Fractal Geometric Model for Statistical Intermittency Phenomenon
Abstract
1. Introduction
1.1. Statistical Intermittency: From the Theory of Kolmogorov
1.2. Clustering and Fractal Analysis
1.3. Entropic Skis Geometry (E.S.G) to Describe Intermittency
1.4. Extended Self-Similarity (ESS)
2. Geometric Model for Intermittency
- Step 1: Consider a domain of size pixels, throwing in a few points uniformly at random: iteration 0 (Figure 1a).
- Step 2: Remove the areas at the four corners from the initial draw (known in normal 2D Cantor), having sides of size ; θ is a symmetry scale and is the entire scale. Then, throw the same number of points as in the previous iteration into each of these areas (also uniformly random) (Figure 1b).
- Step 3: Consider each generated “sub-block” square and apply this process.
- Step 4: Iterate to infinity.
3. Measurements
4. Application of Entropic Skin Geometry to the Fractal Model
5. Scaling Analysis
5.1. Crest Dimension Measurement
5.2. Bulk Dimension Measurement
6. Statistical Analysis
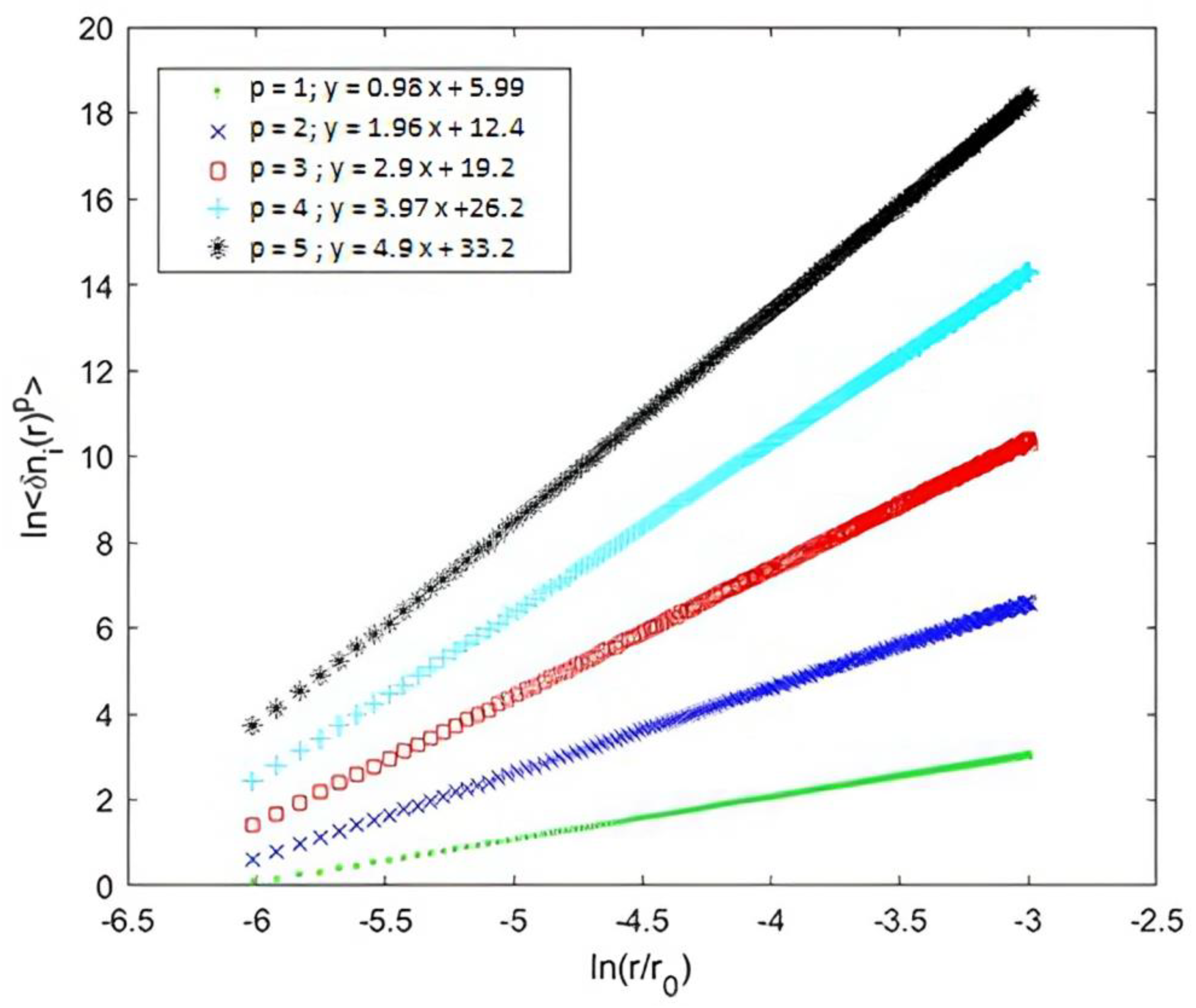
6.1. Scale Exponent Measure
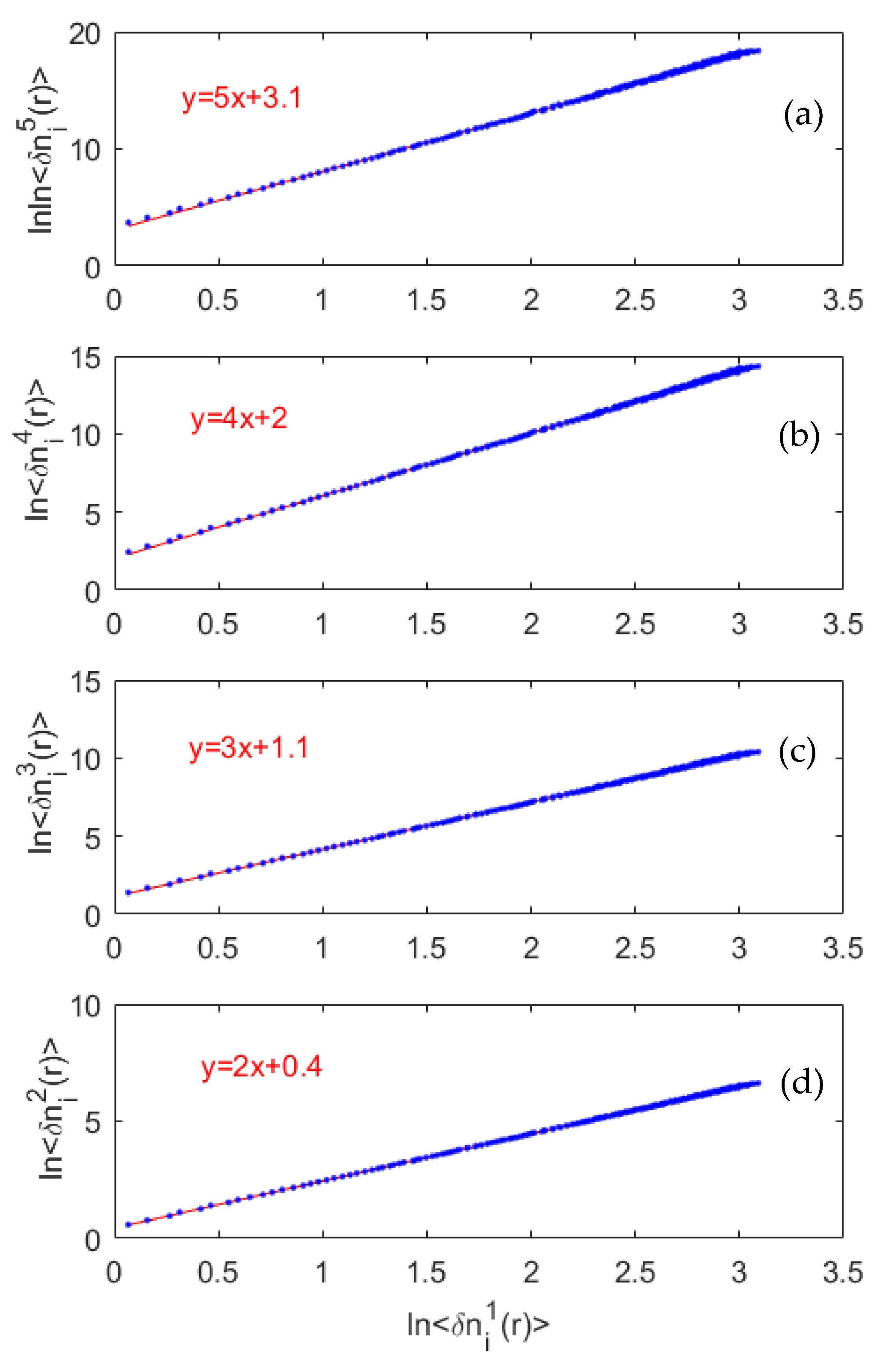
6.2. Extended Self-Similarity in Geometric Clustering Model
6.3. Calculation of Statistical Reversibility Efficiency
7. Results
7.1. Intermittency as Deviation to Homogeneity
7.2. Crest and Bulk Dynamic
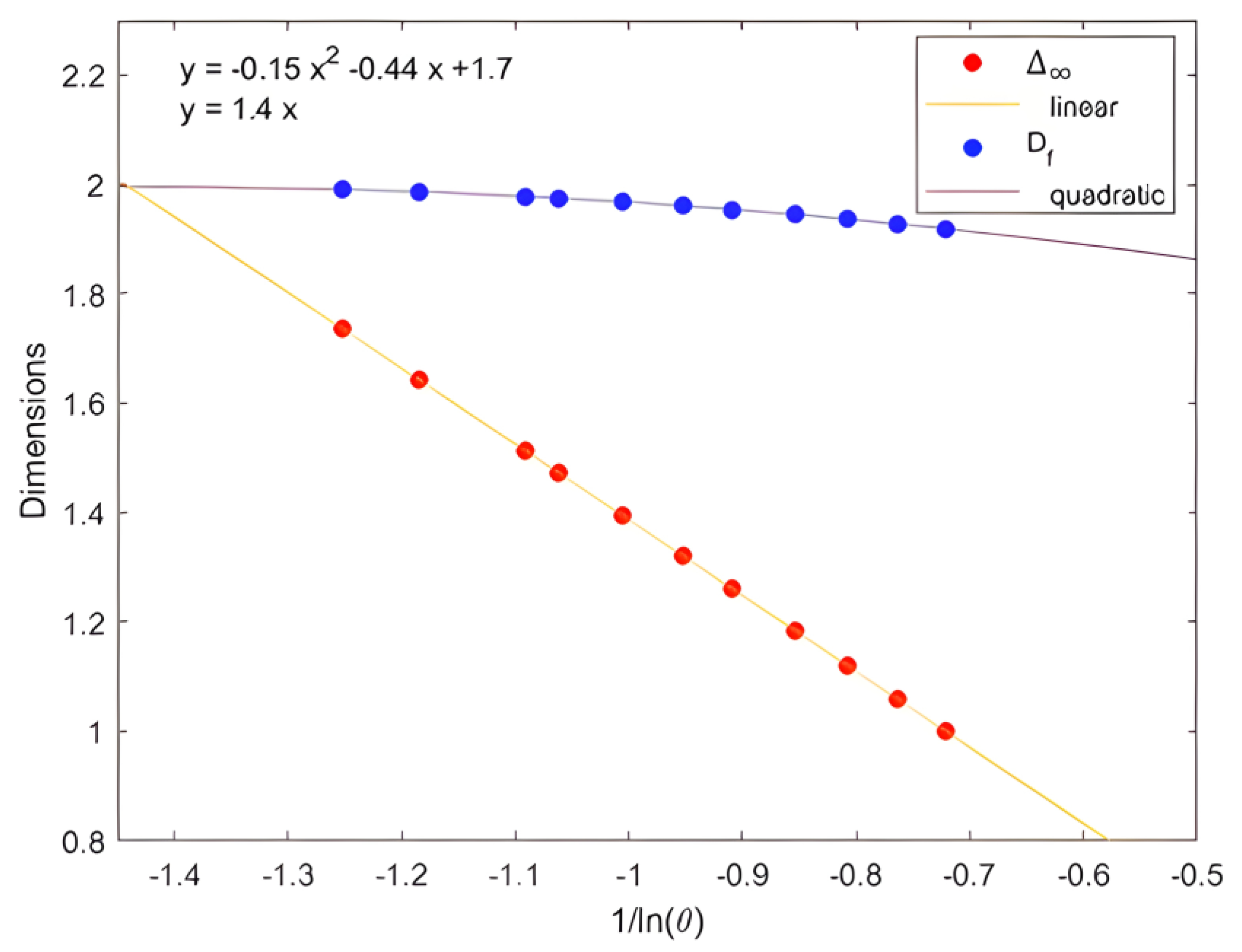
7.3. Equality of and
8. Conclusions
Author Contributions
Funding
Institutional Review Board Statement
Informed Consent Statement
Data Availability Statement
Conflicts of Interest
Abbreviations
| a | Population factor |
| p | Fluctuation level |
| Embedding dimension | |
| Fractal dimension of the bulk | |
| Local fractal dimension at iteration i | |
| Local fractal dimension corresponding to iteration i between the topical scales and | |
| Topological dimension | |
| Fractal dimension of the crest | |
| The average interparticle distance at a certain iteration i | |
| Integral scale | |
