Synthesis and Structural Analysis of Polyester Prodrugs of Norfloxacin
Abstract
:Introduction
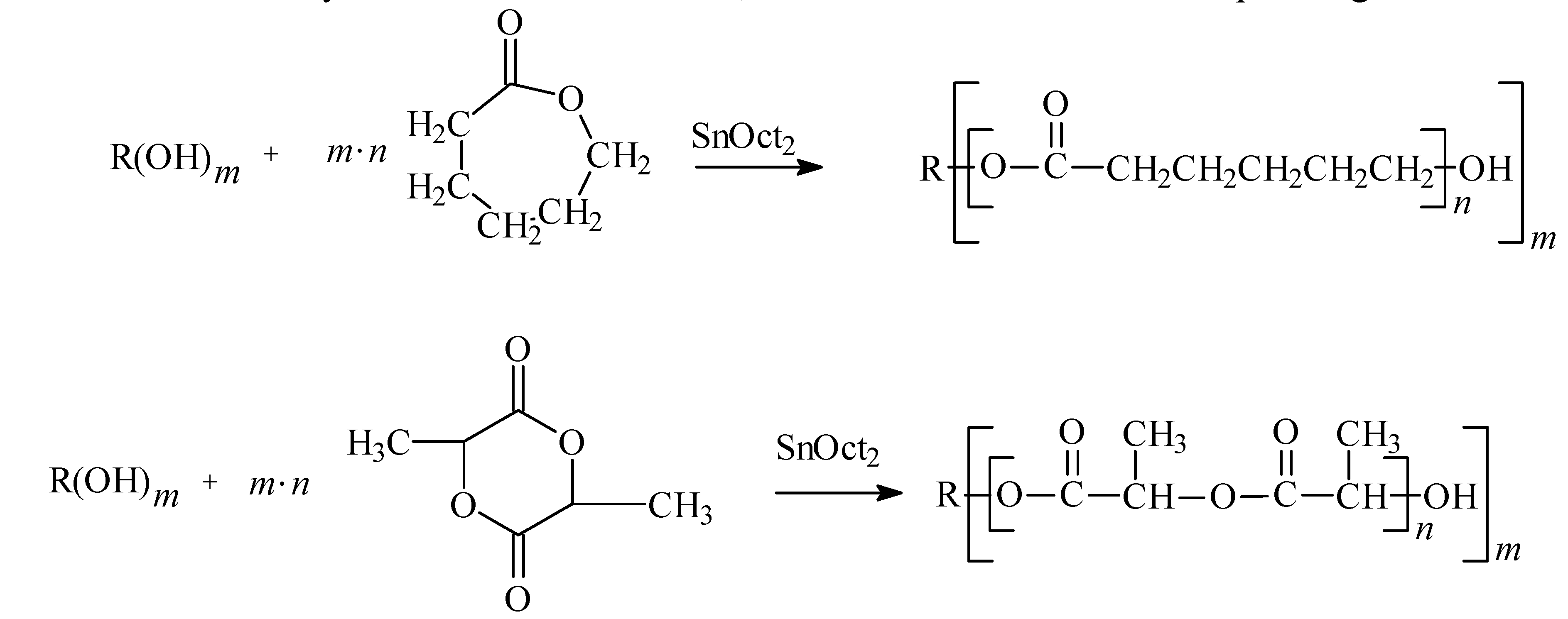
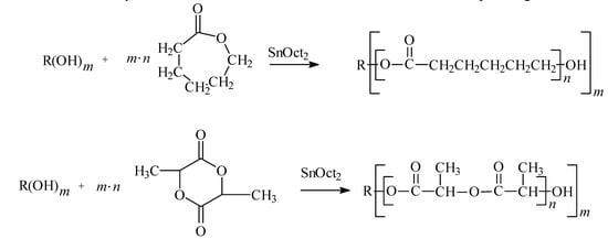
Results and Discussion

| Monomer(s)/initiator/catalyst | M/I/Cat | Yield (%)  | Phys. form | MnGPC (Da)  | PDGPC | MnMS (Da)  | PDMS | Mnth | Mnarm | cLA | 
|---|---|---|---|---|---|---|---|---|---|---|
| CL/PEG/SnOct2 | 100:2:1 | ≈ 100 | ss | 5200 | 1.2 | 2500 | 1.2 | 6100 | 2600 | - | 
| CL/Gl/SnOct2 | 150:1.5:1 | ≈ 100 | ss | 9600 | 1.3 | - | - | 11492 | 3200 | - | 
| CL/Pet/SnOct2 | 200:2:1 | 62 | ss | 5300 | 1.3 | 1900 | 1.1 | 7204 | 1300 | - | 
| LA/PEG/SnOct2 | 100:2:1 | 79 | vl | 4200 | 1.2 | 1400 | 1.1 | 6088 | 2100 | - | 
| LA/Gl/SnOct2 | 150:1.5:1 | 65 | vl | 8400 | 1.3 | - | - | 9452 | 2800 | - | 
| LA/Pet/SnOct2 | 200:2:1 | 44 | vl | 5100 | 1.2 | 1600 | 1.2 | 6472 | 1300 | - | 
| LA&CL/PEG/SnOct2 | 50:50:2:1 | 92 | vl | 3900 | 1.2 | - | - | 3277 | 2000 | 37 | 
| LA&CL/Gl/SnOct2 | 75:75:1.5:1 | 50 | vl | 2900 | 1.1 | - | - | 3205 | 1000 | 35 | 
| LA&CL/Pet/SnOct2 | 100:100:2:1 | 45 | vl | 3100 | 1.2 | - | - | 2690 | 800 | 44 | 
| PCL-PEG:  1H-NMR: 4.20 (2H, CL-OCH2CH2O-), 4.01 (2H, t, -CH2CH2OC(O)-), 3.70 (2H, t, ‑CH2CH2OH, end group), 3.66 (2H, t, -OCH2CH2O-), 2.24 (2H, t, -CH2CH2COO-), 1.58 (4H, m, ‑CH2CH2COO-), 1.33 (2H, m, ‑CH2CH2CH2CH2CH2-) 13C-NMR: 173.1 (-C(O)O-), 70.1 (-OCH2CH2O-), 64.1 (CL-OCH2CH2O-), 63.7 (-CH2CH2OC(O)-), 33.6 (‑CH2CH2COO-), 27.9 (-CH2CH2OC(O)-), 25.1 (-CH2CH2COO-), 24.1 (-CH2CH2CH2CH2CH2-) FTIR: 2943 (υasCH2), 2862 (υsCH2), 1721 (υC=O), 1291 (C-O and C-C) 1240 (υasCOC), 1190 (υOC-O), 1170 (υsCOC), 1157 (C-O and C-C)  | 
| PCL-Gl:  1H-NMR: 5.24 (1H, p, =CH-O-), 4.28 (2H, d, -CH2-O-), 4.04 (2H, t, ‑CH2CH2OC(O)-), 3.63 (2H, t, ‑CH2CH2OH, end group), 2.28 (2H, t, -CH2CH2COO-), 1.62 (4H, m, -CH2CH2COO-), 1.35 (2H, m, ‑CH2CH2CH2CH2CH2-) 13C-NMR: 173.1 (-C(O)O-), 63.7 (-CH2CH2OC(O)-), 62.1 (-CH2-O-), 33.6 (-CH2CH2COO-), 27.9 (‑CH2CH2OC(O)-), 25.1 (-CH2CH2COO-), 24.1 (-CH2CH2CH2CH2CH2-) FTIR: 2949 (υasCH2), 2865 (υsCH2), 1727 (υC=O), 1293 (C-O and C-C), 1240 (υasCOC), 1190 (υOC-O), 1170 (υsCOC)  | 
