New Sesquiterpenoids from Ambrosia artemisiifolia L.
Abstract
:1. Introduction
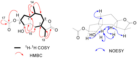
2. Results and Discussion


| Position | δH (J in Hz) | δC, Mult. | HMBC | NOESY |
|---|---|---|---|---|
| 1 | 1.51, ddd (13.6, 5.6, 5.6) | 39.0 CH | C-2, C-4, C-5, C-10, C-14,C-15 | H-3, H-4, H-7 |
| 2 | Hα: 1.82, m | 31.5 CH2 | C-1, C-3 | |
| Hβ: 2.01, m | C-1, C-3 | |||
| 3 | 5.45, ddd (8.1, 7.5, 5.0) | 71.0 CH | C-1, C-4, C-5, C-16 | Hα-2, Hβ-2, H-4 |
| 4 | 3.64, d (7.5) | 75.9 CH | C-3, C-5, C-6, C-15 | H-1, H-3, H-7 |
| 5 | – | 43.3 qC | ||
| 6 | Hα: 1.94, br d (14.3) | 30.5 CH2 | C-5, C-7, C-15 | H-4, H-7 |
| Hβ: 1.16, overlapped | Hβ-9 | |||
| 7 | 2.51, m | 36.7 CH | C-5, C-6, C-11, C12 | H-1, H-4, H-8, H-11 |
| 8 | 4.58, ddd (13.2, 8.6, 2.8) | 79.7 CH | C-7 | H-7, Hα-9, Hβ-9, H-11 |
| 9 | Hα: 2.07, m | 36.4 CH2 | C-1, C-7, C-8, C-10, C-14 | |
| Hβ: 1.66, br d (12.7) | C-1, C-7, C-8, C-10 | Hβ-6, H-14, H-15, | ||
| 10 | 1.80, m | 28.5 CH | C-1, C-5, C-14 | |
| 11 | 2.94, m | 37.5 CH | C-6, C-7, C-12, C-13 | H-7, H-8, H-13 |
| 12 | – | 177.8 qC | ||
| 13 | 1.02, d (7.4) | 9.7 CH3 | C-7, C-11, C-12 | Hβ-6, H-7, H-11 |
| 14 | 0.90, d (7.0) | 16.4 CH3 | C-1, C9, C-10 | Hα-9 |
| 15 | 1.18, s | 17.5 CH3 | C-1, C-4, C-5, C-6 | Hβ-9, H-10 |
| 16 | – | 169.8 qC | ||
| 17 | 2.04, s | 20.3 CH3 | C-16 | H-3 |
| Position | 2 a | 3 b | ||
|---|---|---|---|---|
| δH (J in Hz) | δC, Mult. | δH (J in Hz) | δC, Mult. | |
| 1 | 3.09, m | 49.9 CH | 3.24, m | 45.4 CH |
| 2 | Hα: 1.56, m; Hβ: 2.10, overlapped | 29.4 CH2 | 1.96, m | 27.0 CH2 |
| 3 | 2.36, m | 39.4 CH2 | Hβ: 1.77, m; Hα: 1.98, m | 40.9 CH2 |
| 4 | – | 131.6 qC | – | 80.7 qC |
| 5 | – | 142.5 qC | 2.38, br t (10.8) | 54.2 CH |
| 6 | 4.80, d (11.5) | 83.3 CH | Hβ: 1.39, ddd (12.2, 11.0, 10.8); Hα: 2.01, br d (12.2) | 33.4 CH2 |
| 7 | 1.89, ddd (11.5, 11.6, 11.6) | 46.8 CH | 2.92, br t (11.0) | 39.8 CH |
| 8 | Hα: 1.67, m; Hβ: 2.14, overlapped | 32.2 CH | Hα: 1.88, m; Hβ: 2.62, br d (11.8) | 45.3 CH2 |
| 9 | 3.88, m | 82.6 CH | 4.79, dd (11.0, 3.0) | 79.5 CH |
| 10 | 2.11, overlapped | 41.3 CH | – | 152.5 qC |
| 11 | 2.34, m | 42.5 CH | – | 149.0 qC |
| 12 | – | 181.2 qC | – | 169.8 qC |
| 13 | 1.18, d (6.9) | 12.5 CH3 | 5.55, br s; 6.42, br s | 121.9 CH2 |
| 14 | 0.80, d (7.0) | 8.1 CH3 | 5.27, br s; 6.18, br s | 110.1 CH2 |
| 15 | 1.81, s | 15.5 CH3 | 1.32, s | 24.9 CH3 |
| Glc-1' | 4.38, d (7.8) | 102.5 CH | 5.06, d (7.7) | 101.1 CH |
| 2' | 3.15, dd (8.0, 7.8) | 75.2 CH | 4.11, dd (8.2, 7.7) | 75.8 CH |
| 3' | 3.35, m | 77.9 CH | 4.23, m | 78.7 CH |
| 4' | 3.31, m | 71.8 CH | 4.26, m | 71.9 CH |
| 5' | 3.27, m | 78.2 CH | 3.88, m | 78.8 CH |
| 6' | 3.66, dd (11.6, 5.2); 3.88, br d (11.6) | 62.8 CH2 | 4.36, dd (11.9, 5.2); 4.51, dd (11.9, 2.2) | 62.9 CH2 |


3. Experimental Section
3.1. General
3.2. Plant Material
3.3. Extraction and Isolation
3.4. Characterization of Compounds 1–3
