Abstract
Peptoids (N-substituted polyglycines and extended peptoids with variant backbone amino-acid monomer units) are oligomeric synthetic polymers that are becoming a valuable molecular tool in the biosciences. Of particular interest are their applications to the exploration of peptoid secondary structures and drug design. Major advantages of peptoids as research and pharmaceutical tools include the ease and economy of synthesis, highly variable backbone and side-chain chemistry possibilities. At the same time, peptoids have been demonstrated as highly active in biological systems while resistant to proteolytic decay. This review with 227 references considers the solid-phase synthetic aspects of peptoid preparation and utilization up to 2010 from the instigation, by R. N. Zuckermann et al., of peptoid chemistry in 1992.
1. Introduction
N-Substituted glycine oligomers (NSG), otherwise referred to as α-peptoids, are a readily accessible class of synthetic, non-natural peptide mimic of modular design into which a plethora of structural elements can be readily incorporated. The first NSG reports came from Zuckermann et al. in 1992 [1,2]. Since then, the number of reports has been steadily increasing although still coming from a relatively small number of research groups (Figure 1). NSG’s were originally anticipated as a source of lead structure development in the pharmaceutical industry through the preparation of combinatorial libraries of short oligomers [3,4,5]. The initially preferred NSG oligomeric length was a trimer. However, since then the length has extended to 48-mers [6]; 50-mers for homo-oligomers with short linear side-chains; 60-mers via chemical ligation of 15-mers [7,8] and even 150-mers by bio-ligation using the cysteine protease, clostripain [9]. Further work on NSG’s has underscored the considerable untapped potential for NSG’s in medicinal chemistry and as molecular biological tools [4,10,11,12,13,14,15,16,17,18,19,20,21,22,23,24] with applications currently extending to nanostructured materials, catalysis and sensors [25,26,27,28,29,30,31,32,33,34,35,36,37,38,39,40 and see Addendum, page 41].
Figure 1.
Primary research articles, reviews and patents on NSG’s published from 1992 to 2010.
In the biological sciences, one of the major applications of NSG’s is in the analysis of protein-protein interactions. Protein-protein interactions are important in the cellular context and the study of these interfaces is needed for fundamental research in medicine and the bio-chemical sciences, protein capture and purification, diagnostics, etc. However, direct application of proteins and peptides have some severe limitations as medicinal entities as they are typically degraded by proteolytic enzymes and possess poor cell membrane permeability. NSG’s are structural isomers of peptides. However, in NSG’s the pendant side chain extends from an imino-nitrogen, instead of the α-carbon, leading to an achiral, flexible oligomeric backbone devoid of hydrogen bond donors (Figure 2).
Figure 2.
Structure comparison of an α-peptoid and an α-peptide.
Thus, when compared to α-peptides, NSG’s have distinct secondary structures (e.g., helices) characterized by steric and electronic interactions that are stable over a wider range of solvent, ionic and thermal conditions [41]. Further, the NSG backbone is not a substrate for commonly encountered proteases which leads to backbone proteolytic stability. In addition, NSG’s can be more hydrophobic and they possess superior cellular permeability [3,4,5,11,19,20,21]. Still, there is primary sequence alignment of carbonyl groups and side-chains between α-peptides and α-peptoids when countercurrent oligomer direction is correlated (Figure 3). In general, NSG’s present a platform for the study of protein interactions beyond those approachable by small molecules defined by Lipinski’s rules and α-peptides.
Figure 3.
Alignment of retro-α-peptoid (top) and α-peptide sequences.
Recent reviews concerning NSG’s have focused on structure-function relationships and applications [12,16,26,27]. This work provides a comprehensive review of the solid-phase synthesis of N-substituted glycine oligomers (α-peptoids) for the period of its inception in 1992 to April 2010. Literature was searched using the American Chemical Society SciFinder Scholar CAS on-line database using the search term “peptoid” with limiters of “Journal”, “Letter” and “Patent” in the English language. Most of these data have been collected into tables for convenient accessibility and critical comparison of the reader. The intention is that the tables are self-explanatory. Only a few topics will be raised in the body of this review. Patents have not been included here, nor have peptoid/peptide hybrids.
The main table, Table 1S (Supplementary Materials), Homo α-Peptoid Oligomer Synthetic Parameters contains full details of experimental protocols used for the solid-phase synthesis of NSG’s, including entries for solid phase-type, reaction scale, amine submonomer predominating, acylation and displacement (amination) chemistries, solvent use, instrumentation, yields and purities recorded for the given NSG chain length together with any distinguishing comments. It was found to be expedient to gather and present the synthesis parameters by research group. The full table with 82 unique synthetic entries is available in the Supplementary Materials accompanying this review. A heavily abbreviated version of this table (Table 1) is included in the text and gives a representative appreciation of the salient points for the different reported approaches for the submonomer method of NSG synthesis.
Table 1.
Abbreviated homo-α-peptoid oligomer synthetic parameters.*
Table 2 provides details of the solid phases, surfaces and linker chemistry used to immobilise the NSG oligomer during synthetic procedures. A comprehensive inventory of amine submonomers used to date in NSG synthesis is provided in Table 3a. The table is sub-divided into 3aa: aniline, 3ab: benzyl, 3ac: benzyl chiral, 3ad: phenethyl, 3ae: heteroaromatic, 3af: miscellaneous aromatic, 3ag: acyclic alkyl, 3ah: functionalized acyclic alkyl, 3ai: cyclic alkyl, 3aj: amino acids, 3ak: glycosylamine sub-monomers and 3al: amino acid monomers.
Table 2.
Solid Supports for N-Substituted Glycine Oligomers (α-Peptoid).
The ordering within each table is by the number of substituents, length of main carbon chain or ring size and atomic number of substituent or function other than the prerequisite amine (e.g., 9F>8O>7N>6C). The most popular amine submonomers (i.e. those with the most literature appearances, usually more than five or six) have been collected into Table 3b.
Table 4 assembles the automated, robotic, manual, microwave and unique equipment that has been applied for NSG solid phase synthesis.
Table 4.
Synthesis Instrumentation for N-Substituted Glycine Oligomer (α-Peptoid) Synthesis.
Table 5 records, in alphabetical order, the methodologies employed in the characterization and study of NSG’s.
Table 5.
Analysis Methods for N-Substituted Glycine Oligomers (α-Peptoids).
Table 6 provides a directory of molecules that have been appended to backbone or side-chain of NSG’s. Further descriptions for this fascinating aspect of NSG application is, unfortunately, beyond the scope of this review.
Table 6.
Peptoid Conjugates.
Table 7 catalogues the cyclic NSG’s presented in the literature with brief details of the chemistry pertaining to cyclization and the type of cyclization illustrated (e.g., head-to-tail). As most of these protocols are for solution-borne NSG’s they are not dealt with further.
Table 7.
Cyclic N-Substituted Glycine Oligomers (α-Peptoids).
Table 8 lists the main purposes to which NSG’s have been pressed.
Table 8.
Applications of N-substituted Glycine Oligomers (α-Peptoids).
Table 9 is an appreciation of alternate peptoids or related back bone structure oligomers.
Table 9.
Other Types of N-Substituted Amino Acid Oligomers (Peptoids).
Table 10 is a comprehensive registry of the chemical formulations used to pry NSG’s from solid phase supports. As in Table 1S, the listings are clustered by research group. Reference numbering will skip to these tables before returning to the text at the next section.
Table 10.
Cleavage cocktails.
2. NSG Synthesis Methods
There are presently four methods for the synthesis of NSG’s (Scheme 1). The first to appear and subsequently called the monomer approach (Scheme 1A) has a direct analogy with Fmoc SPPS (Fluorenylmethyloxycarbonyl Solid Phase Peptide Synthesis). Here, previously prepared N-Fmoc, N-substituted glycine monomers are sequentially coupled creating oligomers [1,29,30,89,90,91,92,98,155,181,214] (Table 3al). In the other three tactics, termed submonomer methods, the acyl and amine functions of an amino acid monomeric unit are derived from two sequential chemical reactions of acylation and displacement or amination. One of the submonomer strategies, related to the monomer approach utilizes on-resin reductive amination of glycine monomer (Scheme 1B) [215,223,224]. Routes A and B require the use of more expensive protected glycine monomers and coupling reagents, although there is the benefit of real-time coupling analysis from the UV absorbent Fmoc protecting group fragment, dibenzofulvene. This allows the potential for real-time synthesis remediation [98]. A more recent and very exciting technology as a submonomer strategy for high throughout synthesis is the light-directed route of Kodadek et al. (Scheme 1C) [53,54]. The use of digital photolithography is a highly attractive path to the development of diagnostics.
Scheme 1.
General monomer and submonomer synthetic routes to NSG’s.
The most common submonomer method is detailed in this review (Scheme 1D). In this method, acylation adds an activated carboxylic acid derivative onto a receptive amine to generate a (tertiary) amide bond [2,3,4,5,11]. Typically monobromo- or monochloroacetic acid is used, although the symmetric monobromoacetic acid anhydride [88,109], 2,4-dinitrophenylmonobromoacetate [99,102,103,109] for SPOT synthesis on cellulose membranes as well as the N-hydroxysuccinimide (NHS) ester of monochloroacetic acid [212] have been similarly employed. Subsequent displacement of a halide (most typically bromide) by an amine (typically primary although a secondary amine can be used at the N-terminus) produces a secondary amine that is then subject to subsequent acylation thereby propagating the NSG oligomer (Scheme 1D). Typical cycle times for NSG oligomer synthesis are of the order of 150-180 minutes for the completion of one monomeric residue addition at room temperature [55]. Elevation of reaction temperature can significantly reduce the cycle time with, as an example, microwave-assisted peptoid synthetic methodology offering cycle times of approximately 5-10 minutes (Table 4) [19,22,42,43,44,45,46,47,48,70,85,86,89,90,91,108,142].
The scheme represents one monomer addition for the four types of NSG synthesis. Fmoc=fluorenylmethyleneoxycarbonyl, SPPS = solid phase peptide synthesis.
The following sections will follow the NSG synthesis steps as outlined in Scheme 1: Synthesis Instrumentation; Solid Phase Support; Acylation; Amination; Solvents; Deprotection; Analysis Methods and Structural Elaboration of Peptoids.
3. Synthesis Instrumentation
A wide variety of platforms have been put to use for NSG synthesis, including customized automated peptide synthesizers; Robotic workstations; Microwave synthesizers; Houghten tea-bags to contain pools of resin [70,73]; sonicator and manual equipment such as fritted syringes or chromatography columns (Listed in Table 1S and collated in Table 4, references therein).
4. Solid Phase Support
Polystyrene (PS) and polystyrene-poly(ethylene glycol) block co-polymer (PS-PEG) beads with various linker chemistries, magnetic beads, cellulose membranes, modified glass (microarray) and titanium dioxide surfaces have been utilized for the synthesis or display of NSG’s (Table 2). The vast majority of reported syntheses have employed polystyrene beads functionalized with the Rink amide linker leading to C-terminal NSG amides analogous to natural peptide amides. Resultant peptoid amides will have one residual positive charge at the N-terminal amine, whereas a peptoid acid will be zwitterionic in aqueous solution with charges at both terminii.
It has been noted that the PS-PEG polymer, TentaGel (Rapp Polymere, Germany), much preferred for its dual compatibility with NSG synthesis conditions and ensuing on-resin biochemical assay development [52], is however sensitive to rapid changes in solvent polarity resulting in bead cracking upon a direct solvent change to water from dichloromethane [62]. It was found that a gradual change in solvent polarity was tolerated with the sequence of dichloromethane to 1:1 (v/v) dichloromethane-methanol to methanol to water maintaining the structural integrity of this solid phase support [62]. The recent introduction of magnetic beads is a ploy to eliminate the need for the re-synthesis of hits in order to harvest a hit from biochemical screening [40,216] using split-pool combinatorial libraries.
Another linker chemistry in evidence for NSG synthesis is 2-chlorotrityl chloride [57,110]. This sterically challenging moiety assists in the suppression of diketopiperazine (DKP) formation at the peptoid dimer juncture. This linker also yields a C-terminal carboxylic acid. Another facet of this linker is facile cleavage, using the benign 20% (v/v) hexafluoroisopropanol in dichloromethane reagent (instead of the standard trifluoroacetic acid-based protocols), enabling subsequent C-terminal modifications such as cyclization [57] or conjugation (see Table 6). In contrast, cleavage of a NSG dimer from Wang/HMP resin provides quantitative yields of DKP [110]. Further details on Cleavage and Deprotection can be found in a following section of this review. C-terminal α-amino acids have been exploited for some enabling applications. Cysteine has been applied for subsequent conjugation to the fluorophore, fluorescein [47] following cleavage from Knorr amide resin. The thiol function, generated from cysteinamine 2-chlorotrityl resin has been used for chemical ligation of NSG 15-mers to themselves [7,8]. The same authors made C-terminal aldehyde from Sasrin resin coupled with 2,2-dimethyl-1,3-dioxolane-4-methaneamine [7,8]. Methionine has allowed cyanogen bromide mediated cleavage from Tentagel resin [42] and a C-terminal D-serine-glycine spacer enabled complete Edman degradative NSG sequencing on-resin [50].
C-terminal NSG secondary amides have been prepared from MAMP resin (Table 2) by the displacement of a chloride from the linker in an initial amination step by amine submonomer prior to the first acylation step by acyl chlorides [107]. Aldehyde functionalized resins have been used to the same effect using an initial reductive amination with amine submonomer and NaCNBH3 in a DMF/MeOH/AcOH solvent system [71,72,84,217] with reaction monitoring by the Vazquez test [72]. In a solution synthesis, Blackwell et al. produced C-terminal methyl ester, dimethylamide and piperidinamide of N-substituted, N-acetylglycine monomers [127]. A p-gunanidinophenol ester was prepared from a NSG 4- and 5-mer as a protease-mediated ligation substrate in another solution synthesis [9].
