Abstract
3-Alkyl(aryl)-4-amino-4,5-dihydro-1H-1,2,4-triazol-5-ones 2a-g reacted with4-diethylaminobenzaldehyde to afford the corresponding 3-alkyl(aryl)-4-(4-diethyl-aminobenzylidenamino)-4,5-dihydro-1H-1,2,4-triazol-5-ones 3a-g. The acetylation reactions of compounds 3a-e were investigated and compounds 4a-e were thus obtained. The new compounds were characterized using IR, 1H-NMR, 13C-NMR, UV and MS spectral data. In addition, the newly synthesized compounds 3a-g were titrated potentiometrically with tetrabutylammonium hydroxide in four non-aqueous solvents such as isopropyl alcohol, tert-butyl alcohol, acetone and N,N-dimethylformamide (DMF), and the half-neutralization potential values and the corresponding pKa values were determined for all cases. Moreover, 3 and 4 type compounds were also screened for their antioxidant activities.
Introduction
1,2,4-Triazole and 4,5-dihydro-1H-1,2,4-triazol-5-one derivatives are reported to possess a broad spectrum of biological activities such as antifungal, antimicrobial, hypoglycemic, antihypertensive, analgesic, antiparasitic, hypocholesteremic, antiviral, anti-inflammatory, antitumor, antioxidant and anti-HIV properties [1,2,3,4,5,6,7]. In addition, several articles reporting the synthesis of some N-arylidenamino-4,5-dihydro-1H-1,2,4-triazol-5-one derivatives have been published [6,7,8,9,10,11,12,13,14,15,16,17]. The acylation of 4,5-dihydro-1H-1,2,4-triazol-5-one derivatives has also been reported [3,5,9,10,11,12,17].
On the other hand, it is known that 1,2,4-triazole and 4,5-dihydro-1H-1,2,4-triazol-5-one rings have weak acidic properties, so some 1,2,4-triazole and 4,5-dihydro-1H-1,2,4-triazol-5-one derivatives were titrated potentiometrically with tetrabutylammonium hydroxide (TBAH) in non-aqueous solvents, and the pKa values of the compounds were determined [6,7,9,10,11,12,13,14,18,19,20,21].
Furthermore, antioxidants are extensively studied for their capacity to protect organisms and cells from damage induced by oxidative stress. Scientists in various disciplines have become more interested in new compounds, either synthesized or obtained from natural sources, that could provide active components to prevent or reduce the impact of oxidative stress on cells [22]. Exogenous chemicals and endogenous metabolic processes in human body or in food system might produce highly reactive free radicals, especially oxygen derived radicals, which are capable of oxidizing biomolecules, resulting in cell death and issue damage. Oxidative damages play a significant pathological role in human diseases. For example, cancer, emphysema, cirrhosis, atherosclerosis and arthritis have all been correlated with oxidative damage. Also, excessive generation of ROS (reactive oxygen species) induced by various stimuli and which exceeds the antioxidant capacity of the organism leads to a variety of pathophysiological processes such as inflammation, diabetes, genotoxicity and cancer [23].
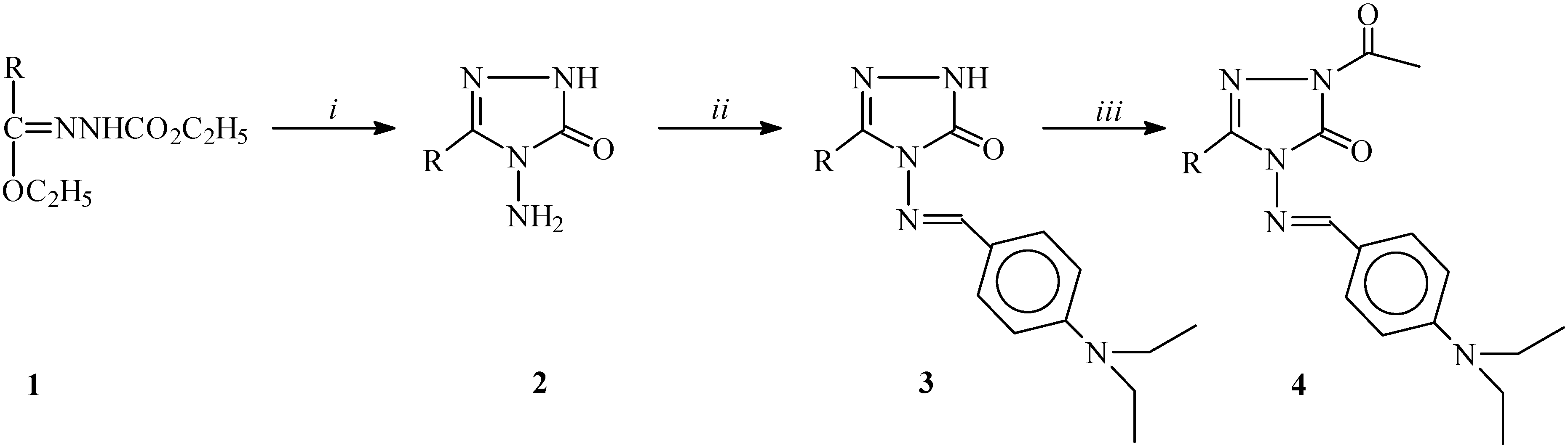
In the present paper, the antioxidant activities of seven new 3-alkyl(aryl)-4-(4-diethylamino-benzylideneamino)-4,5-dihydro-1H-1,2,4-triazol-5-ones 3a-g, which were synthesized by the reactions of 3-alkyl-4-amino-4,5-dihydro-1H-1,2,4-triazol-5-ones 2a-g with 4-diethylaminobenzaldehyde and five new 1-acetyl-3-alkyl(aryl)-4-(4-diethylaminobenzylideneamino)-4,5-dihydro-1H-1,2,4-triazol-5-ones 4a-e, which were synthesized by the acetylations of 3a-e were determined (Scheme 1).
Scheme 1.
Scheme 1.

