hippocampus, and impairs memory and cognitive functions [9].
Restoration of memory impairments can be achieved by enhancing cholinergic neurotransmission through cholinesterase inhibition. Cholinesterases are enzymes responsible for acetylcholine (ACh) hydrolysis and thus termination of signal transmission. The first enzyme, acetylcholinesterase (AChE), hydrolyzes the majority (80%) of ACh, and the second, butyrylcholinesterase (BuChE), accounts for the remaining cholinesterase activity [10]. It was found that apart from its hydrolytic function, AChE is implicated in non-cholinergic functions such as amyloid deposition, cell adhesion and neurite outgrowth [11,12]. It is assumed that these functions of AChE are connected with its peripheral anionic site (PAS) [13]. The peripheral anionic site together with a catalytic anionic site (CAS) are the main binding sites of the enzyme [14].
Currently in AD therapy, there are either selective AChE inhibitors (donepezil, galantamine) or nonselective cholinesterase inhibitors (rivastigmine). Additionally to primary anti-cholinesterase activity, these drugs exhibit neuroprotective properties against Aβ toxicity, ischemia and glutamate excitotoxicity [15,16]. Senile plaques and neurofibrillary tangles are not the only culprits that exacerbate cholinergic neurotransmission. The pathogenesis of AD is far more complex, and other mechanisms—namely inflammation [17], oxidative stress [18], and immune suppression [19]—are also involved.
Taking into the consideration the wide range of factors involved in the onset and progress of AD, it is reasonable to apply the multiple ligand approach to discover new efficacious drugs for AD [20]. Multi-target-directed ligands (MTDL) are compounds which act on several biological targets simultaneously and possess noticeable advantages over single-target-directed ligands. With these drugs, the risk of drug-drug interactions, poor patient compliance and pharmacokinetic differences between the individual drugs can be avoided. Also, MTDL can be more efficacious and less vulnerable to resistance [21]. In recent years, many multifunctional compounds, which act on AD-relevant targets have been discovered and reviewed [22,23,24,25,26,27]. Among these, cholinesterase inhibitors with additional biological properties, such as Aβ-aggregation inhibition [28,29,30], monoamine oxidase inhibition [31,32,33], serotonergic activity [34,35] or neuroprotective properties [36], still represent the mainstay of research.
These studies represent a continuation of a project focused on the development of the MTDL as potential anti-AD agents [37,38,39,40,41]. Herein, we describe the design, molecular modelling and synthesis of a new series of heterodimeric compounds. Their biological activity was evaluated on three potential targets: acetylcholinesterase (AChE), butyrylcholinesterase (BuChE) and Aβ1–42 aggregation. Finally, their blood–brain barrier (BBB) permeability was assessed using the parallel artificial membrane permeation assay (PAMPA—BBB).
2. Results and Discussion
2.1. Design
Two series of compounds were designed as dual binding site acetylcholinesterase inhibitors based on our previous research. Compound I, a selective and moderate EeAChE inhibitor (IC50 = 0.90 µM), and a weak self-induced Aβ12–23 aggregation inhibitor (30.10% at 50 µM) were used as a starting point for series A [37]. Diethylamine moiety of compound I was replaced with cyclic analogues (pyrrolidine, morpholine and tetrahydroisoquinoline). Phthalimide on the left-hand side of I was replaced with tetrahydroisoquinoline and an indole group. Both fragments were connected by alkyl linkers of various lengths (Figure 1).
Figure 1.
The general structures of the designed compounds.
Series B was designed on the basis of a potent and selective saccharin-benzylamine based AChE inhibitor (compound II, EeAChE IC50 = 36 nM and 22.19% of inhibition of self-induced Aβ1–42 aggregation at 10 μM) [40]. The chemical space was probed by modifications of the benzylamine fragment (Figure 1).
2.2. Chemistry
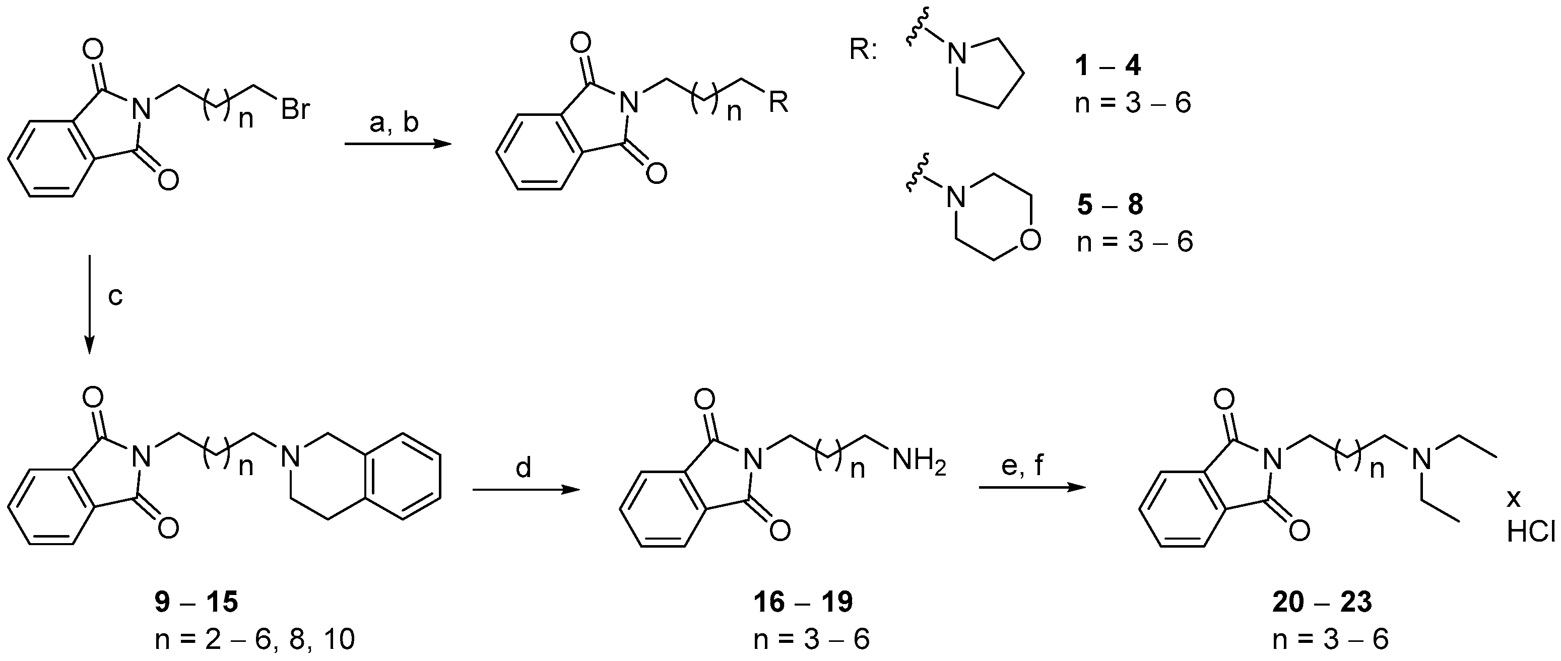
The synthesis of the designed isoindoline-1,3-dione derivatives was accomplished as shown in Scheme 1. 2-(ω-Bromoalkyl)isoindoline-1,3-diones were used as alkylating agents in a reaction of nucleophilic substitution with secondary amines (pyrrolidine, morpholine and tetrahydroisoquinoline). The reactions were carried out in acetonitrile (MeCN) in the presence of potassium carbonate for 24 h, under reflux. Following purification by silica gel column chromatography, the final 2-(ω-(N-amino)alkyl)isoindoline-1,3-dione derivatives 1–15 were isolated and converted into their hydrochloride salts. Compounds 10–13 were further hydrolyzed in reaction with ethanolic solution of hydrazine under reflux. After 2 h, the reaction mixture was cooled down to 0 °C and 36% HCl was added and mixed for the next 2 h, under reflux. Amines 16–19 were isolated and alkylated with bromoethane in the presence of potassium carbonate. The reactions were carried out in acetonitrile for 48 h, at room temperature. Following purification by silica gel column chromatography, the final ω-(3,4-dihydroisoquinolin-2(1H)-yl)-N,N-diethylalkyl-1-amine derivatives 20–23 were isolated and subsequently converted into hydrochloride salts.
Scheme 1.
Synthesis of the isoindoline-1,3-dione derivatives 1–15 and tetrahydroisoquinoline derivatives 20–23. Reagents and conditions: (a) pyrrolidine or morpholine, K2CO3, MeCN, reflux, 20 h; (b) HCl in 2-propanol; (c) tetrahydroisoquinoline, K2CO3, MeCN, reflux, 24 h; (d) i: NH2NH2, EtOH, reflux, 2 h; ii: 0 °C, 36% HCl, reflux, 2 h (e) bromoethane, K2CO3, MeCN, rt, 48 h; (f) HCl in 2-propanol.
A subseries of indole derivatives was synthesized according to the reaction protocol depicted in Scheme 2. In the first step, indole was alkylated with the appropriate α,ω-dibromoalkane in the presence of potassium tert-butoxide ((CH3)3CO−K+). The reactions were carried out in anhydrous tetrahydrofuran (THF) at 0 °C for 3 h. In the next step, compounds 24–29 were used as alkylating agents in a reaction with diethylamine. The reactions were carried out in acetonitrile, in the presence of potassium carbonate, stirring for 24 h under reflux. After purification by silica gel column chromatography, the final N,N-diethyl-ω-(1H-indol-1-yl)alkyl-1-amine derivatives 30–35 were isolated and converted into oxalates.
Scheme 2.
Synthesis of the indole derivatives 30–35. Reagents and conditions: (a) α,ω-dibromoalkane, (CH3)33CO−K+, THF, 0 °C, 3 h (b) diethylamine, K2CO3, MeCN, reflux 24 h; (c) Oxalic acid in acetone.
Series B of benzo[d]isothiazol-3(2H)-one 1,1-dioxide derivatives was prepared according to the pathway described in Scheme 3. In the first step, alkylation of a saccharin sodium salt with the appropriate α,ω-dibromoalkane gave intermediate compounds 36–38. Reactions were carried out in N,N-dimethylformamide (DMF) for 24 h under reflux, followed by purification with flash column chromatography. Subsequently, compounds 36–38 were used as alkylating agents in reaction of nucleophilic substitution with 2-fluorobenzylamine or 3-chlorobenzylamine. The reactions were carried out in dimethyl sulfoxide (DMSO) for 3.5 h at 60 °C, followed by silica gel flash chromatography purification, which afforded the expected 2-(ω-(N-benzylamino)alkyl)benzo[d]isothiazol-3(2H)-one 1,1-dioxides 39–44.
Scheme 3.
Synthesis of the saccharin derivatives 39–44. Reagents and conditions: (a) α,ω-dibromoalkane, DMF, reflux, 24 h; (b) 2-fluorobenzylamine or 3-chlorobenzylamine, DMSO, 60 °C, 3.5 h.
2.3. Biological Evaluation
2.3.1. Cholinesterase Inhibitory Potency
Ellman’s method [42] was used to determine the activity of the synthesized compounds against AChE from electric eel (Electrophorus electricus, EeAChE) and BuChE from equine serum (EqBuChE). The results of the assays are presented in Table 1. Tacrine, donepezil as well as compounds I and II were included as references.
Table 1.
Inhibitory potency of the synthesized compounds against EeAChE, EqBuChE and against Aβ1–42 aggregation.
In the series A, moderate EeAChE inhibitors with IC50 values ranging from 0.276 µM to 22.185 µM were identified. When assessing the impact of the amine moiety on EeAChE inhibitory potency, we found that the replacement of diethylamine (compound I) by pyrrolidine (compounds 1–4) or tetrahydroisoquinoline (compounds 11–13) increased the potency on EeAChE. Only in the case of morpholine, we observed a significant decrease in potency (compounds 5–8). The most potent was compound 3 (EeAChE IC50 = 0.276 µM) with the pyrrolidine moiety. Regarding the length of the linker, the most potent were the compounds with six to eight carbon atom linkers. The potency decreased with shortening and further elongation of the tether. Compounds 14 and 15 with the longest linkers (10 and 12 carbon atoms) were not active. Modifications of the heteroaromatic fragment also led to reduced potencies of the tested compounds. These compounds (20–23, 30–35) were less potent in comparison with parent compound I and inhibited the enzyme in high micromolar range.
On the basis of the Ellman’s assay for series B, we found that this series inhibited EeAChE in the low micromolar to nanomolar range. Compounds with a five carbon atom linker: 39 (2-fluoro derivative) and 42 (3-chloro derivative) were the most potent EeAChE inhibitors with IC50 values of 150 and 70 nM, respectively. Comparing these compounds with their unsubstituted analogue (compound II, EeAChE IC50 = 36 nM), it was established that neither the introduction of a fluorine atom nor the introduction of a chlorine atom led to significant benefits in the terms of inhibitory potency. Compounds 39 and 42 were also the most potent and most selective EeAChE inhibitors presented in this paper.
