Abstract
Synthetic approaches to macrosphelide derivatives, based on medicinal chemistry, are summarized. This review contains conventional medicinal chemistry approaches, combinatorial chemistry, fluorous tagging techniques and affinity chromatography preparation. In addition, advances in their apoptosis-inducing activities are also included.
1. Introduction
As the urgent demand for the development of new drugs increases, rapid innovations in medicinal chemistry, natural product isolation, chemical biology approaches and target protein identification techniques have taken place [1,2,3]. In particular, new therapeutic agents for cancer patients have been anticipated because most cancer cells are resistant to long-term therapy and are readily mobile through metastasis [4]. For this reason, tremendous efforts have been poured into discovering novel metastasis inhibitors and tumor cell growth inhibitors [5]. Recent research is also attempting to discover new chimeric agents that possess tumor metastasis, growth inhibitory activities and are non-toxic to normal cells [6,7]. The macrosphelides (MS) satisfy these requirements very well.
Since the first isolation of MS in 1995, this 16-membered macrolide has been of high interest to synthetic and medicinal chemists because of its non-toxicity and various biological activities ([8,9,10], Figure 1). MSA inhibits the adhesion of human leukemia HL-60 cells to human-umbilical-vein endothelial cells, shows no acute toxicity by i.p. injection into BDF1 mice at 200 mg/kg for 5 days, displays anticancer activity against lung metastasis of B16/BL6 melanoma in mice and even exhibits antimicrobial activity [8,11,12,13,14]. More importantly, MSB shows a strong in vivo immunosuppressant activity equipotent to that of rapamycin or cyclosporine, which are used clinically [15]. Based on these basic bioactivities, not only natural MS isomers [16], but also variety of MS derivatives have been synthesized to improve their activity and reveal undiscovered features [17]. In this review, a synthetic study to develop MS-related derivatives is discussed.
Figure 1.
Natural Macrosphelides.
Figure 1.
Natural Macrosphelides.

2. Results and Discussion
2.1. The First Unnatural Isomers of MS
The first derivatization of MS was carried out to determine the exact structure of MSB via oxidation of MSA, as shown in Scheme 1 [11,18]. After first isolation of MSA and B from Microsphaerosis FO5050, MSA was treated with pyridinium dichlorochromate (PDC) to oxidize the secondary hydroxyl group to determine the absolute structure of MSB. As expected, oxidation showed non-chemoselectivity, resulting in a low yield of MSB, along with 8-keto MS 14 and diketo-MS 15 in almost equal amounts. Although these two unnatural isomers weren’t synthesized for medicinal chemistry purposes, they were utilized for structure-activity relationship (SAR) studies and further derivatization afterward.
Scheme 1.
Oxidation of MSA to Other MS Analogs.
Scheme 1.
Oxidation of MSA to Other MS Analogs.

2.2. Combinatorial Chemistry of MS
In the early 2000s, resin-bound preparation of an MS-focused chemical library using the carbonylative cyclization route was utilized, as shown in Figure 2 [19]. Employing conventional synthesis, three fragments were prepared for combinatorial chemistry (combichem) of MS. To maximize substructure diversity, each fragment was modified at the chiral center or the substituent of an appropriate carbon in the structure. Fragment C contained eight isotypes depending on the chiral center, oxidation state or protection group.
Figure 2.
Fragments for the Combichem Approach of MS.
Figure 2.
Fragments for the Combichem Approach of MS.

Attachment of resin to fragment A commenced with a pyran formation reaction catalyzed by PPTS to form resin-bound fragment A 33. (Scheme 2) Then, the vinyl iodide 33 was treated with TBAF to liberate the free hydroxyl group, which was converted into ester 34 through a coupling reaction with fragment B. Pd(0)-mediated insertion of CO into the vinyl iodide moiety and the subsequent addition of fragment C produced diester 35 after PMB deprotection with DDQ [20]. The second Pd(0)-mediated carbonylative cyclization was then executed to produce MS isomers after acidic detachment of the resin. It was noteworthy that Pd(0)-mediated CO insertion created a new C-C bond in the ester, although the catalyst was slightly different. Another feature of this reaction is that the second CO insertion was used for macrocyclization of the 16-membered macrolide skeleton in excellent yield. Before this result, Yamaguchi macrolactonization was adopted for most cases of MS synthesis [21]. More important is that this cyclization was applied to a resin-bound substrate to prepare the MS-related chemical library. Employing this synthetic strategy, 122 MS isomers, including natural and unnatural ones, were prepared simultaneously.
Scheme 2.
Combichem Approach for MS Derivatives.
Scheme 2.
Combichem Approach for MS Derivatives.

