Abstract
A novel series of C-nucleosides, featuring the presence of a 1,2,3-triazole ring linked to an isoxazolidine system, has been designed as mimetics of the pyrimidine nucleobases. An antiproliferative effect was observed for compounds 17a and 17b: the growth inhibitory effect reaches the 50% in HepG2 and HT-29 cells and increases up to 56% in the SH-SY5Y cell line after 72 h of incubation at a 100 µM concentration.
1. Introduction
Structural modification of natural N-nucleosides on either the sugar unit or the nucleobase has led to the discovery of a variety of new therapeutic agents, which includes antiviral and anticancer agents [1,2,3,4,5,6,7,8,9]. In this context, the family of C-nucleosides constitutes a group of molecules characterized by the link of the sugar unit to a carbon atom of the pyrimidine/purine nucleobase: some of these compounds have been reported to exhibit significant antibacterial, antiviral and antitumoral activities [10].
While natural and synthetic N-nucleosides are vulnerable to enzymatic and acid-catalyzed hydrolysis of nucleosidic bond, the C-analogues are much more stable. Many natural and synthetic C-nucleosides, also containing modified heterocyclic bases, biologically active, have been described in literature. Natural antibiotics formycins [11] (in particular FA, FB, and oxoformycin B OFB) have been known since the early 1960s to possess antibiotic and cytotoxic properties; their antiparasitic activity (antimalarial, antischisostoma, etc.) was unraveled later. Pseudouridine is the most abundant natural C-nucleoside present in most tRNA and rRNA structures [12], where it has been shown to stabilize RNA duplex [13,14]. Showdomycin [15] possesses well known antibiotic and cytotoxic properties, involving inhibition of nucleoside transport into the cell [16]. Pyrazofurin [17] and tiazofurin [18] have been shown to possess a wide range of medicinal properties, including antibiotic, antiviral, and antitumor activity (Figure 1).
Figure 1.
Examples of C-Nucleosides.
Figure 1.
Examples of C-Nucleosides.

As part of ongoing efforts to identify new antiviral/antitumor agents, we were interested in the investigation of N,O-nucleosides, where the ribose moiety has been replaced by an isoxazolidine system, as mimetic of the sugar unit [19,20,21,22,23]. Phosphonated carbocyclic 2'-oxa-3'-azanucleosides 1 have shown to be potent inhibitors of RT of different retroviruses, following incubation with human PBMCs crude extract [24,25,26]; truncated phosphonated azanucleosides 2 are able to inhibit HIV and HTLV-1 viruses at concentration in the nanomolar range [27]; truncated phosphonated N,O-psiconucleosides 3 inhibit HIV in vitro infection with low or absent cytotoxicity (Figure 2) [28].
Figure 2.
Phosphonated N,O-nucleosides.
Figure 2.
Phosphonated N,O-nucleosides.

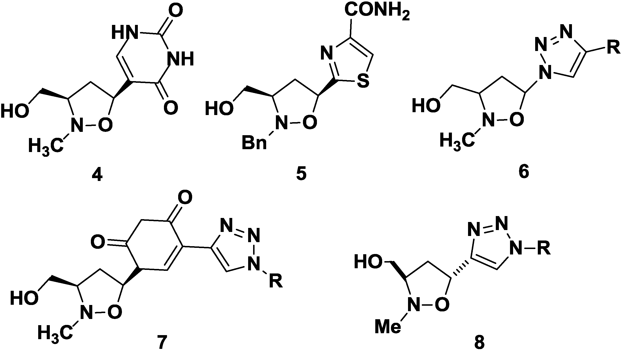
New base-modified N,O-nucleosides have been also synthesized. N,O-pseudouridine 4 [29] and N,O-tiazofurin 5 [30] are characterized by a C-C bond between the isoxazolidine and the heterocyclic systems.
Recently, 1,2,3-triazolyl N,O-nucleosides have been designed: 3-hydroxymethyl-5-(1H-1,2,3-triazol)isoxazolidine 6 are able to inhibit proliferation of follicular and anaplastic human thyroid cancer cell lines, with IC50 values ranging from 3.87 to 8.76 mM (Figure 3) [31]. In the same context, novel 1,2,3-triazole-appended N,O-nucleoside analogs 7 were developed [32]: some of these compounds show a good anticancer activity against the follicular (FTC-133), the anaplastic (8305C) human thyroid cancer cell lines, and especially on the U87MG human primary glioblastoma cell line (Figure 3).
Figure 3.
Examples of N,O-Nucleosides.
Figure 3.
Examples of N,O-Nucleosides.

According to these promising results, we have developed a novel series of C-nucleosides featured by the presence of a 1,2,3-triazole ring, linked to an isoxazolidine system, as mimetic of the pyrimidine nucleobases. We report in this paper the synthesis of 5-(1H-1,2,3-triazol-4-yl)isoxazolidines 8 and their biological activities as antiviral and/or antitumoral agents.
2. Results and Discussion
C-Vinyl triazoles 12a–g have been prepared according to Scheme 1 [33]. Thus, 3-butyn-1-ol 10 was reacted with a variety of azides 9a–g, by click chemistry reactions, performed in H2O/tert-BuOH (1:1) in the presence of sodium ascorbate, copper(II) sulfate and TEA at room temperature. The obtained triazole derivatives have been tosylated and then converted into vinyl triazoles 12a–g by reaction with potassium tert-butoxide in tert-butanol (78%–90% yields).
Scheme 1.
Synthesis of C-Vinyl triazoles 12a–g.
Scheme 1.
Synthesis of C-Vinyl triazoles 12a–g.

Reagents and conditions: (a) CuSO4·5H2O, sodium ascorbate, TEA, 4 h, rt; (b) tosyl chloride, TEA, CH2Cl2, rt, 12 h; (c) t-BuOK, t-BuOH, 40 °C, 12 h.
The 1,3-dipolar cycloaddition of 1-substituted-4-vinyl-1,2,3-triazoles 12a–g with C-[(tert-butyldiphenylsilyl)oxy]-N-methylnitrone 13 [34,35], at 150 W, 80 °C for 2 h in CHCl3, proceeded with a good yield and a complete regioselectivity to give a mixture of trans/cis isoxazolidines 14a–g and 15a–g in a 1:1.3 relative ratio (global yield 80%–85%). Removal of the TBDPS protecting group was accomplished under standard conditions, by treating the diastereomeric mixture with TBAF in THF, to afford the triazolyl nucleosides 16a–f and 17a–f, which were separated by silica gel chromatography (Scheme 2, Table 1).