An atypical solid support is cellulose membrane employed in SPOT synthesis [99,102,103,109]. These continuous surfaces are used for the preparation of combinatorial libraries in a position addressable manner. Reported is chemically derivatized Whatman 40 cellulose, a type of ashless filter paper, with Rink amide [102,103] and the photolabile 4-[4-(1-Fmoc-aminoethyl)-2-methoxy-5-nitrophenoxyl]butanoic acid [103,109] as linkers. More common among surfaces is glass of the familiar microarray format, with chemical derivatization of amine [53,54], alkyne [93] and maleimide [22,112,113,114] for chemical ligation of NSG’s. Titanium dioxide has also been utilized as a format for the display of NSG’s in investigations of anti-fouling [78].
5. Acylation
Acylation is the first reaction in the submonomer cycle adding the glycine skeleton to the NSG oligomer (Scheme 1). In general, acylation is effected with monobromoacetic acid and the liquid diisopropylcarbodiimide (DIC) reagent (Figure 4). The latter is added neat or in DMF solution (see Table 1S). A convenient 3.2 M solution is prepared from a 1:1 DIC:DMF (v/v) mixture [3].
Figure 4.
Acylation reaction in NSG submonomer synthesis.
Typically, 20 molar equivalents (range 5–200 eq.) of monobromoacetic acid (concentration range 0.4–2.0 M in DMF) are added in a reaction spanning 30 s for microwave assistance to 30 minutes at room temperature (ranges up to 16 hours) (Table 1 and Table 1S). Other solvents used are DMF/DCM mixtures [73,74], DCM [72,95], NMP [88,102,103] for monobromo- or monochloroacetic acid or monobromoacetic acid anhydride [88] and DCM [75,76] or THF [107] for monochloroacetyl chloride. Zuckermann et al. identified an optimal molar ratio of 0.93:1 (DIC:monobromoacetic acid) [7,8]. Acid activation with DIC has been performed separately from the solid phase support by Albericio et al. in order to ensure addition of the formed acid anhydride only with the dehydration urea byproduct being filtered away from a dichloromethane solution [72]. High yields for the acylation reaction have been assured by reaction monitoring using Kaiser [72], deClercq [71,72], bromophenol blue [104] or chloranil [73] tests.
A slight elevation of temperature to 35 ºC [7,8,62,63,67] or 37 ºC [55] or the assistance of microwaves [55,70,85,86,192] (both monomode and multimode, see Table 4) has proven to be beneficial to NSG purity and yield, probably by subjugating NSG secondary structure and its influence on reaction site accessibility. Reaction time and monobromoacetic acid concentration has also been optimized with concomitant increases in yield. Zuckermann et al. observed a 50% jump in stepwise yield for acylation by decreasing monobromoacetic acid concentration from 1.2 M to 0.4 M and decreasing reaction time from 40 minutes to 5 minutes [64]. Similar gains have been discovered by Blackwell et al. [86] and Messeguer et al. [70].
Although monobromoacetic acid, activated with DIC, is the standard bifunctional acylation/amination synthon in NSG preparation, there exists the dual acylation and alkylation reactivity of this reactant to consider. The selectivity for monobromoacetic acid/DIC is approximately 1000 times in favour of acylation [4,64]. However, in the presence of unprotected heterocyclic aromatic nitrogens or phenols, cumulative alkylation occurs. Monochloroacetic acid was introduced to avoid this, taking advantage of the 40-fold difference in leaving ability between bromide and chloride [64,107]. For a series of NSG 5-mers containing two heterocyclic aromatic amine submonomers at positions 2 and 4 (eleven amines in total that included anilines, pyridines, imidazoles, pyrazine and quinoline) the observed purity improved from a range of 10–87% for monobromoacetic acid to a range of 78–95% for monochloroacetic acid. Yields were similarly improved, being 43–93% for monobromoacetic acid compared to a range of 71–92% for monochloroacetic acid (Tables 3ab, 3ae). The acylation reagent monochloroacetic acid/DIC has been widely adopted for instances when heterocyclic aromatic amines are encountered [36,61,64,72,82] or simply for added security against unwanted alkylation [71,72,73,74,107]. Alternative forms of acid activation include the use of monochloroacetyl chloride in company with triethylamine to mop up resulting hydrogen chloride byproduct [75,76,107] - 20 molar equivalents were reacted for 90 minutes on an ice bath [75,76]; symmetric monobromoacetic acid anhydride [88,109] elegantly negates the need for activation reagent; 2,4-dinitrophenylmonobromoacetate was developed to allow preferential N-acylation in the heavily hydroxylated cellulose environment [99,102,103,109]. Of note is the negative effect of N1-hydroxy-benzotriazole (HOBt) on yield, dropping from 75% to 5% upon application of 0.6M HOBt [2].
6. Amination
Amination, or displacement, is the second and final reaction in the submonomer cycle (Scheme 1). In this step, a primary, or N-terminal secondary, amine (called the amine submonomer, Table 3a, 3b) displaces a halide anion from the tertiary haloacetamide covalently attached to the solid phase support to complete N-substituted glycine monomer addition (Figure 5). This reaction creates the molecular diversity displayed by NSG’s, supported by the many hundreds of available primary amines [4]. In fact, over 1000 amines are said to be commercially available [3], although studies use a small sub-set of this total for any given area of study [3,11]. 230 amine submonomers used in NSG synthesis are listed in Table 3a. In general, there is the practice of coded nomenclature for amines used in NSG synthesis. However, there appears to be an absence of rules governing their use and evidence of inconsistent application. Thus, here we avoided them completely, relying instead on the chemical structure and IUPAC chemical nomenclature. Blackwell and co-worker have also noted this confusion [12]. Hence, Table 3a/3b, Amine Submonomers used for N-Substituted Glycine Oligomer Synthesis does not contain any amine submonomer abbreviated nomenclature, just the chemical structure grouped by chemical class.
Figure 5.
Amination reaction in NSG submonomer synthesis.
Typical reaction conditions are 20 molar equivalents of a 1 M DMF solution of amine submonomer at room temperature for 1-2 hours. Parameter ranges are 5-50 molar equivalents; 0.4–2 M, but not less than 0.5 M [3]; room temperature to 95 ºC; 30 s (microwave) – 16 hours (Table 1S). Other solvents are DMSO [2,3,50,51,52,53,54,67,68,71,88,104,106,108], NMP [7,8,60,62,64,79,83,88,107], DCM [83], water/ 0.05% Tween 20 or neat [102,103]. As the recommended amine concentration is 1–2 M, amine solubility can prove to be problematic with the suggestion of sonication in warm water to aid solubilization [3]. The use of a water/0.05% Tween 20 solvent system allowed Wenschuh et al. [102] to apply 5 M amine solutions for SPOT synthesis.
α-Chiral amines are popular as a surrogate for a chiral atom on the NSG back bone [41,58,65,67,79,83,84,85,100,102,125,126,128,136,161,174] (glycine being achiral) thereby inducing helical secondary structure to NSG’s. Zuckermann et al. have noted that the α-methyl group is the largest that can be incorporated without incurring losses in yield for primary alkylamines [67]. Interestingly, Lokey and co-worker observed that a primary butylamine fragment was necessary to obtain good yields with amination of 3- or 4-bromomethylbenzoic acids in their work on solid phase synthesis of extended peptoids [207]. Less nucleophilic amines (e.g., nitrobenzylamines) and aryl amines require extended reaction times at room temperature although the application of microwave irradiation and attendant higher temperatures have been most valuable. Kirshenbaum et al. [57] used standard conditions (1.2 M anilines in DMF, 20 eq., room temperature) but simply extended the reaction time from 1-2 hours to 16 hours. Fukase et al. [104] similarly reacted 15 equivalents of o-phenylenediamine at room temperature for 3 hours. Blackwell et al. [85,86] pioneered the use of multimode microwave irradiation to facilitate the incorporation of nitrated and fluorinated benzylamines. The increase in product purity for NSG 5-mers was considerable going from a range of 11–92% at room temperature to 56–93% at 95 ºC for 90 seconds with microwaves. One 9-mer gave a comparison of 50% purity at room temperature versus 69% with the microwave protocol [86]. The observation of “pale pink oils” resulting from nitroaromatic peptoids [85] may signify the formation of some Meisenheimer complexes during the synthesis.
During the displacement reaction, the HBr byproduct is neutralized by an extra molar equivalent of amine submonomer. In order to eliminate the waste of valuable amine, sacrificial tertiary amine (TEA) has been used such that the amine submonomer can be employed at a lower 5 equivalent [71,72,73,74,75,76] or 10 equivalent level [100] typically in DMF or DMSO [71] instead of the more common 20 molar equivalents of amine submonomer (see Table 1S). As some amine submonomers are only available as hydrochloride salts, these have been released by the addition of either DIEA [87] or 0.95 equivalents of 11 M KOH bases [3].
As with the haloacetic acids, optimization of reaction conditions has resulted in decreases in reaction time. Reaction times of 20 minutes [23,28,33,36,37,38,56,77], 30 minutes [94,95] or 40 minutes [9,58] all at room temperature have been specified. At elevated temperatures; 20 minutes at 35 ºC [62,63] or 60 ºC [89,90,91]; 40 minutes at 35 ºC [7,8,67]; 30 seconds (as 2 × 15 seconds) under multimode microwave irradiation [19,22,40,42,43,44,45,46,47,48] at an undisclosed (obviously the highest) temperature; 60 seconds at 50 ºC [108]; 90 seconds at 90 ºC [70] or 95 ºC [85,86] under monomode microwave irradiation. The most common reaction times are 1-2 hours at room temperature (Table 1S). Concentrations of amine submonomer are typically 1-2 M, yet Messeguer et al. in contrast have used 0.4 M in DMF [70]. However, they compensated for lower concentration by an attendant increase in the number of molar equivalents from, typically 20, to 50 equivalents. As such, the molar quantity of amine present for amination is essentially unchanged in this microwave assisted account [70]. As the NSG gains in length, Zuckermann et al. have gradually increased the reaction time for amination from 20 to 120 minutes for 5- or 10-mers [62] or from 40 to 90 minutes for 15-mers [7,193] all at 35 ºC.
Metal iodides (usually NaI or KI) are used to facilitate amination by substituting for chlorine at the resin-bound monochloroacetate [64,82,107] in order to increase leaving ability (Figure 6).
Figure 6.
Substitution of Cl for I of greater leaving ability [64,82,107].
In situ iodination allows a useful increase in alkylation reactivity without the possibility of cross reactivity with functional groups already introduced on the resin-bound NSG. The use of iodide is particularly effective for valuable NSG’s such as 13C-labelling [82] or for amines of reduced nucleophilicity (e.g., anilines) [64]. As in the case of acylation, chemical tests are used to monitor amination reaction progress. These are the bromophenol blue [99], deClercq [71,72], chloranil [72,73] and Beilstein [104] tests.
7. Solvents
Although it has been recently stated that the acylation and amination reactions at the core of NSG oligomer synthesis are not particularly moisture sensitive [11], it had been previously observed that traces of water in anhydrous DMF or DMSO leads to n-1, n-2 NSG oligomers (i.e. N-terminal deletion sequences) due to N-terminal hydroxyl functions replacing the halogen through hydrolysis thereby terminating chain elongation [55]. As a relatively large volume of solvent is used in any solid phase synthesis for resin washing the use of high purity, anhydrous solvents is an imperative. However, at least three amine submonomers can only be conveniently applied as aqueous solutions – ammonia [120], hydroxylamine [99,102] and methylamine [26,68,120,133] (Table 3ag).
Most resin washing protocols in NSG synthesis use DMF (see Table 1S). Some deviances from this practice are the DMF/isopropyl alcohol/DCM wash of polystyrene resin with the Rink amide AM RAM linker (Table 2) of Messeguer et al. [73,74,75,76] and the washing of chemical modified Whatman 40 cellulose with the sequence of DMF(× 4), MeOH, 0.5M NaOH (× 5), MeOH (× 2) and diethyl ether by Wenschuh et al. [102].
8. Cleavage and Deprotection
At the end of the synthesis, the NSG oligomer remains attached to the resin linker and amine submonomers used during construction may have protecting groups attached to secondary functional groups. It has been advised that aliphatic hydroxyls, carboxylic acids, thiols, amines and heterocycles such as imidazoles and indoles carry protection [3]. As the vast majority of protocols use the acid-labile Rink amide linker (Table 1a, Table 2) to yield C-terminal peptoid amide, a similarly acid-labile protecting group regime is adopted, dictating protecting groups such as Boc (t-butyloxycarbonyl) for amines, tBu (t-butyl) ester or ether for carboxyl or hydroxyl groups, Trt (trityl) for thiol and heterocyclic amine (eg. imidazole); Pmc (2,2,5,7,8-pentamethylchroman-6-sulfonyl) for the guanidine function of arginine mimics and various silyl ethers (Table 2). Chemical interactions between oligomers are largely precluded by the physical isolation of NSG’s from each other on-resin leading to the observation that there is no general requirement for protecting groups [4,218].
There exists a range of cleavage cocktails based on TFA (trifluoroacetic acid) (Table 10) where the most common system is TFA:TIS:water (95:2.5:2.5 (v/v), TIS is triisopropylsilane) for 1-2 hours at room temperature. Other scavengers are thioanisole [42,88,98]; anisole [52,71]; TES (triethylsilane) [61,65,101]; phenol [130]; m-cresol [87] and EDT (ethylenedithiol) [88,98]. Longer deprotection times are used when side-chain protecting groups are present [80,130]. Albericio et al. conducted a careful study of cleavage formulations leading to a TFA:DCM:anisole (49:49:2, v/v) system that maximized NSG purity [71]. They state that anisole is the best scavenger for the Boc group.
