Statistical Uncertainties of Space Plasma Properties Described by Kappa Distributions
Abstract
1. Introduction
2. Methods
2.1. Numerical Calculation of the Statistical Moments
2.2. Expected Uncertainties
2.3. Simulations
3. Results
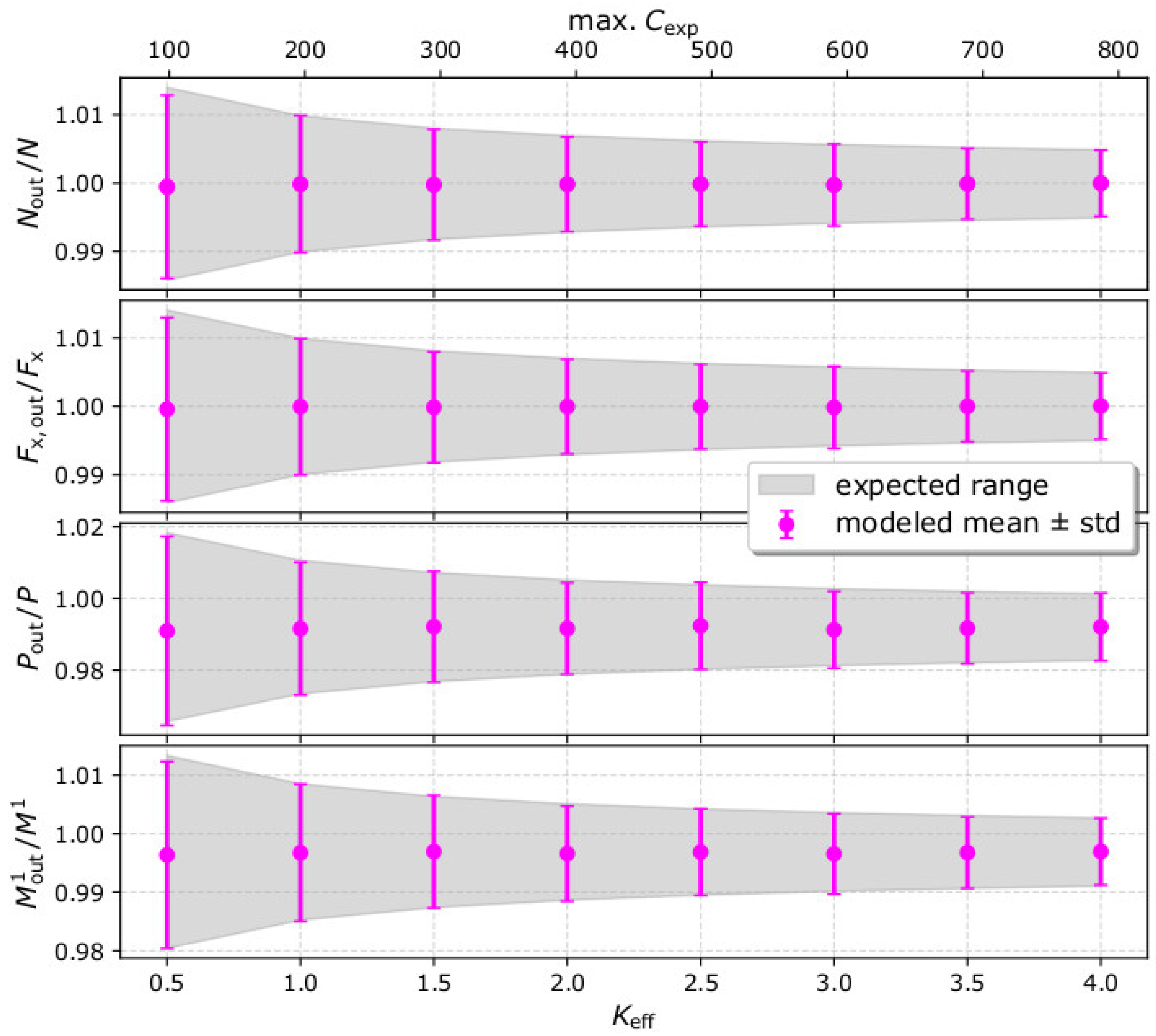
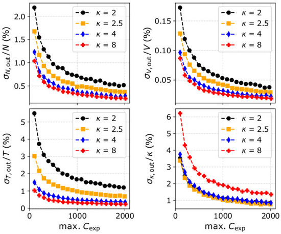
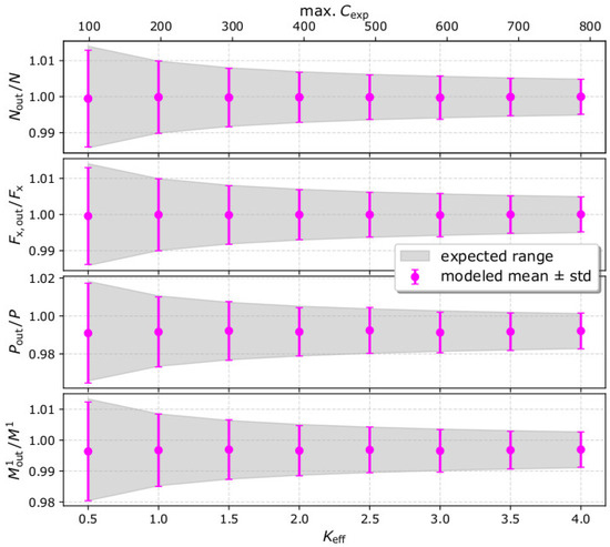
3.1. Statistical Moments versus Efficiency
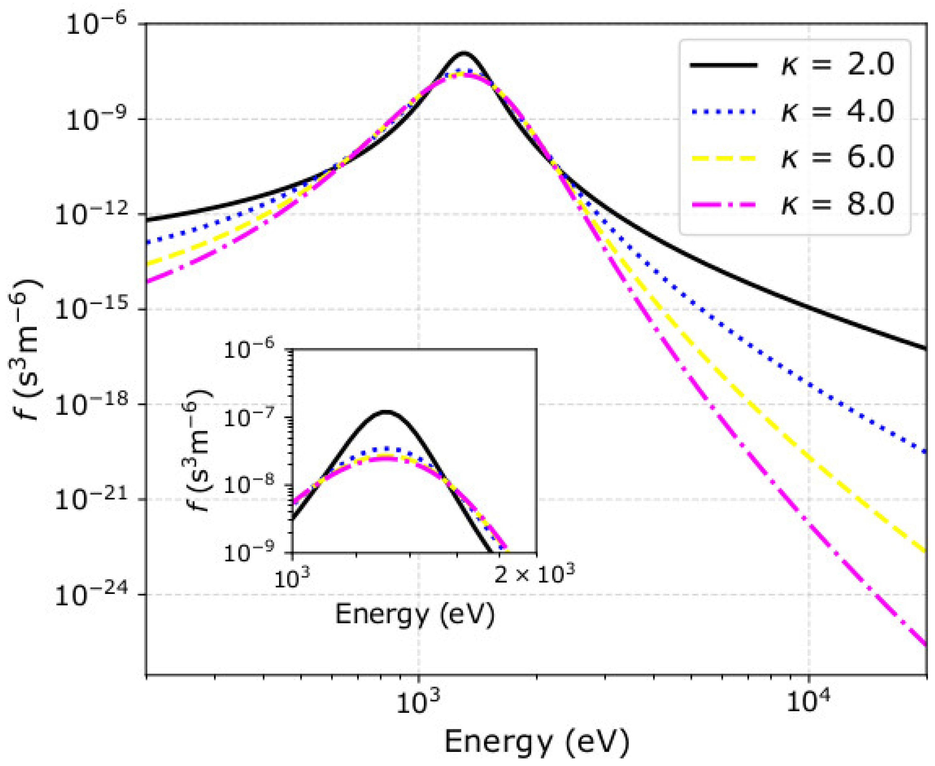
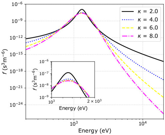
3.2. Bulk Parameters versus Kappa Index
4. Discussion
Author Contributions
Funding
Conflicts of Interest
References
- Schwenn, R.; Rosenbauer, H.; Miggenrieder, H. Das Plasmaexperiment auf Helios (E1). Raumfahrtforschung 1975, 19, 226–232. [Google Scholar]
- Barabash, S.; Sauvaud, J.-A.; Gunell, H.; Andersson, H.; Grigoriev, A.; Brinkfeldt, K.; Holmstrom, M.; Lundin, R.; Yamauchi, M.; Asamura, K.; et al. The Analyser of Space Plasmas and Energetic Atoms (ASPERA-4) for the Venus Express mission. Planet. Space Sci. 2007, 55, 1772–1792. [Google Scholar] [CrossRef]
- Johnstone, A.D.; Alsop, C.; Burge, S.; Carter, P.J.; Coates, A.J.; Coker, A.J.; Fazakerley, A.N.; Grande, M.; Gowen, R.; Gurgiolo, C.; et al. peace: A plasma electron and Current experiment. Space Sci. Rev. 1997, 79, 351–398. [Google Scholar] [CrossRef]
- Rème, H.; Bosqued, J.M.; Sauvaud, J.-A.; Cros, A.; Dandouras, J.; Aoustin, C.; Bouyssou, J.; Camus, T.; Cuvilo, J.; Martz, C.; et al. the cluster ion spectrometry (cis) experiment. Space Sci. Rev. 1997, 79, 303–350. [Google Scholar] [CrossRef]
- Barabash, S.; Lundin, R.; Andersson, H.; Brinkfeldt, K.; Grigoriev, A.; Gunell, H.; Holmstrom, M.; Yamauchi, M.; Asamura, K.; Bochsler, P.; et al. The Analyzer of Space Plasmas and Energetic Atoms (ASPERA-3) for the Mars Express Mission. Space Sci. Rev. 2007, 126, 113–164. [Google Scholar] [CrossRef]
- McComas, D.J.; Alexander, N.; Allegrini, F.; Bagenal, F.; Beebe, C.; Clark, G.; Crary, F.; Desai, M.; Santos, A.D.L.; Demkee, D.; et al. The Jovian Auroral Distributions Experiment (JADE) on the Juno Mission to Jupiter. Space Sci. Rev. 2013, 213, 547–643. [Google Scholar] [CrossRef]
- Young, D.T.; Berthelier, J.J.; Blanc, M.; Burch, J.L.; Coates, A.J.; Goldstein, R.; Grande, M.; Hill, T.W.; Johnson, R.E.; Kelhä, V.; et al. Cassini Plasma Spectrometer Investigation. Space Sci. Rev. 2004, 114, 1–112. [Google Scholar] [CrossRef]
- Nilsson, H.; Lundin, R.; Lundin, K.; Barabash, S.; Borg, H.; Norberg, O.; Fedorov, A.; Sauvaud, J.-A.; Koskinen, H.E.J.; Kallio, E.; et al. RPC-ICA: The Ion Composition Analyzer of the Rosetta Plasma Consortium. Space Sci. Rev. 2006, 128, 671–695. [Google Scholar] [CrossRef]