The diastereomeric ratio of the products was determined by 1H NMR spectroscopy of the crude reaction mixture, whereas the relative configuration was assigned by NOEDS spectra. In particular, in the cis derivative 17a, chosen as model compound, a positive NOE effect observed for H-4' and H-5'b (the downfield resonance of protons at C-5', 2.91 ppm) upon irradiation of H-1'(δ = 5.25 ppm), is clearly indicative of their cis relationship. Analogously, irradiation of H-4'(δ = 3.25 ppm) in the same compound gives rise to an enhancement in the signals corresponding to H-1' and H-5'b (δ = 5.25 and 2.91 ppm, respectively). On the contrary, no NOE effect was detected between H-4' and H-1' in compound 16a.
The absence of cis/trans diastereoselectivity can be rationalized by assuming that the E-endo attack of the dipolarophile on the nitrone, which leads to cis adducts, competes efficiently with the E-exo attack, the preferred reaction pathway (steric control) leading to trans adducts, because of secondary orbital interactions exerted by the triazole ring. This behavior is also in agreement with literature data [36].
Scheme 2.
Synthesis of isoxazolidinyl-triazoles 16a–g and 17a–g by 1,3-dipolar cycloaddition.
Scheme 2.
Synthesis of isoxazolidinyl-triazoles 16a–g and 17a–g by 1,3-dipolar cycloaddition.

Reagents and conditions: (a) CHCl3, 150 W, 80 °C, 2 h, 85%; (b) TBAF, THF, r.t., 4–5 h, global yield 93%–96% ratio trans/cis 1:1.3 or 1:1.
| R | Vinyl-Triazole | Yield % | Product | Ratio trans:cis | Yield % a |
|---|---|---|---|---|---|
![]() | 12a | 88 | 16a 17a | 1:1.3 | 92 |
![]() | 12b | 85 | 16b 17b | 1:1.3 | 94 |
![]() | 12c | 78 | 16c 17c | 1:1.3 | 93 |
![]() | 12d | 82 | 16d 17d | 1:1 | 93 |
![]() | 12e | 85 | 16e 17e | 1:1.3 | 93 |
![]() | 12f | 81 | 16f 17f | 1:1.3 | 95 |
![]() | 12g | 90 | 16g 17g | 1:1 | 96 |
a Combined yield.
3. Experimental Section
3.1. General Information
Solvents and reagents were used as received from commercial sources. Melting points were determined with a Kofler apparatus (Fisher Scientific, Loughborough, UK). Elemental analyses were performed with a Perkin–Elmer elemental analyzer (PerkinElmer, Waltham, MA, USA). NMR spectra (1H-NMR recorded at 500 MHz, 13C-NMR recorded at 125 MHz) were obtained with a Varian instrument (Agilent Technologies, Palo Alto, CA, USA), and data are reported in ppm relative to tetramethylsilane. Thin-layer chromatographic separations were carried out on Merck silica gel 60-F254 precoated aluminum plates (Merk, Darmstadt, Germany). Flash chromatography was carried out using Merck silica gel (200–400 mesh). Preparative separations were carried out using an Büchi C-601 MPLC instrument (BUCHI Italia S.r.l., Milano, Italy) using Merck silica gel 0.040–0.063 mm, and the eluting solvents were delivered by a pump at the flow rate of 3.5–7.0 mL/min. C-[(tert-Butyldiphenylsilyl)oxy]-N-methyl nitrone was prepared according to described procedures [34,35]. Benzyl/alkyl and aromatic azides were synthesized according to literature procedures [32].
3.2. General 1,3-Dipolar Cycloaddition Procedure
A solution of 12a (0.50 g, 2.92 mmol) and nitrone 13 (1.10 g, 3.50 mmol) in CHCl3 (5 mL) was put in a sealed tube and irradiated under microwave conditions at 150 W, 80 °C, for 2 h. The removal of the solvent in vacuo afforded a crude material which, after flash chromatography purification by using as eluent a mixture of cyclohexane/ethyl acetate 7:3, gave the unseparable mixture (trans/cis) of compound 14a and 15a, as yellow oil, that was used for the next reaction, yield 1.24 g (85%). The 1H-NMR spectrum of the crude reaction mixture shows the presence of trans and cis isomers in 1:1.3 ratio, respectively. Compounds 14b–g and 15b–g were prepared by the 1,3-dipolar cycloaddition procedure in 80%–85% yield as yellow oil and then used for the next reaction.
3.3. General Desilylation of the Hydroxymethyl Group Procedure: Synthesis of 16 and 17
A solution of compounds 14a and 15a (1.24 g, 2.49 mmol) and TBAF (0.90 mL, 3.73 mmol) in freshly distilled THF (30 mL) was stirred until desilylation was completed (TLC, 4–5 h). Volatiles were flash evaporated, and the residue was purified by MPLC (CH2Cl2/MeOH, 98:2) to afford 17a–g first eluted isomer (trans) and 16a–g second eluted isomer (cis) in 92% global yield.
((3RS,5RS)-2-Methyl-5-(1-phenyl-1H-1,2,3-triazol-4-yl)isoxazolidin-3-yl) methanol (16a): White solid, 52% yield, mp = 57–59 °C. 1H-NMR (CDCl3): δ = 8.00 (s, 1H), 7.70 (d, J = 7.7 Hz, 2H), 7.50 (t, J = 7.8 Hz, 2H), 7.42 (t, J = 7.4 Hz, 1H), 5.52 (dd, J = 8.5, 6.6 Hz, 1H), 3.66–3.52 (m, 2H), 3.31–3.19 (m, 1H), 2.94 (dt, J = 12.8, 8.5 Hz, 2H), 2.81 (s, 3H), 2.36 (ddd, J = 12.8, 6.6, 4.8, 1H). 13C-NMR (CDCl3): δ = 148.50, 137.07, 129.86, 128.95, 120.66, 119.84, 71.06, 69.53, 63.42, 44.94, 36.62; Anal. Calcd for C13H16N4O2: C, 59.99; H, 6.20; N, 21.52; found C, 60.04; H, 6.27; N, 21.60.
((3RS,5SR)-2-Methyl-5-(1-phenyl-1H-1,2,3-triazol-4-yl)isoxazolidin-3-yl) methanol (17a): White solid, 40% yield, mp = 100–102 °C. 1H-NMR (CDCl3): δ = 7.97 (s, 1H), 7.71 (d, J = 7.8 Hz, 2H), 7.51 (t, J = 7.8 Hz, 2H), 7.43 (t, J = 7.4 Hz, 1H), 5.25 (t, J = 8.0 Hz, 1H), 3.68 (ddd, J = 17.2, 11.4, 4.8 Hz, 2H), 3.25–3.18 (m, 1H), 2.98–2.85 (m, 1H), 2.83 (s, 3H), 2.62 (ddd, J = 12.7, 8.0, 5.0 Hz, 1H). 13C-NMR (CDCl3): δ = 148.15, 137.06, 129.89, 128.99, 120.72, 120.49, 72.39, 69.36, 62.35, 45.70, 36.78; Anal. Calcd for C13H16N4O2: C, 59.99; H, 6.20; N, 21.52; found C, 60.08; H, 6.26; N, 21.48.
