Enhanced Superdense Coding over Correlated Amplitude Damping Channel
Abstract
1. Introduction
2. Superdense Coding under the CAD Channel
3. Enhanced Superdense Coding under CAD Channel
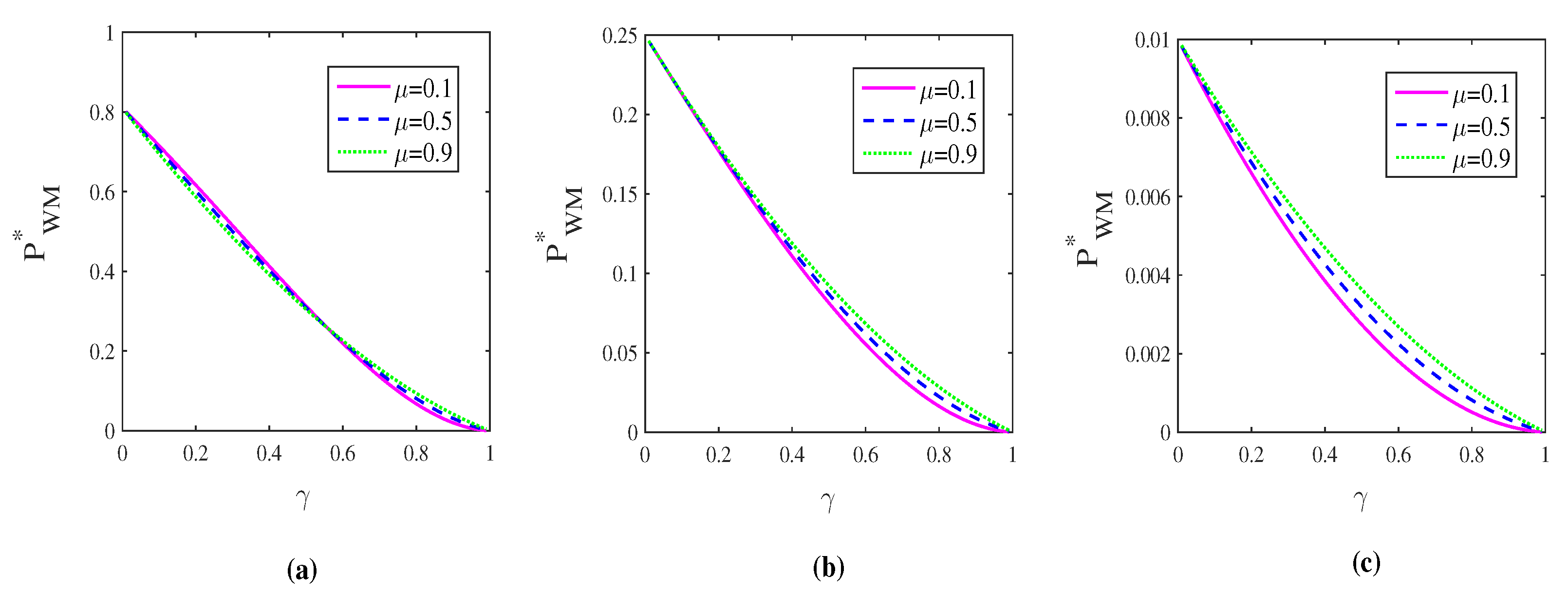
3.1. WM+CAD+QMR Scheme
3.2. CAD+EAM+QMR Scheme
4. Comparison between WM+CAD+QMR Scheme and CAD+EAM+QMR Scheme
5. Discussions and Conclusions
Author Contributions
Funding
Conflicts of Interest
References
- Bennett, C.H.; Wiesne, S.J. Communication via one- and two-particle operators on Einstein-Podolsky-Rosen states. Phys. Rev. Lett. 1993, 69, 2881. [Google Scholar] [CrossRef] [PubMed]
- Agrawal, P.; Pati, A. Perfect teleportation and superdense coding with W states. Phys. Rev. A 2006, 74, 062320. [Google Scholar] [CrossRef]
- Harrow, A.; Hayden, P.; Leung, D. Superdense coding of quantum states. Phys. Rev. Lett. 2004, 92, 187901. [Google Scholar] [CrossRef] [PubMed]
- Hu, X.M.; Guo, Y.; Liu, B.H.; Huang, Y.F.; Li, C.F.; Guo, G.C. Beating the channel capacity limit for superdense coding with entangled ququarts. Sci. Adv. 2018, 4, eaat9304. [Google Scholar] [CrossRef] [PubMed]
- Barenco, A.; Ekert, A. Dense coding based on quantum entanglement. J. Mod. Opt. 1995, 42, 1253–1259. [Google Scholar] [CrossRef]
- Hausladen, P.; Jozsa, R.; Schumacher, B.; Westmoreland, M.; Wootters, W.K. Classical information capacity of a quantum channel. Phys. Rev. A 1996, 54, 1869. [Google Scholar] [CrossRef]
- Bose, S.; Vedral, V.; Knight, P.L. Multiparticle generalization of entanglement swapping. Phys. Rev. A 1998, 57, 822. [Google Scholar] [CrossRef]
- Liu, X.S.; Long, G.L.; Tong, D.M.; Li, F. General scheme for superdense coding between multiparties. Phys. Rev. A 2002, 65, 022304. [Google Scholar] [CrossRef]
- Grudka, A.; Wójcik, A. Symmetric scheme for superdense coding between multiparties. Phys. Rev. A 2002, 66, 014301. [Google Scholar] [CrossRef]
- Bruß, D.; D’Ariano, G.M.; Lewenstein, M.; Macchiavello, C.; Sen, A.; Sen, U. Distributed quantum dense coding. Phys. Rev. Lett. 2004, 93, 210501. [Google Scholar] [CrossRef]
- Braunstein, S.L.; Kimble, H.J. Dense coding for continuous variables. Phys. Rev. A 2002, 61, 042302. [Google Scholar] [CrossRef]
- Barreiro, J.T.; Wei, T.C.; Kwiat, P.G. Beating the channel capacity limit for linear photonic superdense coding. Nat. Phys. 2008, 4, 282–286. [Google Scholar] [CrossRef]
- Wei, D.; Yang, X.; Luo, J.; Sun, X.; Zeng, X.; Liu, M. NMR experimental implementation of three-parties quantum superdense coding. Chin. Sci. Bull. 2004, 49, 423–426. [Google Scholar] [CrossRef]