3.5. Determination of the Configurations of Sugar Unit in 2 and 3
3.6. Cytotoxicity Assays
4. Conclusions
Supplementary Materials
Acknowledgments
Author Contributions
Conflicts of Interest
References
- Lu, D.W.; Liu, J.; Qu, H. Spread of ragweed and advances of preventive measures in China. Chin. J. Allergy Clin. Immunol. 2012, 6, 60–63. [Google Scholar]
- Taglialatela-Scafati, O.; Pollastro, F.; Minassi, A.; Chianese, G.; de Petrocellis, L.; Di Marzo, V.; Appendino, G. Sesquiterpenoids from common ragweed (Ambrosia artemisiifolia L.), an invasive biological polluter. Eur. J. Org. Chem. 2012, 27, 5162–5170. [Google Scholar] [CrossRef]
- El-Sawy, M.F.; Bassiouny, H.K.; El-Magdoub, A.I. Biological combat of schistosomiasis Ambrosia maritima (Damsissa) for snail control. J. Egypt. Soc. Parasitol. 1981, 11, 99–117. [Google Scholar] [PubMed]
- Bradow, J.M. Germination regulation by Amaranthus palmeri and Ambrosia artemisiifolia. In The Chemistry of Allelopathy; Thompson, A.C., Ed.; American Chemical Society: Washington, DC, USA, 1985; Chapter 19; pp. 285–299. [Google Scholar]
- Pérez-G, R.M. Anti-inflammatory activity of Ambrosia artemisiaefolia and Rhoeo spathacea. Phytomedicine 1996, 3, 163–167. [Google Scholar] [CrossRef] [PubMed]
- Chistokhodova, N.; Nguyen, C.; Calvino, T.; Kachirskaia, I.; Cunningham, G.; Howard-Miles, D. Antithrombin activity of medicinal plants from central Florida. J. Ethnopharmacol. 2002, 81, 277–280. [Google Scholar] [CrossRef] [PubMed]
- Solujić, S.; Sukdolak, S.; Vuković, N.; Nićiforović, N.; Stanić, S. Chemical composition and biological activity of the acetone extract of Ambrosia artemisiifolia L. pollen. J. Serb. Chem. Soc. 2008, 73, 1039–1049. [Google Scholar] [CrossRef]
- Zhang, G.C.; Zhao, Y.; Ma, L.; Bi, B.; Huang, Y.; Zhuang, C.; Zhang, X.; Meng, S. Toxicity testing of insecticidal active substances from Ambrosia artemisiifolia and its security. J. Northeast For. Univ. 2010, 38, 94–96. [Google Scholar]
- Parkhomenko, A.Y.; Oganesyan, E.T.; Andreeva, O.A.; Dorkina, E.G.; Paukova, E.O.; Agadzhanyan, Z.S. Pharmacologically active substances from Ambrosia artemisiifolia. Part 2. Pharm. Chem. J. 2006, 40, 627–632. [Google Scholar] [CrossRef]
- David, J.P.; de O. Santos, A.J.; da S. Guedes, M.L.; David, J.M.; Chai, H.B.; John, M.; Pezzuto, J.M.; Angerhofer, C.K.; Cordell, G.A. Sesquiterpene lactones from Ambrosia artemisiaefolia (Asteraceae). Pharm. Biol. 1999, 37, 165–168. [Google Scholar] [CrossRef]
- Parkhomenko, A.Y.; Andreeva, O.A.; Oganesyan, E.T.; Ivashev, M.N. Ambrosia artemisiifolia as a source of biologically active substances. Pharm. Chem. J. 2005, 39, 149–153. [Google Scholar] [CrossRef]
- Mabry, T.J.; Kagan, H.B.; Miller, H.E. Psilostachyin B, a new sesquiterpene dilactone from Ambrosia psilostachya DC. Tetrahedron 1996, 22, 1943–1948. [Google Scholar] [CrossRef]