EqBuChE inhibitory studies showed that the half of the tested compounds were weak EqBuChE inhibitors with IC50 values ranging from 0.618 to 37.129 µM and the other half were selective EeAChE inhibitors. The most potent were compounds with seven and eight carbon linkers while shortening or elongation of the linker resulted in the decrease of potency similar to series A. Compound 13, bearing phthalimide and tetrahydroisoquinoline moieties, was the most potent EqBuChE inhibitor (IC50 = 0.618 µM) and a moderate EeAChE inhibitor (IC50 = 0.760 µM) from this series.
2.3.2. Kinetic Studies of AChE Inhibition
For kinetic studies, we have chosen compounds 3 and 4 with the pyrrolidine moiety and 11 with the tetrahydroisoquinoline moiety, as the most potent AChE inhibitors from series A. Compound 42 was chosen as the most potent AChE inhibitor from series B. Initial velocity dependence on different substrate concentration in the absence and presence of the tested compounds at six different concentrations was established using Ellman’s method. Analysis of Lineweaver–Burk double reciprocal plots showed that compounds 3, 4 and 11 display mixed type of enzyme inhibition (partial competitive and pure non-competitive) as demonstrated by increased slopes (decreased Vmax) and decreased intercepts (lower Km) at increasing concentration of the inhibitor (Figure 2a–c). For the compound 42, we observed increased slopes and preserved intercepts at increasing concentrations of the inhibitor, which characterize a linear non-competitive type of inhibition (Figure 2d). Both types of inhibition were further confirmed by Cornish–Bowden plots (S/V vs. [I]) (A. in Supplementary Materials) [43].
Figure 2.
Lineweaver–Burk plots illustrating mixed type of EeAChE inhibition by compounds 3 (a); 4 (b); 11 (c) and non-competitive type of EeAChE inhibition by compound 42 (d). ATC = acetylthiocholine; V = initial velocity rate.
2.3.3. Aβ1–42 Aggregation Inhibitory Potency
Mechanisms of Aβ aggregation remain unclear. Besides the self-induced assembly of Aβ, several other factors affect its aggregation, including metal ions [44], AChE [45], and oxidative stress [46]. Therefore, we evaluated our compounds using the most versatile and commonly used Aβ1–42 aggregation Thioflavin T assay [47]. Seven structurally diverse compounds were selected (one from each subseries) to test their ability to inhibit self-induced Aβ1–42 aggregation. The results of this assay showed that these derivatives are rather weak inhibitors of Aβ aggregation at 10 µM. Only compound 13 was found to be a moderate inhibitor with the 35.80% ± 5.39% inhibition of Aβ1–42 aggregation. Even though it displayed higher potency than donepezil in this assay, compound 13 was a less potent cholinesterase inhibitor than the reference drug, so the multitarget profile of this compound still needs to be optimized.
2.4. Molecular Modelling Studies
The structure of Torpedo californica AChE (TcAChE) and the previously described fragment-based approach were used in molecular modelling studies [48]. Our biological assay was performed on Electrophorus electricus AChE. However, for docking TcAChE of resolution 2.5 Å, obtained from Protein Data Bank (PDB code: 1EVE), was utilized. It contained donepezil molecule—reference ligand which was structurally similar to our compounds. Sequence alignment of TcAChE and EeAChE revealed a very high degree of identity (above 60%). Further analysis showed that there was only one residue difference in the active site. The Phe330 residue in Torpedo californica was replaced by Tyr in Electric eel enzyme [49]. This justified application of TcAChE for the docking studies.
Designed compounds were docked into the active site of AChE to find possible interactions with the enzyme. The binding potency of novel inhibitors was assessed by the ChemScore function and the poses were inspected visually.
The first subgroup of inhibitors (compounds 1–4) were simple analogues of parent compound I and interacted with AChE in a similar way [37]. The binding mode for the most active inhibitor 3 from this subgroup is presented in Figure 3. The protonated amine group formed cation-π interactions with aromatic amino acids in the anionic subsite (Phe330 and Trp84) and a hydrogen bond network with the hydroxyl group of Tyr121 via a water molecule. The pyrrolidine, a cyclic analogue of diethylamine, provided stronger hydrophobic interactions with Trp84 and, therefore, derivatives 1–4 were stronger inhibitors of AChE in comparison with compound I. The phthalimide moiety of these inhibitors was engaged in interactions with aromatic amino acids in the PAS: π–π stacking with Trp279 and CH–π interactions with Tyr70. Moreover, both carbonyl groups formed hydrogen bonds: one with Tyr121 and the other with a water molecule. The optimal linker length was equal to 7–8 methylene groups. Such tether enabled the terminal fragments to interact with Trp84 and Trp279 in an optimal way. The aliphatic linker also formed hydrophobic interactions with aromatic residues (Phe290, Phe331 and Tyr334) half-way down the active site gorge.
Figure 3.
The binding mode of compound 3 (pink) within the active site of AChE.
The second subset (compounds 5–8) had an enlarged heterocyclic ring—morpholine. Morpholine could provide an extra hydrogen bond between the oxygen atom and the hydroxyl group of Ser200 from the catalytic triad of AChE. However, it required a shift of heterocyclic ring towards the serine in comparison with pyrrolidine. This change led to reduced cation–π interactions, especially with Phe330 resulting in lower potency.
In the case of the third subgroup (derivatives 9–15), tetrahydroisoquinoline was introduced instead of diethylamine. The most potent inhibitor 11 with tetrahydroisoquinoline ring docked into acetylcholinesterase is shown in Figure 4. This modification was beneficial because the combination of an aromatic ring and aliphatic amine gave π–π stacking with Trp84 as well as cation–π interaction with Phe330. The optimal linker was found to be a six-carbon atom aliphatic chain.
Figure 4.
The binding mode of compound 11 (green) within the active site of AChE.
Further structural modifications of parent inhibitor I gave the next two subsets: the fourth (compounds 20–23) and the fifth (derivatives 30–35). In both cases, the phthalimide was replaced with heteroaromatic moiety: tetrahydroisoquinoline and indole, respectively. Tetrahydroisoquinoline provided π–π stacking as well as cation–π interaction with Trp279, and indole stronger π–π stacking. However, the lack of hydrogen bonds which were previously formed with two carbonyl groups of phthalimide reduced the potency.
The last two subgroups were based on compound II [40]. The binding mode of the most potent inhibitor 42 is presented in Figure 5. The sixth subset [39,40,41] contained a fluorine atom while the seventh one [42,43,44] had a chlorine atom on the benzylamine fragment. Introduction of the fluorine atom at ortho position might provide a hydrogen bond with Ser200 while a chlorine atom at meta position a halogen bond with the carboxyl group of Glu199 or backbone of Gly441 upon small shift and/or rotation of benzyl substituent. However, the halogen substituted derivatives revealed the same binding mode as parent inhibitor II. The benzyl moiety was π–π stacked with Trp84 in the CAS. Orientation of this fragment remained the same as for parent compound II, and no beneficial interactions were observed with halogen atoms. The saccharin fragment was engaged in π–π stacking with Trp279 and CH–π interactions with Tyr70 in the PAS. The carbonyl group formed an H-bond with a water molecule while the oxygen atoms of sulfone formed H-bonds with Tyr121 and two other water molecules. The protonated amino group formed cation–π interactions with Phe330 and a hydrogen bond network with Tyr121 via a water molecule. The alkyl linker formed hydrophobic interactions with aromatic residues such as Phe290, Phe331, and Tyr334 located halfway down the active gorge.
Figure 5.
The binding mode of compound 42 (dark salmon) within the active site of AChE.
Summing up, all subseries were able to interact simultaneously with both the catalytic and peripheral active sites of acetylcholinesterase. However, the quality of the predicted interactions varies substantially and may thus lead to the diverse range of activity. The dual binding mode is characteristic for donepezil as well as for previously described isoindoline-1,3-dione and benzo[d]isothiazol-3(2H)-one 1,1-dioxide derivatives.
2.5. Blood–Brain Barrier Permeability Assay
For anti-Alzheimer drug candidates, the ability to cross the blood–brain barrier and to enter the central nervous system (CNS) is crucial to achieve their pharmacological target and activity. Therefore, the blood–brain barrier permeability of the selected compounds 4, 7, 13, 39 and 42 was assessed using the parallel artificial membrane permeability assay (PAMPA-BBB) [50]. We used seven commercial drugs as references that allowed us to establish the following ranges of permeability: log Pe > −4.5 for compounds with high permeability, log Pe ≤ −6.3 for compounds with low permeability and −6.3 < log Pe ≤ −4.5 for compounds with uncertain permeability (Table 2). According to the results summarized in Table 2, all off the tested compounds should be able to cross BBB and reach CNS.
Table 2.
Permeability (log Pe) in the PAMPA-BBB assay for commercial drugs and the selected compounds with prediction of their BBB penetration.
3. Materials and Methods
3.1. Chemistry
3.1.1. General Methods
1H-NMR spectra were recorded on Varian Mercury 300 (Varian, San Diego, CA, USA) at 300 MHz. The chemical shifts for 1H-NMR are referenced to residual solvent signals (1H, CDCl3 at 7.26 ppm, DMSO-d6 at 2.50 ppm). Mass spectra (MS) were obtained on an UPLC-MS/MS system consisting of a Waters ACQUITY® UPLC® (Waters Corporation, Milford, MA, USA) coupled to a Waters TQD mass spectrometer (electrospray ionization mode ESI-tandem quadrupole). Analytical thin layer chromatography (TLC) was done using aluminum sheets precoated with silica gel 60 F254 (Merck, Darmstadt, Germany). Column chromatography was performed on Merck silica gel 60 (63–200 μm) (Merck). For the TLC and column chromatography following solvent systems were used: S1 (n-hexane, ethyl acetate, trimethylamine (TEA); 5:5:1, v/v), S2 (petroleum ether, DCM; 8:2, v/v), S3 (DCM, MeOH; 9.5:0.5, v/v/v), S4 DCM, MeOH; 9:1, v/v), S5 (DCM, MeOH; 10:1, v/v), S6 (DCM, petroleum ether, MeOH, TEA; 5:3.5:1.5:3 drops, v/v/v/v). The purity of the final compounds was determined using an analytical RPLC-MS on Waters Acquity TQD using an Aquity UPLC BEH C18 column (1.7 μm, 2.1 × 100 mm) at 214 nm and 254 nm. CH3CN/H2O gradient with 0.1% HCOOH was used as the mobile phase at a flow rate of 0.3 mL/min. All the compounds showed purity above 95%, as determined by RPLC. Melting points were determined in open capillaries on an Electrothermal 9300 apparatus (Electrothermal, Staffordshire, UK) and are uncorrected. Elemental analyses were performed on Vario EL III Elemental analyser (Elementar Analysensysteme GmbH, Hanau, Germany). All the reagents were purchased from commercial suppliers and were used without further purification. Tetrahydrofuran (THF) and dichloromethane (DCM) were distilled under nitrogen immediately before use. The drying agent used for THF was sodium benzophenone ketyl, and for DCM, calcium hydride.
The following compounds: 2-(5-bromopentyl)isoindoline-1,3-dione [37], 2-(6-bromohexyl)isoindoline-1,3-dione [37], 2-(7-bromoheptyl)isoindoline-1,3-dione [37], 2-(8-bromooctyl)isoindoline-1,3-dione [37], 2-(10-bromodecyl)isoindoline-1,3-dione [51], 2-(12-bromododecyl)isoindoline-1,3-dione [51], 2-(4-(bromomethyl)benzyl)isoindoline-1,3-dione [52], 1-(3-bromopropyl)-1H-indole [53], 1-(4-bromobutyl)-1H-indole [53], 1-(5-bromopentyl)-1H-indole [53], 1-(6-bromohexyl)-1H-indole [54], 1-(7-bromoheptyl)-1H-indole [54], 1-(8-bromooctyl)-1H-indole [54], 2-(5-(pyrrolidin-1-yl)pentyl)isoindoline-1,3-dione (1) [55], 2-(5-morpholinopentyl)isoindoline-1,3-dione (5) [56], 2-(8-morpholinooctyl)isoindoline-1,3-dione (8) [57], 2-(4-(3,4-dihydroisoquinolin-2(1H)-yl)butyl)isoindoline-1,3-dione (9) [58], 2-(5-(3,4-dihydroisoquinolin-2(1H)-yl)pentyl)isoindoline-1,3-dione (10) [59], 2-(6-(3,4-dihydroisoquinolin-2(1H)-yl)hexyl)isoindoline-1,3-dione (11) [59], 2-(12-(3,4-Dihydroisoquinolin-2(1H)-yl)dodecyl)isoindoline-1,3-dione (15) [60], 5-(3,4-dihydroisoquinolin-2(1H)-yl)pentan-1-amine (16) [61], 6-(3,4-dihydroisoquinolin-2(1H)-yl)hexan-1-amine (17) [53], 7-(3,4-dihydroisoquinolin-2(1H)-yl)heptan-1-amine (18) [54], 8-(3,4-dihydroisoquinolin-2(1H)-yl)octan-1-amine (19) [54], 2-(5-bromopentyl)benzo[d]isothiazol-3(2H)-one 1,1-dioxide (36) [62], 2-(6-bromohexyl)benzo[d]isothiazol-3(2H)-one 1,1-dioxide (37) [62], 2-(7-bromoheptyl)benzo[d]isothiazol-3(2H)-one 1,1-dioxide (38) [59] have been reported previously.