((3RS,5RS)-5-(1-Benzyl-1H-1,2,3-triazol-4-yl)-2-methylisoxazolidin-3-yl) methanol (16b): Compound 16b was prepared by the general desilylation procedure in 53.1% yield as yellow oil. 1H-NMR (CDCl3): δ = 7.46 (s, 1H), 7.38–7.30 (m, 3H), 7.26–7.23 (m, 2H), 5.51–5.43 (m, 2H), 5.40 (dd, J = 8.2, 7.0 Hz, 1H), 3.55–3.46 (m, 2H), 3.23–3.14 (m, 1H), 2.84 (dt, J = 12.8, 8.4 Hz, 1H), 2.74 (s, 3H), 2.26 (ddd, J = 12.8, 6.7, 4.7, 1H), 2.15 (bs, 1H). 13C-NMR (CDCl3): δ = 147.87, 134.48, 129.21, 128.88, 128.24, 121.55, 71.00, 69.48, 63.37, 54.32, 44.90, 36.44; Anal. Calcd for C14H18N4O2: C, 61.30; H, 6.61; N, 20.42; found C, 61.36; H, 6.67; N, 20.45.
((3RS,5SR)-5-(1-Benzyl-1H-1,2,3-triazol-4-yl)-2-methylisoxazolidin-3-yl) methanol (17b): Compound 17b was prepared by the general desilylation procedure in 40.9% yield as white solid, mp = 117–119 °C. 1H-NMR (CDCl3): δ = 7.43 (s, 1H), 7.39–7.33 (m, 3H), 7.28–7.24 (m, 2H), 5.54–5.44 (m, 2H), 5.12 (t, J = 7.9 Hz, 1H), 3.63 (ddd, J = 17.2, 11.4, 4.8, 2H), 3.10–3.18 (m, 1H), 2.82 (dt, J = 12.7, 8.3, 1H), 2.76 (s, 3H), 2.52 (ddd, J = 12.7, 7.9, 5.0, 1H). 13C-NMR (CDCl3): δ = 147.72, 134.52, 129.24, 128.92, 128.26, 122.10, 72.35, 69.28, 62.31, 54.31, 45.55, 36.77; Anal. Calcd for C14H18N4O2: C, 61.30; H, 6.61; N, 20.42; found C, 61.38; H, 6.68; N, 20.47.
((3RS,5RS)-2-Methyl-5-(1-(pyridin-2-ylmethyl)-1H-1,2,3-triazol-4-yl) isoxazolidin-3-yl)methanol (16c): Compound 16c was prepared by the general desilylation procedure in 52.6% yield as yellow oil. 1H-NMR (CDCl3): δ = 7.71 (s, 1H), 7.65 (td, J = 7.8, 1.7 Hz, 1H), 7.23 (dd, J = 7.0, 5.1 Hz, 1H), 7.16 (d, J = 7.8 Hz, 1H), 5.65–5.54 (m, 2H), 5.41 (dd, J = 8.5, 6.8, 1H), 3.58–3.48 (m, 2H), 3.23–3.15 (m, 1H), 2.84 (dt, J = 12.8, 8.5, 1H), 2.74 (s, 3H), 2.39 (bs, 1H), 2.28 (ddd, J = 12.8, 6.5, 4.8 Hz, 1H). 13C-NMR (CDCl3): δ = 154.31, 149.82, 147.92, 137.49, 123.55, 122.58, 122.37, 70.93, 69.50, 63.32, 55.68, 44.86, 36.42; Anal. Calcd for C13H17N5O2: C, 56.71; H, 6.22; N, 25.44; found C, 56.76; H, 6.27; N, 25.48.
((3RS,5SR)-2-Methyl-5-(1-(pyridin-2-ylmethyl)-1H-1,2,3-triazol-4-yl) isoxazolidin-3-yl)methanol (17c): Compound 17c was prepared by the general desilylation procedure in 40.4% yield as yellow solid, mp = 76–78 °C. 1H-NMR (CDCl3): δ = 8.66–8.56 (m, 1H), 7.72 (s, 1H), 7.70 (dt, J = 7.7, 1.7 Hz, 1H), 7.33–7.26 (m, 1H), 7.23 (d, J = 7.8 Hz, 1H), 5.73–5.59 (m, 2H), 5.18 (t, J = 7.8 Hz, 1H), 3.66 (ddd, J = 17.2, 11.4, 4.8 Hz, 2H), 3.17 (s, 1H), 2.93–2.81 (m, 1H), 2.80 (s, 3H), 2.62–2.52 (m, 1H). 13C-NMR (CDCl3): δ = 154.31, 149.82, 137.49, 123.55, 122.58, 122.37, 70.93, 69.50, 63.32, 55.68, 44.86, 36.42; Anal. Calcd for C13H17N5O2: C, 56.71; H, 6.22; N, 25.44; found C, 56.78; H, 6.30; N, 25.50.
((3RS,5RS)-5-(1-(4-Chloro-3-(trifluoromethyl)phenyl)-1H-1,2,3-triazol-4-yl)-2-methyl isoxazolidin-3-yl)methanol (16d): Compound 16d was prepared by the general desilylation procedure in 46.5% yield as yellow solid, mp = 94–96 °C. 1H-NMR (CDCl3): δ = 8.07 (s, 1H), 8.06 (d, J = 2.6 Hz, 1H), 7.86 (dd, J = 8.7, 2.6 Hz, 1H), 7.65 (d, J = 8.7 Hz, 1H), 5.49 (dd, J=8.7, 6.3 Hz, 1H), 3.58 (d, J = 5.7 Hz, 2H), 3.26–3.18 (m, 1H), 2.94 (dt, J = 12.8, 8.7, 1H), 2.79 (s, 3H), 2.35 (ddd, J = 12.8, 6.3, 4.9, 1H). 13C-NMR (CDCl3): δ = 149.50, 135.51, 133.11, 132.57, 130.06 (q, J = 32.4 Hz), 124.38, 123.24, 121.07, 119.73, 119.64 (q, J = 5.5 Hz), 70.94, 69.55, 63.25, 44.92, 36.78, 29.78; Anal. Calcd for C14H14ClF3N4O2: C, 46.36; H, 3.89; N, 15.45; found C, 46.41; H, 3.93; N, 15.48.
