Phytotoxicity of 4,8-Dihydroxy-1-tetralone Isolated from Carya cathayensis Sarg. to Various Plant Species
Abstract
:1. Introduction
2. Results and Discussion
2.1. Phytotoxicity of C. cathayensis Exocarp
2.1.1. Effects on Seed Germination of Lettuce

2.1.2. Effects of Extract on Seedling Growth of Lettuce

2.2. Isolation and Identification of 4,8-DHT
2.2.1. Extraction and Purification of 4,8-DHT

2.2.2. Identification and Characterization of 4,8-DHT

2.3. Phytotoxicity of 4,8-DHT
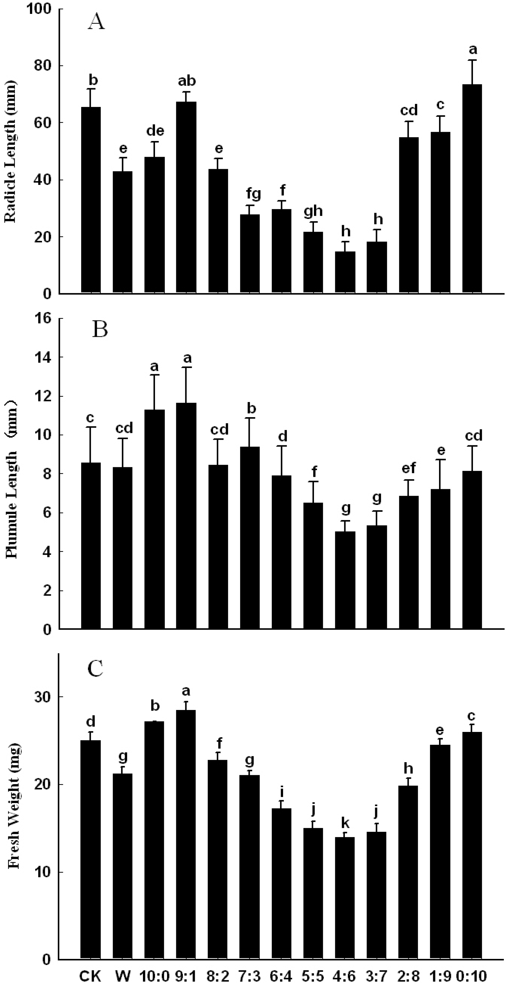
2.3.1. Effects of 4,8-DHT on Seed Germination of Five Plants