| Size of a block at one iteration i | |
| Number of grid cells at scale r | |
| Number of points thrown in one of the block areas at iteration i | |
| Number of points by a certain block associated with iteration i | |
| Number of blocks at iteration i | |
| Number of points thrown in the cross zones at iteration i | |
| Number of affected meshes at scale r | |
| The number of points in mesh i | |
| Minimum number of overlays with thickness r to cover the spatial extension at fluctuation level p | |
| Observation scale | |
| Ωp | Fluctuating structure |
| p | Volume occupied by the spatial extension Ωp of fluctuation at level p at scale r |
| Relative structure functions of number of points at level of fluctuation p | |
| Reversibility efficiency | |
| Statistical reversibility efficiency | |
| Geometrical reversibility efficiency | |
| , | Bulk dimension |
| Dimension of fluctuation level p | |
| Symmetry scale (intermittency parameter) | |
| Relative structure functions of p-order energy dissipation rate at scale r | |
| Relative structure functions of the velocity fluctuation δV(r) at scale r | |
| Scaling exponent of average fluctuation rate of number of points or velocity at fluctuation level p | |
| Scaling exponent of energy dissipation rate of order p | |
| Average energy dissipation rate over the real active part of the field | |
| Energy dissipation rate of order p | |
| The number of points in cell i | |
| Mean number of points at given scale | |
| Mean fluctuation rate of points number at fluctuation level p at scale r | |
| Mean fluctuation rate of point numbers on affected blocks corresponding to the fluctuation level p | |
| Velocity fluctuation | |
| Structural function of order p of the velocity fluctuation δV(r) |
Appendix A
Appendix B

References
- Kolmogorov, A.N. The Local Structure of Turbulence in Incompressible Viscous Fluid for Very Large Reynolds Numbers. Proc. R. Soc. A Math. Phys. Eng. Sci. 1941, 30, 301–305. [Google Scholar]