i) N2H4, H2O, reflux, 6 h; ii) Et2NC6H4CHO (p-), AcOH, reflux, 1 h; iii) Ac2O, reflux, 1 h a) R= CH3, b) R= CH2CH3, c) R= CH2C6H5, d) R= CH2C6H4.CH3 (p-), e) R= CH2C6H4.Cl (p-), f) R= C6H5, g) R= cyclopropyl
Moreover, we also examined the potentiometric titrations of the synthesized compounds 3 with tetrabutylammonium hydroxide (TBAH) in four non-aqueous solvents (isopropyl alcohol, tert-butyl alcohol, acetone and DMF) to determine the corresponding half-neutralization potentials (HNP) and the corresponding pKa values. The data obtained from the potentiometric titrations was interpreted, and the effect of the C-3 substituent in 4,5-dihydro-1H-1,2,4-triazol-5-one ring as well as solvent effects were studied [9,10,11,12,13,14,18,19,20,21,24].
Results and Discussion
In this study, the structures of seven new 3-alkyl(aryl)-4-(4-diethylaminobenzylideneamino)-4,5-dihydro-1H-1,2,4-triazol-5-ones 3a-g and five new 1-acetyl-3-alkyl(aryl)-4-(4-diethylamino-benzylideneamino)-4,5-dihydro-1H-1,2,4-triazol-5-ones 4a-e were identified using IR, 1H-NMR,13C- NMR, UV and MS spectral data. In addition, the compounds 3a-g and 4a-e were screened for their in-vitro antioxidant activities. Several methods are used to determine antioxidant activities. The methods used in this study are discussed below:
Total reductive capability using the potassium ferricyanide reduction method
The reductive capabilities of compounds are assessed by the extent of conversion of the Fe3+/ferricyanide complex to the Fe2+/ferrous form. The reducing powers of the compounds were observed at different concentrations, and results were compared with BHA, BHT and α-tocopherol. The reducing capacity of a compound may serve as a significant indicator for its potential antioxidant activity [25]. The antioxidant activity of a putative antioxidant has been attributed to various mechanisms, among which are prevention chain initiation, binding of transition metal ion catalyst, decomposition of peroxides, prevention of continued hydrogen abstraction, reductive capacity and radical scavenging [26]. In this study, the reducing ability of compounds synthesized augmented with increasing concentration of samples. As can be seen in Figure 1, compound 3g showed a moderate reducing activity for Fe3+ compared to the blank reaction. Compounds 4a and 4b also displayed a weak reducing activity. The other compounds showed lower absorbance than the blank, hence, no reductive activities were observed. Only compounds 3g, 4a and 4b may reduce metal ions complexes to their lower oxidation state or to take part in electron transfer reaction. In other words, these compounds showed the ability of electron donor to scavenge free radicals.
DPPH• radical scavenging activity
The scavenging of the stable DPPH radical model is a widely used method to evaluate antioxidant activities in a relatively short time compared with other methods. The effect of antioxidants on DPPH radical scavenging was thought to be due to their hydrogen donating ability [27]. DPPH is a stable free radical and accepts an electron or hydrogen radical to become a stable diamagnetic molecule [28]. The reduction capability of DPPH radicals was determined by decrease in its absorbance at 517 nm induced by antioxidants. The absorption maximum of a stable DPPH radical in ethanol was at 517 nm.
Figure 1.
Total reductive potential of different concentrations (50-100-150 µg/mL) of 3g, 4a, 4b, BHT and α-tocopherol. High absorbance at 700 nm indicates high reducing power.
Figure 1.
Total reductive potential of different concentrations (50-100-150 µg/mL) of 3g, 4a, 4b, BHT and α-tocopherol. High absorbance at 700 nm indicates high reducing power.

Figure 2.
Scavenging effect of compounds 3a-g, BHA and α-tocopherol at different concentrations (12,5-25-37.5 µg/mL).
Figure 2.
Scavenging effect of compounds 3a-g, BHA and α-tocopherol at different concentrations (12,5-25-37.5 µg/mL).

The decrease in absorbance of DPPH radical was caused by antioxidants, because of reaction between antioxidant molecules and radical, progresses, which result in the scavenging of the radical by hydrogen donation. It is visually noticeable as a discoloration from purple to yellow. Hence, DPPH is usually used as a substrate to evaluate antioxidative activity of antioxidants [29]. BHA and α-tocopherol were used as a reference to antioxidant compounds. All the compounds tested with this method exhibited marked DPPH free radical scavenging activity in a concentration-dependent manner. Figure 2 and Figure 3 illustrate a decrease in the concentration of DPPH radical due to the scavenging ability of these compounds. These results indicate that the newly synthesized compounds showed moderate activities as a radical scavenger, indicating that it has good activities as hydrogen donors.
Figure 3.
Scavenging effect of compounds 4a-e, BHA and α-tocopherol at different concentrations (12,5-25-37.5 µg/mL).
Figure 3.
Scavenging effect of compounds 4a-e, BHA and α-tocopherol at different concentrations (12,5-25-37.5 µg/mL).

Ferrous ion chelating activity
The chelating effect towards ferrous ions by the compounds and standards was determined according to the method of Dinis [30]. Ferrozine can quantitatively form complexes with Fe2+. In the presence of chelating agents, the complex formation is disrupted with the result that the red colour of the complex is decreased. Measurement of colour reduction therefore allows estimation of the chelating activity of the coexisting chelator [31]. Transition metals have pivotal role in the generation oxygen free radicals in living organism. The ferric iron (Fe3+) is the relatively biologically inactive form of iron. However, it can be reduced to the active Fe2+, depending on condition, particularly pH [32] and oxidized back through Fenton type reactions with the production of hydroxyl radical or Haber-Weiss reactions with superoxide anions. The production of these radicals may lead to lipid peroxidation, protein modification and DNA damage. Chelating agents may not activate metal ions and potentially inhibit the metal-dependent processes [33]. Also, the production of highly active ROS such as O2.-, H2O2 and OH. is also catalyzed by free iron though Haber-Weiss reactions:
O.2 + H2O2 → O2 + OH- + OH.
Among the transition metals, iron is known as the most important lipid oxidation pro-oxidant due to its high reactivity. The ferrous state of iron accelerates lipid oxidation by breaking down the hydrogen and lipid peroxides to reactive free radicals via the Fenton reactions:
Fe2+ + H2O2 → Fe3+ + OH- + OH.
