Improvement of Image Binarization Methods Using Image Preprocessing with Local Entropy Filtering for Alphanumerical Character Recognition Purposes
Abstract
1. Introduction
2. Brief Overview of Image Binarization Algorithms
3. Proposed Method and Its Experimental Verification
3.1. Description of the Method
- entropy filter—calculation of the local entropy using the predefined mask (in our experiments the most appropriate size is 19 × 19 pixels) leading to the local entropy map;
- negative—simple negation leads to more readable dark characters on a bright background; assuming the maximum entropy value equal to eight (considering eight bits necessary to store 256 grey levels), the additional normalization can be applied with the formula , where X is the local entropy map and the final range of the output image Y is ;
- thresholding—one of the global binarization methods may be used for this purpose, in our experiments the classical Otsu’s thresholding was used, leading to the image M with segmented regions containing text and representing the background;
- masking—the obtained binary image M was used as the mask for the original input image, leading to the background image B with removed text regions;
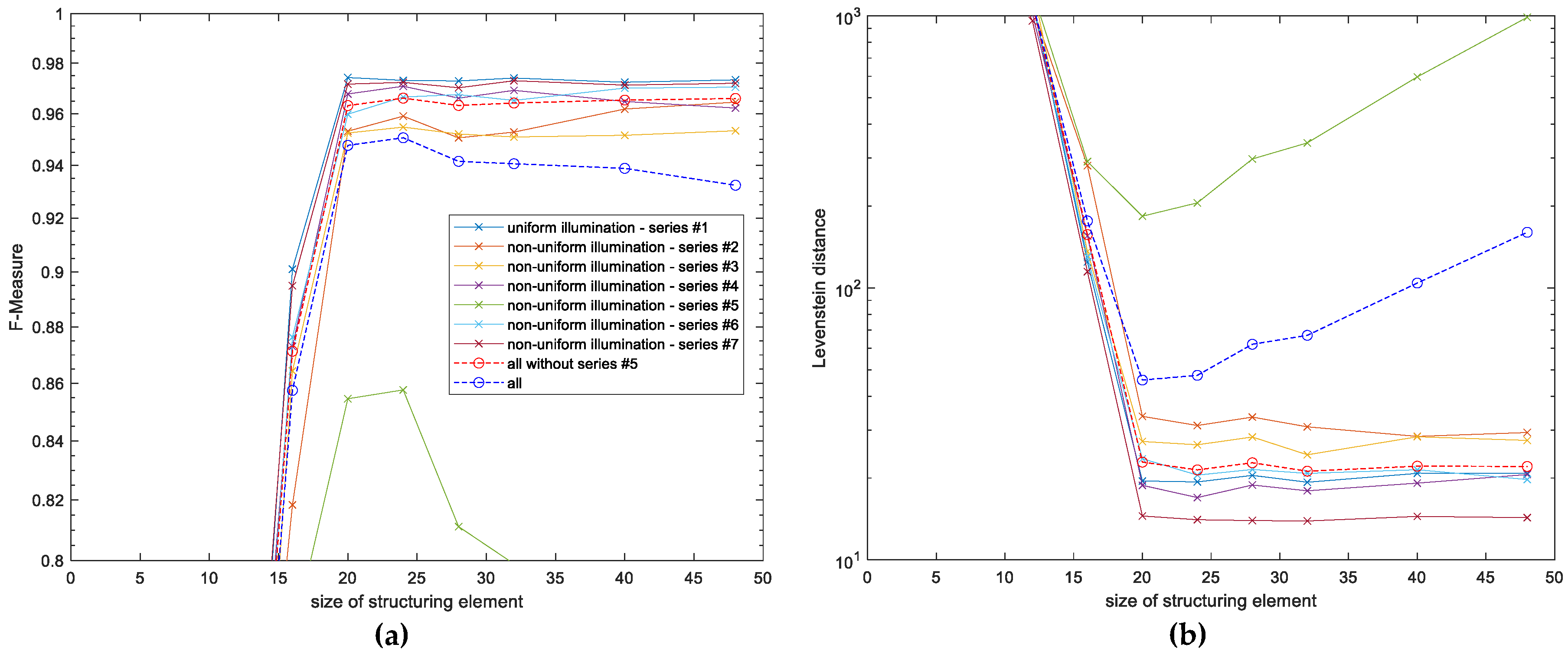
- morphological dilation—the purpose of this operation was to fill the gaps containing the characters making it possible to obtain a full estimate of the background; a critical element of this step is an appropriate choice of the size of the structuring element (in our experiments the square 20 × 20 pixels one was sufficient and larger structuring elements caused an increase of the computation time);
- background subtraction—the expected result of the subtraction of the background estimate from the original input image should contain a bright text and the dark background with equalized illumination;
- negation with increase of contrast—a simple operation leading to the dark text and the bright background with improved readability;
- final binarization—the last step conducted after pre-processing, which can utilize any of commonly used binarization methods (in our experiments good results were obtained using adaptive Bradley’s and Niblack’s thresholding).