| PCL- Pet:  1H-NMR: 4.02 (2H, t, -CH2CH2OC(O)-), 3.60 (2H, t, -CH2CH2OH, end group), 2.25 (2H, t, -CH2CH2COO-), 1.59 (4H, m, -CH2CH2COO-), 1.34 (2H, m, -CH2CH2CH2CH2CH2-) 13C-NMR: 173.1 (-C(O)O-), 63.7 (-CH2CH2OC(O)-), 63.4 (C-CH2O-), 33.6 (-CH2CH2COO-), 33.3 (C‑CH2O‑), 27.9 (-CH2CH2OC(O)-), 25.1 (-CH2CH2COO-), 24.1 (-CH2CH2CH2CH2CH2-) FTIR: 2948 (υasCH2), 2864 (υsCH2), 1726 (υC=O), 1293 (C-O and C-C), 1238 (υasCOC), 1189 (υOC-O), 1169 (υsCOC)  | 
| PLA-PEG: 1H-NMR: 5.17 (1H, q, -CH(CH3)-), 4.36 (1H, q, -CH(CH3)OH, end group), 4.25 (2H, LA-OCH2CH2O-), 3.61 (2H, t, -OCH2CH2O-), 1.58 (3H, d, -CH3) 13C-NMR: 169.8 (-C(O)O-), 69.2 (-CH(CH3)-), 16.8 (-CH3). FTIR: 2997 (υasCH3), 2947 (υsCH3), 2882 (υCH), 1760 (υC=O), 1452 (δasCH3), 1348-1388 (δsCH3), 1368‑1360 (δ1CH+δsCH3), 1315-1300 (δ2CH), 1270 (δCH + υCOC), 1215-1185 (υasCOC + rasCH3), 1130 (rasCH3), 1100-1090 (υsCOC), 1045 (υC-CH3), 960-950 (rCH3 + υCC), 875-860 (υC-COO), 760-740 (δC=0), 715-695 (γC=O), 515 (δ1C-CH3 + δCCO), 415 (δCCO), 350 (δ2C-CH3 + δCOC), 300-295 (δCOC + δ2C-CH3), 240 (τCC)  | 
| PLA-Gl:  1H-NMR: 5.24(1H, p, =CH-O-), 5.16 (1H, q, -CH(CH3)-), 4.35 (1H, q, ‑CH(CH3)OH, end group), 4.27 (2H, d, -CH2-O-), 1.59 (3H, d, -CH3) 13C-NMR: 169.7 (-C(O)O-), 69.1 (-CH(CH3)-), 62.1 (-CH2-O-), 16.7 (-CH3) FTIR: 2997 (υasCH3), 2947 (υsCH3), 2882 (υCH), 1760 (υC=O), 1452 (δasCH3), 1348-1388 (δsCH3), 1368‑1360 (δ1CH+δsCH3), 1315-1300 (δ2CH), 1270 (δCH + υCOC), 1215-1185 (υasCOC + rasCH3), 1130 (rasCH3), 1100-1090 (υsCOC), 1045 (υC-CH3), 960-950 (rCH3 + υCC), 875-860 (υC-COO), 760-740 (δC=0), 715-695 (γC=O), 515 (δ1C-CH3 + δCCO), 415 (δCCO), 350 (δ2C-CH3 + δCOC), 300-295 (δCOC + δ2C-CH3), 240 (τCC)  | 
| PLA-Pet:  1H-NMR: 5.17 (1H, q, -CH(CH3)-), 4.36 (1H, q, -CH(CH3)OH, end group), 1.60 (3H, d, -CH3) 13C-NMR: 169.6 (-C(O)O-), 69.1 (-CH(CH3)-), 63.5 (C-CH2O-), 33.4 (C‑CH2O‑), 16.7 (-CH3) FTIR: 2998 (υasCH3), 2947 (υsCH3), 2883 (υCH), 1760 (υC=O), 1453 (δasCH3), 1348-1388 (δsCH3), 1368‑1360 (δ1CH+δsCH3), 1315-1300 (δ2CH), 1270 (δCH + υCOC), 1215-1185 (υasCOC + rasCH3), 1132 (rasCH3), 1100-1090 (υsCOC), 1046 (υC-CH3), 960-950 (rCH3 + υCC), 875-860 (υC-COO), 760-740 (δC=0), 715-695 (γC=O), 516 (δ1C-CH3 + δCCO), 415 (δCCO), 351 (δ2C-CH3 + δCOC), 300-295 (δCOC + δ2C-CH3), 242 (τCC)  | 