Fe3+ ion also produces radicals from peroxides, although the rate is tenfold less than that of Fe2+ ion, which is the most powerful pro-oxidant among the various types of metal ions [34]. Ferrous ion chelating activities of the compounds, BHT and α-tocopherol are shown in Figure 4. In this study, metal chelating capacity was significant since it reduced the concentrations of the catalyzing transition metal. It was reported that chelating agents that form σ-bonds with a metal are effective as secondary antioxidants because they reduce the redox potential thereby stabilizing the oxidized form of metal ion [35]. The data obtained from Figure 4 and Figure 5 reveal that the compounds demonstrate a marked capacity for iron binding, suggesting that their action as peroxidation protectors may be related to their iron binding capacity. On the other hand, free iron is known to have low solubility and a chelated iron complex has greater solubility in solution, which can be contributed solely by the ligand. Furthermore, the compound-iron complex may also be active, since it can participate in iron-catalyzed reactions.
Figure 4.
Metal chelating effect of different amount of the compounds 3a-g, BHT and α-tocopherol on ferrous ions.
Figure 4.
Metal chelating effect of different amount of the compounds 3a-g, BHT and α-tocopherol on ferrous ions.

Figure 5.
Metal chelating effect of different amount of the compounds 4a-e, BHT and α-tocopherol on ferrous ions.
Figure 5.
Metal chelating effect of different amount of the compounds 4a-e, BHT and α-tocopherol on ferrous ions.

In conclusion, the data here reported could be of the possible interest because of the observed hydrogen donating, radical scavenging and metal chelating activities of yhr dtudied compounds could prevent redox cycling. Design and synthesis of novel small molecules which can specifically protective role in biological systems are in perspective in modern medicinal chemistry.
Potentiometric titrations
As a separate study, newly synthesized compounds 3 were titrated potentiometrically with TBAH in four non-aqueous solvents: isopropyl and tert-butyl alcohol, acetone and DMF. The mV values read in each titration were plotted against 0.05 M TBAH volumes (mL) added, and potentiometric titration curves were obtained for all the cases. From the titration curves, the HNP values were measured, and the corresponding pKa values were calculated. As an example, the potentiometric titration curves for 0.001 M solutions of compounds 3a-g titrated with 0.05 M TBAH in isopropyl alcohol are shown in Figure 6.
Figure 6.
Potentiometric titration curves of 0.001 M solutions of compound 3a-g titrated with 0.05 M TBAH in acetone at 25°C.
Figure 6.
Potentiometric titration curves of 0.001 M solutions of compound 3a-g titrated with 0.05 M TBAH in acetone at 25°C.

The HNP values and the corresponding pKa values of compounds 3a-g, obtained from the potentiometric titrations with 0.05 M TBAH in isopropyl alcohol, tert-butyl alcohol, acetone and DMF, are presented in Table 1.
Table 1.
The HNP and the corresponding pKa values of compounds 3a-g in isopropyl alcohol, tert-butyl alcohol, acetone and DMF.
| Compd | Isopropyl alcohol | tert-butyl alcohol | DMF | Acetone | ||||
|---|---|---|---|---|---|---|---|---|
| HNP (mV) | pKa | HNP (mV) | pKa | HNP (mV) | pKa | HNP (mV) | pKa | |
| 3g | - | - | -556 | 16.02 | -575 | 17.06 | -488 | 15.26 |
When the dielectric permittivity of solvents is taken into consideration, the acidity order can be given as follows: DMF (ε=36.7) > acetone (ε=36) > isopropyl alcohol (ε=19.4) > tert-butyl alcohol (ε=12). As seen in Table 1, the acidity order for compounds 3a and 3d is: isopropyl alcohol > tert-butyl alcohol > DMF > acetone; for compounds 3b and 3c it is: isopropyl alcohol > DMF > tert-butyl alcohol > acetone; for compound 3e it is: isopropyl alcohol > acetone> DMF > tert-butyl alcohol and for compound 3f, it is: acetone > isopropyl alcohol > tert-butyl alcohol > DMF, while the ranking for compound 3g is: acetone > tert-butyl alcohol > DMF. In isopropyl alcohol, all these compounds show the strongest acidic properties.
The degree to which a pure solvent ionizes was represented by its autoprotolysis constant, KHS.
2HS = H2S+ + S-
For the above reaction the constant is defined by
KHS = [H2S+][S-]
Autoprotolysis is an acid-base reaction between identical solvent molecules is which some act as an acid and others as a base. Consequently, the extent of an autoprotolysis reaction depends both on the intrinsic acidity and the instrinsic basicity of the solvent. The importance of the autoprotolysis constant in titrations lies in its effect on the completeness of a titration reaction [36]. The exchange of the pKa values with autoprotolysis constant and dielectric constant are given in Figure 7.
As it is well known, the acidity of a compound depends on some factors. The two most important factors are the solvent effect and molecular structure [9,10,11,12,13,14,18,19,20,21,24]. Table 1 and Figure 6 show that the HNP values and corresponding pKa values obtained from the potentiometric titrations depend on the non-aqueous solvents used and the substituents at C-3, in 4,5-dihydro-1H-1,2,4-triazol-5-one ring.
Figure 7.
The variation of the pKa values for synthesized componds 3a-g with auto-protolysis constant and dielectric constant.
Figure 7.
The variation of the pKa values for synthesized componds 3a-g with auto-protolysis constant and dielectric constant.

Experimental
General
Melting points were taken on an Electrothermal 9100 digital melting point apparatus and are uncorrected. IR spectra were registered on a Perkin-Elmer Spectrum One FT-IR spectrometer. 1H- and 13C-NMR spectra were recorded in deuterated dimethyl sulfoxide with TMS as internal standard on a Varian Mercury spectrometer at 200 MHz and 50 MHz, respectively. UV absorption spectra were measured in 10-mm quartz cells between 200 and 400 nm using a Unicam UV/VIS spectrometer. Extinction coefficients (ε) are expressed in L∙mol-1∙cm-1. The starting compounds 2a-g were prepared from the reactions of the corresponding ester ethoxycarbonylhydrazones 1a-g with an aqueous solution of hydrazine hydrate as described in the literature [17,37].
