Sign in to use this feature.

Years

Between: -

Subjects

remove_circle_outline
remove_circle_outline
remove_circle_outline
remove_circle_outline
remove_circle_outline
remove_circle_outline
remove_circle_outline
remove_circle_outline
remove_circle_outline

Journals

remove_circle_outline
remove_circle_outline
remove_circle_outline
remove_circle_outline
remove_circle_outline
remove_circle_outline
remove_circle_outline
remove_circle_outline
remove_circle_outline
remove_circle_outline
remove_circle_outline
remove_circle_outline
remove_circle_outline
remove_circle_outline
remove_circle_outline
remove_circle_outline
remove_circle_outline
remove_circle_outline
remove_circle_outline
remove_circle_outline
remove_circle_outline
remove_circle_outline

Article Types

Countries / Regions

remove_circle_outline
remove_circle_outline
remove_circle_outline
remove_circle_outline
remove_circle_outline
remove_circle_outline

Search Results (3,661)

Search Parameters:
Keywords = young’s modulus

Order results
Result details
Results per page
Select all
Export citation of selected articles as:
18 pages, 6634 KB  
Article
Study on La Doping Modification and Transport Characteristics of Indium Oxide-Based Thermoelectric Materials for Waste-Heat Power Generation Application
by Jie Zhang, Bo Feng, Zhengxiang Yang, Xuan Liu, Shilang Guo, Guoji Cai, Yaoyang Zhang, Rong Zhang, Xiaoqiong Zuo, Zhiwen Yang, Tongqiang Xiong, Jiang Zhu, Suoluoyan Yang and Ruolin Ruan
Inorganics 2026, 14(2), 46; https://doi.org/10.3390/inorganics14020046 - 2 Feb 2026
Abstract
To address the trade-off between thermoelectric efficiency in oxide thermoelectric materials used in Aiye Processing Equipment, this study investigates the effect of La doping on the thermoelectric properties of indium oxide (In2O3) through experimental characterization and mechanism analysis. The [...] Read more.
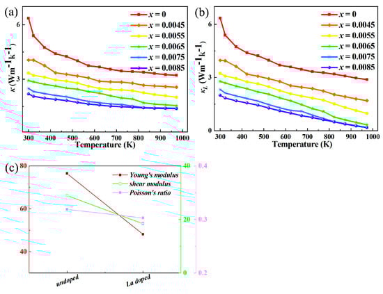
To address the trade-off between thermoelectric efficiency in oxide thermoelectric materials used in Aiye Processing Equipment, this study investigates the effect of La doping on the thermoelectric properties of indium oxide (In2O3) through experimental characterization and mechanism analysis. The results show that La doping induces synergistic optimization of the electronic structure, lattice dynamics, and defect state of In2O3, leading to simultaneous enhancements in thermoelectric and mechanical properties. Specifically, La3+ substitution for In3+ significantly increases carrier concentration, which, combined with the band convergence-induced elevation of density of states (DOS) near the Fermi level, results in a remarkable improvement in power factor (from the intrinsic enhancement driven by electrical conductivity) while mitigating the reduction in Seebeck coefficient. Meanwhile, lattice distortion caused by ionic radius mismatch and decreased Young’s modulus (due to weakened In-O bonds) jointly enhance phonon scattering and reduce phonon propagation velocity, leading to a significant decrease in lattice thermal conductivity and total thermal conductivity. Consequently, the thermoelectric figure of merit (ZT) of La-doped In2O3 increases from 0.055 to 0.358, a six-fold enhancement. Additionally, La doping improves Vickers hardness through three synergistic mechanisms: internal stress from lattice distortion, enhanced interatomic bonding (synergistic reinforcement of ionic and covalent bond components), and dislocation pinning by substitutional defects (La_In). This study demonstrates that La doping achieves the dual regulation of “promoting electrical transport, suppressing thermal conduction, and enhancing mechanical strength” in In2O3, breaking the traditional trade-off between thermoelectric and mechanical properties. The findings provide a feasible strategy for the performance optimization of oxide thermoelectrics and lay a foundation for their practical applications in energy conversion systems requiring high efficiency and structural reliability. Full article
Show Figures