3.1.2. General Procedure for the Preparation of Hydrochloride Salts
The hydrochloride salts were prepared by dissolving the compounds in a minimum quantity of dichloromethane. The solution was then treated with 5 M solution of HCl in 2-propanol, evaporated under reduced pressure, washed with diethyl ether and dried.
3.1.3. General Procedure for the Synthesis of Compounds (1–8)
Procedure M1. A mixture of the appropriate 2-(bromoalkyl)isoindoline-1,3-dione (1 equiv) with amine (pyrrolidine or morpholine) (1.1 equiv) in the presence of K2CO3 (3 equiv) was stirred in acetonitrile under reflux for 20 h. Subsequently, the solvent was evaporated under reduced pressure, producing a residue which was further dissolved in 20 mL of water and extracted with DCM (3 × 30 mL). The organic layer was dried with anhydrous Na2SO4. The solvent was then evaporated and the residue was purified by silica gel column chromatography (S3) yielding a yellow oil. The final product was transformed into hydrochloride salt. The following compounds were obtained.
2-(5-(Pyrrolidin-1-yl)pentyl)isoindoline-1,3-dione (1) [55]. Procedure M1. Reaction of 2-(5-bromopentyl)isoindoline-1,3-dione [37] (0.5 g, 1.69 mmol) with pyrrolidine (0.13 g, 1.86 mmol) and K2CO3 (0.7 g, 5.1 mmol) in acetonitrile (25 mL), after 20 h, column chromatography gave oil product. Yield 0.35 g (73%). TLC (S3) Rf = 0.13. MW 286.17. Formula: C17H22N2O2. MS: m/z 287.28 [M + H]+. 1H-NMR (300 MHz, CDCl3) δ ppm: 7.89–7.77 (m, 2H), 7.78–7.65 (m, 2H), 3.69 (t, J = 6.9 Hz, 2H), 3.00 (m, 4H), 2.06–1.88 (m, 4H), 1.81–1.65 (m, 4H), 1.48–1.21 (m, 4H). Hydrochloride salt: M.p. 190 °C. Elemental analyses (%) for C17H22N2O2·HCl Calc. C 63.25; N 8.63; H 7.18, found: C 62.73; N 8.54; H 7.27.
2-(6-(Pyrrolidin-1-yl)hexyl)isoindoline-1,3-dione (2). Procedure M1. Reaction of 2-(6-bromohexyl)isoindoline-1,3-dione [37] (0.65 g, 2.1 mmol) with pyrrolidine (0.16 g, 2.3 mmol) and K2CO3 (0.87 g, 6.28 mmol) in acetonitrile (25 mL), after 20 h, column chromatography gave oil product. Yield 0.44 g (70%). TLC (S3) Rf = 0.15. MW 300.18. Formula: C18H24N2O2. MS: m/z 301.31 [M + H]+. 1H-NMR (300 MHz, CDCl3) δ ppm: 7.87–7.77 (m, 2H), 7.74–7.65 (m, 2H), 3.66 (t, J = 7.1 Hz, 2H), 2.59 (t, J = 6.7 Hz, 4H), 2.49 (t, J = 7.2 Hz, 2H), 1.87–1.76 (m, 4H), 1.73–1.50 (m, 4H), 1.41–1.31 (m, 4H). Hydrochloride salt: M.p. 151 °C. Elemental analyses (%) for C18H24N2O2·HCl Calc. C 64.18; N 8.32; H 7.48, found: C 64.07; N 8.13; H 7.73.
2-(7-(Pyrrolidin-1-yl)heptyl)isoindoline-1,3-dione (3). Procedure M1. Reaction of 2-(7-bromoheptyl)isoindoline-1,3-dione [37] (0.648 g, 2 mmol) with pyrrolidine (0.156 g, 2.2 mmol) and K2CO3 (0.83 g, 6 mmol) in acetonitrile (25 mL), after 20 h, column chromatography gave oil product. Yield 0.49 g (78%). TLC (S3) Rf = 0.24. MW 314.20. Formula: C19H26N2O2. MS: m/z 315.40 [M + H]+. 1H-NMR (300 MHz, CDCl3) δ ppm: 7.88–7.75 (m, 2H), 7.75–7.62 (m, 2H), 3.65 (t, J = 7.2 Hz, 2H), 2.57 (t, J = 7.6 Hz, 4H), 2.46 (t, J = 6.7 Hz, 2H), 1.86–1.73 (m, 4H), 1.71–1.47 (m, 4H), 1.39–1.23 (m, 6H). Hydrochloride salt: M.p. 115 °C. Elemental analyses (%) for C19H26N2O2·HCl Calc. C 65.04; N 7.98; H 7.76, found: C 65.24; N 7.76; H 7.88.
2-(8-(Pyrrolidin-1-yl)octyl)isoindoline-1,3-dione (4). Procedure M1. Reaction of 2-(8-bromooctyl)isoindoline-1,3-dione [37] (0.678 g, 2 mmol) with pyrrolidine (0.156 g, 2.2 mmol) and K2CO3 (0.83 g, 6 mmol) in acetonitrile (25 mL), after 20 h, column chromatography gave oil product. Yield 0.53 g (80%). TLC (S3) Rf = 0.23. MW 328.22. Formula: C20H28N2O2. MS: m/z 329.43 [M + H]+. 1H-NMR (300 MHz, CDCl3) δ ppm: δ 7.88–7.75 (m, 2H), 7.75–7.62 (m, 2H), 3.65 (t, J = 7.2 Hz, 2H), 2.54 (t, J = 6.9 Hz, 4H), 2.44 (t, J = 7.8 Hz, 2H), 1.85–1.72 (m, 4H), 1.70 – 1.43 (m, 4H), 1.36 – 1.21 (m, 8H). Hydrochloride salt: M.p. 110 °C. Elemental analyses (%) for C20H28N2O2·HCl Calc. C 65.83; N 7.68; H 8.01, found: C 65.88; N 7.73; H 8.17.
2-(5-Morpholinopentyl)isoindoline-1,3-dione (5) [56]. Procedure M1. Reaction of 2-(5-bromopentyl)isoindoline-1,3-dione [37] (0.51 g, 1.72 mmol) with morpholine (0.17 g, 1.89 mmol) and K2CO3 (0.75 g, 5.15 mmol) in acetonitrile (25 mL), after 20 h, column chromatography gave oil product. Yield 0.51 g (89%). TLC (S3) Rf = 0.41. MW 302.16 Formula: C17H22N2O3. MS: m/z 303.24 [M + H]+. 1H-NMR (300 MHz, CDCl3) δ ppm: 7.89–7.76 (m, 2H), 7.76–7.63 (m, 2H), 3.73–3.61 (m, 6H), 2.40 (t, J = 4.4 Hz, 4H), 2.30 (t, J = 7.5 Hz, 2H), 1.77–1.60 (m, 2H), 1.60–1.44 (m, 2H), 1.44–1.26 (m, 2H). Hydrochloride salt: M.p. 210 °C. Elemental analyses (%) for C17H22N2O3·HCl Calc. C 60.26; N 8.27; H 6.84 found: C 60.37; N 8.11; H 6.97.
2-(6-Morpholinohexyl)isoindoline-1,3-dione (6). Procedure M1. Reaction of 2-(6-bromohexyl)isoindoline-1,3-dione [37] (0.65 g, 2.1 mmol) with morpholine (0.2 g, 2.3 mmol) and K2CO3 (0.87 g, 6.28 mmol) in acetonitrile (25 mL), after 20 h, column chromatography gave oil product. Yield 0.58 g (88%). TLC (S3) Rf = 0.34. MW 316.18. Formula: C18H24N2O3. MS: m/z 317.26 [M + H]+. 1H-NMR (300 MHz, CDCl3) δ ppm: 7.86–7.80 (m, 2H), 7.73–7.66 (m, 2H), 3.72 (t, J = 4.5 Hz, 4H), 3.67 (t, J = 7.3 Hz, 2H), 2.45 (t, J = 4.7 Hz, 4H), 2.34 (t, J = 7.1 Hz, 2H), 1.75–1.59 (m, 2H), 1.58–1.46 (m, 2H), 1.44–1.19 (m, 4H). Hydrochloride salt: M.p. 195 °C. Elemental analyses (%) for C18H24N2O3·HCl Calc. C 61.27; N 7.94; H 7.14 found: C 60.93; N 7.87; H 7.23.
2-(7-Morpholinoheptyl)isoindoline-1,3-dione (7). Procedure M1. Reaction of 2-(7-bromoheptyl)isoindoline-1,3-dione [37] (0.648 g, 2 mmol) with morpholine (0.19 g, 2.2 mmol) and K2CO3 (0.83 g, 6 mmol) in acetonitrile (25 mL), after 20 h, column chromatography gave oil product. Yield 0.58 g (88%). TLC (S3) Rf = 0.58. MW 330.19. Formula: C19H26N2O3. MS: m/z 331.42 [M + H]+. 1H-NMR (300 MHz, CDCl3) δ ppm: 7.88–7.75 (m, 2H), 7.76–7.62 (m, 2H), 3.70 (t, J = 4.7 Hz, 4H), 3.65 (t, J = 7.1 Hz, 2H), 2.41 (t, J = 4.6 Hz, 4H), 2.30 (t, J = 7.4 Hz, 2H), 1.77–1.56 (m, 2H), 1.53–1.20 (m, 8H). Hydrochloride salt: M.p. 142.5 °C. Elemental analyses (%) for C19H26N2O3·HCl Calc. C 62.20; N 7.64; H 7.42, found: C 62.11; N 8.06; H 7.48.
2-(8-Morpholinooctyl)isoindoline-1,3-dione (8) [57]. Procedure M1. Reaction of 2-(8-bromooctyl)isoindoline-1,3-dione [37] (0.676 g, 2 mmol) with morpholine (0.19 g, 2.2 mmol) and K2CO3 (0.83 g, 6 mmol) in acetonitrile (25 mL), after 20 h, column chromatography gave oil product. Yield 0.59 g (85%). TLC (S3) Rf = 0.46. MW 344.21. Formula: C20H28N2O3. MS: m/z 345.38 [M + H]+. 1H-NMR (300 MHz, CDCl3) δ ppm: 7.86–7.78 (m, 2H), 7.74–7.63 (m, 2H), 3.75–3.68 (m, 4H), 3.65 (t, J = 7.2 Hz, 2H), 2.48–2.39 (m, 4H), 2.30 (t, J = 7.3 Hz, 2H), 1.71–1.59 (m, 2H), 1.51–1.42 (m, 2H), 1.35–1.24 (m, 8H). Hydrochloride salt: M.p. 133 °C. Elemental analyses (%) for C20H28N2O3·HCl Calc. C 63.06; N 7.35; H 7.67, found: C 63.21; N 7.38; H 7.75.
3.1.4. General Procedure for the Synthesis of Compounds (9–15)
Procedure M2. A mixture of the appropriate 2-(bromoalkyl)-isoindoline-1,3-dione (1 equiv) with 1,2,3,4-tetrahydoisoquinoline (1 equiv) in the presence of K2CO3 (2.5-3 equiv) was stirred in acetonitrile under reflux for 20 h. Subsequently, the solvent was evaporated under vacuum, producing a residue which was further dissolved in 40 mL of sodium bicarbonate and extracted with ethyl acetate (3 × 30 mL). The organic layer was acidified 2 M·HCl and extracted with distilled water (3 × 30 mL). Then, the combined aqueous extracts were alkalized using 4M·NaOH, extracted with DCM and dried with anhydrous Na2SO4. The solvent was then evaporated and the residue was purified by silica gel column chromatography (S4) yielding a yellow oil. The final product was obtained in the form of hydrochloride salt. The following compounds were obtained.
2-(7-(3,4-Dihydroisoquinolin-2(1H)-yl)heptyl)isoindoline-1,3-dione (12). Procedure M2. Reaction of 2-(7-bromoheptyl)isoindoline-1,3-dione [37] (2 g, 6.2 mmol) with 1,2,3,4-tetrahydroisoquinoline (0.83 g, 6.2 mmol) and K2CO3 (2.57 g, 18.6 mmol) in acetonitrile (100 mL), after 20 h, column chromatography gave oil product. Yield 2.15 g (93%). TLC (S4) Rf = 0.62. MW 376.22. Formula: C24H28N2O2. MS: m/z 377.29 [M + H]+. 1H-NMR (300 MHz, CDCl3) δ ppm: 7.89–7.77 (m, 2H), 7.76–7.63 (m, 2H), 7.15–6.94 (m, 4H), 3.72–3.56 (m, 4H), 2.89 (t, J = 5.9 Hz, 2H), 2.72 (t, J = 5.9 Hz, 2H), 2.53–2.41 (m, 2H), 1.76–1.50 (m, 4H), 1.43–1.28 (m, 6H). Hydrochloride salt: M.p. 167 °C. Elemental analyses (%) for C24H28N2O2·HCl Calc. C 69.8; N 6.78; H 7.08, found: C 70.10; N 6.83; H 7.47.