- Hinze, J.O.; Drake, R.M. Turbulence Intro to Mechanism and Theory Hinze 1959, 1st ed.; Kline, S.J., Ed.; McGraw-Hill: New York, NY, USA, 1959. [Google Scholar]
- Queiros-Conde, D.; Carlier, J.; Grosu, L.; Stanislas, M. Entropic-Skins Geometry to Describe Wall Turbulence Intermittency. Entropy 2015, 17, 2198–2217. [Google Scholar] [CrossRef]
- Stolovitzky, G.; Kailasnath, P.; Sreenivasan, K.R. Kolmogorov’s Refined Similarity Hypotheses. Phys. Rev. Lett. 1992, 69, 1178–1181. [Google Scholar] [CrossRef]
- David, T. Basics of Engineering Turbulence, 1st ed.; Elsevier: Amsterdam, The Netherlands, 2016. [Google Scholar]
- Chen, S.; Doolen, G.D.; Kraichnan, R.H.; She, Z. On Statistical Correlations between Velocity Increments and Locally Averaged Dissipation in Homogeneous Turbulence. Phys. Fluids Fluid Dyn. 1993, 5, 458–463. [Google Scholar] [CrossRef]
- Monin, A.S.; Yaglom, A.M.; Lumley, J.L. Statistical Fluid Mechanics: Mechanics of Turbulence; The MIT Press: Cambridge, MA, USA, 1979; Volume 2, ISBN 978-0-262-13158-2. [Google Scholar]
- Anselmet, F.; Gagne, Y.; Hopfinger, E.J.; Antonia, R.A. High-Order Velocity Structure Functions in Turbulent Shear Flows. J. Fluid Mech. 1984, 140, 63–89. [Google Scholar] [CrossRef]
- Gagne, Y. Étude Expérimentale de L’intermittence et des Singularités Dans le Plan Complexe en Turbulence Développée. Ph.D. Thesis, Université Joseph Fourier (Grenoble), La Tronche, France, 1987. [Google Scholar]
- Vincent, A.; Meneguzzi, M. The Spatial Structure and Statistical Properties of Homogeneous Turbulence. J. Fluid Mech. 1991, 225, 1–20. [Google Scholar] [CrossRef]
- Vassilicos, J.C. Intermittency in Turbulent Flows; Cambridge University Press: Cambridge, UK, 2001; ISBN 978-0-521-79221-9. [Google Scholar]
- Queiros-Conde, D.; Vassilicos, J.C. Turbulent Wakes of 3-D Fractal Grids. Intermittency Turbul. Flows 2001, 12, 136–167. [Google Scholar]