2.3.2. Effects of 4,8-DHT on Seedling Growth of Five Plants

3. Experimental Section
3.1. Plant Materials
3.2. Extraction and Isolation of Active Compounds
3.3. Instrumental Analysis
3.4. Bioassay
3.4.1. Effects of 4,8-DHT on Seed Germination
3.4.2. Effects of 4,8-DHT on Seedling Growth
3.5. Statistical Analysis
4. Conclusions
Acknowledgments
Author Contributions
Conflicts of Interest
References
- Callaway, R.M.; Vivanco, J.M. Can plant biochemistry contribute to understanding of invasion ecology? Trends Plant. Sci. 2006, 11, 574–580. [Google Scholar]
- Duke, S.O. Allelopathy: Current status of research and future of the discipline: A Commentary. Allelopath. J. 2010, 25, 17–29. [Google Scholar]
- Weiner, J. Plant allelochemical interference or soil chemical ecology? Perspect. Plant. Ecol. 2001, 4, 3–12. [Google Scholar]
- Ruan, X.; Li, Z.; Wang, Q.; Pan, C.; Jiang, D.; Wang, G.G. Autotoxicity and allelopathy of 3,4-dihydroxyacetophenone isolated from Picea schrenkiana needles. Molecules 2011, 16, 8874–8893. [Google Scholar]
- El Mehdawi, A.F.; Quinn, C.F.; Pilon-Smits, E. Effects of selenium hyperaccumulation on plant-plant interactions: Evidence for elemental allelopathy? New Phytol. 2011, 191, 120–131. [Google Scholar]
- Wardle, D.A.; Karban, R.; Callaway, R.M. The ecosystem and evolutionary contexts of allelopathy. Trends Ecol. Evol. 2011, 26, 655–662. [Google Scholar]
- Vanderstukken, M.; Declerck, S.; Decaestecker, E.; Muylaert, K. Long-term allelopathic control of phytoplankton by the submerged macrophyte Elodea nuttallii. Freshwater Biol. 2014, 59, 930–941. [Google Scholar]
- Mangla, S.; Callaway, R.M. Exotic invasive plant accumulates native soil pathogens which inhibit native plants. J. Ecol. 2008, 96, 58–67. [Google Scholar]
- Wang, Z.J.; Huang, J.Q.; Huang, Y.J.; Chen, F.F.; Zheng, B.S. Cloning and characterization of a homologue of the FLORICAULA/LEAFY gene in Hickory (Carya cathayensis Sarg.). Plant Mol. Biol. Rep. 2012, 30, 794–805. [Google Scholar]
- Wu, C.; He, L.; Du, X.; Chen, S.; Ni, K. 3D reconstruction of Chinese hickory tree for dynamics analysis. Biosyst. Eng. 2014, 119, 69–79. [Google Scholar]
- Scognamiglio, M.; d’Abrosca, B.; Esposito, A.; Pacifico, S.; Monaco, P.; Fiorentino, A. Plant growth inhibitors: Allelopathic role or phytotoxic effects? Focus on Mediterranean biomes. Phytochem. Rev. 2013, 12, 803–830. [Google Scholar]
- Callaway, R.M. Experimental designs for the study of allelopathy. Plant Soil 2003, 256, 1–11. [Google Scholar]
- Strom, S.L. Microbial ecology of ocean biogeochemistry: A community perspective. Science 2008, 320, 1043–1045. [Google Scholar]
- Matsumoto, S.; Varela, R.M.; Palma, M.; Molinillo, J.; Lima, I.S.; Barroso, C.G.; Macias, F.A. Bio-guided optimization of the ultrasound-assisted extraction of compounds from Annona glabra L. leaves using the etiolated wheat coleoptile bioassay. Ultrason. Sonochem. 2014, 21, 1578–1584. [Google Scholar]
- Wang, C.M.; Li, T.C.; Jhan, Y.L.; Weng, J.H.; Chou, C.H. The impact of microbial biotransformation of catechin in enhancing the allelopathic effects of Rhododendron formosanum. PLoS One 2013, 8, e85162. [Google Scholar]
- Santana, C.M.; Ferrera, Z.S.; Padron, M.E.; Rodriguez, J.J. Methodologies for the extraction of phenolic compounds from environmental samples: New approaches. Molecules 2009, 14, 298–320. [Google Scholar]
- Uri, C.; Juhasz, Z.; Polgar, Z.; Banfalvi, Z. A GC-MS-based metabolomics study on the tubers of commercial potato cultivars upon storage. Food Chem. 2014, 159, 287–292. [Google Scholar]
- Parepa, M.; Fischer, M.; Krebs, C.; Bossdorf, O. Hybridization increases invasive knotweed success. Evol. Appl. 2014, 7, 413–420. [Google Scholar]
- Evans, H.; Crocoll, C.; Bajpai, D.; Kaur, R.; Feng, Y.L.; Silva, C.; Carreon, J.T.; Valiente-Banuet, A.; Gershenzon, J.; Callaway, R.M. Volatile chemicals from leaf litter are associated with invasiveness of a neotropical weed in Asia. Ecology 2011, 92, 316–324. [Google Scholar]
- Tian, S.; Jiang, F.; Zhang, K.; Zhu, X.; Jin, B.; Lu, J.; Ding, Z. Flavonoids from the leaves of Carya cathayensis Sarg. inhibit vascular endothelial growth factor-induced angiogenesis. Fitoterapia 2014, 92, 34–40. [Google Scholar]
- Zhang, S.; Chen, A.; Li, Q. Novel benzofuran constituent from the husk of Carya cathayensis Sarg. Phytochem. Lett. 2012, 5, 473–475. [Google Scholar] [CrossRef]
- Liu, J.; Di, D.; Li, C.; Huang, X. Regiolone from the pericarps of Juglans regia L. Acta Crystallogr. E 2007, 63, 2713–2714. [Google Scholar]
- Evidente, A.; Superchi, S.; Cimmino, A.; Mazzeo, G.; Mugnai, L.; Rubiales, D.; Andolfi, A.; Villegas-Fernández, A.M. Regiolone and isosclerone, two enantiomeric phytotoxic naphthalenone pentaketides: Computational assignment of absolute configuration and its relationship with phytotoxic activity. Eur. J. Org. Chem. 2011, 2011, 5564–5570. [Google Scholar]