- Leubner, M.P. A Nonextensive Entropy Approach to Kappa-Distributions. Astrophys. Space Sci. 2002, 282, 573–579. [Google Scholar] [CrossRef]
- Leubner, M.P. Fundamental issues on kappa-distributions in space plasmas and interplanetary proton distributions. Phys. Plasmas 2004, 11, 1308. [Google Scholar] [CrossRef]
- Shizgal, B.D. Suprathermal particle distributions in space physics: Kappa distributions and entropy. Astrophys. Space Sci. 2007, 312, 227–237. [Google Scholar] [CrossRef]
- Pierrard, V.; Lazar, M. Kappa Distributions: Theory and Applications in Space Plasmas. Sol. Phys. 2010, 267, 153–174. [Google Scholar] [CrossRef]
- Livadiotis, G.; McComas, D.J. Understanding Kappa Distributions: A Toolbox for Space Science and Astrophysics. Space Sci. Rev. 2013, 175, 183–214. [Google Scholar] [CrossRef]
- Livadiotis, G. Kappa distributions: Theory and Applications in Plasmas; Elsevier: Amsterdam, The Netherlands, 2017. [Google Scholar]
- Maksimović, M.; Pierrard, V.; Riley, P. Ulysses electron distributions fitted with Kappa functions. Geophys. Res. Lett. 1997, 24, 1151–1154. [Google Scholar] [CrossRef]
- Maksimović, M.; Zouganelis, I.; Chaufray, J.-Y.; Issautier, K.; Scime, E.E.; Littleton, J.E.; Marsch, E.; McComas, D.J.; Salem, C.; Lin, R.P.; et al. Radial evolution of the electron distribution functions in the fast solar wind between 0.3 and 1.5 AU. J. Geophys. Res. Space Phys. 2005, 110, 09104. [Google Scholar] [CrossRef]
- Pierrard, V.; Maksimovic, M.; Lemaire, J. Electron velocity distribution functions from the solar wind to the corona. J. Geophys. Res. Space Phys. 1999, 104, 17021–17032. [Google Scholar] [CrossRef]
- Marsch, E. Kinetic Physics of the Solar Wind Plasma. Atmos. Electrodyn. 1991, 21, 45–133. [Google Scholar] [CrossRef]
- Zouganelis, I.; Maksimović, M.; Meyer-Vernet, N.; Lamy, H.; Issautier, K. A Transonic Collisionless Model of the Solar Wind. Astrophys. J. 2004, 606, 542–554. [Google Scholar] [CrossRef]
- Štverák, Š.; Maksimović, M.; Trávníček, P.M.; Marsch, E.; Fazakerley, A.N.; Scime, E.E. Radial evolution of nonthermal electron populations in the low-latitude solar wind: Helios, Cluster, and Ulysses Observations. J. Geophys. Res. Space Phys. 2009, 114, 05104. [Google Scholar] [CrossRef]
- Yoon, P.H. Electron kappa distribution and quasi-thermal noise. J. Geophys. Res. Space Phys. 2014, 119, 7074–7087. [Google Scholar] [CrossRef]