General Method for the Preparation of 3-alkyl(aryl)-4-(4-diethylaminobenzylideneamino)-4,5-dihydro-1H-1,2,4-triazol-5-ones 3
The corresponding compound 2 (0.01 mol) was dissolved in acetic acid (15 mL) and treated with 4-diethylaminobenzaldehyde (1.77 g, 0.01 mol). The mixture was refluxed for 1 h and then evaporated at 50-55 °C in vacuo. Several recrystallizations of the residue from an appropriate solvent gave pure compounds 3a-g as colourless crystals.
3-Methyl-4-(4-diethylaminobenzylideneamino)-4,5-dihydro-1H-1,2,4-triazol-5-one (3a). Yield 84 %; mp. 211 °C (EtOH); 1H-NMR: δ 1.09 (t, 6H, 2CH2CH3), 2.20 (s, 3H, CH3), 3.37 (q, 4H, 2CH2CH3), 6.69 (d, 2H, J=9.2 Hz, Ar-H), 7.57 (d, 2H, J=8.8 Hz, Ar-H), 9.37 (s, 1H, N=CH), 11.66 (s, 1H, NH); 13C-NMR: δ 11.88 (CH3), 13.06 (2CH3), 44.47 (2CH2), 111.67 (2C), 120.17, 130.25 (2C), 144.76 (4-diethylaminophenyl carbons), 150.51 (triazole C3), 152.19 (N=CH), 156.10 (triazole C5); IR: 3180 (NH), 1688 (C=O), 1594 (C=N), 818 (1,4-disubstituted Ar) cm-1; UV λmax (ε): 357 (25324), 230 (9898), 207 (16875) nm; MS: m/z 273 (M+), 274 (M+1).
3-Ethyl-4-(4-diethylaminobenzylideneamino)-4,5-dihydro-1H-1,2,4-triazol-5-one (3b). Yield 94 %; mp. 186 °C (EtOH); 1H-NMR: δ 1.08 (t, 6H, 2CH2CH3), 1.17 (t, 3H, CH2CH3), 2.61 (q, 2H, CH2CH3), 3.37 (q, 4H, 2CH2CH3), 6.69 (d, 2H, J=9.2 Hz, Ar-H), 7.56 (d, 2H, J=8.8 Hz, Ar-H), 9.37 (s, 1H, N=CH), 11.68 (s, 1H, NH); 13C-NMR: δ 10.79 (CH3), 13.05 (2CH3), 19.34 (CH2), 44.47 (2CH2), 111.69 (2C), 120.23, 130.20 (2C), 148.58 (4-diethylaminophenyl carbons), 150.50 (triazole C3), 152.33 (N=CH), 156.07 (triazole C5); IR: 3179 (NH), 1683 (C=O), 1613, 1589 (C=N), 818 (1,4-disubstituted Ar) cm-1; UV λmax (ε): 358 (33660), 229 (12280), 207 (22775) nm.
3-Benzyl-4-(4-diethylaminobenzylideneamino)-4,5-dihydro-1H-1,2,4-triazol-5-one (3c). Yield 97 %; mp. 202 °C (EtOH); 1H-NMR: δ 1.09 (t, 6H, 2CH2CH3), 3.98 (s, 2H, CH2), 3.37 (q, 4H, 2CH2CH3), 6.69 (d, 2H, J=8.8 Hz, Ar-H), 7.19-7.29 (m, 5H, Ar-H), 7.54 (d, 2H, J=8.8 Hz, Ar-H), 9.35 (s, 1H, N=CH), 11.82 (s, 1H, NH); 13C-NMR: δ 13.05 (2CH3), 31.84 (CH2), 44.47 (2CH2), 111.70 (2C), 120.16, 130.25 (2C), 146.78 (4-diethylaminophenyl carbons), 127.34, 129.09 (2C), 129.46 (2C), 136.68 (phenyl carbons), 150.53 (triazole C3), 152.18 (N=CH), 155.74 (triazole C5); IR: 3165 (NH), 1700 (C=O), 1610, 1588 (C=N), 817 (1,4-disubstituted Ar), 770 and 683 (monosubstituted Ar) cm-1; UV λmax (ε): 358 (17280), 209 (19526) nm.
3-(4-Methylbenzyl)-4-(4-diethylaminobenzylideneamino)-4,5-dihydro-1H-1,2,4-triazol-5-one (3d). Yield 94 %; mp. 198 °C (EtOH); 1H-NMR: δ 1.09 (t, 6H, 2CH2CH3), 2.22 (s, 3H, CH3), 3.92 (s, 2H, CH2), 3.37 (q, 4H, 2CH2CH3), 6.69 (d, 2H, J=8.8 Hz, Ar-H), 7.07 (d, 2H, J=8.1 Hz, Ar-H), 7.17 (d, 2H, J=8.1 Hz, Ar-H), 7.55 (d, 2H, J=8.8 Hz, Ar-H), 9.35 (s, 1H, N=CH), 11.79 (s, 1H, NH); 13C-NMR: δ 13.07 (2CH3), 21.78 (CH3), 31.43 (CH2), 44.47 (2CH2), 111.70 (2C), 120.20, 130.24 (2C), 146.93 (4-diethylaminophenyl carbons), 129.33 (2C), 129.65 (2C), 133.57, 136.36 (4-methylphenyl carbons), 150.52 (triazole C3), 152.19 (N=CH), 155.68 (triazole C5); IR: 3173 (NH), 1702 (C=O), 1611, 1589 (C=N), 829, 817 (1,4-disubstituted Ar) cm-1; UV λmax (ε): 358 (30127), 210 (24382) nm.
3-(4-Chlorobenzyl)-4-(4-diethylaminobenzylideneamino)-4,5-dihydro-1H-1,2,4-triazol-5-one (3e). Yield 96 %; mp. 170 °C (EtOH); 1H-NMR: δ 1.09 (t, 6H, 2CH2CH3), 3.98 (s, 2H, CH2), 3.37 (q, 4H, 2CH2CH3), 6.68 (d, 2H, J=8.8 Hz, Ar-H), 7.32 (q, 4H, Ar-H), 7.53 (d, 2H, J=9.2 Hz, Ar-H), 9.36 (s, 1H, N=CH), 11.85 (s, 1H, NH); 13C-NMR: δ 13.07 (2CH3), 31.18 (CH2), 44.47 (2CH2), 111.70 (2C), 120.13, 130.27 (2C), 146.43 (4-diethylaminophenyl carbons), 129.02 (2C), 131.38 (2C), 132.05, 135.64 (4-chlorophenyl carbons), 150.54 (triazole C3), 152.17 (N=CH), 155.78 (triazole C5); IR: 3176 (NH), 1701 (C=O), 1602, 1587 (C=N), 846, 812 (1,4-disubstituted Ar) cm-1; UV λmax (ε): 360 (20757), 221 (13254), 210 (16274) nm.
