More Tolerant Reconstructed Networks Using Self-Healing against Attacks in Saving Resource
Abstract
1. Introduction
2. Methods
2.1. Outline of Healing Process
- Step 0:
- Detection and initiationAfter detecting a removal as a malfunction at the nearest neighbor of the attacked node, the healing process is initiated autonomously.
- Step 1:
- Selection of two nodesSince the neighbor loses links at least temporarily before rewiring, the damaged ones become an attached candidate for healing. Thus, two unconnected nodes are chosen from the neighbors of the nodes removed by attacks. The selections are different in our proposed and the conventional healing methods. Moreover, neighbors are extended in our proposed methods.
- Step 2:
- Rewiring for healingThe chosen two nodes are connected as rewiring for healing. The above process is repeated for links.
2.2. Proposed Healing Methods
- RingBP
- Previously, our combination method of ring formation and enhancing loops was based on [10]. After making rings on the extended neighbors of removed nodes, as shown in Figure 1, enhancing the loops on the rings is performed by applying the BP algorithm [23] (see Section 2.3). However, in BP, a set as probability of node i to be necessary for loops is calculated only once, just after an attack. Please note that a ring is the simplest loop when it uses the least number of links.
- RingRecal
- We modified our method with the recalculation of BP. After making rings, a set is recalculated one by one through each rewiring in the remaining links within for enhancing loops.
- RingLimit1,5,10
- We modified our method with limited rewirings. After making rings, in enhancing loops, the number of rewiring links is limited at node i to its degree , , or .
- RingLimit5Recal
- We modified our method by a combination of RingRecal and RingLimit5. After making rings, a set of is recalculated one by one through each rewiring in the remaining links within for enhancing loops. Moreover, the number of rewiring links is limited at node i to .
2.3. Applying the Belief Propagation Algorithm
2.4. Conventional Healing Methods
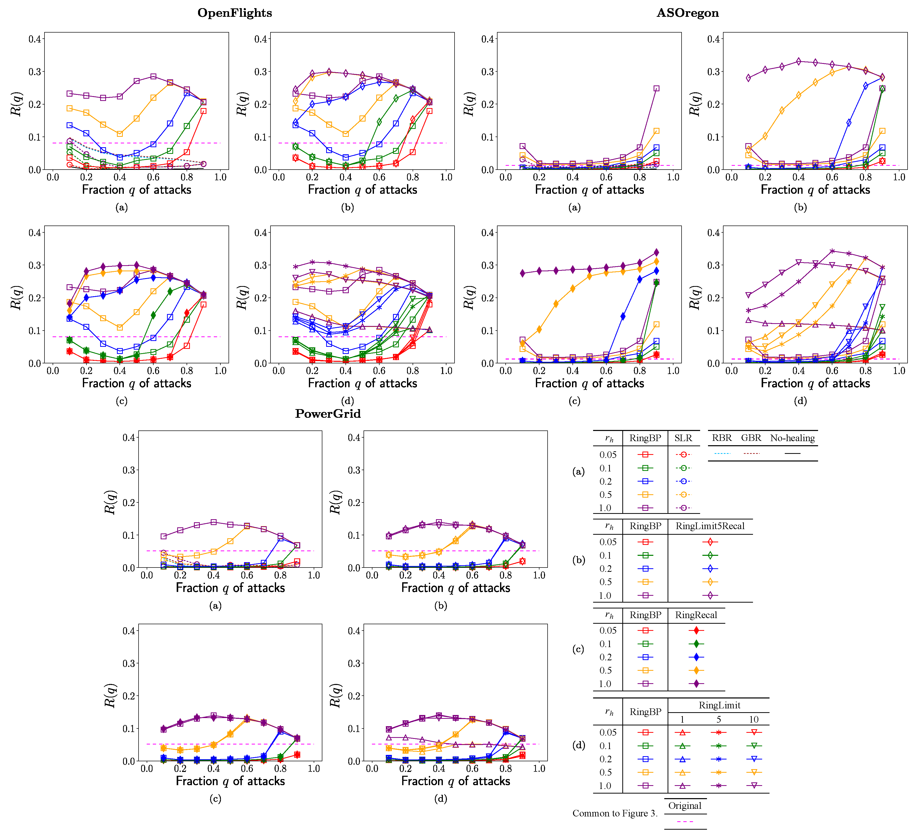
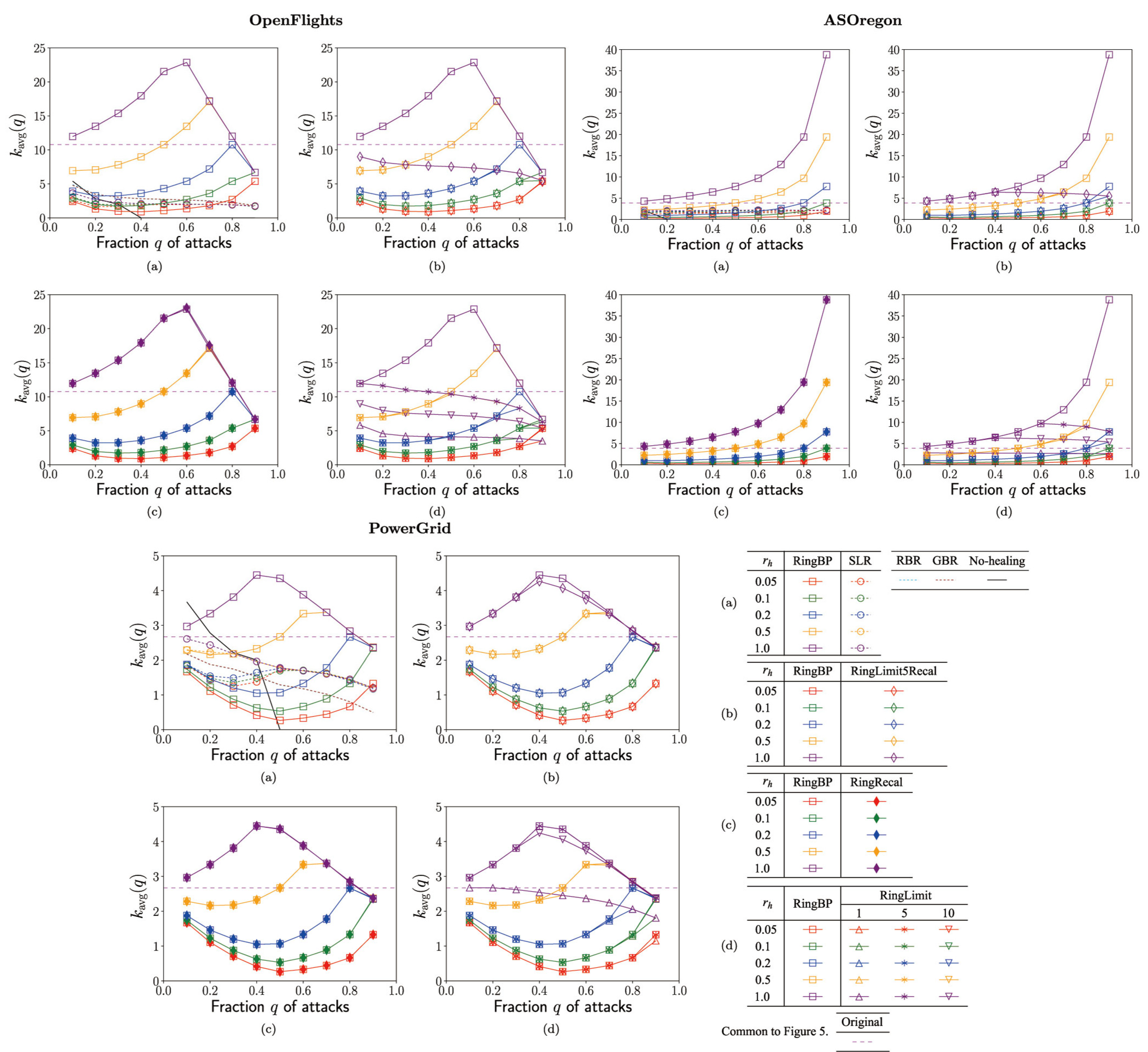
3. Results
4. Discussion
Author Contributions
Funding
Institutional Review Board Statement
Informed Consent Statement
Data Availability Statement
Conflicts of Interest
Abbreviations
| SF | Scale-Free |
| FVS | Feedback Vertex Set |
| NP | Non-deterministic Polynomial |
| BP | Belief Propagation |
| GC | Giant Component |
| RBR | Random Bypass Rewiring |
| GBR | Greedy Bypass Rewiring |
| SLR | Simple Local Repair |
References
- U.S.-Canada Power System Outage Task Force. Final Report on the 14 August 2003 Blackout in the United States and Canada: Causes and Recommendations. 2004. Available online: https://energy.gov/sites/prod/files/oeprod/DocumentsandMedia/BlackoutFinal-Web.pdf (accessed on 9 January 2021).