- Heerikhuisen, J.; Zirnstein, E.J.; Pogorelov, N.V. κ-distributed protons in the solar wind and their charge-exchange coupling to energetic hydrogen. J. Geophys. Res. Space Phys. 2015, 120, 1516–1525. [Google Scholar] [CrossRef]
- Leubner, M.P. On Jupiter’s whistler emission. J. Geophys. Res. Space Phys. 1982, 87, 6335. [Google Scholar] [CrossRef]
- ChristoniD, S. A comparison of the Mercury and Earth magnetospheres: Electron measurements and substorm time scales. Icarus 1987, 71, 448–471. [Google Scholar] [CrossRef]
- Leubner, M. Energetic tail evolution of auroral electron spectra. Phys. Chem. Earth, Part C Solar Terr. Planet. Sci. 2001, 26, 61–64. [Google Scholar] [CrossRef]
- Mauk, B.H.; Mitchell, D.G.; McEntire, R.W.; Paranicas, C.P.; Roelof, E.C.; Williams, D.J.; Krimigis, S.M.; Lagg, A. Energetic ion characteristics and neutral gas interactions in Jupiter’s magnetosphere. J. Geophys. Res. Space Phys. 2004, 109. [Google Scholar] [CrossRef]
- Dialynas, K.; Krimigis, S.M.; Mitchell, D.G.; Hamilton, D.; Krupp, N.; Brandt, P. Energetic ion spectral characteristics in the Saturnian magnetosphere using Cassini/MIMI measurements. J. Geophys. Res. Space Phys. 2009, 114, 01212. [Google Scholar] [CrossRef]
- Ogasawara, K.; Angelopoulos, V.; Dayeh, M.; Fuselier, S.A.; Livadiotis, G.; McComas, D.J.; McFadden, J.P. Characterizing the dayside magnetosheath using energetic neutral atoms: IBEX and THEMIS observations. J. Geophys. Res. Space Phys. 2013, 118, 3126–3137. [Google Scholar] [CrossRef]
- Nicolaou, G.; McComas, D.J.; Bagenal, F.; Elliott, H. Properties of plasma ions in the distant Jovian magnetosheath using Solar Wind Around Pluto data on New Horizons. J. Geophys. Res. Space Phys. 2014, 119, 3463–3479. [Google Scholar] [CrossRef]
- Ogasawara, K.; Livadiotis, G.; Grubbs, G.; Michell, R.; Samara, M.; Sharber, J.R.; Winningham, J.; Jahn, J.-M. Properties of suprathermal electrons associated with discrete auroral arcs. Geophys. Res. Lett. 2017, 44, 3475–3484. [Google Scholar] [CrossRef]
- Kirpichev, I.P.; Antonova, E.E. Dependencies of Kappa Parameter on the Core Energy of Kappa Distributions and Plasma Parameter in the Case of the Magnetosphere of the Earth. Astrophys. J. 2020, 891, 35. [Google Scholar] [CrossRef]
- Broiles, T.; Livadiotis, G.; Burch, J.; Chae, K.; Clark, G.; Cravens, T.E.; Davidson, R.; Eriksson, A.; Frahm, R.A.; Fuselier, S.A.; et al. Characterizing cometary electrons with kappa distributions. J. Geophys. Res. Space Phys. 2016, 121, 7407–7422. [Google Scholar] [CrossRef]