- Kolmogorov, A.N. A Refinement of Previous Hypotheses Concerning the Local Structure of Turbulence in a Viscous Incompressible Fluid at High Reynolds Number. J. Fluid Mech. 1962, 13, 82–85. [Google Scholar] [CrossRef]
- Frisch, U. Turbulence: The Legacy of A.N. Kolmogorov; Cambridge University Press: Cambridge, UK, 1995; Volume 11. [Google Scholar]
- Karinate Okiy A Comparative Analysis of Turbulence Models Utilised for the Prediction of Turbulent Airflow through a Sudden Expansion. Int. J. Eng. Res. Afr. 2015, 16, 64–78. [CrossRef]
- Jiménez, J. Intermittency and cascades. J. Fluid Mech. 2000, 409, 99–120. [Google Scholar] [CrossRef]
- Queiros-Condé, D. Geometry of the intermittency in developed turbulence. Comptes Rendus Académie Sci. Ser. IIB Mech. Phys. Astron. 1999, 327, 1385–1390. [Google Scholar] [CrossRef]
- Klimaszewska, K.; Żebrowski, J.J. Detection of the Type of Intermittency Using Characteristic Patterns in Recurrence Plots. Phys. Rev. E 2009, 80, 026214. [Google Scholar] [CrossRef]
- Ambrożkiewicz, B.; Syta, A.; Meier, N.; Litak, G.; Georgiadis, A. Radial Internal Clearance Analysis in Ball Bearings. Eksploat. Niezawodn. Maint. Reliab. 2021, 23, 42–54. [Google Scholar] [CrossRef]
- Pomeau, Y.; Manneville, P. Intermittent Transition to Turbulence in Dissipative Dynamical Systems. Commun. Math. Phys. 1980, 74, 189–197. [Google Scholar] [CrossRef]
- Grassberger, P.; Procaccia, I. Characterization of Strange Attractors. Phys. Rev. Lett. 1983, 50, 346–349. [Google Scholar] [CrossRef]
- She, Z.-S.; Leveque, E. Universal Scaling Laws in Fully Developed Turbulence. Phys. Rev. Lett. 1994, 72, 336–339. [Google Scholar] [CrossRef]
- She, Z.-S. Intermittency and Non-Gaussian Statistics in Turbulence. Fluid Dyn. Res. 1991, 8, 143–158. [Google Scholar] [CrossRef]
- Benzi, R.; Paladin, G.; Parisi, G.; Vulpiani, A. On the Multifractal Nature of Fully Developed Turbulence and Chaotic Systems. J. Phys. Math. Gen. 1984, 17, 3521–3531. [Google Scholar] [CrossRef]