- FINAL REPORT of the Investigation Committee on the 28 September 2003 Blackout in Italy. Available online: https://eepublicdownloads.entsoe.eu/clean-documents/pre2015/publications/ce/otherreports/20040427_UCTE_IC_Final_report.pdf (accessed on 9 January 2021).
- The Great East Japan Earthquake: A Story of a Devastating Natural Disaster, A Tale of Human Compassion, 11 March 2011. World Health Organization, Western Pacific Region. December 2013. Available online: https://apps.who.int/iris/rest/bitstreams/920441/retrieve (accessed on 9 January 2021).
- Amaral, L.; Scala, A.; Barthelemy, M.; Stanley, H.E. Classes of small-world networks. Proc. Natl. Acad. Sci. USA 2000, 97, 11149–11152. [Google Scholar] [CrossRef] [PubMed]
- Barabási, A.-L.; Albert, R.; Jeong, H. Mean-filed theory for scale-free random networks. Physica A 2000, 272, 173–187. [Google Scholar] [CrossRef]
- Albert, R.; Jeong, H.; Barabási, A.-L. Error and attack tolerance of complex networks. Nature 2000, 406, 378–382. [Google Scholar] [CrossRef] [PubMed]
- Hollnagel, E.; Woods, D.-D.; Leveson, N. Resilience Engineering-Concepts and Precepts; ASHGATE Publishing: Farnham, UK, 2006. [Google Scholar]
- Folke, C. Resilience: The Emergence of a Perspective for Social-Ecological Systems Analyses. Glob. Environ. Chang. 2006, 16, 253–267. [Google Scholar] [CrossRef]
- Zolli, A.; Healy, A. Resilience-Why Things Bounce Back; Free Press: Wong Chuk Hang, Hong Kong, 2012. [Google Scholar]
- Hayashi, Y.; Tanaka, A.; Matsukubo, J. Effective Self-Healing Networks against Attacks or Disasters in Resource Allocation Control. In Proceedings of the 12th International Conference on Adaptive and Self-Adaptive Systems and Applications (ADAPTIVE) (Online), Nice, France, 25–29 October 2020; pp. 85–91, ISBN 978-1-61208-781-8. [Google Scholar]
- Schneider, C.M.; Moreira, A.A.; Andrade, J.S., Jr.; Havlin, S.; Herrmann, H.J. Mitigation of malicious attacks on networks. Proc. Natl. Acad. Sci. USA 2011, 108, 3838–3841. [Google Scholar] [CrossRef] [PubMed]
- Tanizawa, T.; Havlin, S.; Stanley, H.E. Robustness of onion-like correlated networks against targeted attacks. Phys. Rev. E 2012, 85, 046109. [Google Scholar] [CrossRef] [PubMed]
- Wu, Z.-X.; Holme, P. Onion structure and network robustness. Phys. Rev. E 2011, 84, 026106. [Google Scholar] [CrossRef] [PubMed]
- Braunstein, A.; Dall’Asta, L.; Semerjiand, G.; Zdeborová, L. Network dismantling. Proc. Natl. Acad. Sci. USA 2016, 113, 12368–12373. [Google Scholar] [CrossRef] [PubMed]
- Karp, R.M. Reducibility among combinatorial problems. In Complexity of Computer Communications; Miller, E., Thatcher, J.W., Bohlinger, J.D., Eds.; Plenum Press: New York, NY, USA, 1972; pp. 85–103. [Google Scholar] [CrossRef]