3.2. Practical Verification
4. Results and Discussion
5. Conclusions
Author Contributions
Funding
Conflicts of Interest
Abbreviations
| ADAS | advanced driver-assistance system |
| DIBCO | document image binarization competition |
| DRD | distance reciprocal distortion |
| FAIR | fast algorithm for document image restoration |
| ICDAR | International Conference on Document Analysis and Recognition |
| ICFHR | International Conference on Frontiers in Handwriting Recognition |
| MPM | misclassification penalty metric |
| OCR | optical character recognition |
| PERR | pixel error rate |
| PSNR | peak signal to noise ratio |
| SVM | support vector machines |
References
- Guizzo, E. Superfast Scanner Lets You Digitize Book by Flipping Pages. Available online: https://spectrum.ieee.org/automaton/robotics/robotics-software/book-flipping-scanning (accessed on 3 June 2019).
- Pratikakis, I.; Zagoris, K.; Barlas, G.; Gatos, B. ICDAR2017 Competition on Document Image Binarization (DIBCO 2017). In Proceedings of the 2017 14th IAPR International Conference on Document Analysis and Recognition (ICDAR), Kyoto, Japan, 9–15 November 2017; Volume 1, pp. 1395–1403. [Google Scholar] [CrossRef]
- Pratikakis, I.; Zagori, K.; Kaddas, P.; Gatos, B. ICFHR 2018 Competition on Handwritten Document Image Binarization (H-DIBCO 2018). In Proceedings of the 2018 16th International Conference on Frontiers in Handwriting Recognition (ICFHR), Niagara Falls, NY, USA, 5–8 August 2018; pp. 489–493. [Google Scholar] [CrossRef]
- Ntirogiannis, K.; Gatos, B.; Pratikakis, I. Performance evaluation methodology for historical document image binarization. IEEE Trans. Image Process. 2013, 22, 595–609. [Google Scholar] [CrossRef] [PubMed]
- Sokolova, M.; Lapalme, G. A systematic analysis of performance measures for classification tasks. Inf. Process. Manag. 2009, 45, 427–437. [Google Scholar] [CrossRef]
- Otsu, N. A threshold selection method from gray-level histograms. IEEE Trans. Syst. Man Cybern. 1979, 9, 62–66. [Google Scholar] [CrossRef]
- Kapur, J.; Sahoo, P.; Wong, A. A new method for gray-level picture thresholding using the entropy of the histogram. Comput. Vis. Graph. Image Process. 1985, 29, 273–285. [Google Scholar] [CrossRef]
- Lech, P.; Okarma, K.; Wojnar, D. Binarization of document images using the modified local-global Otsu and Kapur algorithms. Przegląd Elektrotechniczny 2015, 91, 71–74. [Google Scholar] [CrossRef]
- Moghaddam, R.F.; Cheriet, M. AdOtsu: An adaptive and parameterless generalization of Otsu’s method for document image binarization. Pattern Recognit. 2012, 45, 2419–2431. [Google Scholar] [CrossRef]
- Rosin, P.L. Unimodal thresholding. Pattern Recognit. 2001, 34, 2083–2096. [Google Scholar] [CrossRef]
- Niblack, W. An Introduction to Digital Image Processing; Prentice Hall: Englewood Cliffs, NJ, USA, 1986. [Google Scholar]
- Sauvola, J.; Pietikäinen, M. Adaptive document image binarization. Pattern Recognit. 2000, 33, 225–236. [Google Scholar] [CrossRef]
- Lazzara, G.; Géraud, T. Efficient multiscale Sauvola’s binarization. Int. J. Doc. Anal. Recognit. 2014, 17, 105–123. [Google Scholar] [CrossRef]
- Bernsen, J. Dynamic thresholding of grey-level images. In Proceedings of the 8th International Conference on Pattern Recognition (ICPR), Paris, France, 27–31 October 1986; pp. 1251–1255. [Google Scholar]