- Frisch, U.; Vergassola, M. A Prediction of the Multifractal Model: The Intermediate Dissipation Range. Europhys. Lett. EPL 1991, 14, 439–444. [Google Scholar] [CrossRef]
- Frisch, U.; Sulem, P.-L.; Nelkin, M. A Simple Dynamical Model of Intermittent Fully Developed Turbulence. J. Fluid Mech. 1978, 87, 719–736. [Google Scholar] [CrossRef]
- Obukhov, A.M. Some Specific Features of Atmospheric Turbulence. J. Geophys. Res. 1896–1977 1962, 67, 3011–3014. [Google Scholar] [CrossRef]
- Douady, S.; Couder, Y.; Brachet, M.E. Direct Observation of the Intermittency of Intense Vorticity Filaments in Turbulence. Phys. Rev. Lett. 1991, 67, 983–986. [Google Scholar] [CrossRef] [PubMed]
- Atta, C.W.V.; Yeh, T.T. Evidence for scale similarity of internal intermittency in turbulent flows at large Reynolds numbers. J. Fluid Mech. 1975, 71, 417–440. [Google Scholar] [CrossRef]
- Sreenivasan, K.R.; Ramshankar, R.; Meneveau, C. Mixing, Entrainment and Fractal Dimensions of Surfaces in Turbulent Flows. Proc. R. Soc. Math. Phys. Eng. Sci. 1989, 421, 79–108. [Google Scholar] [CrossRef]
- Constantin, P.; Procaccia, I.; Sreenivasan, K.R. Fractal Geometry of Isoscalar Surfaces in Turbulence: Theory and Experiments. Phys. Rev. Lett. 1991, 67, 1739–1742. [Google Scholar] [CrossRef]
- Catrakis, H.J.; Dimotakis, P.E. Scale Distributions and Fractal Dimensions in Turbulence. Phys. Rev. Lett. 1996, 77, 3795–3798. [Google Scholar] [CrossRef]
- Moisy, F.; Jiménez, J. Clustering of Intense Structures in Isotropic Turbulence: Numerical and Experimental Evidence. In Proceedings of the IUTAM Symposium on Elementary Vortices and Coherent Structures: Significance in Turbulence Dynamics, Kyoto, Japan, 26–28 October 2004; Kida, S., Ed.; Springer: Dordrecht, The Netherlands, 2006; pp. 3–12. [Google Scholar]
- Moisy, F.; Jiménez, J. Geometry and Clustering of Intense Structures in Isotropic Turbulence. J. Fluid Mech. 2004, 513, 111–133. [Google Scholar] [CrossRef]