- Hayashi, Y. Growing Self-organized Design of Efficient and Robust Complex Networks. In Proceedings of the 8th IEEE International Conference on Self-Adaptive and Self-Organizing Systems (SASO), London, UK, 8–12 September 2014. [Google Scholar]
- Hayashi, Y. A new design principle of robust onion-like networks self-organized in growth. Netw. Sci. 2018, 6, 54–70. [Google Scholar] [CrossRef]
- Hayashi, Y.; Uchiyama, N. Onion-like networks are both robust and resilient. Sci. Rep. 2018, 8, 11241. [Google Scholar] [CrossRef] [PubMed]
- Chujyo, M.; Hayashi, Y. A loop enhancement strategy for network robustness. Appl. Netw. Sci. 2021, 6, 1–13. [Google Scholar] [CrossRef]
- Song, S.; Park, H.; Choi, B.-Y.; Zhu, H. Control path management framework for enhancing software-defined network (SDN) reliability. IEEE Trans. Netw. Serv. Manag. 2017, 4, 302–316. [Google Scholar] [CrossRef]
- Hu, Y.; Wendong, W.; Gong, X.; Que, X.; Shiduan, C. Reliability-aware controller placement for software-defined networks. In Proceedings of the IFIP/IEEE International Symposium on Integrated Network Management, Ghent, Belgium, 27–31 May 2013; pp. 672–675. [Google Scholar] [CrossRef]
- Thyagaturu, A.S.; Mercian, A.; McGray, P.; Reisslein, M.; Kellerer, W. Software defined optical networks (SDONs): A comprehensive survey. IEEE Commun. Surv. Tutor. 2016, 18, 2738–2786. [Google Scholar] [CrossRef]
- Zhou, H.-J. Spin glass approach to the feedback vertex set problem. Eur. Phys. J. B 2013, 86, 455. [Google Scholar] [CrossRef]
- Park, J.; Hahn, S.G. Bypass rewiring and robustness of complex networks. Phy. Rev. E 2016, 94, 022310. [Google Scholar] [CrossRef] [PubMed]
- Gallos, L.K.; Fefferman, N.H. Simple and efficient self-healing strategy for damaged complex networks. Phy. Rev. E 2015, 92, 052806. [Google Scholar] [CrossRef] [PubMed]
- Stippinger, M.; Kertész, J. Enhancing resilience of interdependent networks by healing. Physica A 2014, 416, 481–487. [Google Scholar] [CrossRef]
- Hayes, T.; Rustagi, N.; Saia, J.; Trehan, A. The Forgiving Tree: A Self-Healing Distributed Data Structure. In Proceedings of the 27th ACM Symposium on Principles of Distributed Computing (PODC), Toronto, ON, Canada, 18–21 August 2008; pp. 203–212, ISBN 978-1-59593-989-0. Available online: https://dl.acm.org/citation.cfm?doid=1400751.1400779 (accessed on 9 January 2021). [CrossRef]
- Castañeda, A.; Dolev, D.; Trehan, A. Compact routing messages in self-healing. Theor. Comput. Sci. 2018, 709, 2–19. [Google Scholar] [CrossRef]
- Data Source of Real Infrastructure Networks. OpenFlights. Available online: http://networkrepository.com/inf-openflights.php (accessed on 9 January 2021).
- Internet AS Oregon. Available online: http://snap.stanford.edu/data/as.html (accessed on 9 January 2021).
- US PowerGrid. Available online: http://www-personal.umich.edu/~mejn/netdata/power.zip (accessed on 9 January 2021).