((3RS,5SR)-5-(1-(4-Chloro-3-(trifluoromethyl)phenyl)-1H-1,2,3-triazol-4-yl)-2-methyl isoxazolidin-3-yl)methanol (17d): Compound 17d was prepared by the general desilylation procedure in 46.5% yield as yellow thick oil. 1H-NMR (CDCl3): δ = 8.08 (d, J = 2.5 Hz, 1H), 8.00 (s, 1H), 7.89 (dd, J = 8.6, 2.5 Hz, 1H), 7.69 (d, J = 8.6 Hz, 1H), 5.26 (t, J = 7.9, 1H), 3.69 (ddd, J=17.1, 11.4, 4.7, 2H), 3.25–3.18 (s, 1H), 2.90 (dt, J = 12.8, 8.0, 1H), 2.84 (s, 3H), 2.66 (ddd, J = 12.8, 8.0, 5.0, 1H). 13C-NMR (CDCl3): δ = 149.02, 135.55, 134.94, 133.22, 132.77, 130.11, 127.85, 124.51, 119.77 (q, J = 5.3), 72.29, 69.31, 62.28, 45.62, 36.84; Anal. Calcd for C14H14ClF3N4O2: C, 46.36; H, 3.89; N, 15.45; found C, 46.40; H, 3.95; N, 15.50.
((3RS,5RS)-5-(1-(4-Methoxyphenyl)-1H-1,2,3-triazol-4-yl)-2-methylisoxazolidin -3-yl)methanol (16e): Compound 16e was prepared by the general desilylation procedure in 52.6% yield as white solid, mp = 57–59 °C. 1H-NMR (CDCl3): δ = 7.91 (s, 1H), 7.56 (dd, J =8.9, 1.3 Hz, 2H), 6.96 (dd, J = 8.9, 1.3 Hz, 2H), 5.48 (dd, J = 8.3, 6.8 Hz, 1H), 3.82 (s, H), 3.62–3.53 (m, 2H), 3.25–3.18 (m, 1H), 2.94–2.85 (m, 1H), 2.78 (s, 3H), 2.37–2.29 (m, 1H). 13C-NMR (CDCl3): δ = 159.89, 148.21, 130.45, 122.21, 120.01, 114.81, 70.99, 69.53, 63.38, 55.67, 44.91, 36.64; Anal. Calcd for C14H18N4O3: C, 57.92; H, 6.25; N, 19.30; found C, 57.96; H, 6.28; N, 19.27.
((3RS,5SR)-5-(1-(4-Methoxyphenyl)-1H-1,2,3-triazol-4-yl)-2-methyl isoxazolidin-3-yl)methanol (17e): Compound 17e was prepared by the general desilylation procedure in 40.4% yield as white solid, mp = 103–105 °C. 1H-NMR (CDCl3): δ = 7.88 (s, 1H), 7.60 (d, J = 8.9 Hz, 2H), 7.00 (d, J = 8.9 Hz, 2H), 5.24 (t, J = 7.8 Hz, 1H), 3.85 (s, 3H), 3.67 (ddd, J=17.1, 11.4, 4.8 Hz, 2H), 3.22–3.15 (m, 1H), 2.97–2.86 (m, 1H), 2.82 (s, 3H), 2.76 (bs, 1H), 2.60 (ddd, J = 12.7, 7.9, 5.0 Hz, 1H). 13C-NMR (CDCl3): δ = 160.00, 147.89, 130.51, 122.36, 120.66, 114.89, 72.39, 69.35, 55.74, 45.68, 36.79; Anal. Calcd for C14H18N4O3: C, 57.92; H, 6.25; N, 19.30; found C, 57.99; H, 6.30; N, 19.33.
((3RS,5RS)-5-(1-(4-Fluorophenyl)-1H-1,2,3-triazol-4-yl)-2-methylisoxazolidin-3-yl)methanol (16f): Compound 16f was prepared by the general desilylation procedure in 53.7% yield as white solid, mp = 68–70 °C. 1H-NMR (CDCl3): δ = 7.96 (s, 1H), 7.71–7.64 (m, 2H), 7.20 (t, J = 8.5 Hz, 2H), 5.51 (dd, J = 8.5, 6.6 Hz, 1H), 3.58 (d, J = 5.7 Hz, 2H), 3.31–3.18 (m, 1H), 2.94 (dt, J = 12.8, 8.5 Hz, 1H), 2.80 (s, 3H), 2.36 (ddd, J = 12.8, 6.2, 4.9, 1H). 13C-NMR (CDCl3): δ = 163.56, 161.57, 148.73, 133.37, 122.65 (d, J = 8.7 Hz), 120.00, 116.84 (d, J = 23.2 Hz), 71.04, 69.51, 63.38, 44.93, 36.65; Anal. Calcd for C13H15FN4O2: C, 56.11; H, 5.43; N, 20.13; found C, 56.14; H, 5.49; N, 20.17.
((3RS,5SR)-5-(1-(4-Fluorophenyl)-1H-1,2,3-triazol-4-yl)-2-methylisoxazolidin-3-yl)methanol (17f): Compound 17f was prepared by the general desilylation procedure in 41.3% yield as white solid, mp = 102–104 °C. 1H-NMR (CDCl3): δ = 7.93 (s, J = 1.0, 1H), 7.73–7.63 (m, 2H), 7.24–7.14 (m, 2H), 5.24 (t, J = 7.8 Hz, 1H), 3.68 (ddd, J = 17.2, 11.5, 4.8 Hz, 2H), 3.24–3.17 (m, 1H), 2.97–2.86 (m, 1H), 2.82 (s, 3H), 2.66–2.56 (m, 1H). 13C-NMR (CDCl3): δ = 163.58, 161.59, 148.26, 133.34, 122.70 (d, J = 8.5 Hz), 120.67, 116.86 (d, J = 23.2 Hz), 72.30, 69.38, 62.32, 45.68, 36.79; Anal. Calcd for C13H15FN4O2: C, 56.11; H, 5.43; N, 20.13; found C, 56.15; H, 5.47; N, 20.19.