| Copolymers of LA and CL:  1H-NMR: 5.15 (1H, q, -CH(CH3)-), 4.27 (1H, q, -CH(CH3)OH, end group), 4.11 (2H, t, -CH2CH2OC(O)-LA), 4.03 (2H, t, -CH2CH2OC(O)-), 3.67 (2H, t, -CH2CH2OH, end group), 2.37 (2H, t, LA-CH2CH2CH2CH2COO-), 2.29 (2H, t, -CH2CH2COO-), 1.63 (4H, m, ‑CH2CH2COO‑),1.59 (3H, d, -CH3), 1.34 (2H, m, -CH2CH2CH2CH2CH2-), and peaks of Gl, Pet and PEG  | 





Conclusions
Experimental
General
Polymerization procedure
Prodrugs synthesis
Measurements
Norfloxacin:
Acknowledgements
References
- Jagur-Grodzinski, J. Biomedical application of functional polymers. React. Funct. Polym. 1999, 39, 99–138. [Google Scholar] [CrossRef]
 - Uhrich, K. E.; Cannizzaro, S. M.; Langer, R. S.; Shakesheff K., M. Polymeric systems for controlled drug release. Chem. Rev. 1999, 99, 3181–3198. [Google Scholar] [CrossRef] [PubMed]
 - Veronese, F.M.; Morpurgo, M. Bioconjugation in pharmaceutical chemistry. Farmaco 1999, 54, 497–516. [Google Scholar] [CrossRef] [PubMed]
 - Hoste, K; De Winne, K; Schacht. Polymeric prodrugs. Int. J. Pharm. 2004, 227, 119–131. [Google Scholar]
 - Ouchi, T.; Ohya, Y. Macromolecular prodrugs. Prog. Polym. Sci. 1995, 20, 211–257. [Google Scholar] [CrossRef]
 - Garnett, M.C. Targeted drug conjugates: principles and progress. Adv. Drug Del. Rev. 2001, 53, 171–216. [Google Scholar] [CrossRef]
 - Merkli, A.; Tabatabay, C.; Gurny, R; Heller, J. Biodegradable polymers for the controlled release of ocular drugs. Prog. Polym. Sci. 1998, 23, 563–580. [Google Scholar]
 - Takakura, Y.; Hashida, M. Macromolecular drug carrier systems in cancer chemotherapy: macromolecular prodrugs. Crit. Rev. Oncol./Hematol. 1995, 18, 207–231. [Google Scholar]
 - Järvinen, T.; Järvinen, K. Prodrugs for improved ocular delivery. Adv. Drug Del. Rev. 1996, 19, 203–224. [Google Scholar] [CrossRef]
 - Ueda, H; Tabata, Y. Polyhydroxyalkanonate derivatives in current clinical applications and trials. Adv. Drug Del. Rev. 2003, 55, 501–518. [Google Scholar] [CrossRef]
 - Khandare, J; Minko, T. Polymer-drug conjugates: Progress in polymeric prodrugs. Prog. Polym. Sci. 2006, 31, 359–397. [Google Scholar] [CrossRef]
 - Sobczak, M.; Olędzka, E.; Kolodziejski, W.; Kuźmicz, R. Pharmaceutical application of polymers. Polimery 2007, 52, 411–420. [Google Scholar]
 - Albertsson, A-Ch.; Varma, I.V. Recent developments in ring opening polymerization of lactones for biomedical applications. Biomacromolecules 2003, 4, 1466–1486. [Google Scholar]