2.3. Synthesis of Core Structure and Its Derivatization
An allylic oxidation strategy for a versatile synthesis of MS was also attempted [22]. The Nemoto group prepared a simple MS core skeleton 45 using a Horner-Emmons reaction/esterification route, as shown in Scheme 3. Hydroxybutyrate 37 was converted into aldehyde 38 via TBS protection and a semi-reduction sequence. The aldehyde 38 was then transformed into 40 through a Horner-Emmons reaction followed by deprotection. For the second homologation, a phosphonate 42 was prepared by esterification with phosphocarboxylic acid 41 to produce hydroxyester 43 after a Horner-Emmons reaction with aldehyde 38 and TBS deprotection. Finally, the core skeleton 45 was synthesized in excellent yield by esterification with 44/acidic treatment/Yamaguchi lactonization. Using the same protocol, the diastereomeric MS core 48 was also prepared as shown below.
Scheme 3.
Synthesis of the MS-Core Structure.
Scheme 3.
Synthesis of the MS-Core Structure.

These MS core isomers directly provided basic information on the structure-activity relationship (SAR) when compared to previously synthesized isomers [22]. MS core products all showed a slight inhibition effect on cell proliferation at low concentrations, while having a significant enhancement on the same cells at high concentrations. A cytotoxic effect of carbonylated MSB 2 and diketo-MS 15 was also observed at high concentrations, while MSA 1 didn’t display any cytotoxicity. It is thought that the carbonyl group, rather than the hydroxyl group at C14 or C8, may be connected to the cytotoxicity of MS (Figure 3).
Figure 3.
MS and Modified MS Core Skeleton.
Figure 3.
MS and Modified MS Core Skeleton.

More impressive results came with the apoptosis-inducing activity of the MS isomers. After collaboration with the Kondo Group [23], MSB 2 and diketo-MS 15 were found to induce mild apoptosis in human lymphoma U937 cells via the Fas/caspase-8-dependent pathway. This comparison might indicate that the 14-carbonyl group is crucial for programmed cell death. It was also reported that this apoptosis induction could be enhanced under mild hyperthermia conditions [24].
Scheme 4.
Direct Oxidation of the MS Core Skeleton.
Scheme 4.
Direct Oxidation of the MS Core Skeleton.

With the core structure of MS, allylic oxidation leading to the derivatization of MS was also attempted [25]. Because the X-ray structure of the MS core showed a complete shield from the β-face of C8, while a relatively open α-face at C14, it was anticipated that the C14 α-hydroxyl group would be introduced as a major product. (Scheme 4) Actually, when 45 was treated with SeO2 in refluxing dichloroethane, the expected oxidation product 3 (MSC) was obtained in 40% yield, together with di-oxidized product 1 (MSA), the C14 epimeric product 49 and an unidentified product 50. Similarly, epoxidation of a conjugated alkene also produced a β-epoxide as the major product, although the C6-C7 alkene was more reactive than the C12-C13 alkene. Employing this direct oxidation strategy, a variety of MS isomers could be easily prepared.
2.4. Modification of the MS Structure for Detailed SAR Studies
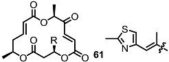
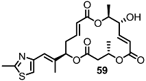
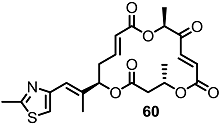
More dramatic advances were accomplished through preparation of chimeric molecules with an MS skeleton and epothilone side chain (Scheme 5) [26]. Inspired by epothilone’s extraordinary cytotoxicity to broad cancer cell lines and its 16-membered macrolide structure, just like MS, molecular design of the MS-containing thiazole side chain of epothilone was pursued to develop more potent MS derivatives than natural ones [27]. To validate this hypothesis, the known homoallylic alcohol 55 was esterified and deprotected to hydroxyester 56, which was converted into diester 58 through iterative esterification/TBS deprotection [28]. As illustrated in the previous synthesis of MSA, B and E, the macrolide framework was constructed using the ring-closing metathesis (RCM) route after acryloylation/RCM/MEM deprotection in good yield [29]. Finally, oxidation of the secondary hydroxyl group produced the desired ketone 60 [30]. Using the same protocol, a thiazole side chain could be successfully introduced at the C3 or C9 position.
Scheme 5.
Preparation of MS-Epothilone Hybrid Agents.
Scheme 5.
Preparation of MS-Epothilone Hybrid Agents.