The 2-chlorotrityl linker (Table 2) offers an alternate deprotection, where solution-borne C-terminal peptoid acid is produced after exposure to DCM:HFIP (80:20, v/v, HFIP is hexafluoroisopropanol) for 30 minutes [30,57]. The resulting side-chain protected NSG’s are valuable for ligation (Table 6, Table 8) and cyclization (Table 7).
A novel, oxidative deprotection is reported by Zuckermann et al. [62], where sequential treatment of the special linker illustrated in Figure 7 leads to an aldehyde function which is linked to a brominated tag as a Schiff base thereby providing a distinctive probe for mass spectrometric analyses taking advantage of the approximately equal amounts of 79/81Br isotopes.
Figure 7.
Novel oxidative cleavage used for isotopic tagging [62].
9. Analysis Methods
Aside from the chemical tests used to ascertain completion of acylation and amination reactions (see above sections on these two areas), the “benzylamine sandwich assay” is a standardized test of solid phase synthetic procedure effectiveness for the incorporation of a new amine submonomer [3,10,52,64]. A 5-mer with the well-behaved benzylamine interdigitates the test amine submonomer at positions 2 and 4 (Figure 8).
Figure 8.
Benzylamine sandwich assay to test for incorporation of new amine submonomers (“test”) [3,10,52,64].
A 50% [3] to 85-90% overall isolated yield for the 5-mer [10,52] has been stipulated as thresholds for amine submonomer use in NSG synthesis, so this set point is variable depending upon circumstances [64].
19F-NMR of nine aryl fluoride tags has been used to analyse combinatorial libraries [105,106]. Kihlberg et al. introduced three aryl fluoride tags in an earlier report [115]. Other analysis methods are enumerated in Table 5.
10. Structural Elaboration of Peptoids
Peptoid side chains define their physical, chemical and biological properties. Thus, post-synthetic modifications of side chains allows for the development of peptoids for specific applications.
10.1. Water Solubility
Water solubility is a challenge with NSG’s due to their lack of hydrogen bonding donor groups on the backbone and, in general, the scarcity of hydrophilic side chains that have been employed in their synthesis to date. For example, Table 3b illustrates that only a few of the most commonly used amine submonomers would be expected to confer water solubility. However, the use of hydroxyl and ether functionalised alkylamines have been usefully employed to this end. Water solubility of helical peptoids has been problematic due to the hydrophobic character of the many bulky, chiral amines that have been observed to induce secondary structure. A typical example would be the α-methylbenzylamines (Table 3ac, Table 3b). Kirshenbaum and co-worker [58] developed a helix-forming chiral α-methylbenzylamine NSG using the monomer shown in Figure 9A to form water-soluble anionic NSG’s. It was earlier found that chiral-substituted carboxamides imparted an increase in water solubility [4] which was also used in a more recent publication [60], wherein the preparation of a homo-septamer displaying a solubility of 2 mg/mL was detailed, Figure 9B, Table 3ac.
Figure 9.
Amine submonomer garnering water solubility in a homo-oligomer (2- to 13-mer) [4,58,60].
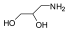
Kirshenbaum et al. also produced a water-soluble electrochemical bio-sensor harnessing the water solubility of the methoxyethylamine submonomer [37], Figure 10.
Figure 10.
Water soluble peptoid electrochemical biosensor [37].
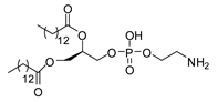
Appella et al. produced some novel amine submonomers based on taurine to enhance NSG water solubility [88], Figure 11, Table 3ah. Volkmer-Engert also used the sulfonic acid submonomer taurine to the same effect [99].
Figure 11.
Sulfonamide and phosphoric acid submonomers for water solubility [88,99].
The cationic 1,4-butadiamine submonomer (lysine mimic) [83] (Table 3ah) and the anionic alanine submonomer [41] (Table 3aj) have also been used for water solubilization. Kodadek et al. have used a number of functionalized amine submonomers in their biomedical studies [52] (Table 3a) to ensure water solubility.
10.2. Glycosylation
Glycosylation of NSG’s is a preferred conjugative strategy in order to increase bioavailability, absorption and attenuation of in vivo clearance (Table 3ak) [145]. The most recent report in this area, by Carrasco et al., is an easy to apply method utilizing N-methylaminooxypropylamine submonomer and unprotected reducing saccharides (three monoses, two bioses and one triose) in a gentle microwave protocol giving 81-89% yields [142], Figure 12.
Figure 12.
The N-methylaminooxypropylamine glycosylation product from Carrasco et al. [142,145].
10.3. Side Chain Instability
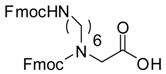
Some amine submonomers are chemically unstable at the acidic deprotection/cleavage stage of synthesis, usually being lost from the NSG. These include p-methoxy α-methylbenzylamine, 2,4,6-trimethoxybenzylamine [4,128] (presumably any electron-rich benzylamine would be a likely suspect), p-guanidino α-methylbenzylamine [60] and p-guanidinophenylethylamine [93] that have been proposed to be eliminated through a proton-catalyzed mechanism [60], Figure 13.
Figure 13.
Amine submonomers lost from peptoid during acid cleavage from solid phase support [4,60,93,128].
However, Disney et al. observed that p-guanidinophenylethylamine could be retained at the third residue of a tetrameric NSG [93]. The alkylated guanidine group (arginine mimic) has been usefully protected (with Pmc, see Table 3ah) and incorporated into NSG’s without difficulty [80,130,140,219]. Another approach has been to add the amidine unit to a side-chain amine already installed onto the NSG using the 1H-pyrazole-1-carboxamidine reagent in an on-resin reaction, Figure 14 [117,138,155].
Figure 14.
On-resin addition of the guanidine function in NSG synthesis [117,138,155].
10.4. Reductive Dehalogenation
Valuable when using automated instrumentation for NSG synthesis is the reductive debromination of N-terminal monobromoacetamide by a 0.25 M solution of sodium borohydride (5 eq.) in DMSO at room temperature for two hours [34] yielding the N-terminal acetamide, Figure 15.
Figure 15.
Reductive debromination of N-terminal monobromoacetamide [34].
10.5. Isotopic Labelling
Isotopic labelling of NSG’s has produced stable 13C and radioactive tritium (3H) labelled peptoids. [1,2-13C]monobromoacetic acid was incorporated at the C-terminal position of a NSG 9-mer to facilitate two dimensional NMR investigations of a novel threaded loop secondary structure [82]. The same labelled starting material was also used in a mass spectrometric analytical method development [118]. An NSG trimer tritium labelled with [Aryl-3H]2-phenylacetic acid was used to follow absorption and disposition in the rat [225], Figure 16.
Figure 16.
Tritium labelled NSG trimer used in biodistribution studies [225].
10.6. Cyclisation
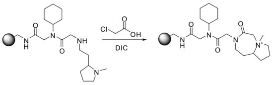
Some interesting NSG oligomer cyclization reactions can occur. Initial observations were of diketopiperazine (DKP) formation from NSG dimers or cyclic ammonium compounds formed when amine submonomers bearing pendant tertiary amines were present [3]. Messeguer et al. made an intensive study of these phenomena in NSG trimer synthesis and showed that where the monomer side chain possessed an unhindered tertiary amine on a two or three carbon chain, subsequent monochloroacetylation would be accompanied by ring closure to a cyclic ammonium compound, Figure 17.
Figure 17.
Formation of cyclic ammonium compounds from pendant tertiary amines [73,75].
However, if the monomer side chain possessed no amine function or a sterically hindered tertiary amine then the cyclic ammonium outcome was blocked leading to DKP formation [73,75], Figure 18. It is advised that NSG synthesis is not halted at the dimer stage as the flexibility of the NSG chain makes DKP formation most likely [3].
Figure 18.
Formation of diketopiperazines from NSG dimers [73,75].
10.7. Side Chain Elaboration
The installation of o-phenylenediamine as an amine submonomer and subsequent condensation with aryl aldehydes in pyridine at 50 ºC overnight led to a range of dimeric NSG-appended benzimidazoles [104], Figure 19.
Figure 19.
Formation of NSG-benzimidazoles [104].
1,3,5-trisubstituted hydantoins have been prepared from NSG dimers, α-amino acid amides or tertiary-butyl esters and isocyanates using concomitant acid-catalyzed ring closure and resin cleavage from a cellulose membrane [103], Figure 20.
Figure 20.
Preparation of NSG-1,3,5-hydantoins [103].
2-Oxopiperazines have been synthesized in two different ways. The first was the reaction of an N-terminal (E)-4-bromobut-2-enoate NSG dimer with an Fmoc-α-amino acid. Ensuing deprotection and intramolecular aza-Michael cyclization leads to a substituted 2-oxopiperazine appended to the NSG dimer [187], Table 7. A later development of the synthetic route to 2-oxopiperazines swapped the amino acid for a peptoid monomer [220], Figure 21.
Figure 21.
2-Oxopiperazines prepared from NSG dimers [187,220].
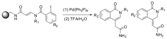
The (E)-4-bromobut-2-enoic acid acylation submonomer was used again in the synthesis of 1(2H)-isoquinolinones by an intramolecular Heck reaction of N-2-iodobenzamides [221], Figure 22.
Figure 22.
Synthesis of 1(2H)-isoquinolinones using NSG synthetic methods [221].
1,4-benzodiazepine-2,5-diones were prepared by an intramolecular aza-Wittig reaction from a NSG dimer N-2-azidobenzamide previously aminated by an α-amino acid ester [69], Figure 23.
Figure 23.
1,4-Benzodiaepines-2,5-diones prepared from NSG dimers [69].
Naughton and co-worker reported the innovative use of ethylenediaminetetraacetic acid (EDTA) as a core branching unit in peptoid-like syntheses [31]. Any avenue of serious endeavour would be remiss without a little humour and for this we have to thank Kirshenbaum et al. with manuscript titles that include: “A new twist on…” [57]; “Peptoids on steroids” [35]; “Fit to be tied” [163]; “Clickity-click” [37] and “Click to fit” [38]! With a healthy total of 14 presentations at the recent 239th ACS National Meeting, March 21-25, 2010 in San Francisco, the future of NSG research and applications appears to be assured.
Glossary of Peptoid Terms
Supplementary Materials
Addendum
Two important reports have appeared during the review of this manuscript. Zuckermann et al. have assembled thin two-dimensional sheets from peptoid 36-mers [226] and Kirshenbaum et al. have introduced peptoid synthesis into the undergraduate laboratory with a report of an anti-cancer trimer synthesis for a 4 hour laboratory session [227].
Acknowledgements
We thank the funding sources of ACRI. ASC would also like to thank Miroslava Čuperlović-Culf of NRC-IIT (National Research Council of Canada) for critical reading and transformative suggestions.