((3RS,5RS)-2-Methyl-5-(1-(naphthalen-2-ylmethyl)-1H-1,2,3-triazol-4-yl) isoxazolidin-3-yl)methanol (16g): Compound 16g was prepared by the general desilylation procedure in 48.0% yield as white solid, mp = 95–97 °C. 1H-NMR (CDCl3): δ = 7.83–7.80 (m, 3H), 7.74 (s, 1H), 7.51 (dd, J = 6.2, 3.3 Hz, 2H), 7.48 (s, 1H), 7.33 (dd, J = 8.4, 1.4 Hz, 1H), 5.70–5.56 (m, 2H), 5.41 (dd, J = 8.3, 7.0 Hz, 1H), 3.51 (d, J = 6.2 Hz, 2H), 3.21–3.17 (m, 1H), 2.84 (dt, J = 12.8, 8.3 Hz, 1H), 2.74 (s, 3H), 2.31–2.22 (m, 1H), 1.91 (bs, 1H). 13C-NMR (CDCl3): δ = 148.00, 133.32, 131.83, 129.32, 128.07, 127.90, 127.67, 126.87, 125.51, 71.06, 69.44, 63.40, 54.57, 44.89, 36.40; Anal. Calcd for C18H20N4O2: C, 66.65; H, 6.21; N, 17.27; found C, 66.68; H, 6.25; N, 17.30.
((3RS,5RS)-2-Methyl-5-(1-(naphthalen-2-ylmethyl)-1H-1,2,3-triazol-4-yl) isoxazolidin-3-yl)methanol (17g): Compound 17g was prepared by the general desilylation procedure in 48.0% yield as white solid, mp = 115–117 °C. 1H-NMR (CDCl3): δ = 7.88–7.79 (m, 3H), 7.74 (s, J = 6.8 Hz, 1H), 7.55–7.48 (m, 2H), 7.46 (s, 1H), 7.34 (d, J = 8.3 Hz, 1H), 5.72–5.60 (m, 2H), 5.12 (t, J = 7.9 Hz, 1H), 3.62 (ddd, J = 17.2, 11.5, 4.8, 2H), 3.08–3.16 (m, 1H), 2.90–2.76 (m, 1H), 2.75 (s, 3H), 2.56–2.47 (m, 1H). 13C-NMR (CDCl3): δ = 147.79, 133.29, 131.85, 129.29, 128.03, 127.89, 127.62, 126.87, 126.84, 125.49, 122.15, 72.35, 69.27, 62.28, 54.50, 45.54, 36.80; Anal. Calcd for C18H20N4O2: C, 66.65; H, 6.21; N, 17.27; found C, 66.70; H, 6.27; N, 17.32.
3.4. Biological Tests
3.4.2. Antiproliferative Activity
The antiproliferative activity of all the synthesized C-Nucleosides was evaluated. An antiproliferative effect was observed for compounds 17a and 17b, while other derivatives show a IC50 in the range 150–200 μM. In particular, as shown in Figure 4A and Figure 5A cell culture incubation with increasing concentration of 17a and 17b, ranging from 1 µM to 100 µM for 24, 48 and 72 h, reduced the proliferation in all the cancer cell lines with a similar trend.
Figure 4.
Compound 17a reduces cell proliferation and induce LDH release. HepG2, HT-29 and SH-SY5Y cells were exposed to increased concentration of 17a compound for 24, 48 and 72 h. (A) Proliferation rate assessed by BrdU assay. (B) Cytotoxic effect assessed in terms of LDH release after 24 h of exposure. Each value is the mean ± S.E.M. of three experiments performed eight times (BrdU) or in triplicate (LDH) and repeated three different times. * p < 0.05 vs. ctrl, ** p < 0.01 vs. ctrl, *** p < 0.001 vs. ctrl.
Figure 4.
Compound 17a reduces cell proliferation and induce LDH release. HepG2, HT-29 and SH-SY5Y cells were exposed to increased concentration of 17a compound for 24, 48 and 72 h. (A) Proliferation rate assessed by BrdU assay. (B) Cytotoxic effect assessed in terms of LDH release after 24 h of exposure. Each value is the mean ± S.E.M. of three experiments performed eight times (BrdU) or in triplicate (LDH) and repeated three different times. * p < 0.05 vs. ctrl, ** p < 0.01 vs. ctrl, *** p < 0.001 vs. ctrl.

In particular, data of the BrdU assay shows that the growth inhibitory effect induced by 17a reaches the 50% in both HepG2 and HT-29 cells and increases up to 56% in the SH-SY5Y cell line (p < 0.001 vs. control) after 72 h of incubation at a 100 µM concentration. Reduction of cell proliferation was also observed when the cells were exposed for 48 (p < 0.001 vs. control) and 24 hours (p < 0.01 vs. control in HepG2 and HT-29 cells and p < 0.001 in SH-SY5Y cell line; Figure 4A) to 100 µM concentration of the compound 17a.
Lesser antiproliferative effect was observed treating the cells with compound 17a at concentrations of 50 and 10 µM (expecially for longer time of exposure). Similar results were obtained by the compound 17b (56% of cell growth inhibition for the HepG2, 62% for the HT-29 and the SH-SY5Y cell lines at the 100 µM concentration for 72 h; Figure 5A). Results of the BrdU assay show very close alignment with those of MTT test performed after 24, 48 and 72 h of incubation with both 17a and 17b (see Supplementary Materials Figures S1A and S2A).
Figure 5.
Compound 17b inhibit cell growth and determine LDH release. (A) Proliferation rate assessed by BrdU assay after 24–72 h of treatment. (B) Cytotoxic activities evaluated by the test of LDH after 24 h of incubation. Each value is the mean ± S.E.M. of three experiments performed in eight times (BrdU) or in triplicate (LDH) and repeated three different times. * p < 0.05 vs. ctrl, ** p < 0.01 vs. ctrl, *** p < 0.001 vs. ctrl.
Figure 5.
Compound 17b inhibit cell growth and determine LDH release. (A) Proliferation rate assessed by BrdU assay after 24–72 h of treatment. (B) Cytotoxic activities evaluated by the test of LDH after 24 h of incubation. Each value is the mean ± S.E.M. of three experiments performed in eight times (BrdU) or in triplicate (LDH) and repeated three different times. * p < 0.05 vs. ctrl, ** p < 0.01 vs. ctrl, *** p < 0.001 vs. ctrl.

3.4.3. Cytoxicity Evaluation
The cytotoxic effect induced by 17a and 17b was evaluated through either LDH and trypan blue dye exclusion assays. Figure 4B and Figure 5B show that both 17a and 17b caused increase of the LDH release at 50 and 100 µM concentration in all the investigated cell lines. Furthermore, LDH release was accompanied by a significant increase of cell death, as detected by the trypan blue test (see Supplementary Materials Figures S1B and S2B), underlying the cytotoxic activity of the compounds 17a and 17b.