The apoptosis-inducing activity of the chimeric agents was tested. [26] While diketo-MS 15 shows slight apoptosis-inducing activity, the hybrid molecule 60 exhibited significant apoptosis-inducing activity against the U937 cell line at a concentration of 1 μM. It is also impressive that hybrid 60 didn’t show necrosis at the same concentration. This dramatic and successful improvement of the intrinsic activity in MS has influenced further research into the medicinal chemistry and the development of related molecules.
Fascinated by these outstanding advances, mechanistic investigation of 60-induced apoptosis was also carried out through a collaboration of the Kondo and Nemoto Groups [31]. They demonstrated that 60 caused rapid ROS generation and mitochondrial dysfunction in U937 cells, triggering the mitochondria-dependent apoptosis pathway. They also showed that 60 is potent against human colon carcinoma (HCT116) and gastric cancer (ASG) cells, while leaving normal fibroblasts intact.
Trifluoromethylated derivatives were also prepared [32,33]. To diversify the electronic environment of the MS skeleton, a CF3 group was designed to replace the terminal CH3 group, as shown in Scheme 6 [34]. A CF3-substituted diol 63 was converted into benzoylated diol 65 via inversion of the chiral center [35]. After protection group exchange, TBS ether 67 was treated in three steps of TBS deprotection/Swern oxidation/Wittig olefination to produce the conjugated ester 69 in 82% yield. This common intermediate 69 was then transformed into carboxylic acid 70 and free alcohol 71 to provide dimeric ester 72 via esterification and MOM deprotection. Finally, an iterative esterification/deprotection/lactonization sequence resulted in CF3-substituted MS 74 in good yield. Instead of CF3-substituted alcohol 71, CH3-substituted alcohol 75 was also used to prepare mono-CF3-substituted MS 76, following the established 8-step route.
Scheme 6.
Preparation of CF3-substituted MS 74 and 76.
Scheme 6.
Preparation of CF3-substituted MS 74 and 76.

The ring size of MS was also changed to investigate the SAR thoroughly, as shown in Scheme 7 [36]. Known homoallylic alcohol 77 and carboxylic acid 78 were coupled to produce ester 79 after TBS deprotection [29]. A second esterification of 79 with carboxylic acid 57, followed by deprotection and acryloylation, produced acrylate 80. As previously reported, PMB deprotection and the RCM sequence produced MEM-protected MS derivative 81, which could be changed to the desired 15-membered lactone 82 in yield of 98%. The 15-membered MSB analog 84 was also prepared using the same synthetic procedure and TBDPS-protected starting material for practical reasons in large-scale synthesis.
Scheme 7.
MS Derivatives Possessing a 15-membered Macrolide Skeleton.
Scheme 7.
MS Derivatives Possessing a 15-membered Macrolide Skeleton.

Together with the ring-contracted derivatives, ring-enlarged molecules were also pursued [37]. (Scheme 8) The known synthetic intermediate 85 was esterified using carboxylic acid 86 or 87 and converted into the 18-membered macrolide 88 or 89 via PMB deprotection and RCM [29]. Acidic deprotection or oxidation followed by deprotection produced 90–93 in moderate yield.
Scheme 8.
Ring-enlarged MS Derivatives.
Scheme 8.
Ring-enlarged MS Derivatives.

The ring size was also modified at the O16-O4 moiety of the MS skeleton (Scheme 9). PMB-substituted alcohol 77 was converted into an advanced intermediate 95 via iterative esterification/deprotection sequence [29]. Then, the secondary hydroxyl group of 95 was esterified using sorbic acid to produce macrolactone 96 after the established deprotection/RCM route, although it produced an E/Z mixture in low yield. They were separated after final MEM deprotection.
Scheme 9.
Ring-enlarged MS Derivatives with the Lower Part Changed.
Scheme 9.
Ring-enlarged MS Derivatives with the Lower Part Changed.

The oxidation state of MS was also modified, as shown in Scheme 10 [37]. The known intermediate 98 was converted into versatile derivatives 99, 100 via selective functionalization. Simple acidic deprotection gave MSI itself, which could be oxidized to the diketone molecule 99. Compound 98 produced 100 or 12 by oxidation/deprotection or the protection group exchange/oxidation/deprotection sequence.
Scheme 10.
Synthesis of Dihydro Derivatives of MS.
Scheme 10.
Synthesis of Dihydro Derivatives of MS.

To elucidate the role of electron-deficient alkenes, hydrogenated MS derivatives were also prepared from the thiazole-substituted intermediate 101 (Scheme 11). It was found that reduction and acidic deprotection produced the reduced-thiazole derivatives 102 [27]. Final oxidation also resulted in another important MS derivative. Application of the C15-epmieric intermediate 104 also produced the C15-epimeric final product 106.
Scheme 11.
Direct Saturation of Olefin in Thiazole-substituted MS.
Scheme 11.
Direct Saturation of Olefin in Thiazole-substituted MS.