- Bradley, D.; Roth, G. Adaptive thresholding using the integral image. J. Graph. Tools 2007, 12, 13–21. [Google Scholar] [CrossRef]
- Wolf, C.; Jolion, J.M. Extraction and recognition of artificial text in multimedia documents. Form. Pattern Anal. Appl. 2004, 6, 309–326. [Google Scholar] [CrossRef]
- Feng, M.L.; Tan, Y.P. Adaptive binarization method for document image analysis. In Proceedings of the 2004 IEEE International Conference on Multimedia and Expo (ICME), Taipei, Taiwan, 27–30 June 2004; Volume 1, pp. 339–342. [Google Scholar] [CrossRef]
- Gatos, B.; Pratikakis, I.; Perantonis, S. Adaptive degraded document image binarization. Pattern Recognit. 2006, 39, 317–327. [Google Scholar] [CrossRef]
- Chou, C.H.; Lin, W.H.; Chang, F. A binarization method with learning-built rules for document images produced by cameras. Pattern Recognit. 2010, 43, 1518–1530. [Google Scholar] [CrossRef]
- Michalak, H.; Okarma, K. Region based adaptive binarization for optical character recognition purposes. In Proceedings of the International Interdisciplinary PhD Workshop (IIPhDW), Swinoujscie, Poland, 9–12 May 2018; pp. 361–366. [Google Scholar] [CrossRef]
- Michalak, H.; Okarma, K. Fast adaptive image binarization using the region based approach. In Artificial Intelligence and Algorithms in Intelligent Systems; Silhavy, R., Ed.; Springer International Publishing: Cham, Switzerland, 2019; Volume 764, AISC; pp. 79–90. [Google Scholar] [CrossRef]
- Xiong, W.; Xu, J.; Xiong, Z.; Wang, J.; Liu, M. Degraded historical document image binarization using local features and support vector machine (SVM). Optik 2018, 164, 218–223. [Google Scholar] [CrossRef]
- Howe, N.R. A Laplacian energy for document binarization. In Proceedings of the 2011 International Conference on Document Analysis and Recognition (ICDAR), Beijing, China, 18–21 September 2011; pp. 6–10. [Google Scholar] [CrossRef]
- Erol, B.; Antúnez, E.R.; Hull, J.J. HOTPAPER: multimedia interaction with paper using mobile phones. In Proceedings of the 16th International Conference on Multimedia 2008, Vancouver, BC, Canada, 26–31 October 2008; pp. 399–408. [Google Scholar] [CrossRef]
- Lu, S.; Su, B.; Tan, C.L. Document image binarization using background estimation and stroke edges. Int. J. Doc. Anal. Recognit. (IJDAR) 2010, 13, 303–314. [Google Scholar] [CrossRef]
- Okamoto, A.; Yoshida, H.; Tanaka, N. A binarization method for degraded document images with morphological operations. In Proceedings of the 2013 IAPR International Conference on Machine Vision Applications (MVA 2013), Kyoto, Japan, 20–23 May 2013; pp. 294–297. [Google Scholar]
- Lelore, T.; Bouchara, F. Super-resolved binarization of text based on the FAIR algorithm. In Proceedings of the 2011 International Conference on Document Analysis and Recognition (ICDAR), Beijing, China, 18–21 September 2011; pp. 839–843. [Google Scholar] [CrossRef]
- Bag, S.; Bhowmick, P. Adaptive-interpolative binarization with stroke preservation for restoration of faint characters in degraded documents. J. Vis. Commun. Image Represent. 2015, 31, 266–281. [Google Scholar] [CrossRef]
- Su, B.; Lu, S.; Tan, C.L. Robust document image binarization technique for degraded document images. IEEE Trans. Image Process. 2013, 22, 1408–1417. [Google Scholar] [CrossRef] [PubMed]