- Decker, R.; Krimigis, S. Voyager observations of low-energy ions during solar cycle 23. Adv. Space Res. 2003, 32, 597–602. [Google Scholar] [CrossRef]
- Zank, G.P.; Heerikhuisen, J.; Pogorelov, N.V.; Burrows, R.; McComas, D.J. microstructure of the heliospheric termination shock: Implications for energetic Neutral atom observations. Astrophys. J. 2009, 708, 1092–1106. [Google Scholar] [CrossRef]
- Livadiotis, G.; McComas, D.J.; Dayeh, M.; Funsten, H.O.; Schwadron, N.A. first sky map of the inner heliosheath temperature usingibexspectra. Astrophys. J. 2011, 734, 1. [Google Scholar] [CrossRef]
- Livadiotis, G.; McComas, D.J.; Randol, B.; Funsten, H.O.; Möbius, E.S.; Schwadron, N.A.; Dayeh, M.; Zank, G.P.; Frisch, P.C. pick-Up ion distributions and their influence on energetic NEUTRAL Atom spectral Curvature. Astrophys. J. 2012, 751, 64. [Google Scholar] [CrossRef]
- Livadiotis, G.; McComas, D.J.; Schwadron, N.A.; Funsten, H.O.; Fuselier, S.A. pressure of the proton plasma in the inner heliosheath. Astrophys. J. 2012, 762, 134. [Google Scholar] [CrossRef]
- Livadiotis, G.; McComas, D.J. the influence of pick-up ions on space plasma distributions. Astrophys. J. 2011, 738, 64. [Google Scholar] [CrossRef]
- Livadiotis, G.; McComas, D.J. non-equilibrium thermodynamic processes: Space plasmas and the inner heliosheath. Astrophys. J. 2012, 749, 11. [Google Scholar] [CrossRef]
- Dialynas, K.; Krimigis, S.M.; Decker, R.B.; Mitchell, D.G. Plasma Pressures in the Heliosheath From Cassini ENA and Voyager 2 Measurements: Validation by the Voyager 2 Heliopause Crossing. Geophys. Res. Lett. 2019, 46, 7911–7919. [Google Scholar] [CrossRef]
- Tsallis, C. Possible generalization of Boltzmann-Gibbs statistics. J. Stat. Phys. 1988, 52, 479–487. [Google Scholar] [CrossRef]
- Tsallis, C. Introduction to Nonextensive Statistical Mechanics: Approaching A Complex World; Springer: New York, NY, USA, 2009. [Google Scholar]
- Tsallis, C.; Mendes, R.; Plastino, A. The role of constraints within generalized nonextensive statistics. Phys. A Stat. Mech. Its Appl. 1998, 261, 534–554. [Google Scholar] [CrossRef]
- Livadiotis, G.; McComas, D.J. invariant kappa distribution in space plasmas out of equilibrium. Astrophys. J. 2011, 741, 88. [Google Scholar] [CrossRef]
- Livadiotis, G. Kappa and q Indices: Dependence on the Degrees of Freedom. Entropy 2015, 17, 2062–2081. [Google Scholar] [CrossRef]
- Livadiotis, G. Thermodynamic origin of kappa distributions. EPL (Europhysics Lett.) 2018, 122, 50001. [Google Scholar] [CrossRef]