3-Phenyl-4-(4-diethylaminobenzylideneamino)-4,5-dihydro-1H-1,2,4-triazol-5-one (3f). Yield 84 %; mp. 232 °C (EtOH); 1H-NMR: δ 1.08 (t, 6H, 2CH2CH3), 3.36 (q, 4H, 2CH2CH3), 6.70 (d, 2H, J=8.8 Hz, Ar-H), 7.47-7.48 (m, 3H, Ar-H), 7.56-7.59 (m, 2H, Ar-H), 7.90 (d, 2H, J=9.2 Hz, Ar-H), 9.24 (s, 1H, N=CH), 12.24 (s, 1H, NH); 13C-NMR: δ 13.05 (2CH3), 44.50 (2CH2), 111.75 (2C), 119.90, 130.56 (2C), 144.99 (4-diethylaminophenyl carbons), 127.10, 128.35 (2C), 129.19 (2C), 130.56 (phenyl carbons), 150.73 (triazole C3), 152.35 (N=CH), 159.33 (triazole C5); IR: 3160 (NH), 1687 (C=O), 1609, 1588 (C=N), 812 (1,4-disubstituted Ar), 769 and 690 (monosubstituted Ar) cm-1; UV λmax (ε): 364 (36264), 240 (21813), 210 (25875) nm.
3-Cyclopropyl-4-(4-diethylaminobenzylidenamino)-4,5-dihydro-1H-1,2,4-triazol-5-one (3g). Yield 52 %; mp. 194 °C (EtOH-water, 1:3); 1H-NMR: δ 0.85-0.98 (m, 4H, CH2CH2), 1.08 (t, 6H, 2CH2CH3), 1.99-2.06 (m, 1H, CH), 3.31-3.43 (m, 4H, 2CH2CH3), 6.65-6.71 (m, 2H, Ar-H), 7.58 (d, 2H, J=8.7 Hz, Ar-H), 9.33 (s, 1H, N=CH), 11.63 (s, 1H, NH); IR: 3170 (NH), 1695 (C=O), 1598 (C=N), 818 (1,4-disubstituted Ar) cm-1; UV λmax (ε): 359 (20400), 240 (6100) nm.
General Method for the Preparation of 1-Acetyl-3-alkyl(aryl)-4-(4-diethylaminobenzylideneamino)-4,5-dihydro-1H-1,2,4-triazol-5-ones 4
The corresponding compound 3 (0.01 mol) was refluxed with acetic anhydride (15 mL) for 0.5 h. After addition of absolute ethanol (50 mL), the mixture was refluxed for 1 h more. Evaporation of the resulting solution at 40-45 °C in vacuo and several recrystallizations of the residue from EtOH gave pure compounds 4a-e as colourless crystals.
1-Acetyl-3-methyl-4-(4-diethylaminobenzylideneamino)-4,5-dihydro-1H-1,2,4-triazol-5-one (4a). Yield 94 %; mp. 147 °C (EtOH); 1H-NMR: δ 1.09 (t, 6H, 2CH2CH3), 2.26 (s, 3H, CH3), 2.44 (s, 3H, COCH3), 3.38 (q, 4H, 2CH2CH3), 6.70 (d, 2H, J=8.8 Hz, Ar-H), 7.59 (d, 2H, J=8.4 Hz, Ar-H), 9.17 (s, 1H, N=CH); 13C-NMR: δ 11.97 (CH3), 13.04 (2CH3), 24.11 (COCH3), 44.51 (2CH2), 111.67 (2C), 119.44, 130.69 (2C), 147.36 (4-diethylaminophenyl carbons), 148.83 (triazole C3), 150.92 (N=CH), 158.75 (triazole C5), 166.68 (COCH3); IR: 1768, 1696 (C=O), 1597, 1588 (C=N), 836 (1,4-disubstituted Ar) cm-1; UV λmax (ε): 361 (22015), 230 (9972), 209 (14910) nm; MS: m/z 315 (M+), 316 (M+1).
1-Acetyl-3-ethyl-4-(4-diethylaminobenzylideneamino)-4,5-dihydro-1H-1,2,4-triazol-5-one (4b). Yield 85 %; mp. 127 °C (EtOH); 1H-NMR: δ 1.06-1.23 (m, 9H, 3CH2CH3), 2.45 (s, 3H, COCH3), 2.64 (q, 2H, CH2CH3), 3.39 (m, 4H, 2CH2CH3), 6.69 (d, 2H, J=8.8 Hz, Ar-H), 7.57 (d, 2H, J=8.1 Hz, Ar-H), 9.16 (s, 1H, N=CH); 13C-NMR: δ 9.33 (CH3), 12.25 (2CH3), 18.61 (CH2), 23.35 (COCH3), 43.73 (2CH2), 110.85 (2C), 118.64, 129.86 (2C), 150.09 (4-diethylaminophenyl carbons), 148.26 (triazole C3), 150.10 (N=CH), 157.89 (triazole C5), 165.88 (COCH3); IR: 1765, 1693 (C=O), 1605, 1586 (C=N), 835 (1,4-disubstituted Ar) cm-1; UV λmax (ε): 361 (22862), 232 (9455), 209 (13357) nm; MS: m/z 329 (M+), 330 (M+1).