Figure 1

27 pages, 16299 KB  
Article
Numerical Simulation of Mechanical Parameters of Oil Shale Rock in Minfeng Subsag
by Yuhao Huo, Qing You and Xiaoqiang Liu
Processes 2026, 14(3), 476; https://doi.org/10.3390/pr14030476 - 29 Jan 2026
Viewed by 181
Abstract
Rock mechanical parameters can provide fundamental data for the numerical simulation of hydraulic fracturing, aiding in the construction of hydraulic fracturing models. Due to the laminated nature of shale, constructing a hydraulic fracturing model requires obtaining the rock mechanical parameters of each lamina [...] Read more.
Rock mechanical parameters can provide fundamental data for the numerical simulation of hydraulic fracturing, aiding in the construction of hydraulic fracturing models. Due to the laminated nature of shale, constructing a hydraulic fracturing model requires obtaining the rock mechanical parameters of each lamina and the bedding planes. However, acquiring the mechanical parameters of individual shale laminas through physical experiments demands that, after rock mechanics testing, cracks propagate along the centre of the laminae without connecting additional bedding planes, which imposes extremely high requirements on shale samples. Current research on the rock mechanics of the Minfeng subsag shale is relatively limited. Therefore, to obtain the rock mechanical parameters of each lamina and the bedding planes in the Minfeng subsag shale, a numerical simulation approach can be employed. The model, built using PFC2D, is based on prior X-ray diffraction (XRD) analysis, conventional thin-section observation, scanning electron microscopy (SEM), Brazilian splitting tests, and triaxial compression tests. It replicates the processes of the Brazilian splitting and triaxial compression experiments, assigning initial parameters to different bedding planes based on lithology. A trial-and-error method is then used to adjust the parameters until the simulated curves match the physical experimental curves, with errors within 10%. The model parameters for each lamina at this stage are then applied to single-lithology Brazilian splitting, biaxial compression, and three-point bending models for simulation, ultimately obtaining the tensile strength, uniaxial compressive strength, Poisson’s ratio, Young’s modulus, brittleness index, and Mode I fracture toughness for each lamina. Simulation results show that the Minfeng subsag shale exhibits strong heterogeneity, with all obtained rock mechanical parameters spanning a wide range. Calculated brittleness indices for each lamina mostly fall within the “good” and “medium” ranges, with carbonate laminae generally demonstrating better brittleness than felsic laminae. Fracture toughness also clearly divides into two ranges: mixed carbonate shale laminae have overall higher fracture toughness than mixed felsic laminae. Full article
(This article belongs to the Special Issue Advances in Reservoir Simulation and Multiphase Flow in Porous Media)
Show Figures

Figure 1

25 pages, 2463 KB  
Article
Green Deep Eutectic Solvents for Functionalizing Chitosan–Dialdehyde Materials with Varied Crosslinker Content
by Magdalena Gierszewska, Ewa Olewnik-Kruszkowska, Kornelia Kadac-Czapska, Małgorzata Grembecka and Eliza Knez
Materials 2026, 19(3), 529; https://doi.org/10.3390/ma19030529 - 29 Jan 2026
Viewed by 265
Abstract
A series of chitosan-based films was obtained by combining the covalent crosslinking of chitosan with dialdehyde starch (DAS) and plasticization using a choline chloride–malonic acid deep eutectic solvent (DES), thereby engineering their structural, mechanical, and surface properties for advanced packaging applications. DAS was [...] Read more.
A series of chitosan-based films was obtained by combining the covalent crosslinking of chitosan with dialdehyde starch (DAS) and plasticization using a choline chloride–malonic acid deep eutectic solvent (DES), thereby engineering their structural, mechanical, and surface properties for advanced packaging applications. DAS was synthesized via periodate oxidation of potato starch and characterized by FTIR and quantification of aldehyde groups through acid–base titration, enabling precise control of the –NH2 (chitosan) to –CHO (DAS) molar ratios (40:1, 20:1, 10:1) used for film formation. Chitosan films (neat, DAS-crosslinked, DES-plasticized, and DES-plasticized/DAS-crosslinked) were obtained by solution casting, with constant total chitosan and/or Ch+DES mass across formulations, and subsequently examined in terms of molecular structure, density, mechanical characteristics, micro- and nanoscale morphology, color, wettability, and surface free energy. The most significant changes relevant to potential applications were observed in mechanical properties and surface free energy. The incorporation of DAS and DES into chitosan resulted in a significant reduction in Young’s modulus from 1150 MPa to 130 MPa, accompanied by a significant increase in elongation at break—from 10% to almost 90%. Moreover, it should be noticed that the addition of DAS and DES led to a nearly twofold increase in surface free energy, from 32.5 to 59.9 mJ m−2. While previous studies have predominantly focused on single modifications of chitosan—either covalent crosslinking with dialdehyde starch (DAS) or plasticization with deep eutectic solvents (DES)—this work introduces a pioneering dual-modification strategy that simultaneously integrates both techniques, representing the first systematic investigation of their synergistic effects unattainable through individual approaches. Full article
(This article belongs to the Special Issue Sustainable Materials: Preparation, Characterization and Applications)
Show Figures

