Two New Chemical Constituents from the Stem Bark of Garcinia mangostana
Abstract
:1. Introduction
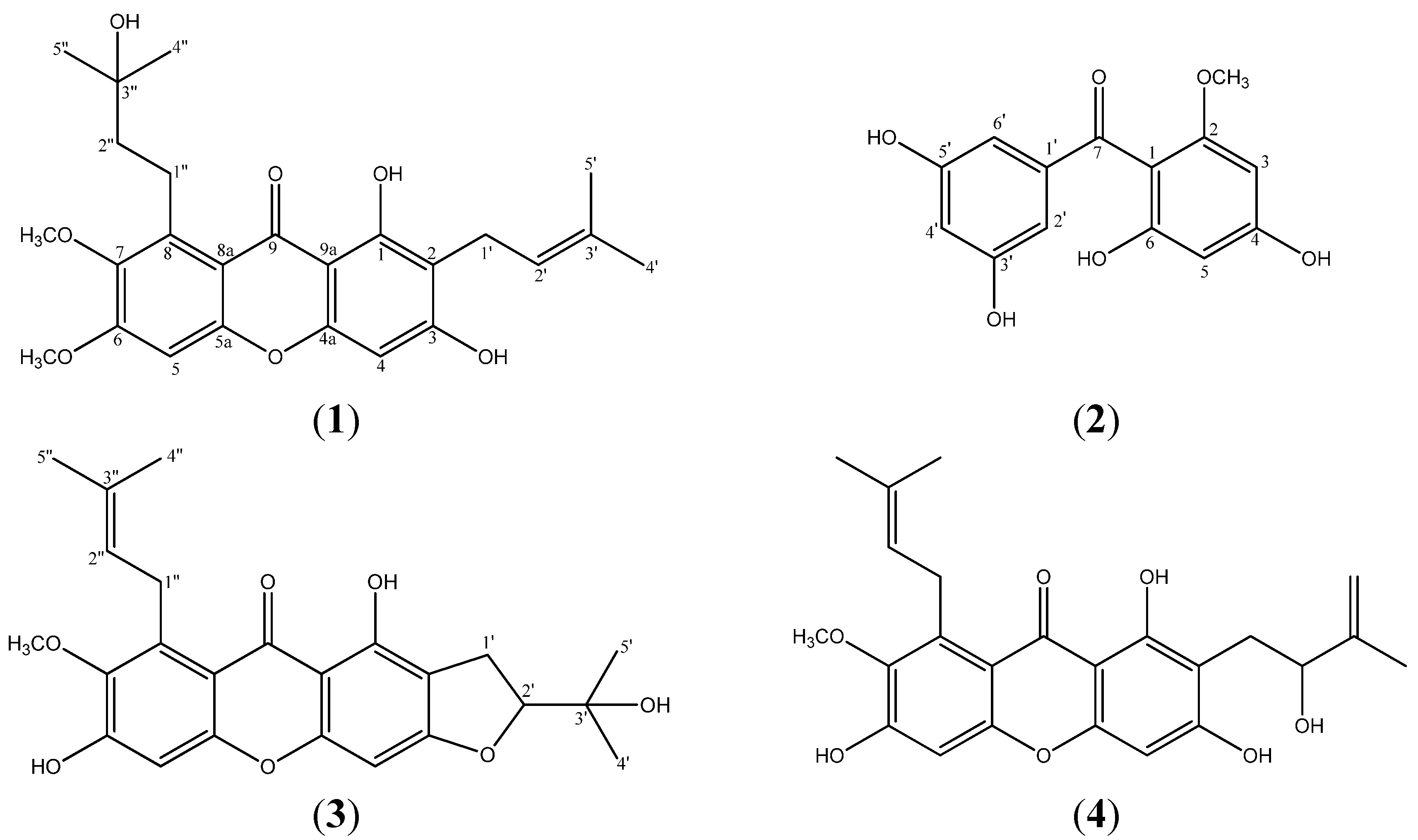
2. Results and Discussion

| Position | 1 | 2 | ||
|---|---|---|---|---|
| δH | δC | δH | δC | |
| 1 | 160.8 | 106.4 | ||
| 2 | 110.3 | 161.5 | ||
| 3 | 162.2 | 5.96 (s) | 91.1 | |
| 4 | 6.38 (s) | 92.3 | 163.3 | |
| 4a | 154.9 | |||
| 5 | 6.90 (s) | 98.5 | 5.96 (s) | 95.3 |
| 5a | 155.4 | |||
| 6 | 158.6 | 163.3 | ||
| 7 | 144.1 | 198.4 | ||
| 8 | 138.4 | |||
| 8a | 111.4 | |||
| 9 | 182.0 | |||
| 9a | 102.9 | |||
| 1' | 3.32 ( br d) | 21.2 | 142.7 | |
| 2' | 5.25 (t, J = 6.3 Hz) | 122.6 | 6.52 (d, J = 2.3Hz) | 106.5 |
| 3' | 130.6 | 158.0 | ||
| 4'' | 1.76 (s) | 17.1 | 6.39 (t, J = 2.3 Hz) | 105.7 |
| 5' | 1.62 (s) | 25.1 | 158.0 | |
| 6' | 6.52 (d, J = 2.3 Hz) | 106.5 | ||
| 1'' | 3.42 (m) | 22.2 | ||
| 2'' | 1.70 (m) | 44.9 | ||
| 3'' | 69.7 | |||
| 4'' & 5'' | 1.28 (s) | 28.5 | ||
| 1-OH | 13.74 (s) | |||
| 2-OCH3 | 3.54 (s) | 54.6 | ||
| 6-OCH3 | 4.00 (s) | 55.8 | ||
| 7-OCH3 | 3.79 (s) | 60.4 | ||



3. Experimental
3.1. Plant Material
3.2. General
3.3. Extraction and Isolation
3.4. Spectral Data
4. Conclusions
Acknowledgments
Author Contributions
Conflicts of Interest
References
- Niero, R.; Molin, M.M.D.; Silva, S.; Damian, N.S.; Maia, L.O.; Monache, F.D.; Filho, V.C.; Andrade, S.F. Gastroprotective effects of extracts and guttiferone a isolated from Garcinia achachairu rusby (Clusiaceae) against experimentally induced gastric lesions in mice. N. Schmied. Arch. Pharmacol. 2012, 385, 1103–1109. [Google Scholar] [CrossRef]
- Gontijo, V.S.; Souza, T.C.; Rosa, I.A.; Soares, M.G.; Silva, M.A.; Vilegas, W.; Júnior, C.V.; Santos, M.H. Isolation and evaluation of the antioxidant activity of phenolic constituents of the Garcinia brasiliensis epicarp. Food Chem. 2012, 132, 1230–1235. [Google Scholar] [CrossRef]
- Pham, H.H. Vietnamese Medicinal Plants; Youth Publishing House: Ho Chi Minh City, Vietnam, 2006; p. 92. [Google Scholar]
- Teh, S.S.; Ee, G.C.L.; Rahmani, M.; Taufiq-Yap, Y.H.; Go, R.; Mah, S.H. Pyranoxanthones from Mesua ferrea. Molecules 2011, 16, 5647–5654. [Google Scholar] [CrossRef]
- Dharmaratne, H.R.W.; Napagoda, M.T.; Tennakoon, S.B. Xanthones from roots of Calophyllum thwaitesii and their bioactivity. Nat. Prod. Res. 2009, 23, 539–545. [Google Scholar] [CrossRef]