- Livadiotis, G. On the Origin of Polytropic Behavior in Space and Astrophysical Plasmas. Astrophys. J. 2019, 874, 10. [Google Scholar] [CrossRef]
- Totten, T.L.; Freeman, J.W.; Arya, S. An empirical determination of the polytropic index for the free-streaming solar wind using Helios 1 data. J. Geophys. Res. Space Phys. 1995, 100, 13. [Google Scholar] [CrossRef]
- Bavassano, B.; Bruno, R.; Rosenbauer, H. Compressive fluctuations in the solar wind and their polytropic index. Annal. Geophys. 1996, 14, 510–517. [Google Scholar] [CrossRef]
- Newbury, J.A.; Lindsay, G.M.; RusselliD, C.T. Solar wind polytropic index in the vicinity of stream interactions. Geophys. Res. Lett. 1997, 24, 1431–1434. [Google Scholar] [CrossRef]
- Kartalev, M.; Dryer, M.; Grigorov, K.; Stoimenova, E. Solar wind polytropic index estimates based on single spacecraft plasma and interplanetary magnetic field measurements. J. Geophys. Res. Space Phys. 2006, 111, 10107. [Google Scholar] [CrossRef]
- Nicolaou, G.; Livadiotis, G.; Moussas, X. Long-Term Variability of the Polytropic Index of Solar Wind Protons at 1 AU. Sol. Phys. 2013, 289, 1371–1378. [Google Scholar] [CrossRef]
- Pang, X.; Cao, J.; Ma, Y. Polytropic index of magnetosheath ions based on homogeneous MHD Bernoulli Integral. J. Geophys. Res. Space Phys. 2016, 121, 2349–2359. [Google Scholar] [CrossRef]
- Livadiotis, G. superposition of polytropes in the inner heliosheath. Astrophys. J. Suppl. Ser. 2016, 223, 13. [Google Scholar] [CrossRef]
- Nicolaou, G.; Livadiotis, G. Modeling the Plasma Flow in the Inner Heliosheath with a Spatially Varying Compression Ratio. Astrophys. J. 2017, 838, 7. [Google Scholar] [CrossRef]
- Park, J.-S.; Shue, J.; Nariyuki, Y.; Kartalev, M. Dependence of Thermodynamic Processes on Upstream Interplanetary Magnetic Field Conditions for Magnetosheath Ions. J. Geophys. Res. Space Phys. 2019, 124, 1866–1882. [Google Scholar] [CrossRef]
- Elliott, H.; McComas, D.J.; Zirnstein, E.J.; Randol, B.M.; Delamere, P.A.; Livadiotis, G.; Bagenal, F.; Barnes, N.P.; Stern, S.A.; Young, L.A.; et al. Slowing of the Solar Wind in the Outer Heliosphere. Astrophys. J. 2019, 885, 156. [Google Scholar] [CrossRef]
- Verscharen, D.; Klein, K.G.; Maruca, B.A. The multi-scale nature of the solar wind. Living Rev. Sol. Phys. 2019, 16, 1–136. [Google Scholar] [CrossRef]
- Nicolaou, G.; Livadiotis, G.; Wicks, R.T. On the Calculation of the Effective Polytropic Index in Space Plasmas. Entropy 2019, 21, 997. [Google Scholar] [CrossRef]