 - Florjańczyk, Z.; Plichta, A.; Sobczak, M. Ring opening polymerization initiated by methylaluminoxane/AlMe3 complexes. Polymer 2006, 47, 1081–1090. [Google Scholar]
 - Marcilla, R.; de Geus, M.; Mecerreyes, D.; Duxbury, Ch. J.; Koning, C. E.; Heise, A. Enzymatic polyester synthesis in ionic liquids. Eur. Polym. J. 2006, 42, 1215–1221. [Google Scholar]
 - He, F.; Li, S.; Garreau, H.; Vert, M.; Zhuo, R. Enzyme-catalyzed polymerization and degradation of copolyesters of ε-caprolactone and γ-butyrolactone. Polymer 2005, 46, 12682–12688. [Google Scholar] [CrossRef]
 - Duda, A; Biela, T.; Kowalski, A; Lubiszowski, J. Amines as (co)initiators of cyclic esters' polymerization. Polimery 2005, 50, 501–508. [Google Scholar]
 - Cai, Q.; Zhao, Y.; Bei, J.; Xi, F.; Wang, S. Synthesis and Properties of Star-Shaped Polylactide Attached to Poly(Amidoamine) Dendrimer. Biomacromolecules 2003, 4, 828–834. [Google Scholar] [CrossRef] [PubMed]
 - Martin, E; Dubois, P.; Jerome, R. In Situ" Formation of Yttrium Alkoxides: A Versatile and Efficient Catalyst for the ROP of ε-Caprolactone. Macromolecules 2003, 36, 5934–5941. [Google Scholar] [CrossRef]
 - Storey, R. F.; Sherman, J. W. Kinetics and mechanism of the stannous octoate-catalyzed bulk polymerization of ε-caprolactone. Macromolecules 2002, 35, 1504–1512. [Google Scholar]
 - Sanda, F.; Sanada, H.; Shibasaki, Y.; Endo, T. Star polymer synthesis from ε-caprolactone utilizing polyol/protonic acid initiator. Macromolecules 2002, 35, 680–683. [Google Scholar] [CrossRef]
 - Connor, E. F.; Nyce, G. W.; Myers, M.; Moeck, A.; Hedrick, J. L. First example of N-heterocyclic carbenes as catalysts for living polymerization: Organocatalytic ring-opening polymerization of cyclic esters. J. Am. Chem. Soc. 2002, 124, 914–915. [Google Scholar] [CrossRef] [PubMed]
 - Okada, M. Chemical syntheses of biodegradable polymers. Prog. Polym. Sci. 2002, 27, 87–133. [Google Scholar] [CrossRef]
 - Kobayashi, S.; Uyama, H.; Kimura, S. Enzymatic Polymerization. Chem. Rev. 2001, 101, 3793–3818. [Google Scholar] [CrossRef] [PubMed]
 - Kowalski, A.; Duda, A.; Penczek, S. Kinetics and mechanism of cyclic esters polymerization initiated with tin(II) octoate. 3. Polymerization of L,L-dilactide. Macromolecules 2000, 33, 7359–7370. [Google Scholar]