- Yoon, Y.; Ban, K.D.; Yoon, H.; Lee, J.; Kim, J. Best combination of binarization methods for license plate character segmentation. ETRI J. 2013, 35, 491–500. [Google Scholar] [CrossRef]
- Lech, P.; Okarma, K. Optimization of the fast image binarization method based on the Monte Carlo approach. Elektronika Ir Elektrotechnika 2014, 20, 63–66. [Google Scholar] [CrossRef][Green Version]
- Lech, P.; Okarma, K. Fast histogram based image binarization using the Monte Carlo threshold estimation. In Computer Vision and Graphics; Chmielewski, L.J., Kozera, R., Shin, B.S., Wojciechowski, K., Eds.; Springer International Publishing: Cham, Switzerland, 2014; Volume 8671, pp. 382–390. [Google Scholar] [CrossRef]
- Lech, P.; Okarma, K. Prediction of the optical character recognition accuracy based on the combined assessment of image binarization results. Elektronika Ir Elektrotechnika 2015, 21, 62–65. [Google Scholar] [CrossRef]
- Khitas, M.; Ziet, L.; Bouguezel, S. Improved degraded document image binarization using median filter for background estimation. Elektronika ir Elektrotechnika 2018, 24, 82–87. [Google Scholar] [CrossRef]
- Mitianoudis, N.; Papamarkos, N. Document image binarization using local features and Gaussian mixture modeling. Image Vis. Comput. 2015, 38, 33–51. [Google Scholar] [CrossRef]
- Chen, Y.; Wang, L. Broken and degraded document images binarization. Neurocomputing 2017, 237, 272–280. [Google Scholar] [CrossRef]
- Bataineh, B.; Abdullah, S.N.H.S.; Omar, K. An adaptive local binarization method for document images based on a novel thresholding method and dynamic windows. Pattern Recognit. Lett. 2011, 32, 1805–1813. [Google Scholar] [CrossRef]
- Khurshid, K.; Siddiqi, I.; Faure, C.; Vincent, N. Comparison of Niblack inspired binarization methods for ancient documents. In Proceedings of the Document Recognition and Retrieval XVI, San Jose, CA, USA, 18–22 January 2009; Volume 7247, pp. 7247:1–7247:9. [Google Scholar] [CrossRef]
- Kulyukin, V.; Kutiyanawala, A.; Zaman, T. Eyes-free barcode detection on smartphones with Niblack’s binarization and Support Vector Machines. In Proceedings of the 16th International Conference on Image Processing, Computer Vision, and Pattern Recognition (IPCV’2012), Las Vegas, NV, USA, 16–19 July 2012; Volume 1, pp. 284–290. [Google Scholar]
- Samorodova, O.A.; Samorodov, A.V. Fast implementation of the Niblack binarization algorithm for microscope image segmentation. Pattern Recognit. Image Anal. 2016, 26, 548–551. [Google Scholar] [CrossRef]
- Mysore, S.; Gupta, M.K.; Belhe, S. Complex and degraded color document image binarization. In Proceedings of the 2016 3rd International Conference on Signal Processing and Integrated Networks (SPIN), Noida, India, 11–12 February 2016; pp. 157–162. [Google Scholar] [CrossRef]
- Saxena, L.P. Niblack’s binarization method and its modifications to real-time applications: A review. Artif. Intell. Rev. 2017, 1–33. [Google Scholar] [CrossRef]
- Leedham, G.; Yan, C.; Takru, K.; Tan, J.H.N.; Mian, L. Comparison of some thresholding algorithms for text/background segmentation in difficult document images. In Proceedings of the 7th International Conference on Document Analysis and Recognition (ICDAR 2003), Edinburgh, UK, 3–6 August 2003; pp. 859–864. [Google Scholar] [CrossRef]