2-(8-(3,4-Dihydroisoquinolin-2(1H)-yl)octyl)isoindoline-1,3-dione (13). Procedure M2. Reaction of 2-(8-bromooctyl)isoindoline-1,3-dione [37] (2.1 g, 6.2 mmol) with 1,2,3,4-tetrahydroisoquinoline (0.83 g, 6.2 mmol) and K2CO3 (2.57 g, 18.6 mmol) in acetonitrile (100 mL), after 20 h, column chromatography gave oil product. Yield 2.33 g (96%). TLC (S4) Rf = 0.64. MW 390.23. Formula: C25H30N2O2. MS: m/z 391.26 [M + H]+. 1H-NMR (300 MHz, CDCl3) δ ppm: 7.89–7.77 (m, 2H), 7.77–7.66 (m, 2H), 7.16–7.08 (m, 3H), 7.01–6.96 (m, 1H), 3.67 (t, J = 7.4 Hz, 2H), 3.61 (s, 2H), 2.90 (t, J = 5.9 Hz, 2H), 2.71 (t, J = 5.9 Hz, 2H), 2.48 (t, J = 7.5 Hz, 2H), 1.73–1.52 (m, 4H), 1.38–1.30 (m, 8H). Hydrochloride salt: M.p. 200 °C. Elemental analyses (%) for C25H30N2O2·HCl Calc. C 70.32; N 6.56; H 7.32, found: C 70.12; N 6.48; H 7.41.
2-(10-(3,4-Dihydroisoquinolin-2(1H)-yl)decyl)isoindoline-1,3-dione (14). Procedure M2. Reaction of 2-(10-bromodecyl)isoindoline-1,3-dione [51] (0.324 g, 1 mmol) with 1,2,3,4-tetrahydroisoquinoline (0.13 g, 1 mmol) and K2CO3 (0.41 g, 3 mmol) in acetonitrile (15 mL), after 20 h, column chromatography gave oil product. Yield 0.26 g (62%). TLC (S4) Rf = 0.71. MW 418.26. Formula: C27H34N2O2. MS: m/z 419.43 [M + H]+. 1H-NMR (300 MHz, CDCl3) δ ppm: 7.90–7.77 (m, 2H), 7.76–7.63 (m, 2H), 7.16–6.96 (m, 4H), 3.67 (t, J = 7.2 Hz, 2H), 3.61 (s, 2H), 2.90 (t, J = 5.9 Hz, 2H), 2.72 (t, J = 5.9 Hz, 2H), 2.48 (t, J = 7.1 Hz, 2H), 1.73–1.50 (m, 4H), 1.38–1.24 (m, 12H). Hydrochloride salt: M.p. 140 °C. Elemental analyses (%) for C27H34N2O2·HCl Calc. C 71.27; N 6.16; H 7.75, found: C 7.35; N 6.18; H 7.83.
2-(12-(3,4-Dihydroisoquinolin-2(1H)-yl)dodecyl)isoindoline-1,3-dione (15) [60]. Procedure M2. Reaction of 2-(12-bromododecyl)isoindoline-1,3-dione [51] (0.31 g, 1 mmol) with 1,2,3,4-tetrahydroisoquinoline (0.13 g, 1 mmol) and K2CO3 (0.41 g, 3 mmol) in acetonitrile (15 mL), after 20 h, column chromatography gave oil product. Yield 0.25 g (57%). TLC (S4) Rf = 0.73. MW 446.29. Formula: C29H38N2O2. MS: m/z 447.35 [M + H]+. 1H-NMR (300 MHz, CDCl3) δ ppm: 7.90–7.77 (m, 2H), 7.76–7.64 (m, 2H), 7.16–7.06 (m, 3H), 7.01–6.96 (m, 1H), 3.67 (t, J = 7.2 Hz, 2H), 3.62 (s, 2H), 2.90 (t, J = 5.9 Hz, 2H), 2.72 (t, J = 5.9 Hz, 2H), 2.49 (t, J = 7.5 Hz, 2H), 1.73–1.53 (m, 4H), 1.36–1.23 (m, 16H). Hydrochloride salt: M.p. 128 °C. Elemental analyses (%) for C29H38N2O2·HCl Calc. C 72.1; N 5.8; H 8.14, found: C 71.87; N 5.91; H 8.29.
3.1.5. General Procedure for the Synthesis of Compounds (20–23)
Procedure M3. A mixture of an appropriate aminoalkyl-1,2,3,4-tetrahydroisoquinoline derivative (1 equiv) with dibromoethane (2 equiv) in the presence of K2CO3 (2 equiv) was stirred in acetonitrile at room temperature for 48 h. Subsequently, the solvent was evaporated under vacuum, producing a residue which was further dissolved in 20 mL of water and extracted with DCM (3 × 30 mL). The organic layer was dried with anhydrous Na2SO4. The solvent was then evaporated and the residue was purified by silica gel column chromatography (DCM, petroleum ether, MeOH, TEA; 5:3.5:1:3 drops). The final product was obtained in the form of hydrochloride salt. The following compounds were obtained.
5-(3,4-dihydroisoquinolin-2(1H)-yl)-N,N-diethylpentan-1-amine (20). Procedure M3. Reaction of 5-(3,4-dihydroisoquinolin-2(1H)-yl)pentan-1-amine [61] (16) (0.15 g, 0.69 mmol), bromoethane (0.15 g, 1.38 mmol) and K2CO3 (0.29 g, 2.07 mmol) in acetonitrile (30 mL), after 48 h, column chromatography gave oil product. Yield 0.16 g (84%). TLC (S11) Rf = 0.54. MW 274.24. Formula: C18H30N2. MS: m/z 275.39 [M + H]+ 276.24. 1H-NMR (300 MHz, CDCl3) δ ppm: 7.16–7.04 (m, 3H), 7.01–6.96 (m, 1H), 3.61 (s, 2H), 2.90 (t, J = 6.1 Hz, 2H), 2.80–2.66 (m, 6H), 2.61 (t, J = 8.2 Hz, 2H), 2.50 (t, J = 7.5 Hz, 2H), 1.71–1.54 (m, 4H), 1.45–1.29 (m, 2H), 1.14 (t, J = 7.2 Hz, 6H). Hydrochloride salt: M.p. 245 °C. Elemental analyses (%) for C18H30N2·2HCl Calc. C 62.24; N 8.06; H 9.29, found: C 62.19; N 8.01; H 8.98.
6-(3,4-Dihydroisoquinolin-2(1H)-yl)-N,N-diethylhexan-1-amine (21). Procedure M3. Reaction of 6-(3,4-dihydroisoquinolin-2(1H)-yl)hexan-1-amine (17) [53] (0.6 g, 2.58 mmol), bromoethane (0.57 g, 5.16 mmol) and K2CO3 (1.07 g, 7.74 mmol) in acetonitrile (30 mL), after 48 h, column chromatography gave oil product. Yield 0.55 g (74%). TLC (S11) Rf = 0.38. MW 288.26. Formula: C19H32N2. MS [M + H]+ 289.39. 1H-NMR (300 MHz, CDCl3) δ ppm: 7.14–7.03 (m, 3H), 6.98–6.94 (m, 1H), 3.60 (s, 2H), 2.89 (t, J = 5.9 Hz, 2H), 2.71 (t, J = 6.0 Hz, 2H), 2.61–2.35 (m, 6H), 1.65–1.39 (m, 4H), 1.37–1.26 (m, 6H), 1.02 (m, 6H). Hydrochloride salt: M.p. 215 °C. Elemental analyses (%) for C19H32N2·2HCl Calc. C 63.15; N 7.75; H 9.48, found: C 63.12; N 7.68; H 9.28.
7-(3,4-Dihydroisoquinolin-2(1H)-yl)-N,N-diethylheptan-1-amine (22). Procedure M3. Reaction of 7-(3,4-dihydroisoquinolin-2(1H)-yl)heptan-1-amine (18) [54] (0.16 g, 0.65 mmol), bromoethane (0.14 g, 1.3 mmol) and K2CO3 (0.27 g, 1.95 mmol) in acetonitrile (25 mL), after 48 h, column chromatography gave oil product. Yield 0.06 g (31%). TLC (S6) Rf = 0.40. MW 302.27. Formula: C20H34N2. MS [M + H]+ 303.41. 1H-NMR (300 MHz, CDCl3) δ ppm: 7.12–7.07 (m, 3H), 7.04–6.98 (m, 1H), 3.61 (s, 2H), 2.89 (t, J = 5.9 Hz, 2H), 2.78–2.67 (m, 4H), 2.60 (t, J = 7.3 Hz, 2H), 2.48 (t, J = 7.3 Hz, 2H), 1.65–1.50 (m, 4H), 1.41–1.23 (m, 8H), 1.14 (t, J = 7.1 Hz, 6H). Hydrochloride salt: M.p. 197 °C. Elemental analyses (%) for C20H34N2·2HCl Calc. C 63.99; N 7.46; H 9.67, found: C 63.97; N 7.44; H 9.37.
8-(3,4-Dihydroisoquinolin-2(1H)-yl)-N,N-diethyloctan-1-amine (23). Procedure M3. Reaction of 8-(3,4-dihydroisoquinolin-2(1H)-yl)octan-1-amine (19) [54] (0.6 g, 2.31 mmol), bromoethane (0.503 g, 4.62 mmol) and K2CO3 (0.96 g, 6.93 mmol) in acetonitrile (30 mL), after 48 h, column chromatography gave oil product. Yield 0.45 g (62%). TLC (S6) Rf = 0.44. MW 316.29. Formula: C21H36N2. MS [M + H]+ 317.39. 1H-NMR (300 MHz, CDCl3) δ ppm: 7.14–7.09 (m, 3H), 7.03–6.97 (m, 1H), 3.61 (s, 2H), 2.89 (t, J = 5.9 Hz, 2H), 2.71 (t, J = 5.7 Hz, 2H), 2.60–2.35 (m, 6H), 1.67–1.52 (m, 2H), 1.50–1.39 (m, 2H), 1.39–1.23 (m, 10H), 1.02 (t, J = 7.2 Hz, 6H). Hydrochloride salt: M.p. 183 °C. Elemental analyses (%) for C21H36N2·2HCl Calc. C 64.77; N 7.19; H 9.83, found: C 64.66; N 7.09; H 9.56.
3.1.6. General Procedure for the Synthesis of Diethylamine Derivatives of N-alkyl-1H-indole (30–35)
Procedure M4. A mixture of the appropriate 1-(bromoalkyl)-1H-indole (1 equiv) with diethyl amine (4 equiv) in the presence of K2CO3 (1 equiv) was stirred in acetonitrile under reflux for 24 h. Subsequently, the solvent was evaporated under vacuum, producing a residue which was further dissolved in 40 mL of sodium bicarbonate and extracted with ethyl acetate (3 × 30 mL). The organic layer was dried with anhydrous Na2SO4. The solvent was then evaporated and the residue was purified by silica gel column chromatography (S3) yielding a yellow oil. The final product was obtained in the form of oxalic salt. The following compounds were obtained.
N,N-diethyl-3-(1H-indol-1-yl)propan-1-amine (30). Procedure M4. Reaction of 1-(3-bromopropyl)-1H-indole [60] (0.35 g, 1.47 mmol) with diethylamine (0.43 g, 5.8 mmol) and K2CO3 (0.2 g, 1.47 mmol) in acetonitrile (25 mL), after 24 h, column chromatography gave oil product. Yield 0.21 g (62%). TLC (S1) Rf = 0.60. MW 230.18. Formula: C15H22N2. MS: m/z 231.31 [M + H]+. 1H-NMR (300 MHz, CDCl3) δ ppm: 7.63 (dd, J = 7.8, 0.8 Hz, 1H), 7.37 (dd, J = 8.2, 0.9 Hz, 1H), 7.24–7.16 (m, 1H), 7.15–7.01 (m, 2H), 6.49 (dd, J = 3.2, 0.9 Hz, 1H), 4.18 (t, J = 7.0 Hz, 2H), 2.51 (q, J = 7.2 Hz, 4H), 2.43 (t, J = 7.2, 6.8 Hz, 2H), 2.04–1.90 (m, 2H), 1.00 (t, J = 7.1 Hz, 6H). Oxalic acid salt: M.p. 156 °C. Elemental analyses (%) for C15H22N2·(COOH)2 Calc. C 63.73; N 8.74; H 7.55; found: C 63.89; N 8.82; H 7.63.