- Hiroshima, T. Optimal dense coding with mixed state entanglement. J. Phys. A Math. Gen. 2001, 34, 6907. [Google Scholar] [CrossRef]
- Vaidman, L.; Yoran, N. Methods for reliable teleportation. Phys. Rev. A 1999, 59, 116. [Google Scholar] [CrossRef]
- Lütkenhaus, N.; Calsamiglia, J.; Suominen, K.A. Bell measurements for teleportation. Phys. Rev. A 1999, 59, 3295. [Google Scholar] [CrossRef]
- Bennett, C.H.; Shor, P.W.; Smolin, J.A.; Thapliyal, A.V. Entanglement-assisted classical capacity of noisy quantum channels. Phys. Rev. Lett. 1999, 83, 3081. [Google Scholar] [CrossRef]
- Bennett, C.H.; Shor, P.W.; Smolin, J.A.; Thapliyal, A.V. Entanglement-assisted capacity of a quantum channel and the reverse Shannon theorem. IEEE Trans. Inf. Theory 2002, 48, 2637–2655. [Google Scholar] [CrossRef]
- Shadman, Z.; Kampermann, H.; Macchiavello, C.; Bruß, D. Optimal super dense coding over noisy quantum channels. New J. Phys. 2010, 12, 073042. [Google Scholar] [CrossRef]
- Shadman, Z.; Kampermann, H.; Bruß, D.; Macchiavello, C. Distributed superdense coding over noisy channels. Phys. Rev. A 2012, 85, 052306. [Google Scholar] [CrossRef]
- Nielsen, M.A.; Chuang, I.L. Quantum Computation and Quantum Information; Cambridge University: Cambridge, UK, 2000. [Google Scholar]
- Holevo, A.S.; Giovannetti, V. Quantum channels and their entropic characteristics. Rep. Prog. Phys. 2012, 75, 046001. [Google Scholar] [CrossRef] [PubMed]
- Caruso, F.; Giovannetti, V.; Lupo, C.; Mancini, S. Quantum channels and memory effects. Rev. Mod. Phys. 2014, 86, 1203. [Google Scholar] [CrossRef]
- Macchiavello, C.; Palma, G.M. Entanglement-enhanced information transmission over a quantum channel with correlated noise. Phys. Rev. A 2002, 65, 050301(R). [Google Scholar] [CrossRef]
- D’Arrigo, A.; Benenti, G.; Falci, G. Quantum capacity of dephasing channels with memory. New J. Phys. 2007, 9, 310. [Google Scholar] [CrossRef]
- Plenio, M.B.; Virmani, S. Spin chains and channels with memory. Phys. Rev. Lett. 2007, 99, 120504. [Google Scholar] [CrossRef] [PubMed]
- D’Arrigo, A.; Benenti, G.; Falci, G.; Macchiavello, C. Classical and quantum capacities of a fully correlated amplitude damping channel. Phys. Rev. A 2013, 88, 042337. [Google Scholar] [CrossRef]
- Arshed, N.; Toor, A.H. Entanglement-assisted classical capacity of quantum channels with correlated noise. Phys. Rev. A 2006, 73, 014304. [Google Scholar] [CrossRef]