In the same paper, pyridine-substituted MS was also prepared instead of a thiazole side chain [37] (Scheme 12). Application of the Wittig reaction and Brown allylation to a formylpyridine 109 produced homoallylic alcohol 110, which was converted into hydroxyester 111 via esterification and deprotection. After iterative esterification/deprotection, the resulting hydroxyester 112 was cylized to macrolactone 113 using the acryloylation/RCM/deprotection sequence. Finally, oxidation of the free hydroxyl group led to the desired ketone in excellent yield.
Scheme 12.
Pyridine-substituted MS Derivatives.
Scheme 12.
Pyridine-substituted MS Derivatives.

Impressed with the potency of the heterocycle-combined MS, other heterocycles were also attached to the MS skeleton simultaneously (Scheme 13) [38]. In 2010, the Nemoto Group reported that 3-pyridyl-MS 116 was almost equipotent to 2-pyridyl-MS 114 in terms of apoptosis of U937 cells [38]. However, benzimidazole-substituted MS 118 didn’t exhibit apoptotic activity. These conflicting results indicate that there are still a lot of work to be done to optimize the SAR of MS.
Scheme 13.
Other Heterocycle-substituted MS Derivatives.
Scheme 13.
Other Heterocycle-substituted MS Derivatives.

The skeleton itself was also changed by substitution of an ester linkage to the amide moiety, as shown in Scheme 14 [39]. Homoallylic alcohol 83 was converted into Boc-amino ester 121 via iterative esterification and the deprotection sequence in good yield [40]. Then, the Boc group was deprotected to give the corresponding amide after acryloylation of the amino group. TBDPS deprotection, followed by RCM and MEM deprotection, produced amino-MS. Keto-amino-MS derivatives were also prepared using non-selective oxidation with Dess-Martin Periodinane treatment.
Scheme 14.
Preparation of Aza-MS 124 and 125.
Scheme 14.
Preparation of Aza-MS 124 and 125.

Using the established procedure to introduce nitrogen into the MS skeleton, the other ester moiety was also replaced by an amido group, as shown in Scheme 15 [39]. As for the preparation of MS 123 above, homoallylic alcohol 83 could be converted into Boc-amino ester 127 through sequential esterification with 44 and 126. This building block could also be converted into N10-MS in moderate yield. Finally, deprotection or the oxidation strategy produced the target N-10 MS derivatives 129–131 very well. N-16 MS 132–134 were also prepared using well-designed esterification of the three building blocks and RCM.
Scheme 15.
Preparation of Other Aza-MS 129–134.
Scheme 15.
Preparation of Other Aza-MS 129–134.

Replacement of oxygen with nitrogen results in additional hydrogen bonding (NH) forming spontaneously [39]. For exact SAR, it still requires exclusion of hydrogen bonding because this molecular interaction may distort its own 3D structure. N-alkylated MS derivatives must be prepared for this reason and their preparations are summarized in Scheme 16.
The previous synthetic intermediate 127 was treated with TFA to obtain the free amino group that would be used for reductive amination and acryloylation to produce acrylamide 135. Well-established silyl deprotection/RCM/MEM deprotection produced N-alkyl MS 136 of various sizes and heterocyclic substituents. Additional oxidation also resulted in di-keto amino derivatives 137 in moderate yield.
Scheme 16.
Synthesis of N-alkylated Derivatives.
Scheme 16.
Synthesis of N-alkylated Derivatives.

Another previous intermediate 121 could also be converted into other valuable aminoalkyl products 139 and 140 via the intermediate 138 (Scheme 17) [39]. The starting material 121 was transformed into the N4-aminoalkyl product 139 in 6 steps via the previously established synthetic procedure (RCM route). Dess-Martin oxidation also produced the corresponding keto product 140 in moderate yield. Employing a similar synthetic route and starting material 141, N16-aminoalkyl MS 143, 144 were also obtained in moderate yield as shown below.
The amino derivatives were also used to prepare dihydro-aza MS 148, as shown below (Scheme 18) [41]. The previous synthetic intermediate 145 underwent hydrogenation to produce a chemoselective reduction product 146, which was converted into 147 via MEM deprotection. Interesting is that the unsaturated derivative 137a was also regenerated during preparation of the keto MS 148 via DMP oxidation. N10-amino dihydro MS couldn’t be synthesized from the corresponding alkene 128. Therefore, modification of the early steps was necessary. Actually, the benzylamino alkene 149 was coupled with hexanoic acid 150 to give amido alkene 151 after acidic TBS deprotection [37]. Routine esterification/deprotection also produced hydroxyl ester 152, which could be changed to macrolactam 153 via the acryloylation/deprotection/RCM route. Finally, TFA-mediated deprotection and oxidation gave the desired products 154 and 155, respectively.
Scheme 17.
Synthesis of Other N-alkylated Derivatives.
Scheme 17.
Synthesis of Other N-alkylated Derivatives.

Scheme 18.
Synthesis of Dihydro-aza MS Derivatives.
Scheme 18.
Synthesis of Dihydro-aza MS Derivatives.