N,N-diethyl-4-(1H-indol-1-yl)butan-1-amine (31). Procedure M4. Reaction of 1-(4-bromobutyl)-1H-indole [53] (1.51 g, 6 mmol) with diethylamine (1.76 g, 24 mmol) and K2CO3 (0.83 g, 6 mmol) in acetonitrile (100 mL), after 24 h, column chromatography gave oil product. Yield 1.1 g (76%). TLC (S1) Rf = 0.56. MW 244.19. Formula: C16H24N2. MS: m/z 245.45 [M + H]+. 1H-NMR (300 MHz, CDCl3) δ ppm: 7.65 (d, J = 7.6 Hz, 1H), 7.37 (d, J = 8.2 Hz, 1H), 7.27–7.18 (m, 1H), 7.16–7.05 (m, 2H), 6.50 (d, J = 3.1 Hz, 1H), 4.15 (t, J = 7.1 Hz, 2H), 2.50 (q, J = 7.2 Hz, 4H), 2.42 (t, J = 7.8, 7.2 Hz, 2H), 1.95–1.78 (m, 2H), 1.56–1.38 (m, 2H), 1.00 (t, J = 7.2 Hz, 6H). Oxalic acid salt: M.p. 107 °C. Elemental analyses (%) for C16H24N2·(COOH)2 Calc. C 64.65; N 8.38; H 7.84, found: C 64.73; N 8.35; H 7.96.
N,N-Diethyl-5-(1H-indol-1-yl)pentan-1-amine (32). Procedure M4. Reaction of 1-(5-bromopentyl)-1H-indole [53] (1.33 g, 5 mmol) with diethylamine (1.5 g, 20 mmol) and K2CO3 (0.69 g, 5 mmol) in acetonitrile (80 mL), after 24 h, column chromatography gave oil product. Yield 0.89 g (69%). TLC (S1) Rf = 0.61. MW 258.21. Formula: C17H26N2. MS: m/z 259.47 [M + H]+. 1H-NMR (300 MHz, CDCl3) δ ppm: 7.58–7.43 (m, 2H), 7.37 (d, J = 3.1 Hz, 1H), 7.18–7.07 (m, 1H), 7.06–6.94 (m, 1H), 6.42 (d, J = 3.1 Hz, 1H), 4.18 (t, J = 6.9 Hz, 2H), 3.02 (q, J = 7.2 Hz, 4H), 2.90 (t, J = 8.7, 8.2 Hz, 2H), 1.87–1.71 (m, 2H), 1.71–1.53 (m, 2H), 1.37–1.19 (m, 2H), 1.09 (t, J = 7.0 Hz, 6H). Oxalic acid salt: M.p. 82 °C. Elemental analyses (%) for C17H26N2·(COOH)2 Calc. C 65.49; N 8.04; H 8.10, found: C 65.69; N 7.96; H 8.18.
N,N-Diethyl-6-(1H-indol-1-yl)hexan-1-amine (33). Procedure M4. Reaction of 1-(6-bromohexyl)-1H-indole [54] (0.8 g, 2.85 mmol) with diethylamine (0.83 g, 11.4 mmol) and K2CO3 (0.39 g, 2.85 mmol) in acetonitrile (45 mL), after 24 h, column chromatography gave oil product. Yield 0.59 g (76%). TLC (S1) Rf = 0.68. MW 272.23. Formula: C18H28N2. MS: m/z 273.35 [M + H]+. 1H-NMR (300 MHz, CDCl3) δ ppm: 7.64 (d, J = 7.9 Hz, 1H), 7.35 (d, J = 8.2 Hz, 1H), 7.29–7.16 (m, 1H), 7.14–7.05 (m, 2H), 6.49 (d, J = 3.2 Hz, 1H), 4.12 (t, J = 7.1 Hz, 2H), 2.51 (q, J = 7.2 Hz, 4H), 2.38 (t, J = 8.0, 7.0 Hz, 2H), 1.51–1.21 (m, 8H), 1.02 (t, J = 7.2 Hz, 6H). Oxalic acid salt: M.p. 80 °C. Elemental analyses (%) for C18H28N2·(COOH)2 Calc. C 66.27; N 7.73; H 8.34, found: C 66.37; N 7.64; H 8.36.
N,N-Diethyl-7-(1H-indol-1-yl)heptan-1-amine (34). Procedure M4. Reaction of 1-(7-bromoheptyl)-1H-indole [54] (1.03 g, 3.5 mmol) with diethylamine (1.02 g, 14 mmol) and K2CO3 (0.48 g, 3.5 mmol) in acetonitrile (50 mL), after 24 h, column chromatography gave oil product. Yield 0.63 g (63%). TLC (S1) Rf = 0.63. MW 286.24. Formula: C19H30N2. MS: m/z 287.35 [M + H]+. 1H-NMR (300 MHz, CDCl3) δ ppm: 7.69–7.59 (m, 1H), 7.42–7.31 (m, 1H), 7.25–7.17 (m, 1H), 7.14–7.07 (m, 2H), 6.49 (d, J = 3.1 Hz, 1H), 4.11 (t, J = 7.1 Hz, 2H), 2.52 (q, J = 7.2 Hz, 4H), 2.39 (t, J = 7.7 Hz, 2H), 1.92–1.75 (m, 2H), 1.43–1.23 (m, 8H), 1.02 (t, J = 7.2 Hz, 6H). Oxalic acid salt: M.p. 84 °C. Elemental analyses (%) for C19H30N2·(COOH)2 Calc. C 66.99; N 7.44; H 8.67, found: C 67.07; N 7.60; H 8.61.
N,N-Diethyl-8-(1H-indol-1-yl)octan-1-amine (35). Procedure M4. Reaction of 1-(8-bromooctyl)-1H-indole [54] (0.96 g, 3.1 mmol) with diethylamine (0.91 g, 12.4 mmol) and K2CO3 (0.43 g, 3.1 mmol) in acetonitrile (50 mL), after 24 h, column chromatography gave oil product. Yield 0.69 g (73%). TLC (S1) Rf = 0.65. MW 300.26. Formula: C20H32N2. MS: m/z 301.39 [M + H]+. 1H-NMR (300 MHz, CDCl3) δ ppm: 7.64 (d, J = 7.8 Hz, 1H), 7.40–7.31 (m, 1H), 7.25–7.16 (m, 1H), 7.14–7.06 (m, 2H), 6.49 (dd, J = 3.1, 0.8 Hz, 1H), 4.12 (t, J = 7.3 Hz, 2H), 2.52 (q, J = 7.2 Hz, 4H), 2.42–2.35 (m, 2H), 1.51–1.16 (m, 12H), 1.02 (t, J = 7.2 Hz, 6H). Oxalic acid salt: M.p. 87 °C. Elemental analyses (%) for C20H32N2·(COOH)2 Calc. C 67.66; N 7.17; H 8.78; found: C 67.47; N 7.05; H 8.71.
3.1.7. General Procedure for the Synthesis of Compounds (39–44)
Procedure M5. To a solution of the appropriate 2-(bromoalkyl)benzo[d]isothiazol-3(2H)-one 1,1-dioxide (1 equiv) in DMSO was added threefold access of appropriate benzylamine (3 equiv) and the reaction mixture was heated to 60 °C for 3.5 h. Once the reaction was finished, 50 mL of water was added. The reaction mixture was extracted with dichloromethane (6 × 15 mL) and the combined organic extracts were washed with water (5 × 50 mL). Then, the organic phase was dried over anhydrous Na2SO4, filtered and concentrated under reduced pressure. Purification by flash chromatography (silica, dichloromethane to dichloromethane/methanol 94:6), afforded a yellow oil. The following compounds were obtained.
2-(5-(2-fluorobenzylamino)pentyl)benzo[d]isothiazol-3(2H)-one 1,1-dioxide (39). Procedure M5. Reaction of 2-(5-bromopentyl)benzo[d]isothiazol-3(2H)-one 1,1-dioxide [62] (36) (166 mg, 0.5 mmol) with 2-fluorobenzylamine (187 mg; 1.5 mmol) in DMSO (6.5 mL), after 3.5 h then purification by flash chromatography and column chromatography (CHCl3:MeOH:NH3—10:0.2:0.05) gave product 39. Yield 38 mg (20%). TLC (S3) Rf = 0.23. MW 376.45. Formula: C19H21FN2O3S. MS: m/z 377.08 [M + H]+. 1H-NMR (300 MHz, CDCl3) δ ppm: 8.08–8.02 (m, 1H), 7.94–7.78 (m, 3H), 7.33 (td, J = 7.57, 1.80 Hz, 1H), 7.26–7.16 (m, 1H), 7.13–6.96 (m, 2H), 3.83 (s, 2H), 3.81–3.73 (m, 2H), 2.63 (t, J = 7.05 Hz, 2H), 1.87 (dt, J = 15.13, 7.57 Hz, 2H), 1.64–1.52 (m, 3H), 1.52–1.39 (m, 2H). 13C-NMR (75 MHz, CDCl3) δ ppm: 161.1 (d, JC-F = 245.0 Hz), 158.9, 137.6, 134.6, 134.2, 130.3 (d, JC-F = 4.4 Hz), 128.5 (d, JC-F = 7.7 Hz), 127.3, 127.2 (d, JC-F = 15.0 Hz), 125.0, 124.0 (d, JC-F = 3.3 Hz), 120.8, 115.2 (d, JC-F = 21.5 Hz), 48.9, 47.2, 39.3, 29.6, 29.4, 28.3, 28.7, 24.5.
2-(6-(2-fluorobenzylamino)hexyl)benzo[d]isothiazol-3(2H)-one 1,1-dioxide (40). Procedure M5. Reaction of 2-(6-bromohexyl)benzo[d]isothiazol-3(2H)-one 1,1-dioxide [62] (37) (173 mg, 0.5 mmol) with 2-fluorobenzylamine (187 mg; 1.5 mmol) in DMSO (6.5 mL), after 3.5 h and purification by flash chromatography gave product 40. Yield 133 mg (68 %). TLC (S3) Rf = 0.24. MW 390.47. Formula: C20H23FN2O3S. MS: m/z 391.11 [M + H]+. 1H-NMR (300 MHz, CDCl3) δ ppm: 8.13–7.99 (m, 1H), 7.98–7.71 (m, 3H), 7.34 (td, J = 7.57, 1.80 Hz, 1H), 7.25–7.18 (m, 1H), 7.14–6.98 (m, 2H), 3.84 (s, 2H), 3.77 (t, J = 7,44 Hz, 2H), 2.62 (t, J = 7.05 Hz, 2H), 1.85 (quin, J = 7.37 Hz, 2H), 1.65 (br. s., 1H), 1.59–1.48 (m, 2H), 1.46–1.31 (m, 4H). 13C-NMR (75 MHz, CDCl3) δ ppm 161.1 (d, JC-F = 245.0 Hz), 158.9, 137.6, 134.6, 134.2, 130.4 (d, JC-F = 4.4 Hz), 128.6 (d, JC-F = 8.3 Hz), 127.4, 127.1 (d, JC-F = 14.9 Hz), 125.1, 124.0 (d, JC-F = 3.9 Hz), 120.8, 115.2 (d, JC-F = 22.1 Hz), 49.0, 47.2, 39.3, 29.7, 28.3, 26.7, 26.6.
2-(7-(2-fluorobenzylamino)heptyl)benzo[d]isothiazol-3(2H)-one 1,1-dioxide (41). Procedure M5. Reaction of 2-(7-bromoheptyl)benzo[d]isothiazol-3(2H)-one 1,1-dioxide [62] (38) (180 mg, 0.5 mmol) with 2-fluorobenzylamine (187 mg; 1.5 mmol) in DMSO (6.5 mL), after 3.5 h then purification by flash chromatography and column chromatography (CH2Cl2:MeOH—9.5:0.5) gave product 41. Yield 90 mg (45%). TLC (S3) Rf = 0.19. MW 404.50. Formula: C21H25FN2O3S. MS: m/z 405.13 [M + H]+. 1H-NMR (300 MHz, CDCl3) δ ppm: 8.08–8.02 (m, 1H), 7.95–7.78 (m, 3H), 7.35 (td, J = 7.44, 1.80 Hz, 1H), 7.26–7.19 (m, 1H), 7.14–6.98 (m, 2H), 3.85 (s, 2H), 3.76 (t, J = 7,44 Hz, 2H), 2.62 (t, J = 7.18 Hz, 2H), 2.04 (br. s., 1H), 1.85 (quin, J = 7.44 Hz, 2H), 1.52 (quin, J = 6.99 Hz, 2H), 1.46–1.30 (m, 6H). 13C-NMR (75 MHz, CDCl3) δ ppm 161.2 (d, JC-F = 245.5 Hz), 158.9, 137.7, 134.6, 134.2, 130.4 (d, JC-F = 5.0 Hz), 128.6 (d, JC-F = 8.3 Hz), 127.4, 126.9 (d, JC-F = 15.5 Hz), 125.1, 124.0 (d, JC-F = 3.3 Hz), 120.8, 115.2 (d, JC-F = 21.5 Hz), 49.0, 47.1, 39.4, 29.7, 28.9, 28.3, 27.1, 26.7.