- Benenti, G.; D’Arrigo, A.; Falci, G. Enhancement of transmission rates in quantum memory channels with damping. Phys. Rev. Lett. 2009, 103, 020502. [Google Scholar] [CrossRef] [PubMed]
- Shadman, Z.; Kampermann, H.; Bruß, D.; Macchiavello, C. Optimal superdense coding over memory channels. Phys. Rev. A 2011, 84, 042309. [Google Scholar] [CrossRef]
- Bjelakovic, I.; Boche, H.; Notzel, J. Entanglement transmission and generation under channel uncertainty: Universal quantum channel coding. Commun. Math. Phys. 2009, 292, 55. [Google Scholar] [CrossRef][Green Version]
- D’Arrigo, A.; Benenti, G.; Falci, G. Transmission of classical and quantum information through a quantum memory channel with damping. Eur. Phys. J. D 2012, 66, 147. [Google Scholar] [CrossRef]
- Xiao, X.; Yao, Y.; Xie, Y.M.; Wang, X.H.; Li, Y.L. Protecting entanglement from correlated amplitude damping channel using weak measurement and quantum measurement reversal. Quantum Inf. Process. 2016, 15, 3881–3891. [Google Scholar] [CrossRef]
- Huang, Z.M.; Zhang, C. Protecting quantum correlation from correlated amplitude damping channel. Braz. J. Phys. 2017, 47, 400–405. [Google Scholar] [CrossRef]
- Li, Y.L.; Zu, C.J.; Wei, D.M. Enhance quantum teleportation under correlated amplitude damping decoherence by weak measurement and quantum measurement reversal. Quantum Inf. Process. 2019, 18, 2. [Google Scholar] [CrossRef]
- D’Arrigo, A.; Benenti, G.; Falci, G.; Macchiavello, C. Information transmission over an amplitude damping channel with an arbitrary degree of memory. Phys. Rev. A 2015, 92, 062342. [Google Scholar] [CrossRef]
- Korotkov, A.N.; Jordan, A.N. Undoing a weak quantum measurement of a solid-state qubit. Phys. Rev. Lett. 2006, 97, 166805. [Google Scholar] [CrossRef] [PubMed]
- Katz, N.; Neeley, M.; Ansmann, M.; Bialczak, R.C.; Hofheinz, M.; Lucero, E.; O’Connell, A.; Wang, H.; Cleland, A.N.; Martinis, J.M.; et al. Reversal of the weak measurement of a quantum state in a superconducting phase qubit. Phys. Rev. Lett. 2008, 101, 200401. [Google Scholar] [CrossRef]
- Kim, Y.S.; Cho, Y.W.; Ra, Y.S.; Kim, Y.H. Reversing the weak quantum measurement for a photonic qubit. Opt. Express 2009, 17, 11978–11985. [Google Scholar] [CrossRef]
- Kim, Y.S.; Lee, J.C.; Kwon, O.; Kim, Y.H. Protecting entanglement from decoherence using weak measurement and quantum measurement reversal. Nat. Phys. 2012, 8, 117–120. [Google Scholar] [CrossRef]