1-Acetyl-3-benzyl-4-(4-diethylaminobenzylideneamino)-4,5-dihydro-1H-1,2,4-triazol-5-one (4c). Yield 91 %; mp. 146 °C (EtOH); 1H-NMR: δ 1.09 (t, 6H, 2CH2CH3), 2.47 (s, 3H, COCH3), 4.06 (s, 2H, CH2), 3.34-3.41 (m, 4H, 2CH2CH3), 6.71 (d, 2H, J=9.1 Hz, Ar-H), 7.26-7.33 (m, 5H, Ar-H), 7.57 (d, 2H, J=8.7 Hz, Ar-H), 9.16 (s, 1H, N=CH); 13C-NMR: δ 13.07 (2CH3), 24.25 (COCH3), 31.77 (CH2), 44.51 (2CH2), 111.69 (2C), 119.38, 130.74 (2C), 149.07 (4-diethylaminophenyl carbons), 127.63, 129.19 (2C), 129.69 (2C), 135.48 (phenyl carbons), 149.07 (triazole C3), 150.92 (N=CH), 158.45 (triazole C5), 166.73 (COCH3); IR: 1737, 1729 (C=O), 1604, 1585 (C=N), 820 (1,4-disubstituted Ar), 764 and 689 (monosubstituted Ar) cm-1; UV λmax (ε): 362 (28665), 235 (11040), 210 (22050) nm; MS: m/z 391 (M+), 392 M+1).
1-Acetyl-3-(4-methylbenzyl)-4-(4-diethylaminobenzylideneamino)-4,5-dihydro-1H-1,2,4-triazol-5-one (4d). Yield 91 %; mp. 142 °C (EtOH); 1H-NMR: δ 1.10 (t, 6H, 2CH2CH3), 2.23 (s, 3H, CH3), 2.47 (s, 3H, COCH3), 4.00 (s, 2H, CH2), 3.39 (q, 4H, 2CH2CH3), 6.71 (d, 2H, J=8.8 Hz, Ar-H), 7.09 (d, 2H, J=7.7 Hz, Ar-H), 7.21 (d, 2H, J=8.1 Hz, Ar-H), 7.57 (d, 2H, J=8.8 Hz, Ar-H), 9.15 (s, 1H, N=CH); 13C-NMR: δ 13.07 (2CH3), 21.31 (CH3), 24.22 (COCH3), 31.39 (CH2), 44.51 (2CH2), 111.73 (2C), 119.45, 130.72 (2C), 149.02 (4-diethylaminophenyl carbons), 129.56 (2C), 129.74 (2C), 132.33, 136.71 (4-methylphenyl carbons), 149.20 (triazole C3), 150.20 (N=CH), 158.46 (triazole C5), 166.70 (COCH3); IR: 1737, 1728 (C=O), 1604, 1587 (C=N), 843, 820 (1,4-disubstituted Ar) cm-1; UV λmax (ε): 362 (27633), 240 (9881), 209 (18927) nm.
1-Acetyl-3-(4-chlorobenzyl)-4-(4-diethylaminobenzylideneamino)-4,5-dihydro-1H-1,2,4-triazol-5-one (4e). Yield 88 %; mp. 164 °C (EtOH); 1H-NMR: δ 1.10 (t, 6H, 2CH2CH3), 2.47 (s, 3H, COCH3), 4.07 (s, 2H, CH2), 3.39 (q, 4H, 2CH2CH3), 6.71 (d, 2H, J=9.2 Hz, Ar-H), 7.36 (s, 4H, Ar-H), 7.56 (d, 2H, J=8.8 Hz, Ar-H), 9.17 (s, 1H, N=CH); IR: 1739, 1701 (C=O), 1605, 1585 (C=N), 817, 802 (1,4-disubstituted Ar) cm-1; UV λmax (ε): 363 (36264), 222 (21813), 210 (25875) nm.
Antioxidant Activity: Chemicals
Butylated hydroxytoluene (BHT) was purchased from E. Merck. Ferrous chloride, α-tocopherol, 1,1-diphenyl-2-picryl-hydrazyl (DPPH.), 3-(2-pyridyl)-5,6-bis(phenylsulfonic acid)-1,2,4-triazine (ferrozine), butylated hydroxyanisole (BHA) and trichloracetic acid (TCA) were bought from Sigma (Sigma –Aldrich GmbH, Sternheim,Germany).
Reducing power
The reducing power of the synthesized compounds was determined according to the method of Oyaizu [38]. Different concentrations of the samples (50-250 µg/mL) in DMSO (1 mL) were mixed with phosphate buffer (2.5 mL, 0.2 M, pH = 6.6) and potassium ferricyanide (2.5 mL, 1%). The mixture was incubated at 50oC for 20 min. after which a portion (2.5 mL) of trichloroacetic acid (10%) was added to the mixture, which was then centrifuged for 10 min at 1000 x g. The upper layer of solution (2.5 mL) was mixed with distilled water (2.5 mL) and FeCI3 (0.5 mL, 0.1%), and then the absorbance at 700 nm was measured in a spectrophometer. Higher absorbance of the reaction mixture indicated greater reducing power.
Free radical scavenging activity
Free radical scavenging activity of compounds was measured by DPPH., using the method of Blois [39]. Briefly, 0.1 mM solution of DPPH. in ethanol was prepared, and this solution (1 mL) was added to sample solutions in DMSO (3 mL) at different concentrations (50-250 µg/mL). The mixture was shaken vigorously and allowed to stand at room temperature for 30 min. Then the absorbance was measured at 517 nm in a spectrophometer. Lower absorbance of the reaction mixture indicated higher free radical scavenging activity. The DPPH. concentration (mM) in the reaction medium was calculated from the following calibration curve and determined by linear regression (R: 0.997):
The capability to scavenge the DPPH radical was calculated using the following equation:
where A0 is the absorbance of the control reaction and A1 is the absorbance in the presence of the samples or standards.
Absorbance = 0.0003 x DPPH. – 0.0174
DPPH. scavenging effect (%) = (A0 – A1/A0) x 100
Metal chelating activity
The chelation of ferrous ions by the synthesized compounds and standards were estimated by the method of Dinis et al. [30]. Briefly, the synthesized compounds (50-250 µg/mL) were added to a 2 mM solution of FeCI2 (0.05 mL). The reaction was initiated by the addition of 5 mM ferrozine (0.2 mL) and the mixture was shaken vigorously and left standing at room temperature for 10 min. After the mixture had reached equilibrium, the absorbance of the solution was then measured at 562 nm in a spectrophotometer. All test and analyses were run in triplicate and averaged. The percentage of inhibition of ferrozine-Fe2+ complex formation was given by the formula: % Inhibition = (A0 – A1/A0) x 100, where A0 is the absorbance of the control, and A1 is the absorbance in the presence of the samples or standards. The control did not contain compound or standard.