2.5. Fluorous Tagging Strategy for Diverse Synthesis of MS Stereoisomers
In 2012, the Curran group reported that the application of a fluorous tagging technique to MS research may allow complete synthesis of all MS stereoisomers through one synthetic route (Scheme 19) [42]. A common intermediate 156, prepared from a traditional synthetic method, was protected with a PMB group that contains a fluoride tail of varied size. Similarly, TIPS-protected carboxylic acid 158 were also prepared using different fluorous alkyl tails. Then, esterification of the two building blocks was performed using carboxylic acid 158 and alcohol 159, prepared from PMB ether 157 via esterification with simple carboxylic acid 44 and acidic deprotection, to produce trimeric ester 160 in 95% yield. Finally, TES deprotection, ester hydrolysis and Yamaguchi lactonization produced a mixture of all 16 stereoisomers together. Because these isomers possess different numbers of fluoride tails, they could be separated efficiently. Employing this strategy, Curran group tried to confirm the exact structure of MSD and discovered that MSD is not a stereoisomer, but rather a regioisomer of MS.
Scheme 19.
Fluoride Tagging Method for MS Derivatives Synthesis.
Scheme 19.
Fluoride Tagging Method for MS Derivatives Synthesis.

Scheme 20.
Preparation of MS-Affinity Chromatography.
Scheme 20.
Preparation of MS-Affinity Chromatography.