| Network | N | M | D | R | E | ||||
|---|---|---|---|---|---|---|---|---|---|
| OpenFlight | 2905 | 15,645 | 10.77 | 1 | 242 | 4.097 | 14 | 0.080912 | 0.266934 |
| AS Oregon | 6474 | 12,572 | 3.883 | 1 | 1458 | 3.705 | 9 | 0.012500 | 0.290399 |
| PowerGrid | 4941 | 6594 | 2.669 | 1 | 19 | 18.989 | 46 | 0.052428 | 0.062878 |
| OpenFlights | |||||||||
| 0.1 | 0.2 | 0.3 | 0.4 | 0.5 | 0.6 | 0.7 | 0.8 | 0.9 | |
| 0.05 | 1 | 1 | 1 | 1 | 1 | 1 | 1 | 2 | 14.7 |
| (1) | (1) | (1) | (1) | (1) | (1) | (1) | (1.36) | (3.32) | |
| 0.1 | 1 | 1 | 1 | 1 | 2 | 2 | 4.03 | 20.68 | 21.59 |
| (1) | (1) | (1) | (1) | (1.10) | (1.37) | (1.91) | (3.55) | (4.46) | |
| 0.2 | 26.54 | 3.67 | 3.44 | 3.81 | 10.22 | 29.44 | 44.08 | 49.23 | 21.56 |
| (1.66) | (1.59) | (1.68) | (1.91) | (2.51) | (3.64) | (5.47) | (8.46) | (4.46) | |
| 0.3 | 55.44 | 23.93 | 26.55 | 42.07 | 50.64 | 65.58 | 69.37 | 63.04 | 21.61 |
| (3.57) | (2.83) | (3.02) | (3.72) | (4.86) | (6.56) | (8.92) | (9.74) | (4.46) | |
| 0.4 | 77.65 | 56.61 | 62.22 | 69.58 | 79.96 | 88.11 | 81.62 | 63.09 | 21.6 |
| (5.57) | (4.44) | (4.81) | (5.74) | (7.20) | (9.28) | (12.17) | (9.73) | (4.46) | |
| 0.5 | 96.35 | 81.88 | 87.52 | 98.26 | 106.62 | 105.12 | 107.14 | 62.99 | 21.62 |
| (7.56) | (6.07) | (6.61) | (7.77) | (9.59) | (11.84) | (14.84) | (9.74) | (4.46) | |
| 1.0 | 179.04 | 175.97 | 173.53 | 177.32 | 160.94 | 170.93 | 115.33 | 63.02 | 21.57 |
| (16.78) | (13.95) | (14.85) | (16.91) | (19.68) | (20.66) | (15.10) | (9.74) | (4.46) | |
| AS Oregon | |||||||||
| 0.1 | 0.2 | 0.3 | 0.4 | 0.5 | 0.6 | 0.7 | 0.8 | 0.9 | |
| 0.05 | 1 | 1 | 1 | 1 | 1 | 1 | 1 | 1 | 1 |
| (1) | (1) | (1) | (1) | (1) | (1) | (1) | (1) | (1) | |
| 0.1 | 1 | 1 | 1 | 1 | 1 | 1 | 1 | 1 | 6.43 |
| (1) | (1) | (1) | (1) | (1) | (1) | (1) | (1) | (2.26853) | |
| 0.2 | 1 | 1 | 1 | 1 | 1 | 1 | 2.03 | 6.44 | 56.47 |
| (1) | (1) | (1) | (1) | (1) | (1) | (1.29) | (2.23) | (6.30) | |
| 0.3 | 1 | 1 | 1 | 1 | 2 | 3.08 | 6.67 | 49.06 | 85.74 |
| (1) | (1) | (1) | (1) | (1.21) | (1.42) | (2.22) | (4.21) | (10.38) | |
| 0.4 | 1 | 1 | 2 | 2 | 3.66 | 5.48 | 48.89 | 79.8 | 107.53 |
| (1) | (1) | (1.16) | (1.31) | (1.57) | (2.21) | (3.53) | (6.24) | (14.48) | |
| 0.5 | 2.49 | 2 | 2 | 3.77 | 6.22 | 48.81 | 79.89 | 104.12 | 127.04 |
| (1.11) | (1.26) | (1.37) | (1.68) | (2.22) | (3.20) | (4.88) | (8.25) | (18.54) | |
| 1.0 | 40.64 | 73.63 | 93.29 | 111.4 | 128 | 146.73 | 164.37 | 181.31 | 199.37 |