Potentiometric Titrations
A Jenway 3040-model ion analyzer and an Ingold pH electrode were used for potentiometric titrations. For each compound that would be titrated, the 0.001 M solution was separately prepared in each non-aqueous solvent. The 0.05 M solution of TBAH in isopropyl alcohol, which is widely used in the titration of acids, was used as titrant. The mV values, that were obtained in pH-meter, were recorded. Finally, the HNP values were determined by drawing the mL (TBAH)-mV graphic.
References
- Yüksek, H.; Demibaş, A.; Ikizler, A.; Johansson, C.B.; Çelik, C.; Ikizler, A.A. Synthesis and antibacterial activities of some 4,5-dihydro-1H-1,2,4-triazol-5-ones. Arzneim.-Forsch./Drug Res. 1997, 47, 405–409. [Google Scholar]
- Ikizler, A.A.; Demirbaş, A.; Johansson, C.B.; Çelik, C.; Serdar, M.; Yüksek, H. Synthesis and biological activity of some 4,5-dihydro-1H-1,2,4-triazol-5-one derivatives. Acta Pol. Pharm.-Drug Res. 1998, 55, 117–123. [Google Scholar]
- Alkan, M.; Yüksek, H.; İslamoğlu, F.; Bahçeci, Ş.; Calapoğlu, M.; Elmastaş, M.; Akşit, H.; Özdemir, M. A Study on 4-acylamino-4,5-dihydro-1H-1,2,4-triazol-5-ones. Molecules 2007, 12, 1805–1816. [Google Scholar]
- Bhat, A.R.; Bhat, G.V.; Shenoy, G.G. Synthesis and in-vitro antimicrobial activity of new 1,2,4-triazoles. J. Pharm. Pharmacol. 2001, 53, 267–272. [Google Scholar] [CrossRef] [PubMed]
- Yüksek, H.; Alkan, M.; Akmak, İ.; Ocak, Z.; Bahçeci, Ş.; Calapoğlu, M.; Elmastaş, M.; Kolomuç, A.; Aksu, H. Preparation, GIAO NMR calculations and acidic properties of some novel 4,5-dihydro-1H-1,2,4-triazol-5-one derivatives with their antioxidant activities. Int. J. Mol. Sci. 2008, 9, 12–32. [Google Scholar]
- Yüksek, H.; Küçük, M.; Alkan, M.; Bahçeci, Ş.; Kolaylı, S.; Ocak, Z.; Ocak, U.; Şahinbaş, E.; Ocak, M. Synthesis and andioxidant activities of some new 4-(4-hydroxybenzylidenamino)-4,5-dihydro-1H-1,2,4-triazol-5-one derivatives with their acidic properties. Asian J. Chem. 2006, 18, 539–550. [Google Scholar]
- Yüksek, H.; Kolaylı, S.; Küçük, M.; Yüksek, M. O.; Ocak, U.; Şahinbaş, E.; Sivrikaya, E.; Ocak, M. Synthesis and andioxidant activities of some 4-benzylidenamino-4,5-dihydro-1H-1,2,4-triazol-5-one derivatives. Indian J. Chem. 2006, 45B, 715–718. [Google Scholar]
- Ikizler, A. A.; Yüksek, H. Reaction of 4-amino-4,5-dihydro-1H-1,2,4-triazol-5-ones with 2,5-dimethoxytetrahydrofuran. Collect. Czech. Chem. Commun. 1994, 59, 731–735. [Google Scholar] [CrossRef]
- Bahçeci, Ş.; Yüksek, H.; Ocak, Z.; Azaklı, A.; Alkan, M.; Ozdemir, M. Synthesis and potentiometric titrations of some new 4-(benzylideneamino)-4,5-dihydro-1H-1,2,4-triazol-5-one derivatives in non-aqueous media. Collect. Czech. Chem. Commun. 2002, 67, 1215–1222. [Google Scholar] [CrossRef]
- Bahçeci, Ş.; Yüksek, H.; Ocak, Z.; Köksal, C.; Ozdemir, M. Synthesis and non-aqueous medium titrations of some new 4,5-dihydro-1H-1,2,4-triazol-5-one derivatives. Acta Chim. Slov. 2002, 49, 783–794. [Google Scholar]
- Yüksek, H.; Üçüncü, O.; Alkan, M.; Ocak, Z.; Bahçeci, Ş.; Özdemir, M. Synthesis and non-aqueous medium titrations of some new 4-benzylidenamino-4,5-dihydro-1H-1,2,4-triazol-5-one derivatives. Molecules 2005, 10, 961–970. [Google Scholar]
- Yüksek, H.; Ocak, Z.; Özdemir, M.; Ocak, M.; Bekar, M.; Aksoy, M. A study on novel 4-hetero-arylidenamino-4,5-dihydro-1H-1,2,4-triazol-5-ones. Indian J. Heterocyl. Chem. 2003, 13, 49–52. [Google Scholar]
- Yüksek, H.; Bahçeci, Ş.; Ocak, Z.; Alkan, M.; Ermiş, B.; Mutlu, T.; Ocak, M.; Özdemir, M. Synthesis of some 4,5-dihydro-1H-1,2,4-triazol-5-ones. Indian J. Heterocy. Ch. 2004, 13, 369–372. [Google Scholar]
- Yüksek, H.; Bahçeci, Ş.; Ocak, Z.; Özdemir, M.; Ocak, M.; Ermiş, B.; Mutlu, T. Synthesis and determination of acid dissociation constants of some new 4,5-dihydro-1H-1,2,4-triazol-5-one derivatives. Asian J. Chem. 2005, 17, 195–201. [Google Scholar]
- Yüksek, H.; Gürsoy, Ö.; Çakmak, İ.; Alkan, M. Synthesis and GIAO NMR calculation for some new 4,5-dihydro-1H-1,2,4-triazol-5-one derivatives: comparison of theoretical and experimental 1H and 13C chemical shifts. Magn. Reson. Chem. 2005, 43, 585–587. [Google Scholar]
- Yüksek, H.; Çakmak, İ.; Sadi, S.; Alkan, M. Synthesis and GIAO NMR calculations for some novel 4-heteroarylidenamino-4,5-dihydro-1H-1,2,4-triazol-5-one derivatives: comparison of theoretical and experimental 1H and 13C chemical shifts. Int. J. Mol. Sci. 2005, 6, 219–229. [Google Scholar]