- Baker, M.C.; Fox, R.O.; Kong, B.; Capecelatro, J.; Desjardins, O. Reynolds-Stress Modeling of Cluster-Induced Turbulence in Particle-Laden Vertical Channel Flow. Phys. Rev. Fluids 2020, 5, 074304. [Google Scholar] [CrossRef]
- Queiros-Conde, D.; Feidt, M. Fractal and Trans-Scale Nature of Entropy: Towards a Geometrization of Thermodynamics; Elsevier: Amsterdam, The Netherlands, 2018; ISBN 978-0-08-101790-6. [Google Scholar]
- Matsuura, K.; Fukumoto, Y. Hierarchical Clustering Method of Volumetric Vortical Regions with Application to the Late Stage of Laminar-Turbulent Transition. Phys. Rev. Fluids 2022, 7, 054703. [Google Scholar] [CrossRef]
- Li, Y.; Perlman, E.; Wan, M.; Yang, Y.; Meneveau, C.; Burns, R.; Chen, S.; Szalay, A.; Eyink, G. A Public Turbulence Database Cluster and Applications to Study Lagrangian Evolution of Velocity Increments in Turbulence. J. Turbul. 2008, 9, N31. [Google Scholar] [CrossRef]
- Cui, G.; Ruhman, I.; Jacobi, I. Spatial Detection and Hierarchy Analysis of Large-Scale Particle Clusters in Wall-Bounded Turbulence. J. Fluid Mech. 2022, 942, A52. [Google Scholar] [CrossRef]
- Zaichik, L.I.; Alipchenkov, V.M.; Sinaiski, E.G. Particles in Turbulent Flows; Wiley—VCH: Weinheim, Germany, 2008; ISBN 978-3-527-40739-2. [Google Scholar]
- Beltraminelli, S.; Losa, G.A.; Ristanović, D.; Ristanović, D.; Zaletel, I. From Fractal Geometry to Fractal Analysis. Appl. Math. 2016, 7, 720–726. [Google Scholar] [CrossRef]
- Mandelbrot, B. How Long Is the Coast of Britain? Statistical Self-Similarity and Fractional Dimension. Science 1967, 156, 636–638. [Google Scholar] [CrossRef]
- Queiros-Condé, D.; Chaline, J.; Brissaud, I. The Creative Entropy: Fractal Thermodynamics of Universe, Life and Human Societies; Ivan, J., Ed.; 2340075556|Cultura; Ellipses: London, UK, 2023. [Google Scholar]
- Procaccia, I. Fractal Structures in Turbulence. J. Stat. Phys. 1984, 36, 649–663. [Google Scholar] [CrossRef]
- Sreenivasan, K.R.; Meneveau, C. The Fractal Facets of Turbulence. J. Fluid Mech. 1986, 173, 357–386. [Google Scholar] [CrossRef]