2-(5-(3-chlorobenzylamino)pentyl)benzo[d]isothiazol-3(2H)-one 1,1-dioxide (42). Procedure M5. Reaction of 2-(5-bromopentyl)benzo[d]isothiazol-3(2H)-one 1,1-dioxide [62] (36) (166 mg, 0.5 mmol) with 3-chlorobenzylamine (212 mg; 1.5 mmol) in DMSO (6.5 mL), after 3.5 h and purification by flash chromatography gave product 42. Yield 98 mg (50%). TLC (S3) Rf = 0.29. MW 392.90. Formula: C19H21ClN2O3S. MS: m/z 393.10 [M + H]+. 1H-NMR (300 MHz, CDCl3) δ ppm 8.10–8.03 (m, 1H), 7.95–7.81 (m, 3H), 7.34–7.30 (m, 1H), 7.26–7.17 (m, 3H), 3.84–3.74 (m, 4H), 2.64 (t, J = 6.92 Hz, 2H), 1.88 (dt, J = 15.07, 7.47 Hz, 2H), 1.65–1.40 (m, 5H). 13C-NMR (75 MHz, CDCl3) δ ppm 158.93, 142.45, 137.60, 134.65, 134.27, 134.16, 129.58, 128.14, 127.36, 127.00, 126.17, 125.09, 120.86, 53.33, 48.98, 39.25, 29.38, 28.24, 24.43.
2-(6-(3-chlorobenzylamino)hexyl)benzo[d]isothiazol-3(2H)-one 1,1-dioxide (43). Procedure M5. Reaction of 2-(6-bromohexyl)benzo[d]isothiazol-3(2H)-one 1,1-dioxide [62] (37) (166 mg, 0.48 mmol) with 3-chlorobenzylamine (212 mg; 1.5 mmol) in DMSO (6.5 mL), after 3.5 h and purification by flash chromatography gave product 43. Yield 112 mg (58%). TLC (S3) Rf = 0.31. MW 406.93. Formula: C20H23ClN2O3S. MS: m/z 407.06 [M + H]+. 1H-NMR (300 MHz, CDCl3) δ ppm 8.10–8.02 (m, 1H), 7.96–7.77 (m, 3H), 7.36–7.30 (m, 1H), 7.26–7.17 (m, 3H), 3.83–3.70 (m, 4H), 2.62 (t, J = 7.05 Hz, 2H), 1.86 (quin, J = 7.37 Hz, 2H), 1.62 (br. s., 1H), 1.59–1.47 (m, 2H), 1.47–1.38 (m, 4H). 13C-NMR (75 MHz, CDCl3) δ ppm 158.92, 142.42, 137.67, 134.61, 134.23, 134.18, 129.58, 128.17, 127.41, 127.02, 126.19, 125.08, 120.84, 53.33, 49.12, 39.31, 29.73, 28.30, 26.65, 26.59.
2-(7-(3-chlorobenzylamino)heptyl)benzo[d]isothiazol-3(2H)-one 1,1-dioxide (44). Procedure M5. Reaction of 2-(7-bromoheptyl)benzo[d]isothiazol-3(2H)-one 1,1-dioxide [62] (38) (180 mg, 0.5 mmol) with 3-chlorobenzylamine (212 mg; 183 μL, 1.5 mmol) in DMSO (6.5 mL), after 3.5 h and purification by flash chromatography gave product 44. Yield 134 mg (64%). TLC (S3) Rf = 0.18. MW 420.95. Formula: C21H25ClN2O3S. MS: m/z 421.08 [M + H]+. 1H-NMR (300 MHz, CDCl3) δ ppm: 8.09–8.02 (m, 1H), 7.95–7.78 (m, 3H), 7.37–7.30 (m, 1H), 7.26–7.17 (m, 3H), 3.82–3.71 (m, 4H), 2.61 (t, J = 7.05 Hz, 2H), 1.85 (quin, J = 7.37 Hz, 2H), 1.72 (br. s., 1H), 1.58–1.45 (m, 2H), 1.45–1.30 (m, 6H). 13C-NMR (75 MHz, CDCl3) δ ppm 158.90, 142.26, 137.66, 134.61, 134.23, 134.18, 129.59, 128.20, 127.41, 127.05, 126.23, 125.06, 120.83, 53.30, 49.18, 39.36, 29.72, 28.84, 28.29, 27.03, 26.64.
3.2. Molecular Modelling
The three-dimensional ligand structures were built with Corina online tool. Subsequently, atom types and protonation states were checked and Gasteiger-Marsili charges were assigned using Sybyl 8.0. Finally, ligand structures were saved in the mol2 format. Docking to Torpedo californica AChE (PDB code: 1EVE) was performed using the Gold 4.1. The target was prepared as follows: all histidine residues were protonated at Nε, hydrogen atoms added, ligand molecules removed, and binding sites defined as all amino acid residues within 10 Å from donepezil. The presence of conserved water molecules was also taken into account. A standard set of genetic algorithms with a population size of 100, number of operations being 100,000 and with a clustering tolerance of 1 Å were applied. As a result, 10 ligand conformations were obtained and sorted according to ChemScore function values. Results were visualized using PyMOL.
3.3. Biological Evaluation
3.3.1. In vitro Inhibition of AChE and BuChE
To assess the inhibitory activity of the target compounds towards cholinesterases, we followed Ellman’s assay (as modified for 24-well microplates) using AChE from Electrophorus electricus (EeAChE) (Sigma–Aldrich) and BuChE from equine serum (EqBuChE, Sigma–Aldrich). 500 U of AChE or BuChE was dissolved in 1 ml of a gelatine solution (1% in water) and diluted with demineralized water to give a stock solution of 5 U/mL. The AChE solution was further diluted before use to give a final concentration of 3.125 U/mL. The 0.0125 M 5,5′-dithiobis-(2-nitrobenzoic acid) (DTNB, Ellman’s reagent) solution containing 0.15% (w/v) sodium carbonate and the 0.01875 M acetylthiocholine (ATC) iodide solution were prepared in demineralized water. All assays were performed in 0.1 M phosphate buffer pH 8.0. The tested compounds or water in a blank sample (25 µL) were incubated with the enzyme (20 µL) for 5 min at 25 °C in buffer (765 µL) prior to starting the reaction. Then, DTNB (20 µL) and ATC (20 µL) were added. After 5 min of the reaction, changes in absorbance were measured at 412 nm using a microplate reader (EnSpire Multimode, PerkinElmer). Each condition was measured in triplicate. The percentages of enzyme inhibition were calculated from the equation 100%—Ai/A0 × 100%, where Ai is the absorbance of a sample with an inhibitor and A0 is the absorbance of a blank sample (100% activity of the enzyme). The IC50 values were calculated using GraphPad Prism 5. Data is expressed as mean ± SEM.
3.3.2. Kinetic Characterization of EeAChE Inhibition
To estimate the type of inhibition of EeAChE, the same experimental protocol as reported above (4.3.1) was performed. Different concentrations of the substrate ATC (0.067–0.5 mM) were used to create Lineweaver-Burk plots by plotting the inverse initial velocity (1/V) as a function of the inverse of the substrate concentration (1/[S]). The stock solution of ATC (0.5 mM in a well) was prepared in water and diluted before use to obtained 0.4, 0.3, 0.2, 0.1and 0.067 mM concentrations of substrate. The double reciprocal plots were assessed by a weighted least square analysis that assumed the variance of V to be a constant percentage of V for the entire data set. Each experiment was performed in triplicate. Then, to confirm the mode of inhibition, Cornish-Bowden plots were obtained by plotting S/V (substrate concentration/velocity ratio) versus the inhibitor concentration [I]. Data analysis was performed with GraphPad Prism 5.
3.3.3. In vitro Inhibition of Aβ1–42 Aggregation
Thioflavin-T (ThT) fluorometric assay was performed to investigate the effect of the test compounds on the self-aggregation of Aβ1–42. Recombinant human HFIP-pretreated Aβ1–42 peptide (Lot number 2387442, Merck Millipore, Darmstadt, Germany) was dissolved in DMSO. Prior to the incubations, the Aβ1–42 peptide stock solution was diluted in 150 mM HEPES buffer (pH 7.4) containing 150 mM NaCl, to give a concentration of 7.5 μM. Then Aβ1–42 (20 μL) was mixed with of the test compounds (10 μL, 100 μM stock in HEPES; 10 μM final concentration), added to the corresponding wells in black-walled 96-well plates, and diluted with ThT solution (70 μL, 14.3 μM stock solution in HEPES; 10 μM final concentration), to the final volume of 100 μL (1.5 μM final Aβ1–42 concentration). Each sample was prepared in quadruplicate, and the DMSO was always at 3%. To quantify amyloid fibril formation, the ThT fluorescence was measured through the bottom of the plate every 180 s at an excitation wavelength of 440 nm and emission wavelength of 490 nm, with the medium continuously shaking between measurements using a 96-well microplate reader (Synergy™ H4, BioTek Instruments, Inc., Winooski, VT, USA). The ThT emission of the Aβ1–42 began to rise after 4 h, reached a plateau after 36 h, and remained almost unchanged for an additional 12 h of incubation. The fluorescence intensities at the plateau in the absence and presence of the test compounds were averaged, and the average fluorescence of the corresponding wells at t = 0 h was subtracted. The Aβ1–42 self-induced aggregation inhibitory potencies are expressed as the percentage inhibition (%inh = (1 − Fi/F0) ×100%), where Fi is the increase in fluorescence of Aβ1–42 treated with the test compounds, and F0 is the increase in fluorescence of Aβ1–42 alone.
3.3.4. PAMPA-BBB Assay
The brain penetration of compounds 4, 7, 13, 39 and 42 was assessed using the parallel artificial membrane permeability assay for blood brain barrier (BBB-PAMPA). The BBB-PAMPA Explorer Test System was purchased from pION Inc. The in vitro permeability through BBB-1 lipid membrane was determined for 7 commercial drugs and the tested compounds. The compounds were dissolved in DMSO (10 mM stock solution) and diluted with Prisma HT buffer (5 µL/1 mL). Then, the acceptor 96-well microplate was filled with solution of the tested compounds in buffer (200 µL/well). The filter membrane in acceptor 96-well microplate was impregnated with BBB-1 lipid solution (5 µL/well) and the acceptor plate was filled with Brain Sink Buffer (200 µL/well). The acceptor plate was carefully placed on the donor plate to form a sandwich that was left undisturbed for 2 h at 37 °C. After incubation, the donor plate was carefully removed. The concentration of compounds in the acceptor, the donor, and the reference wells were measured using EnSpire Multimode Microplate Reader (PerkinElmer). Logarithm of the effective permeability (log Pe) of the compounds was calculated using the pION software. Assay validation was done by comparison of the experimental permeability of the seven commercial drugs with their reference values established for this assay by pION. We established the following ranges of permeability: CNS+, log Pe > −4.5, high permeability (i.e., can enter the CNS); CNS–, log Pe ≤−6.3, low permeability (i.e., excluded from the CNS); CNS±, –6.3 < log Pe ≤−4.5, uncertain BBB permeability.
4. Conclusions
Herein, we presented a continuation of our studies focused on the search for multitarget compounds as potential anti-AD agents. With the aid of molecular modelling, we designed new dual binding site inhibitors of AChE. The designed compounds were synthesized and evaluated in vitro. We found that most of the target compounds are moderate or potent AChE inhibitors or dual AChE/BuChE inhibitors with IC50 values in the low micromolar and submicromolar range. Structure–activity relationship analysis revealed that among the tested compounds containing different heteroaromatic moieties, the most potent inhibitors were derivatives with a saccharin fragment with the most potent compound 42 (EeAChE IC50 = 70 nM). Regarding the amine part of the molecules, we found that pyrrolidine, benzylamine and its rigid analogue—tetrahydroisoquinoline—are beneficial for AChE inhibitory potency when compared to morpholine. Compound 13, a tetrahydroisoquinoline derivative, was found to be a dual inhibitor of AChE and BuChE (EeAChE IC50 = 0.76 μM, EqBuChE IC50 = 0.618 μM). This balanced potency seems to be a promising starting point for further studies given the fact that currently used anti-AD drugs inhibit these two enzymes with inhibitory potencies in the same order of magnitude (i.e., rivastigmine: EeAChE IC50 = 3.01–3.4 μM, EqBuChE IC50 = 0.30–5.5 μM; galantamine: EeAChE IC50 = 0.665–2.41μM, EqBuChE IC50 = 17.38–19.78 μM) [63,64,65]. Compound 13 was also the most potent inhibitor of self-induced Aβ1–42 aggregation (35.80% at 10 μM) comparable with other multifunctional agents described recently [22] and a more potent inhibitor than donepezil (11.48% at 10 μM). Kinetic studies revealed that the developed derivatives are mixed or non-competitive AChE inhibitors. Molecular modelling studies indicated that all the compounds were dual binding site inhibitors able to interact with catalytic and peripheral active sites of AChE. The results of both kinetic studies and molecular modelling showed that the tested compounds display a similar mechanism of action to that of donepezil. The results from the PAMPA-BBB assay indicated that the tested compounds are able to cross the BBB in vitro. In conclusion, our studies have provided a better understanding of the structure–activity relationships in a group of heterodimeric cholinesterase inhibitors and allowed the identification of compounds 42 and 13 as interesting agents which can be used in the further development of potential anti-Alzheimer’s drugs.