- Shrivastava, A.; Srivastava, D.K. A review on pixel-based binarization of gray images. In ICICT 2015; Springer: Singapore, 2016; Volume 439, pp. 357–364. [Google Scholar] [CrossRef]
- Mustafa, W.A.; Kader, M.M.M.A. Binarization of document images: A comprehensive review. J. Phys. Conf. Ser. 2018, 1019, 012023. [Google Scholar] [CrossRef]
- Deng, F.; Wu, Z.; Lu, Z.; Brown, M.S. Binarizationshop: A user assisted software suite for converting old documents to black-and-white. In Proceedings of the Annual Joint Conference on Digital Libraries, Gold Coast, Queensland, Australia, 21–25 June 2010; pp. 255–258. [Google Scholar] [CrossRef]
- Feng, S. A novel variational model for noise robust document image binarization. Neurocomputing 2019, 325, 288–302. [Google Scholar] [CrossRef]
- Tensmeyer, C.; Martinez, T. Document image binarization with fully convolutional neural networks. In Proceedings of the 14th IAPR International Conference on Document Analysis and Recognition (ICDAR 2017), Kyoto, Japan, 9–15 November 2017; pp. 99–104. [Google Scholar] [CrossRef]
- Vo, Q.N.; Kim, S.H.; Yang, H.J.; Lee, G. Binarization of degraded document images based on hierarchical deep supervised network. Pattern Recognit. 2018, 74, 568–586. [Google Scholar] [CrossRef]
- Sulaiman, A.; Omar, K.; Nasrudin, M.F. Degraded historical document binarization: A review on issues, challenges, techniques, and future directions. J. Imaging 2019, 5, 48. [Google Scholar] [CrossRef]
- Wen, J.; Li, S.; Sun, J. A new binarization method for non-uniform illuminated document images. Pattern Recognit. 2013, 46, 1670–1690. [Google Scholar] [CrossRef]
- Pun, T. A new method for grey-level picture thresholding using the entropy of the histogram. Signal Process. 1980, 2, 223–237. [Google Scholar] [CrossRef]
- Pun, T. Entropic thresholding, a new approach. Comput. Graph. Image Process. 1981, 16, 210–239. [Google Scholar] [CrossRef]
- Fan, J.; Wang, R.; Zhang, L.; Xing, D.; Gan, F. Image sequence segmentation based on 2D temporal entropic thresholding. Pattern Recognit. Lett. 1996, 17, 1101–1107. [Google Scholar] [CrossRef]
- Abutaleb, A.S. Automatic thresholding of gray-level pictures using two-dimensional entropy. Comput. Vis. Graph. Image Process. 1989, 47, 22–32. [Google Scholar] [CrossRef]
- Brink, A.; Pendock, N. Minimum cross-entropy threshold selection. Pattern Recognit. 1996, 29, 179–188. [Google Scholar] [CrossRef]
- Li, J.; Tang, W.; Wang, J.; Zhang, X. A multilevel color image thresholding scheme based on minimum cross entropy and alternating direction method of multipliers. Optik 2019, 183, 30–37. [Google Scholar] [CrossRef]
- Tang, K.; Yuan, X.; Sun, T.; Yang, J.; Gao, S. An improved scheme for minimum cross entropy threshold selection based on genetic algorithm. Knowl.-Based Syst. 2011, 24, 1131–1138. [Google Scholar] [CrossRef]
- Le, T.H.N.; Bui, T.D.; Suen, C.Y. Ternary entropy-based binarization of degraded document images using morphological operators. In Proceedings of the 2011 International Conference on Document Analysis and Recognition, Beijing, China, 18–21 September 2011; pp. 114–118. [Google Scholar] [CrossRef]