References and Notes
- Simon, R.J.; Kania, R.S.; Zuckermann, R.N.; Huebner, V.D.; Jewell, D.A.; Banville, S.; Ng, S.; Wang, L.; Rosenberg, S.; Marlowe, C.K. Peptoids: A modular approach to drug discovery. Proc. Nat. Acad. Sci. USA 1992, 89, 9367–9371. [Google Scholar] [CrossRef] [PubMed]
- Zuckermann, R.N.; Kerr, J.M.; Kent, S.B.H.; Moos, W.H. Efficient method for the preparation of peptoids [oligo(N-substituted glycines)] by submonomer solid-phase synthesis. J. Am. Chem. Soc. 1992, 114, 10646–10647. [Google Scholar] [CrossRef]
- Figliozzi, G.M.; Goldsmith, R.; Ng, S.C.; Banville, S.C.; Zuckermann, R.N. Synthesis of N-substituted glycine peptoid libraries. Methods Enzymol. 1996, 267, 437–447. [Google Scholar] [PubMed]
- Patch, J.A.; Kirshenbaum, K.; Seurynck, S.L.; Zuckermann, R.N.; Barron, A.E. Versatile Oligo(N-Subsitituted) Glycines: The Many Roles of Peptoids in Drug Discovery. In Pseudo-peptides in Drug Discovery; Nielsen, P.E., Ed.; Wiley-VCH Verlag, GmbH & Co. KgaA: Weinheim, Germany, 2004; pp. 1–31. [Google Scholar]
- Richter, L.S.; Spellmeyer, D.C.; Martin, E.J.; Figliozzi, G.M.; Zuckermann, R.N. Automated Synthesis of Nonnatural Oligomer Libraries: The Peptoid Concept. In Combinatorial Peptide and Nonpeptide Libraries; Jung, G., Ed.; VCH: Weinheim, Germany, 1996; pp. 387–404. [Google Scholar]
- Murphy, J.E.; Uno, T.; Hamer, J.D.; Cohen, F.E.; Dwarki, V.; Zuckermann, R.N. A combinatorial approach to the discovery of efficient cationic peptoid reagents for gene delivery. Proc. Nat. Acad. Sci. USA 1998, 95, 1517–1522. [Google Scholar] [CrossRef] [PubMed]
- Lee, B.-C.; Zuckermann, R.N.; Dill, K.A. Folding a Nonbiological Polymer into a Compact Multihelical Structure. J. Am. Chem. Soc. 2005, 127, 10999–11009. [Google Scholar] [CrossRef] [PubMed]
- Lee, B.-C.; Dill, K.A.; Zuckermann, R.N. Synthesis of long non-natural sequence-specific heteropolymers. Polym. Preprints (Am. Chem. Soc., Div. Polym. Chem.) 2005, 46, 174–175. [Google Scholar]
- Yoo, B.; Kirshenbaum, K. Protease-Mediated Ligation of Abiotic Oligomers. J. Am. Chem. Soc. 2005, 127, 17132–17133. [Google Scholar] [CrossRef] [PubMed]
- Kodadek, T.; Bachhawat-Sikder, K. Optimized protocols for the isolation of specific protein-binding peptides or peptoids from combinatorial libraries displayed on beads. Mol. Biosyst. 2006, 2, 25–35. [Google Scholar] [CrossRef] [PubMed]
- Zuckermann, R.N.; Kodadek, T. Peptoids as potential therapeutics. Curr. Opin. Mol. Therap. 2009, 11, 299–307. [Google Scholar]
- Léo, S.A.; Blackwell, H.E. Structure-function relationships in peptoids: Recent advances toward deciphering the structural requirements for biological function. Org. Biomol. Chem. 2009, 7, 1508–1524. [Google Scholar]
- Masip, I.; Pérez-Payá, E.; Messeguer, A. Peptoids as source of compounds eliciting antibacterial activity. Comb. Chem. & H.T.S. 2005, 8, 235–239. [Google Scholar]
- Hinshaw, J.C.; Prestwich, G.D. The design, synthesis, and evaluation of molecules that enable or enhance cellular uptake: Peptoid molecular transporters. Chemtracts 2001, 14, 391–394. [Google Scholar]
- Brown, N.J.; Johansson, J.; Barron, A.E. Biomimicry of Surfactant Protein C. Account Chem. Res. 2008, 41, 1409–1417. [Google Scholar] [CrossRef] [PubMed]
- Czyzewski, A.M.; Barron, A.E. Protein and peptide biomimicry: Gold-mining inspiration from Nature’s ingenuity. AIChE J. 2008, 54, 1–7. [Google Scholar] [CrossRef]
- Astle, J.M.; Simpson, L.S.; Huang, Y.; Reddy, M.M.; Wilson, R.; Connell, S.; Wilson, J.; Kodadek, T. Seamless bead to microarray screening: Rapid identification of the highest affinity protein ligands from large combinatorial libraries. Chem. Biol. 2010, 17, 38–45. [Google Scholar] [CrossRef] [PubMed]
- Kwon, Y.-U.; Kodadek, T. Quantitative evaluation of the relative cell permeability of peptoids and peptides. J. Am. Chem. Soc. 2007, 129, 1508–1509. [Google Scholar] [CrossRef] [PubMed]
- Miller, S.M.; Simon, R.J.; Ng, S.; Zuckermann, R.N.; Kerr, J.M.; Moos, W.H. Comparison of the proteolytic susceptibilities of homologous L-amino acid, D-amino acid, and N-substituted glycine peptide and peptoid oligomers. Drug Develop. Res. 1995, 35, 20–32. [Google Scholar] [CrossRef]
- Miller, S.M.; Simon, R.J.; Ng, S.; Zuckermann, R.N.; Kerr, J.M.; Moos, W.H. Proteolytic studies of homologous peptide and N-substituted glycine peptoid oligomers. Bioorg. Med. Chem. Lett. 1994, 4, 2657–2662. [Google Scholar] [CrossRef]
- Lim, H.-S.; Muralidhar Reddy, M.; Xiao, X.; Wilson, J.; Wilson, R.; Connell, S.; Kodadek, T. Rapid identification of improved protein ligands using peptoid microarrays. Bioorg. Med. Chem. Lett. 2009, 19, 3866–3869. [Google Scholar] [CrossRef] [PubMed]
- Statz, A.R.; Kuang, J.; Ren, C.; Barron, A.E.; Szleifer, I.; Messersmith, P.B. Experimental and theoretical investigation of chain length and surface coverage on fouling of surface grafted polypeptoids. Biointerphases 2009, 4, FA22–FA32. [Google Scholar] [CrossRef] [PubMed]
- Zarra, R.; Montesarchio, D.; Coppola, C.; Bifulco, G.; Di Micco, S.; Izzo, I.; De Riccardis, F. Design, Synthesis, and Hybridisation of Water-Soluble, Peptoid Nucleic Acid Oligomers Tagged with Thymine. Eur. J. Org. Chem. 2009, 35, 6113–6120. [Google Scholar] [CrossRef]
- Dohm, M.T.; Seurynck-Servoss, S.L.; Seo, J.; Zuckermann, R.N.; Barron, A.E. Close mimicry of lung surfactant protein B by "clicked" dimers of helical, cationic peptoids. Biopolymers 2009, 92, 538–553. [Google Scholar] [CrossRef] [PubMed]
- Butterfoss, G.L.; Renfrew, P.D.; Kuhlman, B.; Kirshenbaum, K.; Bonneau, R. A preliminary survey of the peptoid folding landscape. J. Am. Chem. Soc. 2009, 131, 16798–16807. [Google Scholar] [CrossRef] [PubMed]
- Gorske, B.C.; Stringer, J.R.; Bastian, B.L.; Fowler, S.A.; Blackwell, H.E. New strategies for the design of folded peptoids revealed by a survey of noncovalent interactions in model systems. J. Am. Chem. Soc. 2009, 131, 16555–16567. [Google Scholar] [CrossRef] [PubMed]
- Maayan, G.; Ward, M.D.; Kirshenbaum, K. Folded biomimetic oligomers for enantioselective catalysis. Proc. Nat. Acad. Sci. USA 2009, 106, 13679–13684. [Google Scholar] [CrossRef] [PubMed]
- Norgren, A.S.; Budke, C.; Majer, Z.; Heggemann, C.; Koop, T.; Sewald, N. On-resin click-glycoconjugation of peptoids. Synthesis 2009, 488–494. [Google Scholar]
- De Cola, C.; Licen, S.; Comegna, D.; Cafaro, E.; Bifulco, G.; Izzo, I.; Tecilla, P.; De Riccardis, F. Size-dependent cation transport by cyclic α-peptoid ion carriers. Org. Biomol. Chem. 2009, 7, 2851–2854. [Google Scholar] [CrossRef] [PubMed]
- Fisher, A.E.O.; Naughton, D.P. Novel peptoids for the detection and suppression of reactive oxygen and nitrogen species. Biochem. Soc. Trans. 2003, 31, 1302–1304. [Google Scholar] [CrossRef] [PubMed]
- Barron, A.E.; Zuckermann, R.N. Bioinspired polymeric materials: In-between proteins and plastics. Curr. Opin. Chem. Biol. 1999, 3, 681–687. [Google Scholar] [CrossRef]
- De Cola, C.; Licen, S.; Comegna, D.; Cafaro, E.; Bifulco, G.; Izzo, I.; Tecilla, P.; De Riccardis, F. Size-dependent cation transport by cyclic α-peptoid ion carriers. Org. Biomol. Chem. 2009, 7, 2851–2854. [Google Scholar] [CrossRef] [PubMed]
- Maayan, G.; Ward, M.D.; Kirshenbaum, K. Metallopeptoids. Chem. Commun. 2009, 56–58. [Google Scholar] [CrossRef] [PubMed]
- Shah, N.H.; Kirshenbaum, K. Photoresponsive peptoid oligomers bearing azobenzene side chains. Org. Biomol. Chem. 2008, 6, 2516–2521. [Google Scholar] [CrossRef] [PubMed]
- Holub, J.M.; Garabedian, M.J.; Kirshenbaum, K. Peptoids on steroids: precise multivalent estradiol - peptidomimetic conjugates generated via azide - alkyne [3 + 2] cycloaddition reactions. QSAR Comb. Sci. 2007, 26, 1175–1180. [Google Scholar] [CrossRef]
- Maayan, G.; Yoo, B.; Kirshenbaum, K. Heterocyclic amines for the construction of peptoid oligomers bearing multi-dentate ligands. Tetrahedron Lett. 2008, 49, 335–338. [Google Scholar] [CrossRef] [PubMed]
- Holub, J.M.; Jang, H.; Kirshenbaum, K. Clickity-click: highly functionalized peptoid oligomers generated by sequential conjugation reactions on solid-phase support. Org. Biomol. Chem. 2006, 4, 1497–1502. [Google Scholar] [CrossRef] [PubMed]
- Jang, H.; Fafarman, A.; Holub, J.M.; Kirshenbaum, K. Click to Fit: Versatile Polyvalent Display on a Peptidomimetic Scaffold. Org. Lett. 2005, 7, 1951–1954. [Google Scholar] [CrossRef] [PubMed]
- Lee, J.; Udugamasooriya, D.G.; Lim, H.-S.; Kodadek, T. Potent and selective photo-inactivation of proteins with peptoid-ruthenium conjugates. Nat. Chem. Biol. 2010, 6, 258–260. [Google Scholar] [CrossRef] [PubMed]
- Qi, X.; Astle, J.; Kodadek, T. Rapid identification of orexin receptor binding ligands using cell-based screening accelerated with magnetic beads. Mol. Biosyst. 2010, 6, 102–107. [Google Scholar] [CrossRef] [PubMed]
- Sanborn, T.J.; Wu, C.W.; Zuckermann, R.N.; Barron, A.E. Extreme stability of helices formed by water-soluble poly-N-substituted glycines (polypeptoids) with α-chiral side chains. Biopolymers 2002, 63, 12–20. [Google Scholar] [CrossRef] [PubMed]
- Simpson, L.S.; Burdine, L.; Dutta, A.K.; Feranchak, A.P.; Kodadek, T. Selective Toxin Sequestrants for the Treatment of Bacterial Infections. J. Am. Chem. Soc. 2009, 131, 5760–5762. [Google Scholar] [CrossRef] [PubMed]
- Udugamasooriya, D.G.; Dineen, S.P.; Brekken, R.A.; Kodadek, T. A Peptoid "Antibody Surrogate" That Antagonizes VEGF Receptor 2 Activity. J. Am. Chem. Soc. 2008, 130, 5744–5752. [Google Scholar] [CrossRef] [PubMed]
- Lim, H.-S.; Archer, C.T.; Kodadek, T. Identification of a Peptoid Inhibitor of the Proteasome 19S Regulatory Particle. J. Am. Chem. Soc. 2007, 129, 7750–7751. [Google Scholar] [CrossRef] [PubMed]
- Xiao, X.; Yu, P.; Lim, H.-S.; Sikder, D.; Kodadek, T. Design and synthesis of a cell-permeable synthetic transcription factor mimic. J. Comb. Chem. 2007, 9, 592–600. [Google Scholar] [CrossRef] [PubMed]
- Astle, J.M.; Udugamasooriya, D.G.; Smallshaw, J.E.; Kodadek, T. A VEGFR2 Antagonist and Other Peptoids Evade Immune Recognition. Int. J. Pept. Res. Therap. 2008, 14, 223–227. [Google Scholar] [CrossRef]
- Udugamasooriya, D.G.; Dunham, G.; Ritchie, C.; Brekken, R.A.; Kodadek, T. The pharmacophore of a peptoid VEGF receptor 2 antagonist includes both side chain and main chain residues. Bioorg. Med. Chem. Lett. 2008, 18, 5892–5894. [Google Scholar] [CrossRef] [PubMed]
- Tan, N.C.; Yu, P.; Kwon, Y.-U.; Kodadek, T. High-throughput evaluation of relative cell permeability between peptoids and peptides. Bioorg. Med. Chem. 2008, 16, 5853–5861. [Google Scholar] [CrossRef] [PubMed]