2.6. Preparation of MS-Biotin Hybrid
Recently, MS-based affinity chromatography was performed as shown in Scheme 20. Hirao alkynylation of the readily available Weinreb amide 162 [43,44], followed by double reduction afforded the chiral secondary alcohol 164 efficiently. After conventional protection/deprotection and oxidation, allyl ester 167 and carboxylic acid 168 could be esterified to 169 after PMB deprotection. Iterative esterification/deprotection sequence produced allyl-MSA 171 in good yield. With this pivotal synthetic platform in hand, aminoalkyl side chain was homologated into carbamate 173 employing the cross metathesis. Finally, acidic Boc deprotection and amidation with commercially available biotin analog 174 afforded MS-biotin hybrid 175. This synthetic hybrid is expected to show biological process in biochemically more detailed view.
2.7. Biological Assay
Among all derivatives of MS, some of them have been tested for their biological profile and SAR study. Some of their impressive data are listed below.
Table 1 shows the prepared hybrid of MS and epothilone, a promising apoptosis-inducing agent, could improve the intrinsic activity of MS itself [26]. It is interesting to note that the same introduction at the C9 position didn’t produce a compound as potent as the C15 hybrid 60. After this result, extensive modifications of the side chain of MS were carried out.
Table 1.
Apoptosis Inducing Activity of MS Derivatives a,b,c.
| Derivative | Activity | Conc. | Derivative | Activity | Conc. |
|---|---|---|---|---|---|
![]() | <1% | 10 μM | ![]() | 4%–5% | 1 μM |
![]() | <1% | 1 μM | ![]() | <1% | 1 μM |
![]() | >10% | 1 μM |
a Human lymphoma U937 cells were treated at various concentration (1–10 μM); b Apoptosis assessment was carried out by flow cytometry of annexin V/FITC and propidium iodide staining cells; c Activity was determined with fraction of cells.
Impressed with the promising apoptosis-inducing activity of MS derivatives, a more detailed SAR study was executed as shown in Table 2 [37]. Because the C15 hybrid showed more potent activity than 60 in Table 1, dihydro- or ring-enlarged MS derivatives were developed. However, this modification didn’t afford more improved apoptosis-inducing activity. It seems this modification could alter the conformation of the MS skeleton.
Table 2.
Apoptosis Inducing Activity of MS Derivatives Based on DNA Fragmentation a,b.
| Derivative | Activity | Conc. | Derivative | Activity | Conc. |
|---|---|---|---|---|---|
![]() | <10% | 10 μM | ![]() | <10% | 10 μM |
![]() | <10% | 10 μM | ![]() | 20% | 10 μM |
![]() | >30% | 10 μM | ![]() | <10% | 10 μM |
![]() | 25% | 10 μM | ![]() | 30% | 10 μM |
![]() | 10% | 10 μM | ![]() | 25% | 10 μM |
![]() | >10% | 10 μM | ![]() | >10% | 10 μM |
a Human lymphoma U937 cell s were treated at 1–10 μM concentration; b Activity was determined with DNA fragmentation.
Nitrogen substituted MS derivatives and their apoptosis-inducing activity are shown in Table 3 [39]. Other than the increase in activity in the diketo derivatives 137 compared to the dihydroxy derivatives 136, precise SAR in 137 is difficult to conclude yet. This means more advances in the medicinal chemistry research on MS is still necessary for in vivo and clinical usage.
Table 3.
Apoptosis Inducing Activity of aza-MS Derivatives Based on DNA Fragmentation a,b.
| Derivative | Activity | Conc. | Derivative | Activity | Conc. |
|---|---|---|---|---|---|
![]() | <3% | 10 μM | ![]() | <3% | 10 μM |
![]() | <3% | 10 μM | ![]() | 43% | 10 μM |
![]() | <3% | 10 μM | ![]() | 7% | 10 μM |
![]() | <3% | 10 μM | ![]() | 6% | 10 μM |
![]() | <3% | 10 μM | ![]() | 16% | 10 μM |
![]() | <3% | 10 μM | ![]() | <3% | 10 μM |
![]() | <3% | 10 μM | ![]() | 22% | 10 μM |
a Human lymphoma U937 cell s were treated at 1–10 μM concentration; b Activity was determined with DNA fragmentation.
3. Conclusions
As a promising anticancer agent, MS has been focused on because of its non-toxicity, inhibitory activity for tumor metastasis, apoptosis-inducing activity and other biological activities. However, its low potency has hampered efficient development of a MS-based medicine or candidate. To overcome this hurdle, a variety of research has been carried out, as discussed in this review. Based on the results accumulated to date, hopefully, new discoveries should accelerate developments, leading to the successful production of more valuable small molecules in the near future.
Acknowledgments
This work was supported by the Basic Science Research Program through the National Research Foundation of Korea (NRF) funded by the Ministry of Education, Science and Technology (2011-0007845).