- Ikizler, A.A.; Yüksek, H. Acetylation of 4-amino-4,5-dihydro-1H-1,2,4-triazol-5-ones. Org. Prep. Proceed. Int. 1993, 25, 99–105. [Google Scholar] [CrossRef]
- Ikizler, A. A.; Şentürk, H. B.; Ikizler, A. pK’a values of some 1,2,4-triazole derivatives in nonaqueous media. Doğa-Tr. J. Chem. 1991, 15, 345–354, [Chem. Abstr. 1992, 116, 173458x]. [Google Scholar]
- Ikizler, A.A.; Ikizler, A.; Şentürk, H.B.; Serdar, M. The pKa values of some 1,2,4-triazole and 1,2,4-triazolin-5-one derivatives in nonaqueous media. Doğa-Tr. Kimya D. 1988, 12, 57–66, [Chem. Abstr. 1988, 109, 238277q]. [Google Scholar]
- Yüksek, H.; Alkan, M.; Ocak, Z.; Bahçeci, Ş.; Ocak, M.; Özdemir, M. Synthesis and acidic properties of some new potential biologically active 4-acylamino-4,5-dihydro-1H-1,2,4-triazol-5-one derivatives. Indian J. Chem. 2004, 43B, 1527–1531. [Google Scholar]
- Yüksek, H.; Ocak, Z.; Alkan, M.; Bahçeci, Ş; Özdemir, M. Synthesis and determination of pKa values of some new 3,4-disubstituted-4,5-dihydro-1H-1,2,4-triazol-5-one derivatives in non-aqueous solvents. Molecules 2004, 9, 232–240. [Google Scholar]
- Hussain, H.H.; Babic, G.; Durst, T.; Wright, J.; Flueraru, M.; Chichirau, A.; Chepelev, L.L. Development of novel antioxidants: design, synthesis, and reactivity. J. Org. Chem. 2003, 63, 7023–7032. [Google Scholar]
- McClements, J.; Decker, E.A. Lipid oxidation in oil water emulsions: Impact of molecular environment on chemical reactions in heterogeneous food system. J. Food Sci. 2000, 65, 1270–1282. [Google Scholar]
- Gündüz, T. Susuz Ortam Reaksiyonları; Gazi Büro Kitabevi Tic. Ltd. Şti: Ankara, Turkey, 1998. [Google Scholar]
- Meir, S.; Kanner, J.; Akiri, B.; Hadas, S.P. Determination and involvement of aqueous reducing compounds in oxidative defense systems of various senescing leaves. J. Agri. Food. Chem. 1995, 43, 1813–1819. [Google Scholar] [CrossRef]
- Yildirim, A.; Mavi, A.; Kara, A.A. Determination of antioxidant and antimicrobial activities of Rumex crispus L. extracts. J. Agri. Food. Chem. 2001, 4083–4089. [Google Scholar] [CrossRef]
- Baumann, J.; Wurn, G.; Bruchlausen, V. Prostaglandin synthetase inhibiting O2- radical scavenging properties of some flavonoids and related phenolic compounds. N-S. Arch. Pharmacol. 1979, 308, R27. [Google Scholar]
- Soares, J.R.; Dinis, T.C.P.; Cunha, A.P.; Ameida, L.M. Antioxidant activities of some extracts of Thymus zygis. Free Rad. Res. 1997, 26, 469–478. [Google Scholar] [CrossRef]
- Duh, P.D.; Tu, Y.Y.; Yen, G.C. Antioxidant activity of water extract of Harng Jyur (Chyrsanthemum morifolium Ramat). Lebn. Wissen. Technol. 1999, 32, 269. [Google Scholar] [CrossRef]
- Dinis, T.C.P.; Madeira, V.M.C.; Almeida, L.M. Action of phenolic derivatives (acetaminophen, salicylate, and 5-aminosalicylate) as inhibitors of membrane lipid peroxidation and as peroxyl radical scavengers. Arch. Biochem. Biophys. 1994, 315, 161–169. [Google Scholar] [CrossRef] [PubMed]
- Yamaguchi, F.; Ariga, T.; Yoshimira, Y.; Nakazawa, H. Antioxidative and anti-glycation activity of garcinol from Garcinia indica fruit rind. J. Agri. Food. Chem. 2000, 48, 180–185. [Google Scholar] [CrossRef]
- Strlic, M.; Radovic, T.; Kolar, J.; Pihlar, B. Anti- and prooxidative properties of gallic acid in fenton-type systems. J. Agri. Food. Chem. 2002, 50, 6313–6317. [Google Scholar] [CrossRef]
- Finefrock, A.E.; Bush, A.I.; Doraiswamy, P.M. Current status of metals as therapeutic targets in Alzheimer's disease. J. Am. Geriatr. Soc. 2003, 51, 1143–1148. [Google Scholar] [CrossRef] [PubMed]
- aliş, I.; Hosny, M.; Khalifa, T.; Nishibe, S. Secoiridoids from Fraxinus angustifolia. Phytochemistry 1993, 33, 1453–1456. [Google Scholar] [CrossRef]
- Gordon, M.H. Food Antioxidants; Elsevier: London-New York, 1990; pp. 1–18. [Google Scholar]
- Hargis, L.G. Analytical Chemistry Principles and Techniques; Prentice-Hall. Inc.: NJ, 1988. [Google Scholar]
- Ikizler, A.A.; Un, R. Reactions of ester ethoxycarbonylhydrazones with some amine type compounds. Chim. Acta Turc. 1979, 7, 269–290, [Chem. Abstr. 1991, 94, 15645d]. [Google Scholar]
- Oyaizu, M. Studies on products of browning reaction prepared from glucosamine. Japan. Nutri. 1986, 44, 307–316. [Google Scholar]
- Blois, M.S. Antioxidant determinations by the use of a stable free radical. Nature 1958, 26, 1199–1200. [Google Scholar] [CrossRef]
- Sample availability: Contact the authors.
© 2008 by MDPI (http://www.mdpi.org). Reproduction is permitted for noncommercial purposes.