- Shores, K.S.; Udugamasooriya, D.G.; Kodadek, T.; Knapp, D.R. Use of Peptide Analogue Diversity Library Beads for Increased Depth of Proteomic Analysis: Application to Cerebrospinal Fluid. J. Proteome Res. 2008, 7, 1922–1931. [Google Scholar] [CrossRef] [PubMed]
- Alluri, P.; Liu, B.; Yu, P.; Xiao, X.; Kodadek, T. Isolation and characterization of coactivator-binding peptoids from a combinatorial library. Mol. Biosyst. 2006, 2, 568–579. [Google Scholar] [CrossRef] [PubMed]
- Liu, B.; Alluri, P.G.; Yu, P.; Kodadek, T. A Potent Transactivation Domain Mimic with Activity in Living Cells. J. Am. Chem. Soc. 2005, 127, 8254–8255. [Google Scholar] [CrossRef] [PubMed]
- Alluri, P.G.; Reddy, M.M.; Bachhawat-Sikder, K.; Olivos, H.J.; Kodadek, T. Isolation of protein ligands from large peptoid libraries. J. Am. Chem. Soc. 2003, 125, 13995–14004. [Google Scholar] [CrossRef] [PubMed]
- Li, S.; Bowerman, D.; Marthandan, N.; Klyza, S.; Luebke, K.J.; Garner, H.R.; Kodadek, T. Photolithographic Synthesis of Peptoids. J. Am. Chem. Soc. 2004, 126, 4088–4089. [Google Scholar] [CrossRef] [PubMed]
- Marthandan, N.; Klyza, S.; Li, S.; Kwon, Y.U.; Kodadek, T.; Garner, H.R. Construction and evaluation of an automated light directed protein-detecting microarray synthesizer. IEEE Trans. Nanobiosci. 2008, 7, 20–27. [Google Scholar] [CrossRef] [PubMed]
- Olivos, H.J.; Alluri, P.G.; Reddy, M.M.; Salony, D.; Kodadek, T. Microwave-Assisted Solid-Phase Synthesis of Peptoids. Org. Lett. 2002, 4, 4057–4059. [Google Scholar] [CrossRef] [PubMed]
- Fafarman, A.T.; Borbat, P.P.; Freed, J.H.; Kirshenbaum, K. Characterizing the structure and dynamics of folded oligomers: Pulsed ESR studies of peptoid helices. Chem. Commun. 2007, 377–379. [Google Scholar] [CrossRef] [PubMed]
- Shah, N.H.; Butterfoss, G.L.; Nguyen, K.; Yoo, B.; Bonneau, R.; Rabenstein, D.L.; Kirshenbaum, K. Oligo(N-aryl glycines): A new twist on structured peptoids. J. Am. Chem. Soc. 2008, 130, 16622–16632. [Google Scholar] [CrossRef] [PubMed]
- Shin, S.B.Y.; Kirshenbaum, K. Conformational Rearrangements by Water-Soluble Peptoid Foldamers. Org. Lett. 2007, 9, 5003–5006. [Google Scholar] [CrossRef] [PubMed]
- Yoo, B.; Kirshenbaum, K. Protease-Mediated Ligation of Abiotic Oligomers. J. Am. Chem. Soc. 2005, 127, 17132–17133. [Google Scholar] [CrossRef] [PubMed]
- Seo, J.; Barron, A.E.; Zuckermann, R.N. Novel Peptoid Building Blocks: Synthesis of Functionalized Aromatic Helix-Inducing Submonomers. Org. Lett. 2010, 12, 492–495. [Google Scholar] [CrossRef] [PubMed]
- Lee, B.-C.; Chu, T.K.; Dill, K.A.; Zuckermann, R.N. Biomimetic Nanostructures: Creating a High-Affinity Zinc-Binding Site in a Folded Nonbiological Polymer. J. Am. Chem. Soc. 2008, 130, 8847–8855. [Google Scholar] [CrossRef] [PubMed]
- Paulick, M.G.; Hart, K.M.; Brinner, K.M.; Tjandra, M.; Charych, D.H.; Zuckermann, R.N. Cleavable Hydrophilic Linker for One-Bead-One-Compound Sequencing of Oligomer Libraries by Tandem Mass Spectrometry. J. Comb. Chem. 2006, 8, 417–426. [Google Scholar] [CrossRef] [PubMed]
- Horn, T.; Lee, B.-C.; Dill, K.A.; Zuckermann, R.N. Incorporation of Chemoselective Functionalities into Peptoids via Solid-Phase Submonomer Synthesis. Bioconjugate Chem. 2004, 15, 428–435. [Google Scholar] [CrossRef] [PubMed]
- Burkoth, T.S.; Fafarman, A.T.; Charych, D.H.; Connolly, M.D.; Zuckermann, R.N. Incorporation of Unprotected Heterocyclic Side Chains into Peptoid Oligomers via Solid-Phase Submonomer Synthesis. J. Am. Chem. Soc. 2003, 125, 8841–8845. [Google Scholar] [CrossRef] [PubMed]
- Burkoth, T.S.; Beausoleil, E.; Kaur, S.; Tang, D.; Cohen, F.E.; Zuckermann, R.N. Toward the Synthesis of Artificial Proteins. The Discovery of an Amphiphilic Helical Peptoid Assembly. Chem. Biol. 2002, 9, 647–654. [Google Scholar] [CrossRef]
- Huang, C.-Y.; Uno, T.; Murphy, J.E.; Lee, S.; Hamer, J.D.; Escobedo, J.A.; Cohen, F.E.; Radhakrishnan, R.; Dwarki, V.; Zuckermann, R.N. Lipitoids - novel cationic lipids for cellular delivery of plasmid DNA in vitro. Chem. Biol. 1998, 5, 345–354. [Google Scholar] [CrossRef]
- Kirshenbaum, K.; Barron, A.E.; Goldsmith, R.A.; Armand, P.; Bradley, E.K.; Truong, K.T.V.; Dill, K.A.; Cohen, F.E.; Zuckermann, R.N. Sequence-specific polypeptoids: a diverse family of heteropolymers with stable secondary structure. Proc. Nat. Acad. Sci. USA 1998, 95, 4303–4308. [Google Scholar] [CrossRef] [PubMed]
- Zuckermann, R.N.; Martin, E.J.; Spellmeyer, D.C.; Stauber, G.B.; Shoemaker, K.R.; Kerr, J.M.; Figliozzi, G.M.; Goff, D.A.; Siani, M.A.; Simon, R.J.; Banville, S.C.; Brown, E.G.; Wang, L.; Richter, L.S.; Moos, W.H. Discovery of Nanomolar Ligands for 7-Transmembrane G-Protein-Coupled Receptors from a Diverse N-(Substituted)glycine Peptoid Library. J. Med. Chem. 1994, 37, 2678–2685. [Google Scholar] [CrossRef] [PubMed]
- Goff, D.A.; Zuckermann, R.N. Solid-phase synthesis of defined 1,4-benzodiazepine-2,5-dione mixtures. J.Org. Chem. 1995, 60, 5744–5745. [Google Scholar] [CrossRef]
- Messeguer, J.; Cortes, N.; Garcia-Sanz, N.; Navarro-Vendrell, G.; Ferrer-Montiel, A.; Messeguer, A. Synthesis of a positional scanning library of pentamers of N-alkylglycines assisted by microwave activation and validation via the identification of trypsin inhibitors. J. Comb. Chem. 2008, 10, 974–980. [Google Scholar] [CrossRef] [PubMed]
- Quintanar-Audelo, M.; Fernandez-Carvajal, A.; Van Den Nest, W.; Carreno, C.; Ferrer-Montiel, A.; Albericio, F. Design and Synthesis of Indole-Based Peptoids as Potent Noncompetitive Antagonists of Transient Receptor Potential Vanilloid 1. J. Med. Chem. 2007, 50, 6133–6143. [Google Scholar] [CrossRef] [PubMed]
- Mas-Moruno, C.; Cruz, L.J.; Mora, P.; Francesch, A.; Messeguer, A.; Perez-Paya, E.; Albericio, F. Smallest peptoids with antiproliferative activity on human neoplastic cells. J. Med. Chem. 2007, 50, 2443–2449. [Google Scholar] [CrossRef] [PubMed]
- Masip, I.; Cortes, N.; Abad, M.-J.; Guardiola, M.; Perez-Paya, E.; Ferragut, J.; Ferrer-Montiel, A.; Messeguer, A. Design and synthesis of an optimized positional scanning library of peptoids: identification of novel multidrug resistance reversal agents. Bioorg. Med. Chem. 2005, 13, 1923–1929. [Google Scholar] [CrossRef] [PubMed]
- Mora, P.; Masip, I.; Cortes, N.; Marquina, R.; Merino, R.; Merino, J.; Carbonell, T.; Mingarro, I.; Messeguer, A.; Perez-Paya, E. Identification from a Positional Scanning Peptoid Library of in Vivo Active Compounds That Neutralize Bacterial Endotoxins. J. Med. Chem. 2005, 48, 1265–1268. [Google Scholar] [CrossRef] [PubMed]
- Humet, M.; Carbonell, T.; Masip, I.; Sanchez-Baeza, F.; Mora, P.; Canton, E.; Gobernado, M.; Abad, C.; Perez-Paya, E.; Messeguer, A. A positional scanning combinatorial library of peptoids as a source of biological active molecules: identification of antimicrobials. J. Comb. Chem. 2003, 5, 597–605. [Google Scholar] [CrossRef] [PubMed]
- Garcia-Martinez, C.; Humet, M.; Planells-Cases, R.; Gomis, A.; Caprini, M.; Viana, F.; De la Pena, E.; Sanchez-Baeza, F.; Carbonell, T.; De Felipe, C. Attenuation of thermal nociception and hyperalgesia by VR1 blockers. Proc. Nat. Acad. Sci. USA 2002, 99, 2374–2379. [Google Scholar] [CrossRef] [PubMed]
- Chongsiriwatana, N.P.; Patch, J.A.; Czyzewski, A.M.; Dohm, M.T.; Ivankin, A.; Gidalevitz, D.; Zuckermann, R.N.; Barron, A.E. Peptoids that mimic the structure, function, and mechanism of helical antimicrobial peptides. Proc. Nat. Acad. Sci. USA 2008, 105, 2794–2799. [Google Scholar] [CrossRef] [PubMed]
- Statz, A.R.; Park, J.P.; Chongsiriwatana, N.P.; Barron, A.E.; Messersmith, P.B. Surface-immobilised antimicrobial peptoids. Biofouling 2008, 24, 439–448. [Google Scholar] [CrossRef] [PubMed]
- Brown, N.J.; Wu, C.W.; Seurynck-Servoss, S.L.; Barron, A.E. Effects of Hydrophobic Helix Length and Side Chain Chemistry on Biomimicry in Peptoid Analogues of SP-C. Biochemistry 2008, 47, 1808–1818. [Google Scholar] [CrossRef] [PubMed]
- Seurynck-Servoss, S.L.; Dohm, M.T.; Barron, A.E. Effects of Including an N-Terminal Insertion Region and Arginine-Mimetic Side Chains in Helical Peptoid Analogues of Lung Surfactant Protein B. Biochemistry 2006, 45, 11809–11818. [Google Scholar] [CrossRef] [PubMed]
- Seurynck, S.L.; Patch, J.A.; Barron, A.E. Simple, Helical Peptoid Analogs of Lung Surfactant Protein B. Chem. Biol. 2005, 12, 77–88. [Google Scholar] [CrossRef] [PubMed]
- Huang, K.; Wu, C.W.; Sanborn, T.J.; Patch, J.A.; Kirshenbaum, K.; Zuckermann, R.N.; Barron, A.E.; Radhakrishnan, I. A threaded loop conformation adopted by a family of peptoid nonamers. J. Am. Chem. Soc. 2006, 128, 1733–1738. [Google Scholar] [CrossRef] [PubMed]
- Patch, J.A.; Barron, A.E. Helical Peptoid Mimics of Magainin-2 Amide. J. Am. Chem. Soc. 2003, 125, 12092–12093. [Google Scholar] [CrossRef] [PubMed]
- Wu, C.W.; Sanborn, T.J.; Huang, K.; Zuckermann, R.N.; Barron, A.E. Peptoid oligomers with α-chiral, aromatic side chains: sequence requirements for the formation of stable peptoid helices. J. Am. Chem. Soc. 2001, 123, 6778–6784. [Google Scholar] [CrossRef] [PubMed]
- Fowler, S.A.; Luechapanichkul, R.; Blackwell, H.E. Synthesis and characterization of nitroaromatic peptoids: fine tuning peptoid secondary structure through monomer position and functionality. J. Org. Chem. 2009, 74, 1440–1449. [Google Scholar] [CrossRef] [PubMed]
- Gorske, B.C.; Jewell, S.A.; Guerard, E.J.; Blackwell, H.E. Expedient Synthesis and Design Strategies for New Peptoid Construction. Org. Lett. 2005, 7, 1521–1524. [Google Scholar] [CrossRef] [PubMed]
- Pokorski, J.K.; Miller Jenkins, L.M.; Feng, H.; Durell, S.R.; Bai, Y.; Appella, D.H. Introduction of a Triazole Amino Acid into a Peptoid Oligomer Induces Turn Formation in Aqueous Solution. Org. Lett. 2007, 9, 2381–2383. [Google Scholar] [CrossRef] [PubMed]
- Hara, T.; Durell, S.R.; Myers, M.C.; Appella, D.H. Probing the Structural Requirements of Peptoids That Inhibit HDM2-p53 Interactions. J. Am. Chem. Soc. 2006, 128, 1995–2004. [Google Scholar] [CrossRef] [PubMed]
- Unciti-Broceta, A.; Diezmann, F.; Ou-Yang, C.Y.; Fara, M.A.; Bradley, M. Synthesis, penetrability and intracellular targeting of fluorescein-tagged peptoids and peptide-peptoid hybrids. Bioorg. Med. Chem. 2009, 17, 959–966. [Google Scholar] [CrossRef] [PubMed]
- Diaz-Mochon, J.J.; Fara, M.A.; Sanchez-Martin, R.M.; Bradley, M. Peptoid dendrimers-microwave-assisted solid-phase synthesis and transfection agent evaluation. Tetrahedron Lett. 2008, 49, 923–926. [Google Scholar] [CrossRef]