- Udomchotphruet, S.; Phuwapraisirisan, P.; Sichaem, J.; Tip-pyang, S. Xanthones from the stems of Cratoxylum cochinchinense. Phytochemistry 2012, 73, 148–151. [Google Scholar]
- Sakunpak, A.; Panichayupakaranant, P. Antibacterial activity of thai edible plants against gastrointestinal pathogenic bacteria and isolation of a new broad spectrum antibacterial polyisoprenylated benzophenone, Chamuangone. Food Chem. 2012, 130, 826–831. [Google Scholar] [CrossRef]
- Gao, X.M.; Yu, T.; Lai, F.S.F.; Zhou, Y.; Liu, X.; Qiao, C.F.; Song, J.Z.; Chen, S.L.; Luo, K.Q.; Xu, H.X. Identification and evaluation of apoptotic compounds from Garcinia paucinervis. Bioorg. Med. Chem. 2010, 18, 4957–4964. [Google Scholar] [CrossRef]
- Baliga, M.S.; Bhat, H.P.; Pai, R.J.; Boloor, R.; Palatty, P.L. The chemistry and medicinal uses of the underutilized indian fruit tree Garcinia indica choisy (kokum): A review. Food Res. Int. 2011, 44, 1790–1799. [Google Scholar] [CrossRef]
- Wittenauer, J.; Falk, S.; Schweiggert-Weisz, U.; Carle, R. Characterisation and quantification of xanthones from the aril and pericarp of mangosteens (Garcinia mangostana L.) and a mangosteen containing functional beverage by HPLC–DAD-MSn. Food Chem. 2012, 134, 445–452. [Google Scholar] [CrossRef]
- Gopalakrishnan, G.; Banumathi, B.; Suresh, G. Evaluation of the antifungal activity of natural xanthones from Garcinia mangostana and their synthetic derivatives. J. Nat. Prod. 1997, 60, 519–524. [Google Scholar] [CrossRef]
- Chomnawang, M.T.; Surassmo, S.; Nukoolkarn, V.S.; Gritsanapan, W. Antimicrobial effects of thai medicinal plants against acne-inducing bacteria. J. Ethnopharmacol. 2005, 101, 330–333. [Google Scholar] [CrossRef]
- Suksamrarn, S.; Suwannapoch, N.; Phakhodee, W.; Thanuhiranlert, J.; Ratananukul, P.; Chimnoi, N.; Suksamrarn, A. Antimycobacterial activity of prenylated xanthones from the fruits of Garcinia mangostana. Chem. Pharm. Bull. 2003, 51, 857–859. [Google Scholar] [CrossRef]
- Matsumoto, K.; Akao, Y.; Kobayashi, E.; Ohguchi, K.; Ito, T.; Tanaka, T.; Iinuma, M.; Nozawa, Y. Induction of apoptosis by xanthones from mangosteen in human leukemia cell lines. J. Nat. Prod. 2003, 66, 1124–1127. [Google Scholar] [CrossRef]