Supplementary Materials
Supplementary materials can be accessed at: http://www.mdpi.com/1420-3049/21/4/410/s1.
Acknowledgments
Financial support from: the Polish Ministry for Science and High Education (grant No. N N405 163339) and the National Science Center of Poland (grant No. 2012/07/B/NZ7/04253) is gratefully acknowledged. We thank Bálint Sinkó for his help with establishing and managing PAMPA-BBB assay, this study received financial support from the Jagiellonian University Collegium Medicum (grant No. K/Z S/004657).
Author Contributions
M.H. synthesized most of the compounds and evaluated their inhibitory potency on the cholinesterases; M.B. designed the novel compounds, performed molecular modelling studies, wrote a part of manuscript and corrected the manuscript; A.W. supervised part of the synthesis, performed PAMPA-BBB assay and corrected the manuscript; N.S. performed PAMPA-BBB assay, wrote a part of the manuscript and corrected it; A.P. did a part of chemical synthesis; D.P. performed a part of the kinetic study; T.W. wrote a part of the manuscript and corrected it; J.G. performed a part of the inhibition potency on the cholinesterases and the kinetic study; D.K. performed the Aβ test and corrected the manuscript; S.G. supervised the Aβ test and corrected the manuscript; B.M. supervised and coordinated all studies, wrote a part of the manuscript and corrected it.
Conflicts of Interest
The authors declare no conflict of interest.
Abbreviations
The following abbreviations are used in this manuscript:
| Ach | acetylcholine |
| AChE | acetylcholinesterase |
| AD | Alzheimer’s disease |
| Aβ | amyloid beta peptide |
| BBB | blood-brain barrier |
| BuChE | butyrylcholinesterase |
| BuChE | butyrylcholinesterase |
| CAS | catalytic anionic site in acetylcholinesterase |
| CNS | central nervous system |
| EeAChE | acetylcholinesterase from electric eel |
| EqBuChE | equine serum butyrylcholinesterase |
| MTDL | multi-target-directed ligands |
| NFTs | neurofibrillary tangles |
| PAMPA | parallel artificial membrane permeation assay |
| PAS | peripheral anionic site in acetylcholinesterase |
| TcAChE | acetylcholinesterase from Torpedo californica |
References
- Prince, M.; Prina, M.; Guerchet, M. World Alzheimer Report 2013 Journey of Caring: An Analysis of Long-Term Care for Dementia; Alzheimer’s Disease International: London, UK, 2013; pp. 1–92. [Google Scholar]
- Wimo, A.; Jönsson, L.; Bond, J.; Prince, M.; Winblad, B. The worldwide economic impact of dementia 2010. Alzheimer’s Dement. 2013, 9. [Google Scholar] [CrossRef] [PubMed]
- Cummings, J.L.; Morstorf, T.; Zhong, K. Alzheimer’s disease drug-development pipeline: Few candidates, frequent failures. Alzheimers. Res. Ther. 2014, 6. [Google Scholar] [CrossRef] [PubMed]
- Godyń, J.; Jończyk, J.; Panek, D.; Malawska, B. Therapeutic strategies for Alzheimer’s disease in clinical trials. Pharmacol. Rep. 2015, 68, 127–138. [Google Scholar] [CrossRef] [PubMed]
- Blennow, K.; de Leon, M.J.; Zetterberg, H. Alzheimer’s disease. Lancet 2006, 368, 387–403. [Google Scholar] [CrossRef]
- Querfurth, H.W.; LaFerla, F.M. Alzheimer’s disease. N. Engl. J. Med. 2010, 362, 329–344. [Google Scholar] [CrossRef] [PubMed]
- Bowen, D.M.; Smith, C.B.; White, P.; Davison, A.N. Neurotransmitter-related enzymes and indices of hypoxia in senile dementia and other abiotrophies. Brain 1976, 99, 459–496. [Google Scholar] [CrossRef] [PubMed]
- Davies, P.; Maloney, A.J.F. Selective loss of central cholinergic neurons in Alzheimer’s disease. Lancet 1976, 308. [Google Scholar] [CrossRef]
- Mufson, E.J.; Counts, S.E.; Perez, S.E.; Ginsberg, S.D. Cholinergic system during the progression of Alzheimer’s disease: Therapeutic implications. Expert Rev. Neurother. 2008, 8, 1703–1718. [Google Scholar] [CrossRef] [PubMed]
- Giacobini, E. Cholinesterase inhibitors: New roles and therapeutic alternatives. Pharmacol. Res. 2004, 50, 433–440. [Google Scholar] [CrossRef] [PubMed]
- De Ferrari, G.V.; Canales, M.A.; Shin, I.; Weiner, L.M.; Silman, I.; Inestrosa, N.C. A Structural Motif of Acetylcholinesterase That Promotes Amyloid β-Peptide Fibril Formation. Biochemistry 2001, 40, 10447–10457. [Google Scholar] [CrossRef] [PubMed]
- Johnson, G.; Moore, S.W. Identification of a structural site on acetylcholinesterase that promotes neurite outgrowth and binds laminin-1 and collagen IV. Biochem. Biophys. Res. Commun. 2004, 319, 448–455. [Google Scholar] [CrossRef] [PubMed]
- Inestrosa, N.C.; Alvarez, A.; Pérez, C.A.; Moreno, R.D.; Vicente, M.; Linker, C.; Casanueva, O.I.; Soto, C.; Garrido, J. Acetylcholinesterase Accelerates Assembly of Amyloid-β-Peptides into Alzheimer’s Fibrils: Possible Role of the Peripheral Site of the Enzyme. Neuron 1996, 16, 881–891. [Google Scholar] [CrossRef]
- Sussman, J.L.; Harel, M.; Frolow, F.; Oefner, C.; Goldman, A.; Toker, L.; Silman, I. Atomic structure of acetylcholinesterase from Torpedo californica: A prototypic acetylcholine-binding protein. Science 1991, 253, 872–879. [Google Scholar] [CrossRef] [PubMed]
- Akasofu, S.; Kimura, M.; Kosasa, T.; Sawada, K.; Ogura, H. Study of neuroprotection of donepezil, a therapy for Alzheimer’s disease. Chem. Biol. Interact. 2008, 175, 222–226. [Google Scholar] [CrossRef] [PubMed]
- Akaike, A.; Takada-Takatori, Y.; Kume, T.; Izumi, Y. Mechanisms of Neuroprotective Effects of Nicotine and Acetylcholinesterase Inhibitors: Role of α4 and α7 Receptors in Neuroprotection. J. Mol. Neurosci. 2009, 40, 211–216. [Google Scholar] [CrossRef] [PubMed]
- Verdile, G.; Fuller, S.J.; Martins, R.N. The role of type 2 diabetes in neurodegeneration. Neurobiol. Dis. 2015, 84, 22–38. [Google Scholar] [CrossRef] [PubMed]
- Zhao, Y.; Zhao, B. Oxidative stress and the pathogenesis of Alzheimer’s disease. Oxid. Med. Cell. Longev. 2013, 2013. [Google Scholar] [CrossRef] [PubMed]
- Kan, M.J.; Lee, J.E.; Wilson, J.G.; Everhart, A.L.; Brown, C.M.; Hoofnagle, A.N.; Jansen, M.; Vitek, M.P.; Gunn, M.D.; Colton, C.A. Arginine Deprivation and Immune Suppression in a Mouse Model of Alzheimer’s Disease. J. Neurosci. 2015, 35, 5969–5982. [Google Scholar] [CrossRef] [PubMed]
- Morphy, R.; Kay, C.; Rankovic, Z. From magic bullets to designed multiple ligands. Drug Discov. Today 2004, 9, 641–651. [Google Scholar] [CrossRef]
- Zimmermann, G.R.; Lehár, J.; Keith, C.T. Multi-target therapeutics: When the whole is greater than the sum of the parts. Drug Discov. Today 2007, 12, 34–42. [Google Scholar] [CrossRef] [PubMed]
- Guzior, N.; Więckowska, A.; Panek, D.; Malawska, B. Recent development of multifunctional agents as potential drug candidates for the treatment of Alzheimer’s disease. Curr. Med. Chem. 2015, 22, 373–404. [Google Scholar] [CrossRef] [PubMed]
- Dias, K.S.T.; Viegas, C., Jr. Multi-Target Directed Drugs: A Modern Approach for Design of New Drugs for the treatment of Alzheimer’s Disease. Curr. Neuropharmacol. 2014, 12, 239–255. [Google Scholar] [CrossRef] [PubMed]
- Agis-Torres, A.; Sölhuber, M.; Fernandez, M.; Sanchez-Montero, J.M. Multi-Target-Directed Ligands and other Therapeutic Strategies in the Search of a Real Solution for Alzheimer’s Disease. Curr. Neuropharmacol. 2014, 12, 2–36. [Google Scholar] [CrossRef] [PubMed]
- Calza, L.; Antonio Baldassarro, V.; Giuliani, A.; Lorenzini, L.; Fernandez, M.; Mangano, C.; Sivilia, S.; Alessandri, M.; Gusciglio, M.; Torricella, R.; et al. From the Multifactorial Nature of Alzheimer’s Disease to Multitarget Therapy: The Contribution of the Translational Approach. Curr. Top. Med. Chem. 2013, 13, 1843–1852. [Google Scholar] [CrossRef] [PubMed]
- Carreiras, M.; Mendes, E.; Perry, M.; Francisco, A.; Marco-Contelles, J. The Multifactorial Nature of Alzheimer’s Disease for Developing Potential Therapeutics. Curr. Top. Med. Chem. 2013, 13, 1745–1770. [Google Scholar] [CrossRef] [PubMed]
- León, R.; Garcia, A.G.; Marco-Contelles, J. Recent advances in the multitarget-directed ligands approach for the treatment of Alzheimer’s disease. Med. Res. Rev. 2013, 33, 139–189. [Google Scholar] [CrossRef] [PubMed]
- Sola, I.; Aso, E.; Frattini, D.; López-González, I.; Espargaró, A.; Sabaté, R.; Di Pietro, O.; Luque, F.J.; Clos, M.V.; Ferrer, I.; et al. Novel Levetiracetam Derivatives That Are Effective against the Alzheimer-like Phenotype in Mice: Synthesis, in Vitro, ex Vivo, and in Vivo Efficacy Studies. J. Med. Chem. 2015, 58, 6018–6032. [Google Scholar] [CrossRef] [PubMed]
- Knez, D.; Brus, B.; Coquelle, N.; Sosič, I.; Šink, R.; Brazzolotto, X.; Mravljak, J.; Colletier, J.P.; Gobec, S. Structure-based development of nitroxoline derivatives as potential multifunctional anti-Alzheimer agents. Bioorg. Med. Chem. 2015, 23. [Google Scholar] [CrossRef] [PubMed]
- Tonelli, M.; Catto, M.; Tasso, B.; Novelli, F.; Canu, C.; Iusco, G.; Pisani, L.; de Stradis, A.; Denora, N.; Sparatore, A.; et al. Multitarget Therapeutic Leads for Alzheimer’s Disease: Quinolizidinyl Derivatives of Bi- and Tricyclic Systems as Dual Inhibitors of Cholinesterases and β-Amyloid (Aβ) Aggregation. ChemMedChem 2015, 10, 1040–1053. [Google Scholar] [CrossRef] [PubMed]
- Farina, R.; Pisani, L.; Catto, M.; Nicolotti, O.; Gadaleta, D.; Denora, N.; Soto-Otero, R.; Mendez-Alvarez, E.; Passos, C.S.; Muncipinto, G.; et al. Structure-Based Design and Optimization of Multitarget-Directed 2 H -Chromen-2-one Derivatives as Potent Inhibitors of Monoamine Oxidase B and Cholinesterases. J. Med. Chem. 2015, 58, 5561–5578. [Google Scholar] [CrossRef] [PubMed]
- Xie, S.S.; Wang, X.; Jiang, N.; Yu, W.; Wang, K.D.G.; Lan, J.S.; Li, Z.R.; Kong, L.Y. Multi-target tacrine-coumarin hybrids: Cholinesterase and monoamine oxidase B inhibition properties against Alzheimer’s disease. Eur. J. Med. Chem. 2015, 95, 153–165. [Google Scholar] [CrossRef] [PubMed]