- Fara, M.A.; Diaz-Mochon, J.J.; Bradley, M. Microwave-assisted coupling with DIC/HOBt for the synthesis of difficult peptoids and fluorescently labeled peptides-a gentle heat goes a long way. Tetrahedron Lett. 2006, 47, 1011–1014. [Google Scholar] [CrossRef]
- Peretto, I.; Sanchez-Martin, R.M.; Wang, X.-H.; Ellard, J.; Mittoo, S.; Bradley, M. Cell penetrable peptoid carrier vehicles: synthesis and evaluation. Chem. Commun. 2003, 2312–2313. [Google Scholar] [CrossRef]
- Labuda, L.P.; Pushechnikov, A.; Disney, M.D. Small Molecule Microarrays of RNA-Focused Peptoids Help Identify Inhibitors of a Pathogenic Group I Intron. ACS Chem. Biol. 2009, 4, 299–307. [Google Scholar] [CrossRef] [PubMed]
- Disney, M.D.; Lee, M.M.; Pushechnikov, A.; Childs-Disney, J.L. The Role of Flexibility in the Rational Design of Modularly Assembled Ligands Targeting the RNAs that Cause the Myotonic Dystrophies. ChemBioChem 2010, 11, 375–382. [Google Scholar] [CrossRef] [PubMed]
- Comegna, D.; De Riccardis, F. An Efficient Modular Approach for the Assembly of S-Linked Glycopeptoids. Org. Lett. 2009, 11, 3898–3901. [Google Scholar] [CrossRef] [PubMed]
- De Cola, C.; Licen, S.; Comegna, D.; Cafaro, E.; Bifulco, G.; Izzo, I.; Tecilla, P.; De Riccardis, F. Size-dependent cation transport by cyclic α-peptoid ion carriers. Org. Biomol. Chem. 2009, 7, 2851–2854. [Google Scholar] [CrossRef] [PubMed]
- Elgersma, R.C.; Mulder, G.E.; Kruijtzer, J.A.W.; Posthuma, G.; Rijkers, D.T.S.; Liskamp, R.M.J. Transformation of the amyloidogenic peptide amylin(20-29) into its corresponding peptoid and retropeptoid: Access to both an amyloid inhibitor and template for self-assembled supramolecular tapes. Bioorg.Med. Chem. Lett. 2007, 17, 1837–1842. [Google Scholar] [CrossRef] [PubMed]
- Kruijtzer, J.A.W.; Hofmeyer, L.J.F.; Heerma, W.; Versluis, C.; Liskamp, R.M.J. Solid-phase syntheses of peptoids using Fmoc-protected N-substituted glycines: the synthesis of (retro)peptoids of leu-enkephalin and substance P. Chem.- Eur. J. 1998, 4, 1570–1580. [Google Scholar] [CrossRef]
- Hoffmann, B.; Ast, T.; Polakowski, T.; Reineke, U.; Volkmer, R. Transformation of a biologically active peptide into peptoid analogs while retaining biological activity. Prot. Pept. Lett. 2006, 13, 829–833. [Google Scholar] [CrossRef]
- Kesavan, V.; Tamilarasu, N.; Cao, H.; Rana, T.M. A new class of RNA-binding oligomers: Peptoid amide and ester analogues. Bioconjugate Chem. 2002, 13, 1171–1175. [Google Scholar] [CrossRef]
- Biondi, L.; Giannini, E.; Filira, F.; Gobbo, M.; Negri, L.; Rocchi, R. [D-Ala2]-deltorphin I peptoid and retropeptoid analogs: Synthesis, biological activity and conformational investigations. J. Pept. Sci. 2004, 10, 578–587. [Google Scholar] [CrossRef] [PubMed]
- Heine, N.; Ast, T.; Schneider-Mergener, J.; Reineke, U.; Germeroth, L.; Wenschuh, H. Synthesis and screening of peptoid arrays on cellulose membranes. Tetrahedron 2003, 59, 9919–9930. [Google Scholar] [CrossRef]
- Heine, N.; Germeroth, L.; Schneider-Mergener, J.; Wenschuh, H. A modular approach to the SPOT synthesis of 1,3,5-trisubstituted hydantoins on cellulose membranes. Tetrahedron Lett. 2001, 42, 227–230. [Google Scholar] [CrossRef]
- Akamatsu, H.; Fukase, K.; Kusumoto, S. New Efficient Route for Solid-Phase Synthesis of Benzimidazole Derivatives. J. Comb. Chem. 2002, 4, 475–483. [Google Scholar] [CrossRef] [PubMed]
- Pirrung, M.C.; Park, K.; Tumey, L.N. 19F-Encoded Combinatorial Libraries: Discovery of Selective Metal Binding and Catalytic Peptoids. J. Comb. Chem. 2002, 4, 329–344. [Google Scholar] [CrossRef] [PubMed]
- Pirrung, M.C.; Park, K. Discovery of selective metal-binding peptoids using 19F encoded combinatorial libraries. Bioorg. Med. Chem. Lett. 2000, 10, 2115–2118. [Google Scholar] [CrossRef]
- Brown, D.S.; Revill, J.M.; Shute, R.E. Merrifield, alpha-methoxyphenyl (MAMP) resin; a new versatile solid support for the synthesis of secondary amides. Tetrahedron Lett. 1998, 39, 8533–8536. [Google Scholar] [CrossRef]
- Nnanabu, E.; Burgess, K. Cyclic semipeptoids: Peptoid-organic hybrid macrocycles. Org. Lett. 2006, 8, 1259–1262. [Google Scholar] [CrossRef] [PubMed]
- Ast, T.; Heine, N.; Germeroth, L.; Schneider-Mergener, J.; Wenschuh, H. Efficient assembly of peptomers on continuous surfaces. Tetrahedron Lett. 1999, 40, 4317–4318. [Google Scholar] [CrossRef]
- Anne, C.; Fournie-Zaluski, M.-C.; Roques, B.P.; Cornille, F. Solid phase synthesis of peptoid derivatives containing a free C-terminal carboxylate. Tetrahedron Lett. 1998, 39, 8973–8974. [Google Scholar] [CrossRef]
- Lee, M.M.; Pushechnikov, A.; Disney, M.D. Rational and modular design of potent ligands targeting the RNA that causes myotonic dystrophy 2. ACS Chem. Biol. 2009, 4, 345–355. [Google Scholar] [CrossRef] [PubMed]
- Chirayil, S.; Chirayil, R.; Luebke, K.J. Discovering ligands for a microRNA precursor with peptoid microarrays. Nucl. Acids Res. 2009, 37, 5486–5497. [Google Scholar] [CrossRef] [PubMed]
- Kwon, Y.-U.; Kodadek, T. Encoded combinatorial libraries for the construction of cyclic peptoid microarrays. Chem. Commun. 2008, 5704–5706. [Google Scholar] [CrossRef] [PubMed]
- Reddy, M.M.; Kodadek, T. Protein "fingerprinting" in complex mixtures with peptoid microarrays. Proc. Nat. Acad. Sci. USA 2005, 102, 12672–12677. [Google Scholar] [CrossRef] [PubMed]
- Svensson, A.; Bergquist, K.-E.; Fex, T.; Kihlberg, J. Fluorinated linkers for monitoring solid-phase synthesis using gel-phase 19F NMR spectroscopy. Tetrahedron Lett. 1998, 39, 7193–7196. [Google Scholar] [CrossRef]
- Blommaert, A.G.S.; Weng, J.H.; Dorville, A.; McCort, I.; Ducos, B.; Durieux, C.; Roques, B.P. Cholecystokinin peptidomimetics as selective CCK-B antagonists: Design, synthesis, and in vitro and in vivo biochemical properties. J. Med. Chem. 1993, 36, 2868–2877. [Google Scholar] [CrossRef] [PubMed]
- Thompson, D.A.; Chai, B.-X.; Rood, H.L.E.; Siani, M.A.; Douglas, N.R.; Gantz, I.; Millhauser, G.L. Peptoid mimics of agouti related protein. Bioorg. Med. Chem. Lett. 2003, 13, 1409–1413. [Google Scholar] [CrossRef]
- Wagner, D.S.; Markworth, C.J.; Wagner, C.D.; Schoenen, F.J.; Rewerts, C.E.; Kay, B.K.; Geysen, H.M. Ratio encoding combinatorial libraries with stable isotopes and their utility in pharmaceutical research. Comb. Chem. HTS 1998, 1, 143–153. [Google Scholar]
- Ng, S.; Goodson, B.; Ehrhardt, A.; Moos, W.H.; Siani, M.; Winter, J. Combinatorial discovery process yields antimicrobial peptoids. Bioorg. Med. Chem. 1999, 7, 1781–1785. [Google Scholar] [CrossRef]
- Taylor, E.W.; Gibbons, J.A.; Braeckman, R.A. Intestinal absorption screening of mixtures from combinatorial libraries in the Caco-2 model. Pharm. Res. 1997, 14, 572–577. [Google Scholar] [CrossRef] [PubMed]
- Nguyen, J.T.; Porter, M.; Amoui, M.; Miller, W.T.; Zuckermann, R.N.; Lim, W.A. Improving SH3 domain ligand selectivity using a non-natural scaffold. Chem. Biol. 2000, 7, 463–473. [Google Scholar] [CrossRef]
- Jacquot, Y.; Broutin, I.; Miclet, E.; Nicaise, M.; Lequin, O.; Goasdoue, N.; Joss, C.; Karoyan, P.; Desmadril, M.; Ducruix, A. High affinity Grb2-SH3 domain ligand incorporating Cβ-substituted prolines in a Sos-derived decapeptide. Bioorg. Med. Chem. 2007, 15, 1439–1447. [Google Scholar] [CrossRef] [PubMed]
- Goodson, B.; Ehrhardt, A.; Ng, S.; Nuss, J.; Johnson, K.; Giedlin, M.; Yamamoto, R.; Moos, W.H.; Krebber, A.; Ladner, M.; Giacona, M.B.; Vitt, C.; Winter, J. Characterization of novel antimicrobial peptoids. Antimicrob. Agents Chemother. 1999, 43, 1429–1434. [Google Scholar] [CrossRef] [PubMed]
- Holder, J.R.; Bauzo, R.M.; Xiang, Z.; Scott, J.; Haskell-Luevano, C. Design and pharmacology of peptoids and peptide-peptoid hybrids based on the melanocortin agonists core tetrapeptide sequence. Bioorg. Med. Chem. Lett. 2003, 13, 4505–4509. [Google Scholar] [CrossRef] [PubMed]
- Wu, C.W.; Sanborn, T.J.; Zuckermann, R.N.; Barron, A.E. Peptoid oligomers with α-chiral, aromatic side chains: effects of chain length on secondary structure. J. Am. Chem. Soc. 2001, 123, 2958–2963. [Google Scholar] [CrossRef] [PubMed]
- Wu, C.W.; Seurynck, S.L.; Lee, K.Y.C.; Barron, A.E. Helical Peptoid Mimics of Lung Surfactant Protein C. Chem. Biol. 2003, 10, 1057–1063. [Google Scholar] [CrossRef] [PubMed]
- Gorske, B.C.; Bastian, B.L.; Geske, G.D.; Blackwell, H.E. Local and tunable n→π interactions regulate amide isomerism in the peptoid backbone. J. Am. Chem. Soc. 2007, 129, 8928–8929. [Google Scholar] [CrossRef] [PubMed]
- Armand, P.; Kirshenbaum, K.; Goldsmith, R.A.; Farr-Jones, S.; Barron, A.E.; Truong, K.T.V.; Dill, K.A.; Mierke, D.F.; Cohen, F.E.; Zuckermann, R.N.; Bradley, E.K. NMR determination of the major solution conformation of a peptoid pentamer with chiral side chains. Proc. Nat. Acad. Sci. USA 1998, 95, 4309–4314. [Google Scholar] [CrossRef] [PubMed]
- Lobo, B.A.; Vetro, J.A.; Suich, D.M.; Zuckermann, R.N.; Middaugh, C.R. Structure/function analysis of peptoid/lipitoid: DNA complexes. J. Pharma. Sci. 2003, 92, 1905–1918. [Google Scholar] [CrossRef] [PubMed]
- Uno, T.; Beausoleil, E.; Goldsmith, R.A.; Levine, B.H.; Zuckermann, R.N. New submonomers for poly N-substituted glycines (peptoids). Tetrahedron Lett. 1999, 40, 1475–1478. [Google Scholar] [CrossRef]
- Vicent, M.J.; Perez-Paya, E. Poly-L-glutamic acid (PGA) Aided Inhibitors of Apoptotic Protease Activating Factor 1 (Apaf-1): An Antiapoptotic Polymeric Nanomedicine. J. Med. Chem. 2006, 49, 3763–3765. [Google Scholar] [CrossRef] [PubMed]
- Pei, Y.; Moos, W.H. Post-modifications of peptoid side chains [3+2] cycloaddition of nitrile oxides with alkenes and alkynes on the solid-phase. Tetrahedron Lett. 1994, 35, 5825–5828. [Google Scholar] [CrossRef]
- Tang, Y.-C.; Deber, C.M. Aqueous solubility and membrane interactions of hydrophobic peptides with peptoid tags. Biopolymers 2004, 76, 110–118. [Google Scholar] [CrossRef] [PubMed]
- Garas, A.; Bremner, J.B.; Coates, J.; Deadman, J.; Keller, P.A.; Pyne, S.G.; Rhodes, D.I. Binaphthyl scaffolded peptoids via ring-closing metathesis reactions and their anti-bacterial activities. Bioorg. Med. Chem. Lett. 2009, 19, 3010–3013. [Google Scholar] [CrossRef] [PubMed]
- Nandel, F.S.; Saini, A. Conformational study of short peptoid models for future applications as potent antimicrobial compounds. Macromol. Theory Simul. 2007, 16, 295–303. [Google Scholar] [CrossRef]
- Wu, C.W.; Kirshenbaum, K.; Sanborn, T.J.; Patch, J.A.; Huang, K.; Dill, K.A.; Zuckermann, R.N.; Barron, A.E. Structural and Spectroscopic Studies of Peptoid Oligomers with α-Chiral Aliphatic Side Chains. J. Am. Chem. Soc. 2003, 125, 13525–13530. [Google Scholar] [CrossRef] [PubMed]