Conflicts of Interest
The author declares no conflict of interest.
References
- Newman, D.J.; Cragg, G.M. Natural products as sources of new drugs over the 30 years from 1981 to 2010. J. Nat. Prod. 2001, 75, 311–335. [Google Scholar]
- Cragg, G.M.; Newman, D.J. Natural products: A continuing source of novel drug leads. Biochim. Biophys. Acta-Gen. Subj. 2013, 1830, 3670–3695. [Google Scholar]
- Leslie, B.J.; Hergenrother, P.J. Identification of the cellular targets of bioactive small organic molecules using affinity reagents. Chem. Soc. Rev. 2008, 37, 1347–1360. [Google Scholar]
- Steeg, P.S. Tumor metastasis: Mechanistic insights and clinical challenges. Nat. Med. 2006, 12, 895–904. [Google Scholar]
- Urruticoechea, A.; Alemany, R.; Balart, J.; Villanueva, A.; Vinals, F.; Capella, G. Recent advances in cancer therapy: An overview. Curr. Pharm. Des. 2010, 16, 3–10. [Google Scholar]
- Teicher, B.A.; Andrews, P.A. Anticancer drug development guide; Humana Press: Totowa, NJ, USA, 2004; Volume 1. [Google Scholar]
- Kamb, A.; Wee, S.; Lengauer, C. Why is cancer drug discovery so difficult? Nat. Rev. Drug Discov. 2007, 6, 115–120. [Google Scholar]
- Hayashi, M.; Kim, Y.-P.; Hiraoka, H.; Natori, M.; Takamatsu, S.; Kawakubo, T.; Masuma, R.; Komiyama, K.; Omura, S. Macrosphelide, a novel inhibitor of cell-cell adhesion molecule. I. Taxonomy, fermentation, isolation and biological activities. J. Antibiot. 1995, 48, 1435–1439. [Google Scholar]
- Akita, H.; Nakamura, H.; Ono, M. Total synthesis of (+)-macrosphelides a, c, e, f, and g based on enzymatic function. Chirality 2003, 15, 352–359. [Google Scholar]
- Matsuya, Y.; Nemoto, H. Recent advances in macrosphelide synthesis. Heterocycles 2005, 65, 1741–1749. [Google Scholar]
- Sunazuka, T.; Hirose., T.; Harigaya, Y.; Takamatsu, S.; Hayashi, M.; Komiyama, K.; Omura, S.; Sprengeler, P.A.; Smith, A.B., III. Relative and Absolute Stereochemistries and Total Synthesis of (+)-Macrosphelides A and B, Potent, Orally Bioavailable Inhibitors of Cell-Cell Adhesion. J. Am. Chem. Soc. 1997, 119, 10247–10248. [Google Scholar]
- Omura, S.; Hayashi, M.; Tomoda, H. Recent progress of the research on novel microbial metabolites. Pure Appl. Chem. 1999, 71, 1673–1681. [Google Scholar]
- Fukami, A.; Iijima, K.; Hayashi, M.; Komiyama, K.; Omura, S. Macrosphelide B Suppressed Metastasis through Inhibition of Adhesion of sLex/E-Selectin Molecules. Biochem. Biophy. Res. Commun. 2002, 291, 1065–1070. [Google Scholar]
- Tomprefa, N.; McQuilken, M.; Hill, R.; Whipps, J. Antimicrobial activity of Coniothyrium minitans and its macrolide antibiotic macrosphelide A. J. Appl. Microbiol. 2009, 106, 2048–2056. [Google Scholar]
- Omura, S.; Komiyama, K. Immunosuppressant macrosphelide B. WO0147516 A1 5 July 2001. [Google Scholar]
- Paek, S.-M. Synthetic Advance in Macrosphelides: Natural Anticancer Agents. Molecules 2014, 19, 15982–16000. [Google Scholar]
- Matsuya, Y.; Nemoto, H. Artificial macrosphelides as a novel apoptosis-inducing compound. Heterocycles 2010, 81, 57–66. [Google Scholar]
- Sunazuka, T.; Hirose, T.; Chikaraishi, N.; Harigaya, Y.; Hayashi, M.; Komiyama, K.; Sprengeler, P.A.; Smith, A.B., III; Ōmura, S. Absolute stereochemistries and total synthesis of (+)/(−)-macrosphelides, potent, orally bioavailable inhibitors of cell–cell adhesion. Tetrahedron 2005, 61, 3789–3803. [Google Scholar]
- Takahashi, T.; Kusaka, S.-i.; Doi, T.; Takayuki, T.; Sunazuka, T.; Omura, S. A combinatorial synthesis of a macrosphelide library utilizing a palladium-catalyzed carbonylation on a polymer support. Angew. Chem. Int. Ed. 2003, 42, 5230–5234. [Google Scholar]
- Kusaka, S.-I.; Dohi, S.; Doi, T.; Takahashi, T. Total synthesis of macrosphelide A by way of palladium-catalyzed carbonylative esterification. Tetrahedron Lett. 2003, 44, 8857–8859. [Google Scholar]
- Ono, M.; Nakamura, H.; Arakawa, S.; Honda, N.; Akita, H. Formal total synthesis of (+)-macrosphelide A based on regioselective hydrolysis using lipase. Chem. Pharm. Bull. 2002, 50, 692–696. [Google Scholar]
- Ishihara, K.; Kawaguchi, T.; Matsuya, Y.; Sakurai, H.; Saiki, I.; Nemoto, H. Synthesis and biological evaluation of macrosphelide cores. Eur. J. Org. Chem. 2004, 3973–3978. [Google Scholar]
- Ahmed, K.; Zhao, Q.-L.; Matsuya, Y.; Yu, D.-Y.; Feril, L.B., Jr.; Nemoto, H.; Kondo, T. Rapid and transient intracellular oxidative stress due to novel macrosphelides trigger apoptosis via Fas/caspase-8-dependent pathway in human lymphoma U937 cells. Chem.-Biol. Interact. 2007, 170, 86–99. [Google Scholar]
- Ahmed, K.; Zhao, Q.-L.; Matsuya, Y.; Yu, D.-Y.; Salunga, T.; Nemoto, H.; Kondo, T. Enhancement of macrosphelide-induced apoptosis by mild hyperthermia. Int. J. Hyperthermia 2007, 23, 353–361. [Google Scholar]