- Borges-del-Castillo, J.; Manrese-Ferrero, M.T.; Rodriguez-Luis, F.; Vazquez-Bueno, P.; Nathan, J.P. Carbon-13 NMR study of psilostachynolides from some Ambrosia species. Org. Magn. Res. 1981, 17, 232–234. [Google Scholar] [CrossRef]
- Bohlmann, F.; Zdero, C.; King, R.M.; Robinson, H. Pseudoguaianolides and other sesquiterpene lactones from Gaillardia species. Phytochemistry 1984, 23, 1979–1988. [Google Scholar] [CrossRef]
- Vasquez, M.; Quijano, L.; Urbatsch, L.E.; Fischer, N.H. Sesquiterpene lactones and other constituents from Rudbeckia mollis. Phytochemistry 1992, 31, 2051–2054. [Google Scholar] [CrossRef]
- Stavri, M.; Mathew, K.T.; Gordon, A.; Shnyder, S.D.; Falconer, R.A.; Gibbons, S. Guaianolide sesquiterpenes from Pulicaria crispa (Forssk.) Oliv. Phytochemistry 2008, 69, 1915–1918. [Google Scholar] [CrossRef] [PubMed]
- Konovalova, O.A.; Sheichenko, V.I. Chemical composition of Artemisia frigida. Chem. Nat. Compd. 1991, 27, 127–128. [Google Scholar] [CrossRef]
- Barrero, A.F.; Herrador, M.M.; Arteaga, P. Sesquiterpene lactones and other constituents of Seseli vayredanum. Phytochemistry 1994, 37, 1351–1358. [Google Scholar] [CrossRef]
- Huneck, S.; Zdero, C.; Bohlmann, F. Seco-guaianolides and other constituents from Artemisia species. Phytochemistry 1986, 25, 883–889. [Google Scholar] [CrossRef]
- Mosmann, T. Rapid colorimetric assay for cellular growth and survival: Application to proliferation and cytotoxicity assays. J. Immunol. Methods 1983, 65, 55–63. [Google Scholar] [CrossRef] [PubMed]
- Himeji, M.; Ohtsuki, T.; Fukazawa, H.; Tanaka, M.; Yazaki, S.; Ui, S.; Nishio, K.; Yamamoto, H.; Tasaka, K.; Mimura, A. Difference of growth-inhibitory effect of Scutellaria baicalensis-producing flavonoid wogonin among human cancer cells and normal diploid cell. Cancer Lett. 2007, 245, 269–274. [Google Scholar] [CrossRef] [PubMed]
- Sample Availability: Samples of the compounds 1, 4 and 5 are available from the authors.
© 2015 by the authors. Licensee MDPI, Basel, Switzerland. This article is an open access article distributed under the terms and conditions of the Creative Commons Attribution license ( http://creativecommons.org/licenses/by/4.0/).
Share and Cite
Ding, W.; Huang, R.; Zhou, Z.; Li, Y. New Sesquiterpenoids from Ambrosia artemisiifolia L. Molecules 2015, 20, 4450-4459. https://doi.org/10.3390/molecules20034450
Ding W, Huang R, Zhou Z, Li Y. New Sesquiterpenoids from Ambrosia artemisiifolia L. Molecules. 2015; 20(3):4450-4459. https://doi.org/10.3390/molecules20034450
Chicago/Turabian StyleDing, Wenbing, Rui Huang, Zhongshi Zhou, and Youzhi Li. 2015. "New Sesquiterpenoids from Ambrosia artemisiifolia L." Molecules 20, no. 3: 4450-4459. https://doi.org/10.3390/molecules20034450
APA StyleDing, W., Huang, R., Zhou, Z., & Li, Y. (2015). New Sesquiterpenoids from Ambrosia artemisiifolia L. Molecules, 20(3), 4450-4459. https://doi.org/10.3390/molecules20034450