- Tian, X.; Hou, X. A Tsallis-entropy image thresholding method based on two-dimensional histogram obique segmentation. In Proceedings of the 2009 WASE International Conference on Information Engineering, Taiyuan, China, 10–11 July 2009; Volume 1, pp. 164–168. [Google Scholar] [CrossRef]
- Jiang, Y.; Zhu, H.; Malekian, R.; Ding, C. An improved quantitative recurrence analysis using artificial intelligence based image processing applied to sensor measurements. Concurr. Comput. Pract. Exp. 2019, 31, e4858. [Google Scholar] [CrossRef]
- Stathis, P.; Kavallieratou, E.; Papamarkos, N. An evaluation technique for binarization algorithms. J. UCS 2008, 14, 3011–3030. [Google Scholar] [CrossRef]
- Sezgin, M.; Sankur, B. Survey over image thresholding techniques and quantitative performance evaluation. J. Electron. Imaging 2004, 13, 146–165. [Google Scholar] [CrossRef]
- Young, D.P.; Ferryman, J.M. PETS metrics: On-line performance evaluation service. In Proceedings of the 2005 IEEE International Workshop on Visual Surveillance and Performance Evaluation of Tracking and Surveillance, Beijing, China, 15–16 October 2005; pp. 317–324. [Google Scholar] [CrossRef]
- Lu, H.; Kot, A.; Shi, Y. Distance-reciprocal distortion measure for binary document images. IEEE Signal Process. Lett. 2004, 11, 228–231. [Google Scholar] [CrossRef]
- Lins, R.D.; de Almeida, M.M.; Bernardino, R.B.; Jesus, D.; Oliveira, J.M. Assessing binarization techniques for document images. In Proceedings of the 2017 ACM Symposium on Document Engineering (DocEng), Valletta, Malta, 4–7 September 2017; pp. 183–192. [Google Scholar] [CrossRef]









| Binarization Method | Series | |||||||
|---|---|---|---|---|---|---|---|---|
| #1 | #2 | #3 | #4 | #5 | #6 | #7 | All | |
| None | 0.9638 | 0.6201 | 0.8139 | 0.6650 | 0.6693 | 0.7460 | 0.6260 | 0.7291 |
| + preprocessing | 0.9728 | 0.6475 | 0.8729 | 0.7272 | 0.8167 | 0.8027 | 0.9584 | 0.8283 |
| Otsu (global) [6] | 0.9614 | 0.6281 | 0.7908 | 0.6662 | 0.6841 | 0.7598 | 0.6583 | 0.7355 |
| + preprocessing | 0.9737 | 0.6400 | 0.8573 | 0.7312 | 0.8049 | 0.7947 | 0.9561 | 0.8226 |
| Region-based [20] | 0.9616 | 0.7579 | 0.8661 | 0.8407 | 0.7737 | 0.8318 | 0.9528 | 0.8550 |
| + preprocessing | 0.9525 | 0.8377 | 0.8861 | 0.8254 | 0.7438 | 0.8468 | 0.9104 | 0.8575 |
| Niblack [11] | 0.9614 | 0.7920 | 0.8668 | 0.8444 | 0.8510 | 0.8567 | 0.9589 | 0.8759 |
| + preprocessing | 0.9596 | 0.9439 | 0.9451 | 0.9516 | 0.8878 | 0.9436 | 0.9674 | 0.9427 |
| Sauvola [12] | 0.9709 | 0.9581 | 0.9646 | 0.9722 | 0.7660 | 0.9655 | 0.9721 | 0.9385 |
| + preprocessing | 0.9674 | 0.9635 | 0.9665 | 0.9668 | 0.8401 | 0.9671 | 0.9694 | 0.9487 |
| Wolf [16] | 0.9661 | 0.9482 | 0.9513 | 0.9514 | 0.7614 | 0.9594 | 0.9703 | 0.9297 |
| + preprocessing | 0.9691 | 0.9661 | 0.9643 | 0.9662 | 0.8561 | 0.9621 | 0.9657 | 0.9499 |
| Bradley (mean) [15] | 0.9665 | 0.9191 | 0.9093 | 0.8484 | 0.7369 | 0.8976 | 0.9699 | 0.8925 |
| + preprocessing | 0.9666 | 0.8896 | 0.9169 | 0.9262 | 0.8040 | 0.9103 | 0.9642 | 0.9111 |
| Bradley (Gaussian) [15] | 0.9663 | 0.8521 | 0.8295 | 0.7528 | 0.7267 | 0.7907 | 0.9489 | 0.8381 |
| + preprocessing | 0.9678 | 0.8863 | 0.8991 | 0.8741 | 0.7521 | 0.8786 | 0.9124 | 0.8815 |
| Feng [17] | 0.9110 | 0.3782 | 0.7924 | 0.6312 | 0.7292 | 0.7938 | 0.8461 | 0.7285 |
| + preprocessing | 0.9261 | 0.4418 | 0.7990 | 0.6489 | 0.7103 | 0.8076 | 0.8688 | 0.7432 |