- Bolea, I.; Juárez-Jiménez, J.; de los Rı́os, C.; Chioua, M.; Pouplana, R.; Luque, F.J.; Unzeta, M.; Marco-Contelles, J.; Samadi, A. Synthesis, Biological Evaluation, and Molecular Modeling of Donepezil and N-[(5-(Benzyloxy)-1-methyl-1H-indol-2-yl)methyl]-N-methylprop-2-yn-1-amine Hybrids as New Multipotent Cholinesterase/Monoamine Oxidase Inhibitors for the Treatment of Alzheimer’s Disease. J. Med. Chem. 2011, 54, 8251–8270. [Google Scholar] [PubMed]
- Pau, A.; Catto, M.; Pinna, G.; Frau, S.; Murineddu, G.; Asproni, B.; Curzu, M.M.; Pisani, L.; Leonetti, F.; Loza, M.I.; et al. Multitarget-directed tricyclic pyridazinones as G protein-coupled receptor ligands and cholinesterase inhibitors. ChemMedChem 2015, 10, 1054–1070. [Google Scholar] [CrossRef] [PubMed]
- Rochais, C.; Lecoutey, C.; Gaven, F.; Giannoni, P.; Hamidouche, K.; Hedou, D.; Dubost, E.; Genest, D.; Yahiaoui, S.; Freret, T.; et al. Novel Multitarget-Directed Ligands (MTDLs) with Acetylcholinesterase (AChE) Inhibitory and Serotonergic Subtype 4 Receptor (5-HT4R) Agonist Activities As Potential Agents against Alzheimer’s Disease: The Design of Donecopride. J. Med. Chem. 2015, 58, 3172–3187. [Google Scholar] [CrossRef] [PubMed]
- Xie, S.S.; Lan, J.S.; Wang, X.B.; Jiang, N.; Dong, G.; Li, Z.R.; Wang, K.D.G.; Guo, P.P.; Kong, L.Y. Multifunctional tacrine-trolox hybrids for the treatment of Alzheimer’s disease with cholinergic, antioxidant, neuroprotective and hepatoprotective properties. Eur. J. Med. Chem. 2015, 93, 42–50. [Google Scholar] [CrossRef] [PubMed]
- Ignasik, M.; Bajda, M.; Guzior, N.; Prinz, M.; Holzgrabe, U.; Malawska, B. Design, synthesis and evaluation of novel 2-(aminoalkyl)-isoindoline-1,3-dione derivatives as dual-binding site acetylcholinesterase inhibitors. Arch. Pharm. 2012, 345, 509–516. [Google Scholar] [CrossRef] [PubMed]
- Guzior, N.; Bajda, M.; Skrok, M.; Kurpiewska, K.; Lewiński, K.; Brus, B.; Pišlar, A.; Kos, J.; Gobec, S.; Malawska, B. Development of multifunctional, heterodimeric isoindoline-1,3-dione derivatives as cholinesterase and β-amyloid aggregation inhibitors with neuroprotective properties. Eur. J. Med. Chem. 2015, 92, 738–749. [Google Scholar] [CrossRef] [PubMed]
- Guzior, N.; Bajda, M.; Rakoczy, J.; Brus, B.; Gobec, S.; Malawska, B. Isoindoline-1,3-dione derivatives targeting cholinesterases: Design, synthesis and biological evaluation of potential anti-Alzheimer’s agents. Bioorg. Med. Chem. 2015, 23, 1629–1637. [Google Scholar] [CrossRef] [PubMed]
- Szałaj, N.; Bajda, M.; Dudek, K.; Brus, B.; Gobec, S.; Malawska, B. Multiple Ligands Targeting Cholinesterases and b-Amyloid: Synthesis, Biological Evaluation of Heterodimeric Compounds with Benzylamine Pharmacophore. Arch. Pharm. Chem. Life Sci. 2015, 348, 556–563. [Google Scholar] [CrossRef] [PubMed]
- Więckowska, A.; Więckowski, K.; Bajda, M.; Brus, B.; Sałat, K.; Czerwińska, P.; Gobec, S.; Filipek, B.; Malawska, B. Synthesis of new N-benzylpiperidine derivatives as cholinesterase inhibitors with β-amyloid anti-aggregation properties and beneficial effects on memory in vivo. Bioorg. Med. Chem. 2015, 23, 2445–2457. [Google Scholar] [CrossRef] [PubMed]
- Ellman, G.L.; Courtney, K.D.; Andres, V.; Featherstone, R.M. A new and rapid colorimetric determination of acetylcholinesterase activity. Biochem. Pharmacol. 1961, 7, 88–95. [Google Scholar] [CrossRef]
- Cornish-Bowden, A. A simple graphical method for determining the inhibition constants of mixed, uncompetitive and non-competitive inhibitors. Biochem. J. 1974, 137, 143–144. [Google Scholar] [CrossRef] [PubMed]
- Faller, P.; Hureau, C.; Berthoumieu, O. Role of metal ions in the self-assembly of the Alzheimer’s amyloid-β peptide. Inorg. Chem. 2013, 52, 12193–12206. [Google Scholar] [CrossRef] [PubMed]
- Inestrosa, N.C.; Dinamarca, M.C.; Alvarez, A. Amyloid-cholinesterase interactions. Implications for Alzheimer’s disease. FEBS J. 2008, 275, 625–632. [Google Scholar] [CrossRef] [PubMed]
- Huang, L.; Liu, X.; Cheng, B.; Huang, K. How our bodies fight amyloidosis: Effects of physiological factors on pathogenic aggregation of amyloidogenic proteins. Arch. Biochem. Biophys. 2015, 568, 46–55. [Google Scholar] [CrossRef] [PubMed]
- LeVine, H. Biotin-avidin interaction-based screening assay for Alzheimer’s beta-peptide oligomer inhibitors. Anal. Biochem. 2006, 356, 265–272. [Google Scholar] [CrossRef] [PubMed]
- Bajda, M.; Więckowska, A.; Hebda, M.; Guzior, N.; Sotriffer, C.A.; Malawska, B. Structure-based search for new inhibitors of cholinesterases. Int. J. Mol. Sci. 2013, 14, 5608–5632. [Google Scholar] [CrossRef] [PubMed]
- Sopkova-de Oliveira Santos, J.; Lesnard, A.; Agondanou, J.-H.; Dupont, N.; Godard, A.-M.; Stiebing, S.; Rochais, C.; Fabis, F.; Dallemagne, P.; Bureau, R.; et al. Virtual Screening Discovery of New Acetylcholinesterase Inhibitors Issued from CERMN Chemical Library. J. Chem. Inf. Model. 2010, 50, 422–428. [Google Scholar] [CrossRef] [PubMed]
- Di, L.; Kerns, E.H.; Fan, K.; McConnell, O.J.; Carter, G.T. High throughput artificial membrane permeability assay for blood–brain barrier. Eur. J. Med. Chem. 2003, 38, 223–232. [Google Scholar] [CrossRef]
- Apelt, J.; Ligneau, X.; Pertz, H.H.; Arrang, J.M.; Ganellin, C.R.; Schwartz, J.C.; Schunack, W.; Stark, H. Development of a new class of nonimidazole histamine H3 receptor ligands with combined inhibitory histamine N-methyltransferase activity. J. Med. Chem. 2002, 45, 1128–1141. [Google Scholar] [CrossRef] [PubMed]
- Fisher, M.J.; Gunn, B.; Harms, C.S.; Kline, A.D.; Mullaney, J.T.; Nunes, A.; Scarborough, R.M.; Arfsten, A.E.; Skelton, M.A.; Um, S.L.; et al. Non-peptide RGD surrogates which mimic a Gly-Asp β-turn: Potent antagonists of platelet glycoprotein IIb-IIIa. J. Med. Chem. 1997, 40, 2085–2101. [Google Scholar] [CrossRef] [PubMed]
- Dehaen, W.; Hassner, A. Cycloadditions. 45. Annulation of heterocycles via intramolecular nitrile oxide-heterocycle cycloaddition reaction. J. Org. Chem. 1991, 56, 896–900. [Google Scholar] [CrossRef]
- Plocki, S.; Aoun, D.; Ahamada-Himidi, A.; Tavarès-Camarinha, F.; Dong, C.-Z.; Massicot, F.; Huet, J.; Adolphe-Pierre, S.; Chau, F.; Godfroid, J.-J.; et al. Molecular Modeling, Design, and Synthesis of Less Lipophilic Derivatives of 3-(4-Tetradecyloxybenzyl)-4H-1,2,4-oxadiazol-5-one (PMS1062) Specific for Group II Enzyme. Eur. J. Org. Chem. 2005, 2005, 2747–2757. [Google Scholar] [CrossRef]
- Choi, J.Y.; Seo, H.N.; Lee, M.J.; Park, S.J.; Park, S.J.; Jeon, J.Y.; Kang, J.H.; Pae, A.N.; Rhim, H.; Lee, J.Y. Synthesis and biological evaluation of novel T-type calcium channel blockers. Bioorg. Med. Chem. Lett. 2007, 17, 471–475. [Google Scholar] [CrossRef] [PubMed]
- Dickson, J.K. Jr.; Hodge, C.N.; Mendoza, J.S.; Chen, K. 2-Amido-Thiazole-based Compounds Exhibiting ATP-Utilizing Enzyme Inhibitory Activity, and Compositions, and Uses Thereof. U.S. Patent No 7,410,988, 12 August 2008. [Google Scholar]
- Alisi, M.A.; Brufani, M.; Cesta, M.C.; Filocamo, L.; Gostoli, G.; Lappa, S.; Pagella, P.G.; Ferrari, E.; Maiorana, S.; Marchesini, D. Mediolanium Farmaceutucu S.P.A. Milan, Italy, Aminoalkylcarbamic Esters of Eseroline Suitable for Use As Chlorinesterase Activity Inhibitors. U.S. Patent No 5,302,593, 12 April 1994. [Google Scholar]
- Mokrosz, J.L.; Dereń-Wesołek, A.; Tatarczyńska, E.; Duszyńska, B.; Bojarski, A.J.; Mokrosz, M.J.; Chojnacka-Wójcik, E. 8-[4-[2-(1,2,3,4-Tetrahydroisoquinolinyl)]butyl]-8-azaspiro[4.5]decane-7,9-dione: A New 5-HT1A Receptor Ligand with the Same Activity Profile as Buspirone. J. Med. Chem. 1996, 39, 1125–1129. [Google Scholar] [CrossRef] [PubMed]
- Kowalski, P.; Mitka, K.; Jaśkowska, J.; Duszyńska, B.; Bojarski, A.J. New Arylpiperazines with Flexible versus Partly Constrained Linker as Serotonin 5-HT1A/5-HT7 Receptor Ligands. Arch. Pharm. (Weinheim). 2013, 346, 339–348. [Google Scholar] [CrossRef] [PubMed]
- Tsotinis, A.; Afroudakis, P.A.; Davidson, K.; Prashar, A.; Sugden, D. Design, Synthesis, and Melatoninergic Activity of New Azido- and Isothiocyanato-Substituted Indoles. J. Med. Chem. 2007, 50, 6436–6440. [Google Scholar] [CrossRef] [PubMed]
- Contreras, J.M.; Rival, Y.M.; Chayer, S.; Bourguignon, J.J.; Wermuth, C.G. Aminopyridazines as acetylcholinesterase inhibitors. J. Med. Chem. 1999, 42, 730–741. [Google Scholar] [CrossRef] [PubMed]
- Commerford, J.D.; Donahue, H.B. Notes -N-(-Bromoalkyl)saccharins and N,N’-Undecamethylenedisaccharin. J. Org. Chem. 1956, 21, 583–584. [Google Scholar] [CrossRef]
- Meng, F.C.; Mao, F.; Shan, W.J.; Qin, F.; Huang, L.; Li, X.S. Design, synthesis, and evaluation of indanone derivatives as acetylcholinesterase inhibitors and metal-chelating agents. Bioorg. Med. Chem. Lett. 2012, 22, 4462–4466. [Google Scholar] [CrossRef] [PubMed]
- Tasso, B.; Catto, M.; Nicolotti, O.; Novelli, F.; Tonelli, M.; Giangreco, I.; Pisani, L.; Sparatore, A.; Boido, V.; Carotti, A.; et al. Quinolizidinyl derivatives of bi- and tricyclic systems as potent inhibitors of acetyl- and butyrylcholinesterase with potential in Alzheimer’s disease. Eur. J. Med. Chem. 2011, 46, 2170–2184. [Google Scholar] [CrossRef] [PubMed]
- Shaik, J.B.; Palaka, B.K.; Penumala, M.; Kotapati, K.V.; Devineni, S.R.; Eadlapalli, S.; Darla, M.M.; Ampasala, D.R.; Vadde, R.; Amooru, G.D. Synthesis, pharmacological assessment, molecular modeling and in silico studies of fused tricyclic coumarin derivatives as a new family of multifunctional anti-Alzheimer agents. Eur. J. Med. Chem. 2016, 107, 219–232. [Google Scholar] [CrossRef] [PubMed]
- Sample Availability: Samples of the selected compounds (39–44) are available from the authors.
© 2016 by the authors. Licensee MDPI, Basel, Switzerland. This article is an open access article distributed under the terms and conditions of the Creative Commons by Attribution (CC-BY) license ( http://creativecommons.org/licenses/by/4.0/).