 - Shibasaki, Y.; Sanada, H.; Ypkoi, M.; Sanda, F.; Endo, T. Activated monomer cationic polymerization of lactones and the application to well-defined block copolymer synthesis with seven-membered cyclic carbonate. Macromolecules 2000, 33, 4316–4320. [Google Scholar]
 - Divakar, S. Porcine pancreas lipase catalyzed ring-opening polymerization of ε-Caprolactone. J. Macromol. Sci. Pure Appl. Chem. 2004, A41, 537–546. [Google Scholar] [CrossRef]
 - Namekawa, S.; Suda, S.; Uyama, H.; Kobayashi, S. Lipase-catalyzed ring-opening polymerization of lactones to polyesters and its mechanistic aspects. Int. J. Biol. Macromol. 1999, 25, 145–151. [Google Scholar]
 - Zejca, A.; Gorczyca, M. Chemia leków; PZWL: Warsaw, 2002. [Google Scholar]
 - Hu, W.-X.; Zhou, W.; Xia, Ch.-N.; Wen, X. Synthesis and anticancer activity of thiosemicarbazones. Bioorg. Med. Chem. Lett. [CrossRef]
 - Jeon, H.-J.; Jeong, Y.-I.; Jang, M.-K.; Park, Y.-H.; Nah, J.-W. Effect of solvent on the preparation of surfactant-free poly(DL-lactide-co-glycolide) nanoparticles and norfloxacin release characteristics. Int. J. Pharmaceut. 2000, 207, 99–108. [Google Scholar]
 
- Sample availability: Contact the authors.
 
© 2008 by MDPI (http://www.mdpi.org). Reproduction is permitted for noncommercial purposes.
Share and Cite
Sobczak, M.; Witkowska, E.; Olędzka, E.; Kolodziejski, W. Synthesis and Structural Analysis of Polyester Prodrugs of Norfloxacin. Molecules 2008, 13, 96-106. https://doi.org/10.3390/molecules13010096
Sobczak M, Witkowska E, Olędzka E, Kolodziejski W. Synthesis and Structural Analysis of Polyester Prodrugs of Norfloxacin. Molecules. 2008; 13(1):96-106. https://doi.org/10.3390/molecules13010096
Chicago/Turabian StyleSobczak, Marcin, Ewa Witkowska, Ewa Olędzka, and Waclaw Kolodziejski. 2008. "Synthesis and Structural Analysis of Polyester Prodrugs of Norfloxacin" Molecules 13, no. 1: 96-106. https://doi.org/10.3390/molecules13010096
APA StyleSobczak, M., Witkowska, E., Olędzka, E., & Kolodziejski, W. (2008). Synthesis and Structural Analysis of Polyester Prodrugs of Norfloxacin. Molecules, 13(1), 96-106. https://doi.org/10.3390/molecules13010096
        