- Livadiotis, G. Using Kappa Distributions to Identify the Potential Energy. J. Geophys. Res. Space Phys. 2018, 123, 1050–1060. [Google Scholar] [CrossRef]
- Nicolaou, G.; Livadiotis, G. Long-term Correlations of Polytropic Indices with Kappa Distributions in Solar Wind Plasma near 1 au. Astrophys. J. 2019, 884, 52. [Google Scholar] [CrossRef]
- Arridge, C.S.; McAndrews, H.; Jackman, C.M.; Forsyth, C.; Walsh, A.P.; Sittler, E.; Gilbert, L.; Lewis, G.; RusselliD, C.T.; Coates, A.J.; et al. Plasma electrons in Saturn’s magnetotail: Structure, distribution and energisation. Planet. Space Sci. 2009, 57, 2032–2047. [Google Scholar] [CrossRef]
- Dialynas, K.; Roussos, E.; Regoli, L.; Paranicas, C.P.; Krimigis, S.M.; Kane, M.; Mitchell, D.G.; Hamilton, D.C.; Krupp, N.; Carbary, J.F. Energetic Ion Moments and Polytropic Index in Saturn’s Magnetosphere using Cassini/MIMI Measurements: A Simple Model Based on κ-Distribution Functions. J. Geophys. Res. 2018, 123, 8066–8086. [Google Scholar] [CrossRef]
- Nicolaou, G.; Livadiotis, G. Misestimation of temperature when applying Maxwellian distributions to space plasmas described by kappa distributions. Astrophys. Space Sci. 2016, 361, 359. [Google Scholar] [CrossRef]
- Nicolaou, G.; Livadiotis, G.; Owen, C.J.; Verscharen, D.; Wicks, R.T. Determining the Kappa Distributions of Space Plasmas from Observations in a Limited Energy Range. Astrophys. J. 2018, 864, 3. [Google Scholar] [CrossRef]
- Nicolaou, G.; Wicks, R.T.; Livadiotis, G.; Verscharen, D.; Owen, C.; Kataria, D. Determining the Bulk Parameters of Plasma Electrons from Pitch-Angle Distribution Measurements. Entropy 2020, 22, 103. [Google Scholar] [CrossRef]
- Nicolaou, G.; Livadiotis, G.; Wicks, R.T. On the Determination of Kappa Distribution Functions from Space Plasma Observations. Entropy 2020, 22, 212. [Google Scholar] [CrossRef]
- Kasper, J.C. Solar Wind Plasma: Kinetic Properties and MicroInstabilities. Ph.D. Thesis, Massachusetts Institute of Technology, Cambridge, MA, USA, 2003. [Google Scholar]
- Lawless, J.F. Statistical Models and Methods for Lifetime Data, 2nd ed.; Wiley: New York, NY, USA, 2002. [Google Scholar]
- Elliott, H.; McComas, D.J.; Valek, P.W.; Nicolaou, G.; Weidner, S.; Livadiotis, G. The new horizons solar wind around pluto (swap) observations of the solar wind from 11–33 au. Astrophys. J. Suppl. Ser. 2016, 223, 19. [Google Scholar] [CrossRef]
- Vaivads, A.; Retinò, A.; Soucek, J.; Khotyaintsev, Y.V.; Valentini, F.; Escoubet, C.P.; Alexandrova, O.; André, M.; Bale, S.D.; Balikhin, M.; et al. Turbulence Heating ObserveR – satellite mission proposal. J. Plasma Phys. 2016, 82. [Google Scholar] [CrossRef]