| Bernsen [14] | 0.6948 | 0.6414 | 0.6844 | 0.6467 | 0.6286 | 0.7122 | 0.7245 | 0.6764 |
| + preprocessing | 0.6971 | 0.6688 | 0.6938 | 0.6752 | 0.6312 | 0.7047 | 0.7141 | 0.6836 |
| Meanthresh | 0.9597 | 0.7348 | 0.8314 | 0.7921 | 0.8317 | 0.7947 | 0.9308 | 0.8393 |
| + preprocessing | 0.9651 | 0.9570 | 0.9596 | 0.9602 | 0.8970 | 0.9606 | 0.9684 | 0.9525 |
| Binarization Method | Series | |||||||
|---|---|---|---|---|---|---|---|---|
| #1 | #2 | #3 | #4 | #5 | #6 | #7 | All | |
| None | 56.40 | 1897.20 | 1031.80 | 1362.40 | 1548.30 | 1387.90 | 1815.50 | 1299.93 |
| + preprocessing | 10.90 | 1665.10 | 718.40 | 1045.20 | 512.55 | 1063.85 | 68.15 | 726.31 |
| Otsu (global) [6] | 62.75 | 1878.20 | 1039.80 | 1393.40 | 1514.55 | 1358.55 | 1715.80 | 1280.44 |
| + preprocessing | 12.60 | 1671.85 | 720.05 | 1047.05 | 514.20 | 1066.75 | 76.10 | 729.80 |
| Region-based [20] | 27.30 | 537.40 | 388.35 | 217.50 | 294.35 | 423.60 | 44.75 | 276.18 |
| + preprocessing | 27.40 | 133.55 | 78.90 | 141.60 | 378.55 | 166.30 | 48.15 | 139.21 |
| Niblack [11] | 30.50 | 560.55 | 359.95 | 388.00 | 222.10 | 398.05 | 31.15 | 284.33 |
| + preprocessing | 26.00 | 42.90 | 35.40 | 25.55 | 79.45 | 32.20 | 16.55 | 36.86 |
| Sauvola [12] | 20.30 | 22.85 | 17.35 | 14.80 | 651.60 | 17.75 | 12.40 | 108.15 |
| + preprocessing | 22.40 | 30.25 | 23.05 | 17.35 | 197.55 | 19.75 | 15.95 | 46.61 |
| Wolf [16] | 21.35 | 54.90 | 69.90 | 74.05 | 923.65 | 58.55 | 17.60 | 174.29 |
| + preprocessing | 21.45 | 27.75 | 19.75 | 23.50 | 202.75 | 17.80 | 16.65 | 47.10 |
| Bradley (mean) [15] | 26.45 | 63.15 | 157.15 | 389.45 | 1231.95 | 188.25 | 17.35 | 296.25 |
| + preprocessing | 26.30 | 75.60 | 52.05 | 44.10 | 312.15 | 54.05 | 19.05 | 83.33 |
| Bradley (Gaussian) [15] | 27.10 | 355.80 | 731.00 | 950.75 | 1282.40 | 1136.70 | 32.25 | 645.14 |
| + preprocessing | 25.75 | 91.05 | 193.00 | 219.95 | 700.15 | 149.50 | 19.95 | 199.91 |
| Feng [17] | 66.20 | 2518.00 | 1069.50 | 1507.50 | 1030.50 | 1037.10 | 174.20 | 1057.57 |
| + preprocessing | 59.15 | 2385.25 | 1015.75 | 1435.10 | 887.75 | 945.70 | 142.30 | 981.57 |
| Bernsen [14] | 467.75 | 1471.25 | 1071.00 | 1273.65 | 1634.15 | 1167.40 | 623.10 | 1101.19 |
| + preprocessing | 490.40 | 1178.10 | 1046.75 | 1011.85 | 1402.25 | 1093.35 | 687.35 | 987.15 |
| Meanthresh | 20.85 | 776.30 | 529.10 | 519.85 | 250.70 | 763.35 | 72.40 | 418.94 |
| + preprocessing | 21.95 | 26.10 | 21.55 | 17.25 | 81.65 | 20.00 | 14.20 | 28.96 |
| Binarization Method | Font Face | ||||
|---|---|---|---|---|---|
| Arial | Times New Roman | Calibri | Courier | Verdana | |
| None | 0.7556 | 0.7432 | 0.7374 | 0.6483 | 0.7612 |
| + preprocessing | 0.8541 | 0.8277 | 0.7886 | 0.8173 | 0.8539 |
| Otsu (global) [6] | 0.7489 | 0.7528 | 0.7525 | 0.6598 | 0.7637 |
| + preprocessing | 0.8506 | 0.8214 | 0.7802 | 0.8058 | 0.8548 |
| Region-based [20] | 0.8726 | 0.8799 | 0.8738 | 0.7970 | 0.8514 |
| + preprocessing | 0.8513 | 0.8689 | 0.8590 | 0.8425 | 0.8659 |
| Niblack [11] | 0.8776 | 0.9012 | 0.8729 | 0.8499 | 0.8777 |
| + preprocessing | 0.9463 | 0.9550 | 0.9475 | 0.9195 | 0.9452 |
| Sauvola [12] | 0.9395 | 0.9476 | 0.9412 | 0.9239 | 0.9402 |
| + preprocessing | 0.9555 | 0.9540 | 0.9450 | 0.9395 | 0.9495 |
| Wolf [16] | 0.9399 | 0.9507 | 0.9355 | 0.8826 | 0.9400 |