- Moe, G.R.; Granoff, D.M. Molecular mimetics of Neisseria meningitidis serogroup B polysaccharide. Int. Rev. Immun. 2001, 20, 201–220. [Google Scholar] [CrossRef] [PubMed]
- Wender, P.A.; Mitchell, D.J.; Pattabiraman, K.; Pelkey, E.T.; Steinman, L.; Rothbard, J.B. The design, synthesis, and evaluation of molecules that enable or enhance cellular uptake: peptoid molecular transporters. Proc. Nat. Acad. Sci. USA 2000, 97, 13003–13008. [Google Scholar] [CrossRef] [PubMed]
- Wu, C.W.; Seurynck, S.L.; Lee, K.Y.C.; Barron, A.E. Helical Peptoid Mimics of Lung Surfactant Protein C. Chem. Biol. 2003, 10, 1057–1063. [Google Scholar] [CrossRef] [PubMed]
- Heizmann, G.; Felder, E.R. Synthesis of an N-3-guanidinopropylglycine (Narg) derivative as a versatile building block for solid-phase peptide and peptoid synthesis. Pept. Res. 1994, 7, 328–332. [Google Scholar] [PubMed]
- Statz, A.R.; Meagher, R.J.; Barron, A.E.; Messersmith, P.B. New peptidomimetic polymers for antifouling surfaces. J. Am. Chem. Soc. 2005, 127, 7972–7973. [Google Scholar] [CrossRef] [PubMed]
- Seo, J.; Michaelian, N.; Owens, S.C.; Dashner, S.T.; Wong, A.J.; Barron, A.E.; Carrasco, M.R. Chemoselective and microwave-assisted synthesis of glycopeptoids. Org. Lett. 2009, 11, 5210–5213. [Google Scholar] [CrossRef] [PubMed]
- Robinson, G.M.; Taylor, E.W.; Smyth, M.R.; Lunte, C.E. Application of capillary electrophoresis to the separation of structurally diverse N-(substituted)-glycine-peptoid combinatorial mixtures. J. Chromatogr. B 1998, 705, 341–350. [Google Scholar] [CrossRef]
- Yuasa, H.; Honma, H.; Hashimoto, H.; Tsunooka, M.; Kojima-Aikawa, K. Pentamer is the minimum structure for oligomannosylpeptoids to bind to concanavalin A. Bioorg. Med. Chem. Lett. 2007, 17, 5274–5278. [Google Scholar] [CrossRef] [PubMed]
- Saha, U.K.; Roy, R. Glycosylated peptoids as prototypical HIV-1 protease inhibitors. Tetrahedron Lett. 1997, 38, 7697–7700. [Google Scholar] [CrossRef]
- Saha, U.K.; Roy, R. First synthesis of N-linked-glycopeptoid as new glycopeptidomimetics. Tetrahedron Lett. 1995, 36, 3635–3638. [Google Scholar] [CrossRef]
- Kim, J.M.; Roy, R. Oligomeric glycopeptidomimetics bearing the cancer related TN-antigen. Tetrahedron Lett. 1997, 38, 3487–3490. [Google Scholar] [CrossRef]
- Kim, J.M.; Roy, R. New prototypical O-linked glycopeptido-mimetics corresponding to the linkage region of proteoglycans. Carbohyd. Res. 1997, 298, 173–179. [Google Scholar] [CrossRef]
- Kim, J.M.; Roy, R. First synthesis of O-linked xylopeptoid as new glycopeptidomimetic of the carbohydrate-protein linkage region of proteoglycans. Carbohyd. Lett. 1996, 1, 465–468. [Google Scholar]
- Saha, U.K.; Roy, R. Synthesis of new glycopeptidomimetics based on N-substituted oligoglycine bearing an N-linked lactoside side-chain. Chem. Commun. 1995, 2571–2573. [Google Scholar] [CrossRef]
- Roy, R.; Saha, U.K. Rational design of multivalent glycoconjugate ligands. Synthesis of libraries of conformationally flexible rotamers of poly-N-linked lactosyl glycines. Chem. Commun. 1996, 201–202. [Google Scholar]
- Hu, Y.-J.; Roy, R. Cross-metathesis of N-alkenyl peptoids with O- or C-allyl glycosides. Tetrahedron Lett. 1999, 40, 3305–3308. [Google Scholar] [CrossRef]
- Yuasa, H.; Kamata, Y.; Kurono, S.; Hashimoto, H. Solid phase synthesis of oligomannopeptoids that mimic the concanavalin A-binding trimannoside. Bioorg. Med. Chem. Lett. 1998, 8, 2139–2144. [Google Scholar] [CrossRef]
- Garcia-Echeverria, C.; Lewis, C.; Robinson, J. Fibrinogen-derived peptide compounds with anti-angiogenic activity. PCT Int. Appl. 2003. Pub. No. WO/2003/070769. [Google Scholar]
- Schroeder, T.; Niemeier, N.; Afonin, S.; Ulrich, A.S.; Krug, H.F.; Bräse, S. Peptoidic Amino- and Guanidinium-Carrier Systems: Targeted Drug Delivery into the Cell Cytosol or the Nucleus. J. Med. Chem. 2008, 51, 376–379. [Google Scholar] [CrossRef] [PubMed]
- Dechantsreiter, M.A.; Burkhart, F.; Kessler, H. A stereoselective synthesis of a C-glycosylated peptoid building block. Tetrahedron Lett. 1998, 39, 253–254. [Google Scholar] [CrossRef]
- Daelemans, D.; Schols, D.; Witvrouw, M.; Pannecouque, C.; Hatse, S.; Van Dooren, S.; Hamy, F.; Klimkait, T.; De Clercq, E.; Vandamme, A.-M. A second target for the peptoid tat/transactivation response element inhibitor CGP64222: inhibition of human immunodeficiency virus replication by blocking CXC-chemokine receptor 4-mediated virus entry. Mol. Pharmacol. 2000, 57, 116–124. [Google Scholar] [PubMed]
- Vreeland, W.N.; Barron, A.E. Free-solution capillary electrophoresis of polypeptoid-oligonucleotide conjugates. Polym. Preprints 2000, 41, 1018–1019. [Google Scholar]
- Robinson, G.M.; Manica, D.P.; Taylor, E.W.; Smyth, M.R.; Lunte, C.E. Development of a capillary electrophoretic separation of an N-(substituted)-glycine-peptoid combinatorial mixture. J. Chromatogr. B 1998, 707, 247–255. [Google Scholar] [CrossRef]
- Maulucci, N.; Izzo, I.; Bifulco, G.; Aliberti, A.; De Cola, C.; Comegna, D.; Gaeta, C.; Napolitano, A.; Pizza, C.; Tedesco, C.; Flot, D.; DeRiccardis, F. Synthesis, structures, and properties of nine-, twelve-, and eighteen-membered N-benzyloxyethyl cyclic α-peptoids. Chem. Commun. 2008, 3927–3929. [Google Scholar] [CrossRef] [PubMed]
- Armand, P.; Kirshenbaum, K.; Falicov, A.; Dunbrack, R.L.; Dill, K.A.; Zuckermann, R.N.; Cohen, F.E. Chiral N-substituted glycines can form stable helical conformations. Fold. Des. 1997, 2, 369–375. [Google Scholar] [CrossRef]
- Fowler, S.A.; Stacy, D.M.; Blackwell, H.E. Design and synthesis of macrocyclic peptomers as mimics of a quorum sensing signal from Staphylococcus aureus. Org. Lett. 2008, 10, 2329–2332. [Google Scholar] [CrossRef] [PubMed]
- Holub, J.M.; Jang, H.; Kirshenbaum, K. Fit To Be Tied: Conformation-Directed Macrocyclization of Peptoid Foldamers. Org. Lett. 2007, 9, 3275–3278. [Google Scholar] [CrossRef] [PubMed]
- Shin, S.B.Y.; Yoo, B.; Todaro, L.J.; Kirshenbaum, K. Cyclic peptoids. J. Am. Chem. Soc. 2007, 129, 3218–3225. [Google Scholar] [CrossRef] [PubMed]
- Roy, O.; Faure, S.; Thery, V.; Didierjean, C.; Taillefumier, C. Cyclic β-Peptoids. Org. Lett. 2008, 10, 921–924. [Google Scholar] [CrossRef] [PubMed]
- Boeijen, A.; Liskamp, R.M.J. Sequencing of peptoid peptidomimetics by Edman degradation. Tetrahedron Lett. 1998, 39, 3589–3592. [Google Scholar] [CrossRef]
- Thakkar, A.; Cohen, A.S.; Connolly, M.D.; Zuckermann, R.N.; Pei, D. High-Throughput Sequencing of Peptoids and Peptide-Peptoid Hybrids by Partial Edman Degradation and Mass Spectrometry. J. Comb. Chem. 2009, 11, 294–302. [Google Scholar] [CrossRef] [PubMed]
- Heerma, W.; Versluis, C.; de Koster, C.G.; Kruijtzer, J.A.W.; Zigrovic, I.; Liskamp, R.M.J. Comparing mass spectrometric characteristics of peptides and peptoids. Rapid Commun. Mass Spectrom. 1996, 10, 459–464. [Google Scholar] [CrossRef]
- Heerma, W.; Boon, J.-P.; Versluis, K. High-energy CID tandem mass spectra of peptides and peptoids: similarities and differences. Adv. Mass Spect. 1998, 14, D045890:1–D045890:11. [Google Scholar]
- Heerma, W.; Boon, J.-P.J.L.; Versluis, C.; Kruijtzer, J.A.W.; Hofmeyer, L.J.F.; Liskamp, R.M.J. Comparing mass spectrometric characteristics of peptides and peptoids. J. Mass Spectrom. 1997, 32, 697–704. [Google Scholar] [CrossRef]
- Zambias, R.A.; Boulton, D.A.; Griffin, P.R. Microchemical structure determination of a peptoid covalently bound to a polymeric bead by matrix-assisted laser desorption ionization time-of-flight mass spectrometry. Tetrahedron Lett. 1994, 35, 4283–4286. [Google Scholar] [CrossRef]
- Ruijtenbeek, R.; Versluis, C.; Heck, A.J.R.; Redegeld, F.A.M.; Nijkamp, F.P.; Liskamp, R.M.J. Characterization of a phosphorylated peptide and peptoid and peptoid-peptide hybrids by mass spectrometry. J. Mass Spectrom. 2002, 37, 47–55. [Google Scholar] [CrossRef] [PubMed]
- Bradley, E.K. A method for sequential NMR assignment of 1H and 13C resonances of N-substituted glycine peptoids. J. Magn. Reson., Series B 1996, 110, 195–197. [Google Scholar] [CrossRef]
- Gorske, B.C.; Blackwell, H.E. Tuning peptoid secondary structure with pentafluoroaromatic functionality: a new design paradigm for the construction of discretely folded peptoid structures. J. Am. Chem. Soc. 2006, 128, 14378–14387. [Google Scholar] [CrossRef] [PubMed]
- Hjelmgaard, T.; Faure, S.; Caumes, C.; De Santis, E.; Edwards, A.A.; Taillefumier, C. Convenient Solution-Phase Synthesis and Conformational Studies of Novel Linear and Cyclic α,β-Alternating Peptoids. Org. Lett. 2009, 11, 4100–4103. [Google Scholar] [CrossRef] [PubMed]
- Doi, M.; Kinoshita, K.; Asano, A.; Yoneda, R.; Kurihara, T.; Ishida, T.N. Benzyl-N-(tert-butyloxycarbonyl)glycine, an N-substituted glycine (peptoid) monomer. Acta Crystal. C 1998, C54, 1164–1165. [Google Scholar] [CrossRef]
- Aubin, S.; Martin, B.; Delcros, J.-G.; Arlot-Bonnemains, Y.; Baudy-Floc’h, M. Retro Hydrazino-azapeptoids as Peptidomimetics of Proteasome Inhibitors. J. Med. Chem. 2005, 48, 330–334. [Google Scholar] [CrossRef] [PubMed]
- Hamper, B.C.; Kesselring, A.S.; Parker, M.H.; Turner, J.A. Solid-phase synthesis of Di-β-peptoids from acrylate resin: N-acetyl-N-benzyl-β-alaninyl-N-benzyl-β-alanine. Solid-Phase Org. Synth. 2001, 1, 55–72. [Google Scholar]
- Reddy, M.M.; Bachhawat-Sikder, K.; Kodadek, T. Transformation of Low-Affinity Lead Compounds into High-Affinity Protein Capture Agents. Chem. Biol. 2004, 11, 1127–1137. [Google Scholar] [CrossRef] [PubMed]
- Lim, H.-S.; Cai, D.; Archer, C.T.; Kodadek, T. Periodate-triggered cross-linking reveals Sug2/Rpt4 as the molecular target of a peptoid inhibitor of the 19S proteasome Regulatory Particle. J. Am. Chem. Soc. 2007, 129, 12936–12937. [Google Scholar] [CrossRef] [PubMed]
- Schroeder, T.; Quintilla, A.; Setzler, J.; Birtalan, E.; Wenzel, W.; Bräse, S. Joint experimental and theoretical investigation of the propensity of peptoids as drug carriers. WSEAS Trans. Biol. Biomed. 2007, 4, 145–148. [Google Scholar]
- Foged, C.; Franzyk, H.; Bahrami, S.; Frokjaer, S.; Jaroszewski, J.W.; Nielsen, H.M.; Olsen, C.A. Cellular uptake and membrane-destabilizing properties of α-peptide/β-peptoid chimeras: lessons for the design of new cell-penetrating peptides. BBA-Biomembranes 2008, 1778, 2487–2495. [Google Scholar] [CrossRef] [PubMed]
- Lee, M.M.; Childs-Disney, J.L.; Pushechnikov, A.; French, J.M.; Sobczak, K.; Thornton, C.A.; Disney, M.D. Controlling the specificity of modularly assembled small molecules for RNA via ligand module spacing: Targeting the RNAs that cause myotonic muscular dystrophy. J. Am. Chem. Soc. 2009, 131, 17464–17472. [Google Scholar] [CrossRef] [PubMed]