- Hunt, B. The Hausdorff Dimension of Graphs of Weierstrass Functions. Proc. Am. Math. Soc. 1998, 126, 791–800. [Google Scholar] [CrossRef]
- Frost, W.; Moulden, T.H. (Eds.) Handbook of Turbulence: Volume 1 Fundamentals and Applications; Springer: New York, NY, USA, 1977; ISBN 978-1-4684-2324-2. [Google Scholar]
- Quéiros-condé, D. Entropic Skins Geometry to Describe Wall Turbulence Intermittency: Application to a Turbulent Boundary Layer; Final Report of WALLTURB; Mechanics laboratory of Lille (UMR CNRS 8107): Lille, France, 2008. [Google Scholar]
- Queiros-Conde, D. The Entropic Skins Model in Fully Developed Turbulence. Comptes Rendus L’Académie Sci. Sér. II Fasc. B Mécanique 2000, 328, 541–546. [Google Scholar]
- Ribeiro, P.; Queiros-Condé, D. A Scale-Entropy Diffusion Equation to Explore Scale-Dependent Fractality. Proc. R. Soc. Math. Phys. Eng. Sci. 2017, 473, 20170054. [Google Scholar] [CrossRef]
- Queiros-Condé, D. Dynamique des Peaux Entropiques Dans les Systèmes Intermittents et Multi-Échelles; HDR, University Henri Poincaré: Nancy, France, 2006. [Google Scholar]
- Queiros-Condé, D.; Chaline, J.; Dubois, J. The World of Fractals: The Trans-Scale Nature, 2nd ed.; Ellipses: Paris, France, 2015; 476p. [Google Scholar]
- Queiros-Conde, D. Internal Symmetry in the Multifractal Spectrum of Fully Developed Turbulence. Phys. Rev. E Stat. Nonlin. Soft Matter Phys. 2001, 64, 015301. [Google Scholar] [CrossRef]
- Benzi, R.; Ciliberto, S.; Tripiccione, R.; Baudet, C.; Massaioli, F.; Succi, S. Extended Self-Similarity in Turbulent Flows. Phys. Rev. E 1993, 48, R29–R32. [Google Scholar] [CrossRef]
- Queiros-Conde, D. Geometrical Extended Self-Similarity and Intermittency in Diffusion-Limited Aggregates. Phys. Rev. Lett. 1997, 78, 4426–4429. [Google Scholar] [CrossRef]
- Sornette, D. Discrete Scale Invariance and Complex Dimensions. Phys. Rep. 1998, 297, 239–270. [Google Scholar] [CrossRef]