- Xiao, X.; Li, Y.L. Protecting qutrit-qutrit entanglement by weak measurement and reversal. Eur. Phys. J. D 2013, 67, 204. [Google Scholar] [CrossRef]
- Xiao, X.; Yao, Y.; Zhong, W.J.; Li, Y.L.; Xie, Y.M. Enhancing teleportation of quantum fisher information by partial measurements. Phys. Rev. A 2016, 93, 012307. [Google Scholar] [CrossRef]
- Zhao, X.; Hedemann, S.R.; Yu, T. Restoration of a quantum state in a dephasing channel via environment-assisted error correction. Phys. Rev. A 2013, 88, 022321. [Google Scholar] [CrossRef]
- Wang, K.; Zhao, X.; Yu, T. Environment-assisted quantum state restoration via weak measurements. Phys. Rev. A 2014, 89, 042320. [Google Scholar] [CrossRef]
- Li, Y.L.; Wei, D.M.; Zu, C.J. Improving the capacity of quantum dense coding via environment-assisted measurement and quantum measurement reversal. Int. J. Theor. Phys. 2019, 58, 1–9. [Google Scholar] [CrossRef]
- Yeo, Y.; Skeen, A. Time-correlated quantum amplitude-damping channel. Phys. Rev. A 2003, 67, 064301. [Google Scholar] [CrossRef]
- Arshed, N.; Toor, A.H. Entanglement-assisted capacities of time-correlated amplitude-damping channel. arXiv 2013, arXiv:1307.5403. [Google Scholar]
- Breuer, H.P.; Petruccione, F. The Theory of Open Quantum Systems; Oxford University: Oxford, UK, 2002. [Google Scholar]
- Korotkov, A.N.; Keane, K. Decoherence suppression by quantum measurement reversal. Phys. Rev. A 2010, 81, 040103(R). [Google Scholar] [CrossRef]
- Scully, M.O.; Zubairy, M.S. Quantum Optics; Cambridge University: Cambridge, UK, 1997. [Google Scholar]








© 2019 by the authors. Licensee MDPI, Basel, Switzerland. This article is an open access article distributed under the terms and conditions of the Creative Commons Attribution (CC BY) license (http://creativecommons.org/licenses/by/4.0/).
Share and Cite
Li, Y.-L.; Wei, D.-M.; Zu, C.-J.; Xiao, X. Enhanced Superdense Coding over Correlated Amplitude Damping Channel. Entropy 2019, 21, 598. https://doi.org/10.3390/e21060598
Li Y-L, Wei D-M, Zu C-J, Xiao X. Enhanced Superdense Coding over Correlated Amplitude Damping Channel. Entropy. 2019; 21(6):598. https://doi.org/10.3390/e21060598
Chicago/Turabian StyleLi, Yan-Ling, Dong-Mei Wei, Chuan-Jin Zu, and Xing Xiao. 2019. "Enhanced Superdense Coding over Correlated Amplitude Damping Channel" Entropy 21, no. 6: 598. https://doi.org/10.3390/e21060598
APA StyleLi, Y.-L., Wei, D.-M., Zu, C.-J., & Xiao, X. (2019). Enhanced Superdense Coding over Correlated Amplitude Damping Channel. Entropy, 21(6), 598. https://doi.org/10.3390/e21060598