- Liu, J.; Meng, M.; Li, C.; Huang, X.; Di, D. Simultaneous determination of three diarylheptanoids and an α-tetralone derivative in the green walnut husks (Juglans regia L.) by high-performance liquid chromatography with photodiode array detector. J. Chromatogr. A 2008, 1190, 80–85. [Google Scholar]
- Li, C.; Liu, J.X.; Zhao, L.; Di, D.L.; Meng, M.; Jiang, S.X. Capillary zone electrophoresis for separation and analysis of four diarylheptanoids and an alpha-tetralone derivative in the green walnut husks (Juglans regia L.). J. Pharm. Biomed. 2008, 48, 749–753. [Google Scholar]
- Wang, L.W.; Xu, B.G.; Wang, J.Y.; Su, Z.Z.; Lin, F.C.; Zhang, C.L.; Kubicek, C.P. Bioactive metabolites from Phoma species, an endophytic fungus from the Chinese medicinal plant Arisaema erubescens. Appl. Microbiol. Biotechnol. 2012, 93, 1231–1239. [Google Scholar]
- Chen, N.; Yang, H.M.; Sun, Y.; Niu, J.; Liu, S.Y. Purification and identification of antioxidant peptides from walnut (Juglans regia L.) protein hydrolysates. Peptides 2012, 38, 344–349. [Google Scholar]
- Ciniglia, C.; Sansone, C.; Panzella, L.; Napolitano, A.; d’Ischia, M. Effects of walnut husk washing waters and their phenolic constituents on horticultural species. Environ. Sci. Pollut. Res. 2012, 19, 3299–3306. [Google Scholar]
- Morita, T.; Aoki, H. Isosclerone, a new metabolite of sclerotinia-sclerotiorum (lib) De Bary. Agric. Biol. Chem. 1974, 38, 1501–1505. [Google Scholar]
- Tabuchi, H.; Tajimi, A.; Ichihara, A. Phytotoxic metabolites isolated from scolecotrichum-graminis fuchel. Biosci. Biotechnol. Biochem. 1994, 58, 1956–1959. [Google Scholar]
- Bruno, G.; Sparapano, L. Effects of three esca-associated fungi on Vitis vinifera L.: II. Characterization of biomolecules in xylem sap and leaves of healthy and diseased vines. Physiol. Mol. Plant Pathol. 2006, 69, 195–208. [Google Scholar]
- Fujimoto, Y.; Yokoyama, E.; Takahashi, T.; Uzawa, J.; Morooka, N.; Tsunoda, H.; Tatsuno, T. Studies on the metabolites of penicillium-diversum var aureum.1. Chem. Pharm. Bull. 1986, 34, 1497–1500. [Google Scholar]
- Li, Z.; Wang, Q.; Ruan, X.; Pan, C.; Jiang, D. Phenolics and plant allelopathy. Molecules 2010, 15, 8933–8952. [Google Scholar]
- Zhang, J.H.; Mao, Z.Q.; Wang, L.Q.; Shu, H.R. Bioassay and identification of root exudates of three fruit tree species. J. Integr. Plant Biol. 2007, 49, 257–261. [Google Scholar] [CrossRef]
- Pollock, J.L.; Callaway, R.M.; Thelen, G.C.; Holben, W.E. Catechin-metal interactions as a mechanism for conditional allelopathy by the invasive plant Centaurea maculosa. J. Ecol. 2009, 97, 1234–1242. [Google Scholar]
- He, W.M.; Feng, Y.L.; Ridenour, W.M.; Thelen, G.C.; Pollock, J.L.; Diaconu, A.; Callaway, R.M. Novel weapons and invasion: Biogeographic differences in the competitive effects of Centaurea maculosa and its root exudate (±)-catechin. Oecologia 2009, 159, 803–815. [Google Scholar]
- Lankau, R.A. Resistance and recovery of soil microbial communities in the face of Alliaria petiolata invasions. New Phytol. 2011, 189, 536–548. [Google Scholar]
- International Seed Testing Association (ISTA). ISTA International Rules for Seed Testing; International Seed Testing Association: Zurich, Switzerland, 2010. [Google Scholar]
- Sample Availability: Samples of the compounds 4,8-DHT are available from the authors.
© 2014 by the authors. Licensee MDPI, Basel, Switzerland. This article is an open access article distributed under the terms and conditions of the Creative Commons Attribution license ( http://creativecommons.org/licenses/by/4.0/).
Share and Cite
Li, X.-X.; Yu, M.-F.; Ruan, X.; Zhang, Y.-Z.; Wang, Q. Phytotoxicity of 4,8-Dihydroxy-1-tetralone Isolated from Carya cathayensis Sarg. to Various Plant Species. Molecules 2014, 19, 15452-15467. https://doi.org/10.3390/molecules191015452
Li X-X, Yu M-F, Ruan X, Zhang Y-Z, Wang Q. Phytotoxicity of 4,8-Dihydroxy-1-tetralone Isolated from Carya cathayensis Sarg. to Various Plant Species. Molecules. 2014; 19(10):15452-15467. https://doi.org/10.3390/molecules191015452
Chicago/Turabian StyleLi, Xian-Xian, Min-Feng Yu, Xiao Ruan, Yu-Zhu Zhang, and Qiang Wang. 2014. "Phytotoxicity of 4,8-Dihydroxy-1-tetralone Isolated from Carya cathayensis Sarg. to Various Plant Species" Molecules 19, no. 10: 15452-15467. https://doi.org/10.3390/molecules191015452
APA StyleLi, X.-X., Yu, M.-F., Ruan, X., Zhang, Y.-Z., & Wang, Q. (2014). Phytotoxicity of 4,8-Dihydroxy-1-tetralone Isolated from Carya cathayensis Sarg. to Various Plant Species. Molecules, 19(10), 15452-15467. https://doi.org/10.3390/molecules191015452