- Cara, A.; Lavraud, B.; Fedorov, A.; De Keyzer, J.; De Marco, R.; Marcucci, M.F.; Valentini, F.; Servidio, S.; Bruno, R. Electrostatic analyzer design for solar wind proton measurements with high temporal, energy, and angular resolutions. J. Geophys. Res. Space Phys. 2017, 122, 1439–1450. [Google Scholar] [CrossRef]
- Nicolaou, G.; McComas, D.J.; Bagenal, F.; Elliott, H.A.; Ebert, R.W. Jupiter’s deep magnetotail boundary layer. Planet. Space Sci. 2015, 111, 116–125. [Google Scholar] [CrossRef]
- Nicolaou, G.; McComas, D.J.; Bagenal, F.; Elliott, H.; Wilson, R. Plasma properties in the deep jovian magnetotail. Planet. Space Sci. 2015, 119, 222–232. [Google Scholar] [CrossRef]
- Wilson, R.J.; Bagenal, F.; Persoon, A. Survey of thermal plasma ions in Saturn’s magnetosphere utilizing a forward model. J. Geophys. Res. Space Phys. 2017, 122, 7256–7278. [Google Scholar] [CrossRef]
- Nicolaou, G.; Verscharen, D.; Wicks, R.T.; Owen, C.J. The Impact of Turbulent Solar Wind Fluctuations on Solar Orbiter Plasma Proton Measurements. Astrophys. J. 2019, 886, 101. [Google Scholar] [CrossRef]
- Kim, T.K.; Ebert, R.W.; Valek, P.W.; Allegrini, F.; McComas, D.J.; Bagenal, F.; Chae, K.; Livadiotis, G.; Loeffler, C.E.; Pollock, C.; et al. Method to Derive Ion Properties from Juno JADE Including Abundance Estimates for O + and S 2+. J. Geophys. Res. Space Phys. 2020, 125, e2018JA026169. [Google Scholar] [CrossRef]
- Livadiotis, G. Theoretical aspects of Hamiltonian kappa distributions. Phys. Scr. 2019, 94, 105009. [Google Scholar] [CrossRef]
- Park, J.-S.; Jung, H.-S. Modelling Korean extreme rainfall using a Kappa distribution and maximum likelihood estimate. Theor. Appl. Clim. 2002, 72, 55–64. [Google Scholar] [CrossRef]
- Ebert, R.W.; Allegrini, F.; Fuselier, S.A.; Nicolaou, G.; Bedworth, P.; Sinton, S.; Trattner, K.J. Angular scattering of 1–50 keV ions through graphene and thin carbon foils: Potential applications for space plasma instrumentation. Rev. Sci. Instruments 2014, 85, 33302. [Google Scholar] [CrossRef]
- Allegrini, F.; Ebert, R.W.; Nicolaou, G.; Grubbs, G. Semi-empirical relationships for the energy loss and straggling of 1–50 keV hydrogen ions passing through thin carbon foils. Nucl. Instruments Methods Phys. Res. Sect. B Beam Interactions Mater. Atoms 2015, 359, 115–119. [Google Scholar] [CrossRef]
- Kjeldsen, T.; Ahn, H.; Prosdocimi, I. On the use of a four-parameter kappa distribution in regional frequency analysis. Hydrol. Sci. J. 2017, 62, 1354–1363. [Google Scholar] [CrossRef]
