Chemo-Enzymatic Synthesis of a Multi-Useful Chiral Building Block Molecule for the Synthesis of Medicinal Compounds
Abstract
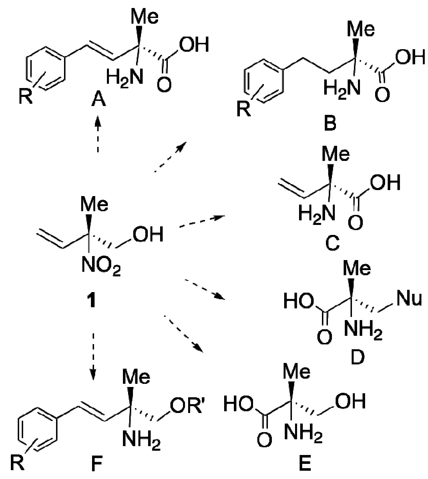
:1. Introduction

2. Results and Discussion

| Entry | Temp | Time | % ee of acetate (R)-2 a(% yield) | % ee of alcohol (S)-1 b (% yield) | % conv. | E value c |
|---|---|---|---|---|---|---|
| 1 | 35 | 10 min. | 54 (35) | 75 (28) | 58 | 7.2 |
| 2 | 20 | 25 min. | 66 (24) | 35 (53) | 35 | 6.8 |
| 3 | 0 | 25 min. | 67 (37) | 42 (50) | 39 | 7.6 |
| 4 | −20 | 30 min. | 76 (21) | 24 (53) | 24 | 9.3 |
| 5 | −40 | 25 min. | 83 (22) | 32 (69) | 28 | 15 |
| 6 | −40 | 26 h | 58 (44) | 94 (27) | 64 | 13 |

3. Experimental
3.1. General Procedures
3.2. Preparation of 2-methyl-2-nitrobut-3-en-1-ol (±1) (Scheme 4) [4]

3.3. Lipase-Catalyzed Transesterification
3.4. Synthesis of (R)-2-Amino-2-methyl-4-(4-(heptyloxy)phenyl)butan-1-ol ((R)-5) (Scheme 5)