| (2.67) | (3.20) | (3.92) | (4.87) | (6.22) | (8.21) | (11.56) | (18.30) | (38.81) | |
| PowerGrid | |||||||||
| 0.1 | 0.2 | 0.3 | 0.4 | 0.5 | 0.6 | 0.7 | 0.8 | 0.9 | |
| 0.05 | 1.08 | 1 | 1.02 | 1.01 | 1 | 1 | 1 | 1 | 1 |
| (1.00) | (1) | (1.00) | (1.00) | (1) | (1) | (1) | (1) | (1) | |
| 0.1 | 1.65 | 1.99 | 1.93 | 1.59 | 1.15 | 1.02 | 1.04 | 1.02 | 3.81 |
| (1.01) | (1.01) | (1.02) | (1.00) | (1.00) | (1.00) | (1.00) | (1.00) | (1.19) | |
| 0.2 | 2 | 2.1 | 2.12 | 2.25 | 2.13 | 1.91 | 2.01 | 3.8 | 3.69 |
| (1.02) | (1.02) | (1.03) | (1.03) | (1.02) | (1.00) | (1.01) | (1.32) | (1.19) | |
| 0.3 | 2 | 2.59 | 2.95 | 2.93 | 2.95 | 3.01 | 3.12 | 6.21 | 3.74 |
| (1.02) | (1.05) | (1.07) | (1.07) | (1.08) | (1.10) | (1.27) | (1.51) | (1.19) | |
| 0.4 | 2.42 | 3.06 | 3.25 | 3.14 | 3.25 | 3.11 | 8.99 | 6.27 | 3.74 |
| (1.04) | (1.09) | (1.10) | (1.13) | (1.15) | (1.26) | (1.90) | (1.51) | (1.19) | |
| 0.5 | 2.87 | 3.76 | 3.47 | 3.47 | 3.31 | 5.66 | 9.03 | 6.35 | 3.77 |
| (1.06) | (1.11) | (1.14) | (1.17) | (1.27) | (1.78) | (1.90) | (1.51) | (1.19) | |
| 1.0 | 4.9 | 6.08 | 13.42 | 15.44 | 14.95 | 11.85 | 9.01 | 6.29 | 3.78 |
| (1.64) | (1.86) | (2.31) | (2.94) | (2.80) | (2.35) | (1.90) | (1.51) | (1.19) | |
Publisher’s Note: MDPI stays neutral with regard to jurisdictional claims in published maps and institutional affiliations. |
© 2021 by the authors. Licensee MDPI, Basel, Switzerland. This article is an open access article distributed under the terms and conditions of the Creative Commons Attribution (CC BY) license (http://creativecommons.org/licenses/by/4.0/).
Share and Cite
Hayashi, Y.; Tanaka, A.; Matsukubo, J. More Tolerant Reconstructed Networks Using Self-Healing against Attacks in Saving Resource. Entropy 2021, 23, 102. https://doi.org/10.3390/e23010102
Hayashi Y, Tanaka A, Matsukubo J. More Tolerant Reconstructed Networks Using Self-Healing against Attacks in Saving Resource. Entropy. 2021; 23(1):102. https://doi.org/10.3390/e23010102
Chicago/Turabian StyleHayashi, Yukio, Atsushi Tanaka, and Jun Matsukubo. 2021. "More Tolerant Reconstructed Networks Using Self-Healing against Attacks in Saving Resource" Entropy 23, no. 1: 102. https://doi.org/10.3390/e23010102
APA StyleHayashi, Y., Tanaka, A., & Matsukubo, J. (2021). More Tolerant Reconstructed Networks Using Self-Healing against Attacks in Saving Resource. Entropy, 23(1), 102. https://doi.org/10.3390/e23010102