3.4.4. Cell Culture and Treatments
HepG2 (hepatocellular carcinoma), HT-29 (colorectal adenocarcinoma) and SH-SY5Y (neuroblastoma) cells were obtained originally from ATCC (Rockville, MD, USA). These cell lines, maintained in RPMI supplemented with 10% heat-inactivated fetal bovine serum, 1 mM sodium pyruvate, 2 mM glutamine, penicillin/streptomycin (100 units/mL and 100 µg/mL, respectively), were grown at 37 °C and 5% CO2 conditions. All the reagents for cell cultures were from Gibco (Life Technologies, Monza, Italy). For biological investigations, 100 mM stock solutions were prepared dissolving the tested compounds in dimethyl sulfoxide (DMSO). Small aliquots were stored at −20 °C and were diluted in culture media to the final concentration, ranging from 1 to 100 µM, just prior the use. The highest DMSO concentration used in this study (0.1%) did not have any appreciable effect on cell proliferation or cytotoxicity.
3.4.5. Antiproliferative Activity
The antiproliferative activity of all the synthesized compounds was evaluated by either BrdU and MTT assays. For the first assay, the cells were seeded in 96-well plates at a density of 10 × 104 cell/well (HT-29 cells and SH-SY5Y) and 12 × 104 (HepG2) and allowed to stand overnight. Then, the culture medium was replaced with clean media containing the tested compounds at a concentrations ranging from 1 to 100 µM or with media with equivalent dilutions of DMSO (control cultures). After 24, 48 or 72 h incubation, BrdU assay was performed as described [37]. BrdU is a uridine derivative, structural analog of thymidine, which can be used as a marker for proliferation, because it is incorporated into DNA during the synthesis-phase of the cell cycle as a substitute for thymidine. Cells marked by BrdU incorporation may be detected after addition of goat anti-mouse IgG-peroxidase conjugated secondary antibody. Results are expressed as percentages of the absorbance measured in control cells.
Cell growth was also detected by the MTT assay as reported with modification [38]. The cells were seeded onto 96-well plates at a density of 5 × 103 cells/well (HT-29 cells and SH-SY5Y) or 6 × 103 cells/well (HepG2). The following day, cells were treated with the test compounds as described above. At the end of the exposure time, the plates were centrifuged at 1200 rpm for 10 min, the supernatants were replaced with clean medium without phenol red containing 0.5 mg/mL of 3-(4,5-dimethylthiazole-2-yl)-2,5-diphenyltetrazolium bromide (MTT; Sigma-Aldrich, Milan, Italy), and the plates were returned in the incubator for 4 h. Then, the solutions were removed from the wells and crystals of formazan (MTT metabolic product) were solubilised by 100 µL HCl/isopropanol 0.1 N lysis buffer. The latter were spectrophotometrically quantified at a wavelength of 595 nm (iMark™ microplate reader, Bio-Rad Laboratories, Milan, Italy). Results of the cell proliferation assays are expressed as percentages in untreated cultures. The tests were performed in triplicate (BrdU) or eight times (MTT) and repeated three different times.
3.4.6. Detection of Cell Viability
Lactate dehydrogenase is a stable cytosolic enzyme which is released into the surrounding culture medium when the plasma membrane is damaged, and can be considered a marker of cytotoxicity. The released LDH can be quantified by a coupled enzymatic reaction. First, LDH catalyzes the conversion of lactate to pyruvate via reduction of NAD+ to NADH. Second, diaphorase uses NADH to reduce a tetrazolium salt to a red formazan product. Therefore, the level of formazan formation is directly proportional to the amount of released LDH in the medium. HepG2, HT-29 and SH-SY5Y cells were seeded in 96-well plates in a number of 15 × 103 cells/well. The following day, cells were incubated with the synthesized C-Nucleosides for 24 h. Then the LDH concentration was measured as reported [39] by using commercial LDH kit (CytoTox 96® Non-Radioactive Cytotoxicity Assay, Promega, Milan, Italy), according to the manufacturer’s protocol. LDH levels are extrapolated as the values detected in control cells, which are arbitrarily expressed as 1.
Cell viability in presence of the tested compounds was assessed also by the trypan blue dye (0.4% w/v) exclusion test [40] and cell death was reported as the percentage of stained (non-viable) vs. total cells counted. All the experiments were carried out in triplicate and repeated three times.
3.4.7. Statistical Analysis
Data were expressed as mean ± S.E.M. and statistically evaluated for differences using one-way analysis of variance (ANOVA), followed by Turkey-Kramer multiple comparisons test (GraphPAD Software for Science, GraphPad Software, Inc., La Jolla, CA, USA).
4. Conclusions
We report in this paper the synthesis of 5-(1H-1,2,3-triazol-4-yl)isoxazolidines, a novel series of C-nucleosides, featured by the presence of a 1,2,3-triazole ring linked to an isoxazolidine system, as mimetic of the pyrimidine nucleobases. The synthesized compounds have been evaluated for their ability to inhibit the replication of a variety of DNA and RNA viruses: unfortunately, no inhibitory activity against any virus was detected for the evaluated compounds. The antiproliferative activity of all the synthesized C-Nucleosides was also tested. An antiproliferative effect was observed for compounds 17a and 17b: the induced growth inhibitory effect reaches the 50% in HepG2 and HT-29 cells and increases up to 56% in the SH-SY5Y cell line (p < 0.001 vs. control) after 72 h of incubation at a 100 µM concentration.
Supplementary Materials
Supplementary materials can be accessed at: http://www.mdpi.com/1420-3049/20/04/5260/s1.
Acknowledgments
We gratefully acknowledge the Italian Ministry of Education, Universities, and Research (MIUR), the Universities of Messina and Catania, and the Interuniversity Consortium for Innovative Methodologies and Processes for Synthesis (CINMPIS) for partial financial support.
Author Contributions
SVG and RR, designed research; MN, SC, AG performed biological data; SVG, RR, CC, RM and MAC performed research and analyzed the data; SVG and RR wrote the paper. All authors read and approved the final manuscript.
Conflicts of Interest
The authors declare no conflict of interest.