- Ee, G.C.L.; Daud, S.; Izzaddin, S.A.; Rahmani, M. Garcinia mangostana: A source of potential anti-cancer lead compounds against cem-ss cell line. J. Asian Nat. Prod. Res. 2008, 10, 475–479. [Google Scholar] [CrossRef]
- Ryu, H.W.; Curtis-Long, M.J.; Jung, S.; Jin, Y.M.; Cho, J.K.; Ryu, Y.B.; Lee, W.S.; Park, K.H. Xanthones with neuraminidase inhibitory activity from the seed cases of Garcinia mangostana. Bioorg. Med. Chem. 2010, 18, 6258–6264. [Google Scholar] [CrossRef]
- Bennett, G.J.; Harrison, L.J.; Sia, G.L.; Sim, K.Y. Triterpenoids, tocotrienols and xanthones from the bark of Cratoxylum cochinchinense. Phytochemistry 1993, 32, 1245–1251. [Google Scholar] [CrossRef]
- Nilar; Harrison, L.J. Xanthones from the heartwood of garcinia mangostana. Phytochemistry 2002, 60, 541–548. [Google Scholar] [CrossRef]
- Suksamrarn, S.; Suwannapoch, N.; Ratananukul, P.; Aroonlerk, N.; Suksamrarn, A. Xanthones from the green fruit hulls of Garcinia mangostana. J. Nat. Prod. 2002, 65, 761–763. [Google Scholar] [CrossRef]
- Sample Availability: Samples of the compounds 1–4 are available from the authors.
© 2014 by the authors; licensee MDPI, Basel, Switzerland. This article is an open access article distributed under the terms and conditions of the Creative Commons Attribution license ( http://creativecommons.org/licenses/by/3.0/).
Share and Cite
See, I.; Ee, G.C.L.; Teh, S.S.; Kadir, A.A.; Daud, S. Two New Chemical Constituents from the Stem Bark of Garcinia mangostana. Molecules 2014, 19, 7308-7316. https://doi.org/10.3390/molecules19067308
See I, Ee GCL, Teh SS, Kadir AA, Daud S. Two New Chemical Constituents from the Stem Bark of Garcinia mangostana. Molecules. 2014; 19(6):7308-7316. https://doi.org/10.3390/molecules19067308
Chicago/Turabian StyleSee, Irene, Gwendoline Cheng Lian Ee, Soek Sin Teh, Arifah Abdul Kadir, and Shaari Daud. 2014. "Two New Chemical Constituents from the Stem Bark of Garcinia mangostana" Molecules 19, no. 6: 7308-7316. https://doi.org/10.3390/molecules19067308
APA StyleSee, I., Ee, G. C. L., Teh, S. S., Kadir, A. A., & Daud, S. (2014). Two New Chemical Constituents from the Stem Bark of Garcinia mangostana. Molecules, 19(6), 7308-7316. https://doi.org/10.3390/molecules19067308