- Orzaez, M.; Mondragon, L.; Marzo, I.; Sanclimens, G.; Messeguer, A.; Perez-Paya, E.; Vicent, M. J. Conjugation of a novel Apaf-1 inhibitor to peptide-based cell-membrane transporters: Effective methods to improve inhibition of mitochondria-mediated apoptosis. Peptides 2007, 28, 958–968. [Google Scholar] [CrossRef] [PubMed]
- Guo, L.; Zhang, D. Cyclic Poly(α-peptoid)s and Their Block Copolymers from N-Heterocyclic Carbene-Mediated Ring-Opening Polymerizations of N-Substituted N-Carboxylanhydrides. J. Am. Chem. Soc. 2009, 131, 18072–18074. [Google Scholar]
- Vaz, B.; Brunsveld, L. Stable helical peptoids via covalent side chain to side chain cyclization. Org. Biomol. Chem. 2008, 6, 2988–2994. [Google Scholar] [CrossRef] [PubMed]
- Goff, D.A.; Zuckermann, R.N. The synthesis of 2-oxopiperazines by intramolecular Michael addition on solid support. Tetrahedron Lett. 1996, 37, 6247–6250. [Google Scholar] [CrossRef]
- Lim, H.-S.; Archer, C.T.; Kim, Y.-C.; Hutchens, T.; Kodadek, T. Rapid identification of the pharmacophore in a peptoid inhibitor of the proteasome regulatory particle. Chem. Commun. 2008, 1064–1066. [Google Scholar] [CrossRef] [PubMed]
- Uchida, M.; McDermott, G.; Wetzler, M.; Le Gros, M.A.; Myllys, M.; Knoechel, C.; Barron, A.E.; Larabella, C. A. Soft X-ray tomography of phenotypic switching and the cellular response to antifungal peptoids in Candida albicans. Proc. Nat. Acad. Sci. USA 2009, 106, 19375–19380. [Google Scholar] [CrossRef] [PubMed]
- Vedel, L.; Bonke, G.; Foged, C.; Ziegler, H.; Franzyk, H.; Jaroszewski, J.W.; Olsen, C.A. Antiplasmodial and prehemolytic activities of α-peptide-β-peptoid chimeras. ChemBioChem 2007, 8, 1781–1784. [Google Scholar] [CrossRef] [PubMed]
- Olsen, C.A.; Bonke, G.; Vedel, L.; Adsersen, A.; Witt, M.; Franzyk, H.; Jaroszewski, J.W. α-Peptide/β-peptoid chimeras. Org. Lett. 2007, 9, 1549–1552. [Google Scholar] [CrossRef] [PubMed]
- Shuey, S.W.; Delaney, W.J.; Shah, M.C.; Scialdone, M.A. Antimicrobial β-peptoids by a block synthesis approach. Bioorg. Med. Chem. Lett. 2006, 16, 1245–1248. [Google Scholar] [CrossRef] [PubMed]
- Masip, I.; Perez-Paya, E.; Messeguer, A. Peptoids as source of compounds eliciting antibacterial activity. Comb. Chem. HTS 2005, 8, 235–239. [Google Scholar] [CrossRef]
- Klimkait, T.; Felder, E.R.; Albrecht, G.; Hamy, F. Rational optimization of a HIV-1 Tat inhibitor: rapid progress on combinatorial lead structures. Biotechnol. Bioeng. 1999, 61, 155–168. [Google Scholar] [CrossRef]
- Zuckermann, R.N.; Chu, T.K.; Nam, K.T. Novel biomimetic peptoid polymers. PCT Int. Appl. 2010. Pub. No. WO/2010/017412. [Google Scholar]
- Heizmann, G.; Hildebrand, P.; Tanner, H.; Ketterer, S.; Pansky, A.; Froidevaux, S.; Beglinger, C.; Eberle, A.N. A combinatorial peptoid library for the identification of novel MSH and GRP/bombesin receptor ligands. J. Recept. Signal Transduct. Res. 1999, 19, 449–466. [Google Scholar] [CrossRef] [PubMed]
- Bellier, B.; McCort-Tranchepain, I.; Ducos, B.; Danascimento, S.; Meudal, H.; Noble, F.; Garbay, C.; Roques, B.P. Synthesis and Biological Properties of New Constrained CCK-B Antagonists: Discrimination of Two Affinity States of the CCK-B Receptor on Transfected CHO Cells. J. Med. Chem. 1997, 40, 3947–3956. [Google Scholar] [CrossRef] [PubMed]
- Kordik, C.P.; Sanfilippo, P.J. Discovery of nanomolar ligands for 7-transmembrane G-protein-coupled receptors from a diverse N-(substituted)glycine peptoid library. Chemtracts: Org. Chem. 1995, 8, 36–40. [Google Scholar]
- Mutulis, F.; Mutule, I.; Liepinsh, E.; Yahorau, A.; Lapinsh, M.; Kopantshuk, S.; Veiksina, S.; Rinken, A.; Wikberg, J.E.S. N-alkylated dipeptide amides and related structures as imitations of the melanocortins’ active core. Peptides 2005, 26, 1997–2016. [Google Scholar] [CrossRef] [PubMed]
- Ryan, R.R.; Katsuno, T.; Mantey, S.A.; Pradhan, T.K.; Weber, H.C.; Coy, D.H.; Battey, J.F.; Jensen, R.T. Comparative pharmacology of the nonpeptide neuromedin B receptor antagonist PD 168368. J. Pharmacol. Exp. Therap. 1999, 290, 1202–1211. [Google Scholar]
- Guerrini, R.; Calo, G.; Bigoni, R.; Rizzi, A.; Varani, K.; Toth, G.; Gessi, S.; Hashiba, E.; Hashimoto, Y.; Lambert, D.G.; Borea, P.A.; Tomatis, R.; Salvadori, S.; Regoli, D. Further Studies on Nociceptin-Related Peptides: Discovery of a New Chemical Template with Antagonist Activity on the Nociceptin Receptor. J. Med. Chem. 2000, 43, 2805–2813. [Google Scholar] [CrossRef] [PubMed]
- Messeguer, J.; Masip, I.; Montolio, M.; del Rio, J.A.; Soriano, E.; Messeguer, A. Peptoids bearing tertiary amino residues in the n-alkyl side chains: synthesis of a potent inhibitor of Semaphorin 3A. Tetrahedron 2010, 66, 2444–2454. [Google Scholar] [CrossRef]
- Xiao, X.; Yu, P.; Lim, H.-S.; Sikder, D.; Kodadek, T. A cell-permeable synthetic transcription factor mimics. Angew. Chem., Int. Ed. 2007, 46, 2865–2868. [Google Scholar]
- Cardoso, A.L.; Lopes, S.M.M.; Beja, A.M.; Silva, M.R.; de los Santos, J.M.; Pinho e Melo, T.M.V.D.; Palacios, F. New chiral building blocks of β-peptoid analogs. Tetrahedron 2009, 65, 9116–9124. [Google Scholar] [CrossRef]
- Bonke, G.; Vedel, L.; Witt, M.; Jaroszewski, J.W.; Olsen, C.A.; Franzyk, H. Dimeric building blocks for solid-phase synthesis of α-peptide-β-peptoid chimeras. Synthesis 2008, 2381–2390. [Google Scholar]
- Olsen, C.A.; Lambert, M.; Witt, M.; Franzyk, H.; Jaroszewski, J.W. Solid-phase peptide synthesis and circular dichroism study of chiral β-peptoid homooligomers. Amino Acids 2008, 34, 465–471. [Google Scholar] [CrossRef] [PubMed]
- Combs, D.J.; Lokey, R.S. Extended peptoids: a new class of oligomers based on aromatic building blocks. Tetrahedron Lett. 2007, 48, 2679–2682. [Google Scholar] [CrossRef] [PubMed]
- Mejias, X.; Feliu, L.; Planas, M.; Bardaji, E. Synthesis of nucleobase-functionalized β-peptoids and β-peptoid hybrids. Tetrahedron Lett. 2006, 47, 8069–8071. [Google Scholar] [CrossRef]
- Norgren, A.S.; Zhang, S.; Arvidsson, P.I. Synthesis and circular dichroism spectroscopic investigations of oligomeric β-peptoids with α-chiral side chains. Org. Lett. 2006, 8, 4533–4536. [Google Scholar] [CrossRef] [PubMed]
- Baldauf, C.; Guenther, R.; Hofmann, H.-J. Helices in peptoids of α- and β-peptides. Phys. Biol. 2006, 3, S1–S9. [Google Scholar] [CrossRef] [PubMed]
- Shin, I.; Park, K. Solution-Phase Synthesis of Aminooxy Peptoids in the C to N and N to C Directions. Organic Lett. 2002, 4, 869–872. [Google Scholar] [CrossRef]
- Hamper, B.C.; Kolodziej, S.A.; Scates, A.M.; Smith, R.G.; Cortez, E. Solid Phase Synthesis of β-Peptoids: N-Substituted β-Aminopropionic Acid Oligomers. J. Org. Chem. 1998, 63, 708–718. [Google Scholar] [CrossRef] [PubMed]
- Kruijtzer, J.A.W.; Lefeber, D.J.; Liskamp, R.M.J. Approaches to the synthesis of ureapeptoid peptidomimetics. Tetrahedron Lett. 1997, 38, 5335–5338. [Google Scholar] [CrossRef]
- Mouna, A.M.; Nguyen, C.; Rage, I.; Xie, J.; Nee, G.; Mazaleyrat, J.P.; Wakselman, M. Preparation of N-Boc-N-alkyl glycines for peptoid synthesis. Synth. Commun. 1994, 24, 2429–2435. [Google Scholar] [CrossRef]
- Tal-Gan, Y.; Freeman, N.S.; Klein, S.; Levitzki, A.; Gilon, C. Synthesis and structure-activity relationship studies of peptidomimetic PKB/Akt inhibitors: The significance of backbone interactions. Bioorg. Med. Chem. 2010, 18, 2976–2985. [Google Scholar] [CrossRef] [PubMed]
- Pei, D. On-Bead Library Screening Made Easier. Chem. Biol. 2010, 17, 3–4. [Google Scholar] [CrossRef] [PubMed]
- Swayze, E.E. Secondary amide-based linkers for solid phase organic synthesis. Tetrahdron Lett. 1997, 38, 8465–8468. [Google Scholar] [CrossRef]
- Yoo, B.; Kirshenbaum, K. Peptoid architectures: elaboration, actuation, and application. Curr. Opin. Chem. Biol. 2008, 12, 714–721. [Google Scholar] [CrossRef] [PubMed]
- Hamy, F.; Felder, E.R.; Heizmann, G.; Lazdins, J.; Aboul-ela, F.; Varani, G.; Karn, J.; Klimkait, T. An inhibitor of the Tat/TAR RNA interaction that effectively suppresses HIV-1 replication. Proc. Nat. Acad. Sci. USA 1997, 94, 3548–3553. [Google Scholar] [CrossRef] [PubMed]
- Goff, D.A. A peptoid based synthesis of di- and tri-substituted 2-oxopiperazines on solid support. Tetrahedron Lett. 1998, 39, 1473–1476. [Google Scholar] [CrossRef]
- Goff, D.A.; Zuckermann, R.N. Solid-Phase Synthesis of Highly Substituted Peptoid 1(2H)-Isoquinolinones. J. Org. Chem. 1995, 60, 5748–5749. [Google Scholar] [CrossRef]
- Chongsiriwatana, N.; Patch, J.A.; Zuckermann, R.N.; Marcano, Y.; Czyzewski, A.; Barron, A.E. Ampetoids: Non-natural, sequence-specific peptoid oligomers with a biomimetic mechanism of bacterial killing. Pept. Sci. 2006, 43, 220–221. [Google Scholar]
- St. Hilaire, P.M.; Alves, L.C.; Herrera, F.; Renil, M.; Sanderson, S.J.; Mottram, J.C.; Coombs, G.H.; Juliano, M.A.; Juliano, L.; Arevalo, J.; Meldal, M. Solid-Phase Library Synthesis, Screening, and Selection of Tight-Binding Reduced Peptide Bond Inhibitors of a Recombinant Leishmania mexicana Cysteine Protease B. J. Med. Chem. 2002, 45, 1971–1982. [Google Scholar]
- Meyer, J.-P.; Davis, P.; Lee, K.B.; Porreca, F.; Yamamura, H.I.; Hruby, V.J. Synthesis Using a Fmoc-Based Strategy and Biological Activities of Some Reduced Peptide Bond Pseudopeptide Analogues of Dynorphin Al. J. Med. Chem. 1995, 38, 3462–3468. [Google Scholar]
- Wang, Y.; Lin, H.; Tullman, R.; Jewell, C.F.; Weetall, M.L.; Tse, F.L.S. Absorption and disposition of a tripeptoid and a tetrapeptide in the rat. Biopharm. Drug Dispos. 1999, 20, 69–75. [Google Scholar]
- Nam, K.T.; Shelby, S.A.; Choi, P.H.; Marciel, A.B.; Chen, R.; Tan, L.; Chu, T.K.; Mesch, R.A.; Lee, B.-C.; Connolly, M.D.; Kisielowski, C.; Zuckermann, R.N. Free-floating ultrathin two-dimensional crystals from sequence-specific peptoid polymers. Nat. Mater. 2010, 9, 454–460. [Google Scholar] [CrossRef] [PubMed]
- Utku, Y.; Rohatgi, A.; Yoo, B.; Kirshenbaum, K.; Zuckermann, R.N.; Pohl, N.L. Rapid multistep synthesis of a bioactive peptidomimetic oligomer for the undergraduate laboratory. J. Chem. Educ. 2010, 87, 637–639. [Google Scholar] [CrossRef]
© 2010 by the authors; licensee MDPI, Basel, Switzerland. This article is an Open Access article distributed under the terms and conditions of the Creative Commons Attribution license (http://creativecommons.org/licenses/by/3.0/).


























































































































































































































































































