- Carlier, J.; Stanislas, M. Experimental Study of Eddy Structures in a Turbulent Boundary Layer Using Particle Image Velocimetry. J. Fluid Mech. 2005, 535, 143–188. [Google Scholar] [CrossRef]
- Absi, R. Analytical Solutions for the Modeled k Equation. J. Appl. Mech. 2008, 75, 044501. [Google Scholar] [CrossRef]
- Absi, R. Eddy Viscosity and Velocity Profiles in Fully-Developed Turbulent Channel Flows. Fluid Dyn. 2019, 54, 137–147. [Google Scholar] [CrossRef]
- Sundaravadivelu, K.; Absi, R. Turbulent Kinetic Energy Estimate in the near Wall Region of Smooth Turbulent Channel Flows. Meccanica 2021, 56, 2533–2545. [Google Scholar] [CrossRef]















Disclaimer/Publisher’s Note: The statements, opinions and data contained in all publications are solely those of the individual author(s) and contributor(s) and not of MDPI and/or the editor(s). MDPI and/or the editor(s) disclaim responsibility for any injury to people or property resulting from any ideas, methods, instructions or products referred to in the content. |
© 2023 by the authors. Licensee MDPI, Basel, Switzerland. This article is an open access article distributed under the terms and conditions of the Creative Commons Attribution (CC BY) license (https://creativecommons.org/licenses/by/4.0/).
Share and Cite
Tarraf, W.; Queiros-Condé, D.; Ribeiro, P.; Absi, R. Fractal Geometric Model for Statistical Intermittency Phenomenon. Entropy 2023, 25, 749. https://doi.org/10.3390/e25050749
Tarraf W, Queiros-Condé D, Ribeiro P, Absi R. Fractal Geometric Model for Statistical Intermittency Phenomenon. Entropy. 2023; 25(5):749. https://doi.org/10.3390/e25050749
Chicago/Turabian StyleTarraf, Walid, Diogo Queiros-Condé, Patrick Ribeiro, and Rafik Absi. 2023. "Fractal Geometric Model for Statistical Intermittency Phenomenon" Entropy 25, no. 5: 749. https://doi.org/10.3390/e25050749
APA StyleTarraf, W., Queiros-Condé, D., Ribeiro, P., & Absi, R. (2023). Fractal Geometric Model for Statistical Intermittency Phenomenon. Entropy, 25(5), 749. https://doi.org/10.3390/e25050749