3.5. Conversion of (R)-2 to (R)-1 by Acid Hydrolysis
3.6. Preparation of Optically Pure (R)-2 (The Upper Route in Scheme 2)
3.7. Preparation of (S)-1 with High Optical Purity (Bottom Route in Scheme 3)
4. Conclusions
Acknowledgment
Conflict of Interest
References and Notes
- Wong, C.-H.; Whitesides, G.M. Enzymes in Synthetic Organic Chemistry; Elsevier Science Ltd: Pergamon, Oxford, UK, 1994. [Google Scholar]
- Faber, K. Biotransformations in Organic Chemistry, 6th ed; Springer-Verlag Berlin: Heidelberg, Germany, 2011. [Google Scholar]
- Future Directions in Biocatalysis; Matsuda, T. (Ed.) Elsevier: Amsterdam, The Netherlands, 2007.
- Ono, N.; Hamamoto, I.; Kamimura, A.; Kaji, A.; Tamura, R. Reaction of carbanions derived from alpha, BETA-unsaturated nitrocompounds with electrophiles to give alpha, beta-substituted products. Synthesis 1987, 3, 258–260. [Google Scholar]
- Itoh, T. Future Directions in Biocatalysis; Matsuda, T., Ed.; Elsevier: Amsterdam, The Netherlands, 2007; Volume Chapter 1, pp. 3–20. [Google Scholar]
- Lalonde, J.J.; Bergbreiter, D.E.; Wong, C.-H. Enzymatic kinetic resolution of α-nitro α-methyl carboxylic acids. J. Org. Chem. 1988, 53, 2323–2327. [Google Scholar] [CrossRef]
- Im, D.S.; Cheong, C.S.; Lee, S.H. Lipase-catalyzed remote kinetic resolution of quaternary carbon-containing alcohols and determination of their absolute configuration. Bull. Korean Chem. Soc. 2003, 24, 1269–1275. [Google Scholar] [CrossRef]
- Im, D.S.; Cheong, C.S.; Lee, S.H. Lipase-catalyzed remote kinetic resolution of arylic nitriles with adjacent quaternary chiral center and the determination of their absolute configuration. J. Mol. Catal. B: Enzym. 2003, 26, 131–143. [Google Scholar] [CrossRef]
- Angoli, M.; Barilli, A.; Lesma, G.; Passarella, D.; Riva, S.; Silvani, A.; Danieli, B. Remote stereocenter discrimination in the enzymatic resolution of piperidine-2-ethanol. Short enantioselective synthesis of sedamine and allosedamine. J. Org. Chem. 2003, 68, 9525–9527. [Google Scholar] [CrossRef]
- Irimescu, R.; Saito, T.; Kato, K. Enzymatic kinetic resolution of primary alcohols by direct esterification in solvent-free system. J. Mol. Catal. B: Enzym. 2004, 27, 69–73. [Google Scholar] [CrossRef]
- Solares, L.F.; Brieva, R.; Quiro, M.; Llorente, I.; Bayodb, M; Gotor, V. Enzymatic resolution of a quaternary stereogenic centre as the key step in the synthesis of (S)-(+)-citalopram. Tetrahedron Asymmetry 2004, 15, 341–345. [Google Scholar] [CrossRef]
- Recuero, V.; Ferrero, M.; Gotor-Fernández, V.; Brieva, R.; Gotor, V. Enzymatic resolution of hindered cyanohydrins, key precursors of muscarinic receptor antagonists. Tetrahedron Asymmetry 2007, 18, 994–1002. [Google Scholar] [CrossRef]
- Felluga, F.; Ghelfi, F.; Pitacco, G.; Roncaglia, F.; Valentin, E.; Venneri, C.D. Esterase-mediated synthesis of optically active GABA analogues containing a stereogenic all-carbon quaternary carbon atom. Tetrahedron Asymmetry 2010, 21, 2183–2191. [Google Scholar] [CrossRef]
- Sakai, T. Future Directions in Biocatalysis; Matsuda, T., Ed.; Elsevier: Amsterdam, The Netherlands, 2007; Volume Chapter 2, pp. 21–50. [Google Scholar]
- Sakai, T.; Kawabata, I.; Kishimoto, T.; Ema, T.; Utaka, M. Enhancement of the enantioselectivity in lipase-catalyzed kinetic resolutions of 3-phenyl-2H-azirine-2-methanol by lowering the temperature to −40 °C. J. Org. Chem. 1997, 62, 4906–4907. [Google Scholar] [CrossRef]
- Sakai, T.; Kishimoto, I.; Ema, T.; Utaka, M. Low-temperature method for enhancement of enantioselectivity in the lipase-catalyzed kinetic resolutions of solketal and some chiral alcohols. Tetrahedron Lett. 1998, 39, 7881–7884. [Google Scholar]
- Chen, C.-S.; Fujimoto, Y.; Girdaukas, G.; Sih, C.J. Quantitative analyses of biochemical kinetic resolutions of enantiomers. J. Am. Chem. Soc. 1982, 104, 7294–7298. [Google Scholar] [CrossRef]
- Jones, J.B. Applications of Biochemical Systems in Organic Chemistry; Jones, J.B., Shi, C.J., Perlman, D., Eds.; Wiley: New York, NY, USA, 1976; pp. 1–46. [Google Scholar]
- Ema, T.; Kobayashi, J.; Maeno, S.; Sakai, T.; Utaka, M. Origin of the enantioselectivity of lipases explained by a stereo-sensing mechanism operative at the transition state. Bull. Chem. Soc. Jpn. 1998, 71, 443–453. [Google Scholar] [CrossRef]
- Ema, T. Rational strategies for highly enantioselective lipase-catalyzed kinetic resolutions of very bulky chiral compounds: Substrate design and high-temperature biocatalysis. Tetrahedron Asymmetry 2004, 15, 2765–2720. [Google Scholar] [CrossRef]
- Hinterding, K.; Albert, R.; Cottens, S. First asymmetric synthesis of chiral analogues of the novel immunosuppressant FTY720. Tetrahedron Lett. 2002, 43, 8095–8097. [Google Scholar] [CrossRef]
- Nakamura, T.; Tsuji, T.; Iio, Y.; Miyazaki, S.; Takemoto, T.; Nishi, T. Asymmetric synthesis of a,a-disubstituted a-amino alcohol derivatives. Tetrahedron Asymmetry 2006, 17, 2781–2792. [Google Scholar] [CrossRef]
- Itoh, T.; Ishida, N.; Mitsukura, K.; Hayase, S.; Ohashi, K. Synthesis of optically active gem-difluorocyclopropanes through a chemo-enzymatic reaction strategy. J. Fluorine Chem. 2004, 125, 775–783. [Google Scholar] [CrossRef]
- Felpin, F. X.; Coste, J.; Zakri, C.; Fouquet, E. Preparation of 2-quinolones by sequential Heck Reduction-Cyclization (HRC) reactions by using a multitask palladium catalyst. Chem. Eur. J. 2009, 15, 7238–7245. [Google Scholar] [CrossRef]
- Samples Availability: Not available.
© 2011 by the authors; licensee MDPI, Basel, Switzerland. This article is an open access article distributed under the terms and conditions of the Creative Commons Attribution license ( http://creativecommons.org/licenses/by/3.0/).
Share and Cite
Nakano, T.; Yagi, Y.; Miyahara, M.; Kaminura, A.; Kawatsura, M.; Itoh, T. Chemo-Enzymatic Synthesis of a Multi-Useful Chiral Building Block Molecule for the Synthesis of Medicinal Compounds. Molecules 2011, 16, 6747-6757. https://doi.org/10.3390/molecules16086747
Nakano T, Yagi Y, Miyahara M, Kaminura A, Kawatsura M, Itoh T. Chemo-Enzymatic Synthesis of a Multi-Useful Chiral Building Block Molecule for the Synthesis of Medicinal Compounds. Molecules. 2011; 16(8):6747-6757. https://doi.org/10.3390/molecules16086747
Chicago/Turabian StyleNakano, Toshiki, Yusuke Yagi, Mizuki Miyahara, Akio Kaminura, Motoi Kawatsura, and Toshiyuki Itoh. 2011. "Chemo-Enzymatic Synthesis of a Multi-Useful Chiral Building Block Molecule for the Synthesis of Medicinal Compounds" Molecules 16, no. 8: 6747-6757. https://doi.org/10.3390/molecules16086747
APA StyleNakano, T., Yagi, Y., Miyahara, M., Kaminura, A., Kawatsura, M., & Itoh, T. (2011). Chemo-Enzymatic Synthesis of a Multi-Useful Chiral Building Block Molecule for the Synthesis of Medicinal Compounds. Molecules, 16(8), 6747-6757. https://doi.org/10.3390/molecules16086747