| + preprocessing | 0.9567 | 0.9558 | 0.9551 | 0.9310 | 0.9511 |
| Bradley (mean) [15] | 0.9036 | 0.9004 | 0.8946 | 0.8676 | 0.8963 |
| + preprocessing | 0.9158 | 0.9186 | 0.9158 | 0.8906 | 0.9147 |
| Bradley (Gaussian) [15] | 0.8475 | 0.8448 | 0.8434 | 0.8087 | 0.8463 |
| + preprocessing | 0.9004 | 0.8992 | 0.8873 | 0.8609 | 0.8599 |
| Feng [17] | 0.7137 | 0.7430 | 0.7113 | 0.7528 | 0.7210 |
| + preprocessing | 0.7368 | 0.7462 | 0.7304 | 0.7540 | 0.7487 |
| Bernsen [14] | 0.6735 | 0.6970 | 0.6938 | 0.6213 | 0.6971 |
| + preprocessing | 0.7062 | 0.6917 | 0.6956 | 0.6041 | 0.7202 |
| Meanthresh | 0.8251 | 0.8698 | 0.8483 | 0.8197 | 0.8337 |
| + preprocessing | 0.9511 | 0.9623 | 0.9516 | 0.9429 | 0.9548 |
| Binarization Method | Font Style | |||
|---|---|---|---|---|
| Normal | Bold | Italic | Bold + Italic | |
| None | 0.6945 | 0.7497 | 0.7221 | 0.7291 |
| + preprocessing | 0.8049 | 0.8455 | 0.8076 | 0.8283 |
| Otsu (global) [6] | 0.7095 | 0.7544 | 0.7272 | 0.7355 |
| + preprocessing | 0.7980 | 0.8426 | 0.8038 | 0.8226 |
| Region-based [20] | 0.8631 | 0.8444 | 0.8700 | 0.8550 |
| + preprocessing | 0.8621 | 0.8590 | 0.8593 | 0.8575 |
| Niblack [11] | 0.8781 | 0.8898 | 0.8669 | 0.8759 |
| + preprocessing | 0.9396 | 0.9444 | 0.9424 | 0.9427 |
| Sauvola [12] | 0.9366 | 0.9377 | 0.9340 | 0.9385 |
| + preprocessing | 0.9464 | 0.9545 | 0.9463 | 0.9487 |
| Wolf [16] | 0.9165 | 0.9430 | 0.9223 | 0.9297 |
| + preprocessing | 0.9428 | 0.9567 | 0.9467 | 0.9499 |
| Bradley (mean) [15] | 0.8888 | 0.8942 | 0.8916 | 0.8925 |
| + preprocessing | 0.9031 | 0.9230 | 0.9099 | 0.9111 |
| Bradley (Gaussian) [15] | 0.8342 | 0.8418 | 0.8370 | 0.8381 |
| + preprocessing | 0.8801 | 0.8738 | 0.8754 | 0.8815 |
| Feng [17] | 0.7333 | 0.7342 | 0.7391 | 0.7285 |
| + preprocessing | 0.7368 | 0.7458 | 0.7518 | 0.7432 |
| Bernsen [14] | 0.6722 | 0.6786 | 0.6718 | 0.6764 |
| + preprocessing | 0.6656 | 0.7060 | 0.6573 | 0.6836 |
| Meanthresh | 0.8379 | 0.8454 | 0.8381 | 0.8393 |
| + preprocessing | 0.9547 | 0.9519 | 0.9541 | 0.9525 |
© 2019 by the authors. Licensee MDPI, Basel, Switzerland. This article is an open access article distributed under the terms and conditions of the Creative Commons Attribution (CC BY) license (http://creativecommons.org/licenses/by/4.0/).
Share and Cite
Michalak, H.; Okarma, K. Improvement of Image Binarization Methods Using Image Preprocessing with Local Entropy Filtering for Alphanumerical Character Recognition Purposes. Entropy 2019, 21, 562. https://doi.org/10.3390/e21060562
Michalak H, Okarma K. Improvement of Image Binarization Methods Using Image Preprocessing with Local Entropy Filtering for Alphanumerical Character Recognition Purposes. Entropy. 2019; 21(6):562. https://doi.org/10.3390/e21060562
Chicago/Turabian StyleMichalak, Hubert, and Krzysztof Okarma. 2019. "Improvement of Image Binarization Methods Using Image Preprocessing with Local Entropy Filtering for Alphanumerical Character Recognition Purposes" Entropy 21, no. 6: 562. https://doi.org/10.3390/e21060562
APA StyleMichalak, H., & Okarma, K. (2019). Improvement of Image Binarization Methods Using Image Preprocessing with Local Entropy Filtering for Alphanumerical Character Recognition Purposes. Entropy, 21(6), 562. https://doi.org/10.3390/e21060562