References
- De Clercq, E. The history of antiretrovirals: Key discoveries over the past 25 years. Rev. Med. Virol 2009, 19, 287–299. [Google Scholar]
- De Clercq, E. Antiviral Drug Strategies; Wiley-VCH: Weinheim, Germany, 2011. [Google Scholar]
- Parker, W.B. Enzymology of Purine and Pyrimidine Antimetabolites Used in the Treatment of Cancer. Chem. Rev. 2009, 109, 2880–2893. [Google Scholar] [CrossRef] [PubMed]
- Vanek, V.; Budesinsky, M.; Rinnova, M.; Rosenberg, I. Prolinol-based nucleoside phosphonic acids: New isosteric conformationally flexible nucleotide analogues. Tetrahedron 2009, 65, 862–876. [Google Scholar] [CrossRef]
- Ishitsuka, H.; Shimma, N. Capecitabine Preclinical Studies: From Discovery to Translational Research. In Modified Nucleosides in Biochemistry, Biotechnology and Medicine; Herdewijn, P., Ed.; Wiley-VCH: Weinheim, Germany, 2008; pp. 587–600. [Google Scholar]
- Kumamoto, H.; Topalis, D.; Broggi, J.; Pradere, U.; Roi, V.; Berteina-Raboin, S.; Nolan, S.P.; Deville-Bonne, D.; Andrei, G.; Snoeck, R.; et al. Preparation of acyclo nucleoside phosphonate analogues based on cross-metathesis. Tetrahedron 2008, 64, 3517–3526. [Google Scholar]
- Jung, K.-H.; Marx, A. Synthesis of 4'-C-modified 2'-Deoxyribonucleoside Analogues and Oligonucleotides. Curr. Org. Chem. 2008, 12, 343–354. [Google Scholar] [CrossRef]
- Littler, E.; Zhou, X.-X. Deoxyribonucleic Acid Viruses: Antivirals for Herpesviruses and Hepatitis B Virus. In Comprehensive Medicinal Chemistry II; Taylor, J.B., Triggle, D.J., Eds.; Elsevier: Oxford UK, 2006; Volume 7, pp. 295–327. [Google Scholar]
- Thottassery, J.V.; Westbrook, L.; Someya, H.; Parker, W.B. c-Abl-independent p73 stabilization during gemcitabine- or 4'-thio-beta-d-arabinofuranosylcytosine-induced apoptosis in wild-type and p53-null colorectal cancer cells. Mol. Cancer Ther. 2006, 5, 400–410. [Google Scholar] [CrossRef] [PubMed]
- Stambasky, J.; Hocek, M.; Kocovsky, P. C-Nucleosides: Synthetic Strategies and Biological Applications. Chem. Rev. 2009, 109, 6729–6764. [Google Scholar] [CrossRef] [PubMed]
- Bzowska, A. Formycins and their Analogues: Purine Nucleoside Phosphorylase Inhibitors and Their Potential Application in Immunosuppression and Cancer. In Modified Nucleosides: in Biochemistry, Biotechnology and Medicine; Herdewijn, P., Ed.; Wiley-VCH: Weinheim, Germany, 2008; pp. 473–510. [Google Scholar]
- Desaulniers, J.P.; Chang, Y.C.; Aduri, R.; Abeysirigunawardena, S.C.; Santa Lucia, J.; Chow, C.S. Pseudouridines in rRNA helix 69 play a role in loop stacking interactions. Org. Biomol. Chem. 2008, 6, 3892–3895. [Google Scholar] [CrossRef] [PubMed]
- Matsuura, S.; Shiratori, O.; Katagiri, K. Antitumor activity of showdomycin. J. Antibiot. 1964, 17, 234–237. [Google Scholar] [PubMed]
- Nakagawa, Y.; Kano, H.; Tsukuda, Y.; Koyama, H. Structure of a new class of C-nucleoside antibiotic, showdomycin. Tetrahedron Lett. 1967, 42, 4105–4109. [Google Scholar] [CrossRef] [PubMed]
- Uehara, Y.I.; Rabinowicz, J. Showdomycin and its reactive moiety, maleimide. A comparison in selective toxicity and mechanism of action in vitro. Biochem. Pharmacol. 1980, 29, 2199–2204. [Google Scholar]
- Shaban, M.A., E; Nasr, A.Z. The Chemistry of C-Nucleosides and Their Analogs I: C-Nucleosides of Hetero Monocyclic Bases. Adv. Heterocycl. Chem. 1997, 68, 223–432. [Google Scholar]
- Sallam, M.A.E.; Luis, F.F.; Cassady, J.M. Studies on Epimeric-d-arabino-and-d-ribo-tetritol-1-yl-2-phenyl-2 H-1,2,3-triazoles. Synthesis and Anomeric Configuration of 4-(α- and β-d-Erythrofuranosyl)-2-phenyl-2 H-1,2,3-Triazole C-Nucleoside Analogs. Nucleos. Nucleot. 1998, 17, 769–783. [Google Scholar]
- Romeo, G.; Chiacchio, U.; Corsaro, A.; Merino, P. Chemical Synthesis of Heterocyclic−Sugar Nucleoside Analogues. Chem. Rev. 2010, 110, 3337–3370. [Google Scholar] [CrossRef] [PubMed]
- Romeo, G.; Giofré, S.V.; Piperno, A.; Romeo, R.; Chiacchio, M.A. Synthesis of N,O-homonucleosides with high conformational freedom. ARKIVOC 2009, viii, 168–176. [Google Scholar] [CrossRef]
- Romeo, R.; Giofrè, S.V.; Iaria, D.; Sciortino, M.T.; Ronsisvalle, S.; Chiacchio, M.A.; Scala, A. Synthesis of 5-Alkynyl Isoxazolidinyl Nucleosides. Eur. J. Org. Chem. 2011, 28, 5690–5695. [Google Scholar]
- Romeo, R.; Giofrè, S.V.; Macchi, B.; Balestrieri, E.; Mastino, A.; Merino, P.; Carnovale, C.; Romeo, G.; Chiacchio, U. Truncated Reverse Isoxazolidinyl Nucleosides: A New Class of Allosteric HIV-RT Inhibitors. ChemMedChem 2012, 7, 565–569. [Google Scholar] [CrossRef] [PubMed]
- Romeo, R.; Giofrè, S.V.; Garozzo, A.; Bisignano, B.; Corsaro, A.; Chiacchio, M.A. Synthesis and biological evaluation of furopyrimidine N,O-nucleosides. Bioorg. Med. Chem. 2013, 21, 5688–5693. [Google Scholar] [CrossRef] [PubMed]
- Chiacchio, U.; Rescifina, A.; Iannazzo, D.; Piperno, A.; Romeo, R.; Borrello, L.; Sciortino, M.T.; Balestrieri, E.; Macchi, B.; Mastino, A.; et al. Phosphonated Carbocyclic 2'-Oxa-3'-azanucleosides as New Antiretroviral Agents. J. Med. Chem. 2007, 50, 3747–3750. [Google Scholar]