- Matsuya, Y.; Kawaguchi, T.; Nemoto, H. Synthesis of various macrosphelides by oxidative derivatization of the macrosphelide core. Heterocycles 2003, 61, 39–43. [Google Scholar]
- Matsuya, Y.; Kawaguchi, T.; Ishihara, K.; Ahmed, K.; Zhao, Q.-L.; Kondo, T.; Nemoto, H. Synthesis of Macrosphelides with a Thiazole Side Chain: New Antitumor Candidates Having Apoptosis-Inducing Property. Org. Lett. 2006, 8, 4609–4612. [Google Scholar]
- Höfle, G.; Bedorf, N.; Steinmetz, H.; Schomburg, D.; Gerth, K.; Reichenbach, H. Epothilone A and B-Novel 16-Membered Macrolides with Cytotoxic Activity: Isolation, Crystal Structure, and Conformation in Solution. Angew. Chem. Int. Ed. 1996, 35, 1567–1569. [Google Scholar]
- Meng, D.; Bertinato, P.; Balog, A.; Su, D.-S.; Kamenecka, T.; Sorensen, E.J.; Danishefsky, S.J. Total syntheses of epothilones A and B. J. Am. Chem. Soc. 1997, 119, 10073–10092. [Google Scholar]
- Matsuya, Y.; Kawaguchi, T.; Nemoto, H. New strategy for the total synthesis of macrosphelides A and B based on ring-closing metathesis. Org. Lett. 2003, 5, 2939–2941. [Google Scholar]
- Kawaguchi, T.; Funamori, N.; Matsuya, Y.; Nemoto, H. Total Synthesis of Macrosphelides A, B, and E: First Application of Ring-Closing Metathesis for Macrosphelide Synthesis. J. Org. Chem. 2004, 69, 505–509. [Google Scholar]
- Ahmed, K.; Matsuya, Y.; Nemoto, H.; Zaidi, S.F.H.; Sugiyama, T.; Yoshihisa, Y.; Shimizu, T.; Kondo, T. Mechanism of apoptosis induced by a newly synthesized derivative of macrosphelides with a thiazole side chain. Chem.-Biol. Interact. 2009, 177, 218–216. [Google Scholar]
- Zhang, H.; Wang, X.-N.; Lin, L.-P.; Ding, J.; Yue, J.-M. Indole alkaloids from three species of the Ervatamia genus: E. officinalis, E. divaricata, and E. divaricata Gouyahua. J. Nat. Prod. 2007, 70, 54–59. [Google Scholar]
- Wang, B.-L.; Jiang, Z.-X.; You, Z.-W.; Qing, F.-L. Total synthesis of trifluoromethylated analogs of macrosphelide A. Tetrahedron 2007, 63, 12671–12680. [Google Scholar]
- Smart, B.E. Fluorine substituent effects (on bioactivity). J. Fluor. Chem. 2001, 109, 3–11. [Google Scholar]
- Jiang, Z.-X.; Qin, Y.-Y.; Qing, F.-L. Qing Asymmetric Synthesis of Both Enantiomers of anti-4,4,4-Trifluorothreonine and 2-Amino-4,4,4-trifluorobutanoic Acid. J. Org. Chem. 2003, 68, 7544–7547. [Google Scholar]
- Matsuya, Y.; Matsushita, T.; Sakamoto, K.; Nemoto, H. Total synthesis of 2-nor-macrosphelides A and B. Heterocycles 2009, 77, 483–492. [Google Scholar]
- Matsuya, Y.; Kobayashi, Y.; Kawaguchi, T.; Hori, A.; Watanabe, Y.; Ishihara, K.; Ahmed, K.; Wei, Z.-L.; Yu, D.-Y.; Zhao, Q.-L.; et al. Design, Synthesis, and Biological Evaluation of Artificial Macrosphelides in the Search for New Apoptosis-Inducing Agents. Chem. Eur. J. 2009, 15, 5799–5819. [Google Scholar]
- Matsuya, Y.; Hori, A.; Kawamura, T.; Emam, H.F.; Ahmed, K.; Yu, D.-Y.; Kondo, T.; Toyooka, N.; Nemoto, H. Synthesis of macrosphelides containing a heterocyclic side chain as a novel apoptosis inducer. Heterocycles 2010, 80, 579–591. [Google Scholar]
- Sugimoto, K.; Kobayashi, Y.; Hori, A.; Kondo, T.; Toyooka, N.; Nemoto, H.; Matsuya, Y. Syntheses of aza-analogues of macrosphelides via RCM strategy and their biological evaluation. Tetrahedron 2011, 67, 7681–7685. [Google Scholar]
- Rae, A.; Aliev, A.E.; Anderson, J.E.; Castro, J.; Ker, J.; Parsons, S.; Stchedroff, M.; Thomas, S.; Tabor, A. Preparation and structure of homochiral tetrahydro-2 H-1, 3-oxazines. J. Chem. Soc. Perkin Trans. 1 1999, 1933–1942. [Google Scholar]
- Sugimoto, K.; Kobayashi, Y.; Kondo, T.; Toyooka, N.; Nemoto, H.; Matsuya, Y. Dihydroazamacrosphelides: Synthesis and apoptosis inducing activities. Heterocycles 2011, 83, 2823–2835. [Google Scholar]
- Curran, D.P.; Sinha, M.K.; Zhang, K.; Sabatini, J.J.; Cho, D.-H. Binary fluorous tagging enables the synthesis and separation of a 16-stereoisomer library of macrosphelides. Nat. Chem. 2012, 4, 124–129. [Google Scholar]
- Paek, S.-M.; Seo, S.-Y.; Kim, S.-H.; Jung, J.-W.; Lee, Y.-S.; Jung, J.-K.; Suh, Y.-G. Concise Syntheses of (+)-Macrosphelide A and B. Org. Lett. 2005, 7, 3159–3162. [Google Scholar]
- Yun, H.; Sim, J.; An, H.; Lee, J.; Lee, H.S.; Shin, Y.K.; Paek, S.-M.; Suh, Y.-G. Design and synthesis of a macrosphelide A-biotin chimera. Org. Biomol. Chem. 2014, 12, 7127–7135. [Google Scholar]
© 2015 by the authors. Licensee MDPI, Basel, Switzerland. This article is an open access article distributed under the terms and conditions of the Creative Commons Attribution license ( http://creativecommons.org/licenses/by/4.0/).






