- Lavraud, B.; Larson, D.E. Correcting moments of in situ particle distribution functions for spacecraft electrostatic charging. J. Geophys. Res. Space Phys. 2016, 121, 8462–8474. [Google Scholar] [CrossRef]
- Bergman, S.; Wieser, G.S.; Wieser, M.; Johansson, F.L.; Eriksson, A. The Influence of Spacecraft Charging on Low-Energy Ion Measurements Made by RPC-ICA on Rosetta. J. Geophys. Res. Space Phys. 2020, 125, e2019JA027478. [Google Scholar] [CrossRef]
- Voshchepynets, A.; Barabash, S.; Ramstad, R.; Holmström, M.; Andrews, D.J.; Nicolaou, G.; Frahm, R.; Kopf, A.; Gurnett, D.A. Ions Accelerated by Sounder-Plasma Interaction as Observed by Mars Express. J. Geophys. Res. Space Phys. 2018, 123, 9802–9814. [Google Scholar] [CrossRef]






| Input κ | max. Cexp | Nout ± σN,out (cm−3) | Vout ± σV,out (kms−1) | Tout ± σT,out (×105 K) | κout ± σκ,out |
|---|---|---|---|---|---|
| 2 | 504 | 20.00 ± 0.20 | 500.3 ± 0.4 | 1.78 ± 0.05 | 2.12 ± 0.03 |
| 3 | 197 | 20.00 ± 0.20 | 500.0 ± 0.4 | 1.98 ± 0.03 | 3.02 ± 0.07 |
| 4 | 147 | 20.00 ± 0.20 | 500.0 ± 0.4 | 2.00 ± 0.03 | 3.96 ± 0.12 |
| 5 | 127 | 20.00 ± 0.20 | 500.0 ± 0.4 | 2.00 ± 0.02 | 4.92 ± 0.19 |
| 6 | 116 | 20.00 ± 0.20 | 500.0 ± 0.4 | 2.00 ± 0.02 | 5.86 ± 0.25 |
| 7 | 109 | 20.00 ± 0.20 | 500.0 ± 0.4 | 2.00 ± 0.02 | 6.82 ± 0.37 |
| 8 | 105 | 20.00 ± 0.20 | 500.0 ± 0.4 | 2.00 ± 0.02 | 7.76 ± 0.48 |
| 9 | 101 | 20.00 ± 0.20 | 500.0 ± 0.4 | 2.00 ± 0.02 | 8.74 ± 0.61 |
© 2020 by the authors. Licensee MDPI, Basel, Switzerland. This article is an open access article distributed under the terms and conditions of the Creative Commons Attribution (CC BY) license (http://creativecommons.org/licenses/by/4.0/).
Share and Cite
Nicolaou, G.; Livadiotis, G. Statistical Uncertainties of Space Plasma Properties Described by Kappa Distributions. Entropy 2020, 22, 541. https://doi.org/10.3390/e22050541
Nicolaou G, Livadiotis G. Statistical Uncertainties of Space Plasma Properties Described by Kappa Distributions. Entropy. 2020; 22(5):541. https://doi.org/10.3390/e22050541
Chicago/Turabian StyleNicolaou, Georgios, and George Livadiotis. 2020. "Statistical Uncertainties of Space Plasma Properties Described by Kappa Distributions" Entropy 22, no. 5: 541. https://doi.org/10.3390/e22050541
APA StyleNicolaou, G., & Livadiotis, G. (2020). Statistical Uncertainties of Space Plasma Properties Described by Kappa Distributions. Entropy, 22(5), 541. https://doi.org/10.3390/e22050541