- Chiacchio, U.; Balestrieri, E.; Macchi, B.; Iannazzo, D.; Piperno, A.; Rescifina, A.; Romeo, R.; Saglimbeni, M.; Sciortino, M.T.; Valveri, V.; et al. Synthesis of Phosphonated Carbocyclic 2'-Oxa-3'-aza-nucleosides: Novel Inhibitors of Reverse Transcriptase. J. Med. Chem. 2005, 48, 1389–1394. [Google Scholar]
- Chiacchio, U.; Iannazzo, D.; Piperno, A.; Romeo, R.; Romeo, G.; Rescifina, A.; Saglimbeni, M. Synthesis and biological evaluation of phosphonated carbocyclic 2'-oxa-3'-aza-nucleosides. Bioorg. Med. Chem. 2006, 14, 955–959. [Google Scholar] [CrossRef] [PubMed]
- Romeo, R.; Carnovale, C.; Giofrè, S.V.; Monciino, G.; Chiacchio, M.A.; Sanfilippo, C.; Macchi, B. Enantiomerically Pure Phosphonated Carbocyclic 2'-Oxa-3'-Azanucleosides: Synthesis and Biological Evaluation. Molecules 2014, 19, 14406–14416. [Google Scholar] [CrossRef] [PubMed]
- Piperno, A.; Giofrè, S.V.; Iannazzo, D.; Romeo, R.; Romeo, G.; Chiacchio, U.; Rescifina, A.; Piotrowska, D.G. Synthesis of C-4' Truncated Phosphonated Carbocyclic 2'-Oxa-3'-azanucleosides as Antiviral Agents. J. Org. Chem. 2010, 75, 2798–2805. [Google Scholar] [CrossRef] [PubMed]
- Romeo, R.; Carnovale, C.; Giofrè, S.V.; Romeo, G.; Macchi, B.; Frezza, C.; Merino-Merlo, F.; Pistarà, V.; Chiacchio, U. Truncated phosphonated C-1'-branched N,O-nucleosides: A new class of antiviral agents. Bioorg. Med. Chem. 2012, 20, 3652–3657. [Google Scholar] [CrossRef] [PubMed]
- Chiacchio, U.; Corsaro, A.; Mates, J.; Merino, P.; Piperno, A.; Rescifina, A.; Romeo, G.; Romeo, R.; Tejero, T. Isoxazolidine analogues of pseudouridine: A new class of modified nucleosides. Tetrahedron 2003, 59, 4733–4738. [Google Scholar] [CrossRef]
- Chiacchio, U.; Rescifina, A.; Saita, M.G.; Iannazzo, D.; Romeo, G.; Mates, J.A.; Tejero, T.; Merino, P. Zinc(II) triflate-controlled 1,3-dipolar cycloadditions of C-(2-thiazolyl)nitrones: application to the synthesis of a novel isoxazolidinyl analogue of tiazofurin. J. Org. Chem. 2005, 70, 8991–9001. [Google Scholar] [CrossRef] [PubMed]
- Romeo, R.; Giofrè, S.V.; Carnovale, C.; Campisi, A.; Parenti, R.; Bandini, L.; Chiacchio, M.A. Synthesis and Biological Evaluation of 3-Hydroxymethyl-5-(1H-1,2,3-Triazol) Isoxazolidines. Bioorg. Med. Chem. 2013, 21, 7929–7937. [Google Scholar] [CrossRef] [PubMed]
- Romeo, R.; Giofrè, S.V.; Carnovale, C.; Chiacchio, M.A.; Campisi, A.; Mancuso, R.; Cirmi, S.; Navarra, M. Synthesis and Biological Activity of Triazole-Appended N,O-Nucleosides. Eur. J. Org. Chem. 2014, 25, 5442–5447. [Google Scholar] [CrossRef]
- Nulwala, H.; Takizawa, K.; Odukale, A.; Anzar Khan, A.; Thibault, R.J.; Taft, B.R.; Lipshutz, B.H.; Hawker, C.J. Synthesis and Characterization of Isomeric Vinyl-1,2,3-triazole Materials by Azide−Alkyne Click Chemistry. Macromolecules 2009, 42, 6068–6074. [Google Scholar] [CrossRef]
- Iannazzo, D.; Piperno, A.; Pistarà, V.; Rescifina, A.; Romeo, R. Modified nucleosides. A general and diastereoselective approach to N,O-psiconucleosides. Tetrahedron 2002, 58, 581–587. [Google Scholar]
- Romeo, R.; Carnovale, C.; Giofrè, S.V.; Chiacchio, M.A.; Garozzo, A.; Amata, E.; Romeo, G.; Chiacchio, U. C-5'-Triazolyl-2'-oxa-3'-aza-4'a-carbanucleosides: Synthesis and biological evaluation. Beilstein J. Org. Chem. 2015, 11, 328–334. [Google Scholar] [CrossRef]
- Merino, P.; Revuelta, J.; Tejero, T.; Chiacchio, U.; Rescifina, A.; Romeo, G. A DFT study on the 1,3-dipolar cycloaddition reactions of C-(methoxycarbonyl)-N-methyl nitrone with methyl acrylate and vinyl acetate. Tetrahedron 2003, 59, 3581–3592. [Google Scholar] [CrossRef]
- Visalli, G.; Ferlazzo, N.; Cirmi, S.; Campiglia, P.; Gangemi, S.; Pietro, A.D.; Calapai, G.; Navarra, M. Bergamot juice extract inhibits proliferation by inducing apoptosis in human colon cancer cells. Anticancer Agents Med. Chem. 2014, 14, 1402–1413. [Google Scholar] [CrossRef] [PubMed]
- Navarra, M.; Celano, M.; Maiuolo, J.; Schenone, S.; Botta, M.; Angelucci, A.; Bramanti, P.; Russo, D. Antiproliferative and pro-apoptotic effects afforded by novel Src-kinase inhibitors in human neuroblastoma cells. BMC Cancer 2010, 10, 602. [Google Scholar] [CrossRef] [PubMed]
- Romeo, R.; Navarra, M.; Giofrè, S.V.; Carnovale, C.; Cirmi, S.; Lanza, G.; Chiacchio, M.A. Synthesis and biological activity of new arenediyne-linked isoxazolidines. Bioorg. Med. Chem. 2014, 22, 3379–3385. [Google Scholar] [CrossRef] [PubMed]
- Delle Monache, S.; Sanità, P.; Trapasso, E.; Ursino, M.R.; Dugo, P.; Russo, M.; Ferlazzo, N.; Calapai, G.; Angelucci, A.; Navarra, M. Mechanisms Underlying the Anti-Tumoral Effects of Citrus bergamia Juice. PLoS One 2013, 8, e61484. [Google Scholar] [CrossRef] [PubMed]
- Sample Availability: Samples of the compounds are available from the authors.
© 2015 by the authors. Licensee MDPI, Basel, Switzerland. This article is an open access article distributed under the terms and conditions of the Creative Commons Attribution license ( http://creativecommons.org/licenses/by/4.0/).