Graphical abstract

18 pages, 1963 KB  
Article
Decellularized Extracellular Matrix/Gellan Gum Hydrogels Enriched with Spermine for Cardiac Models
by Luca Di Nunno, Marcin Wekwejt, Francesco Copes, Francesca Boccafoschi and Diego Mantovani
Gels 2026, 12(2), 118; https://doi.org/10.3390/gels12020118 - 28 Jan 2026
Viewed by 119
Abstract
The physiological relevance of in vitro models is limited because conventional two-dimensional cell culture systems are unable to replicate the structural and functional complexity of native tissues. Extracellular matrix (ECM)-mimetic hydrogels have become important platforms for tissue engineering applications. This work developed hybrid [...] Read more.
The physiological relevance of in vitro models is limited because conventional two-dimensional cell culture systems are unable to replicate the structural and functional complexity of native tissues. Extracellular matrix (ECM)-mimetic hydrogels have become important platforms for tissue engineering applications. This work developed hybrid hydrogels that mimic important biochemical and mechanical characteristics of cardiac tissue by combining decellularized bovine pericardium-derived (dBP) ECM, gellan gum (GG), and spermine (SPM). Although dBP offers tissue-specific biological cues, processing compromises its mechanical integrity. This limitation was overcome by adding GG, whose ionic gelation properties were optimized using DMEM and SPM. The hydrogels’ mechanical, biological, physicochemical, and structural characteristics were all evaluated. Under physiologically simulated conditions, the formulations showed quick gelation and long-term stability; scanning electron microscopy revealed an interconnected, ECM-like porous microarchitecture. While uniaxial compression testing provided Young’s modulus values comparable to native myocardium, rheological analysis revealed a concentration-dependent increase in storage modulus with increasing SPM content. H9C2 cardiomyoblasts were used in cytocompatibility studies to confirm that cell viability, morphology, and cytoskeletal organization were all preserved. All of these findings support the potential application of dBP−GG−SPM hydrogels in advanced in vitro cardiac models by showing that they successfully replicate important characteristics of cardiac ECM. Full article
(This article belongs to the Special Issue Recent Advances in Novel Hydrogels and Aerogels)
19 pages, 3160 KB  
Article
Microalgae-Derived Biopolymers: An Ecological Approach to Reducing Polylactic Acid Dependence
by Gabriela de O. Machado, Marília L. De Assis, Matheus F. de C. Reis, Marcela A. da S. Alexandre, Tarsila R. Arruda, Alexia S. A. de P. Pereira, Maria L. Calijuri, José M. F. de Carvalho, Angélica de C. O. Carneiro, Meirielly Jesus, Joana Santos, Taíla V. De Oliveira and Nilda de F. F. Soares
Sustainability 2026, 18(3), 1302; https://doi.org/10.3390/su18031302 - 28 Jan 2026
Viewed by 110
Abstract
The growing demand for sustainable materials and the valorization of waste streams have intensified research on wastewater biorefineries and bioplastics. Within this framework, this study aims to develop and characterize poly (lactic acid) (PLA)-based films partially substituted with microalgae biomass derived from wastewater [...] Read more.
The growing demand for sustainable materials and the valorization of waste streams have intensified research on wastewater biorefineries and bioplastics. Within this framework, this study aims to develop and characterize poly (lactic acid) (PLA)-based films partially substituted with microalgae biomass derived from wastewater treatment at different concentrations (PLA-MA: 0, 10, 20, 30, 40, and 50%). The films were produced and systematically characterized in terms of their morphological (SEM), structural (FTIR), physical (thickness, weight, swelling, and solubility), thermal (TGA), mechanical (tensile strength, elongation at break, and Young’s modulus), optical (colorimetry and UV–Vis), barrier (water vapor permeability), and biodegradability properties. FTIR analysis confirmed the successful incorporation of microalgae biomass into the polymeric matrix and indicated good compatibility at low biomass loadings, whereas higher concentrations (>20%) introduced hydrophilic functional groups associated with increasing structural incompatibility. Partial substitution of PLA with microalgae biomass significantly modulated the physical, mechanical, and optical properties of the resulting composites. Notably, biodegradability assays revealed that the PLA-MA 50% composite achieved 89% degradation within 120 days, demonstrating that microalgal biomass markedly accelerates material decomposition. Furthermore, antimicrobial tests conducted for PLA-MA 0%, 20%, and 50% confirmed the safety of wastewater-derived microalgae for incorporation into the polymer matrix. Overall, these results highlight the potential of wastewater-derived microalgae biomass as a promising and sustainable component for short-life-cycle bioplastic applications, particularly in the agricultural sector. Full article
Show Figures

Figure 1

21 pages, 4868 KB  
Article
Study on Microscopic Pore Structure and Mechanical Characteristics of Tight Sandstone Under Hydration Effect
by Li Liu, Xinfang Ma, Yushi Zou and Shicheng Zhang
Processes 2026, 14(3), 453; https://doi.org/10.3390/pr14030453 - 28 Jan 2026
Viewed by 122
Abstract
During the energy storage fracturing process of tight sandstone reservoirs, the pre-injection of fracturing fluid is used to supplement the formation energy, and the physical properties of rocks change under hydration. To reveal the damage mechanism of hydration on tight sandstone, the tight [...] Read more.
During the energy storage fracturing process of tight sandstone reservoirs, the pre-injection of fracturing fluid is used to supplement the formation energy, and the physical properties of rocks change under hydration. To reveal the damage mechanism of hydration on tight sandstone, the tight sandstone surrounding the Daqing Changyuan in the northern part of the Songliao Basin was taken as the research object. Through indoor static hydration experiments, combined with scanning electron microscopy (SEM), nuclear magnetic resonance (NMR), Nano-indentation experiments, and other methods, the evolution laws of rock micro-pore morphology, microfracture parameters, Young’s modulus, hardness, and other mechanical indicators under different hydration durations and soaking pressures were systematically explored. The research results show that the water–rock interaction of acidic slick water fracturing fluid significantly changes the mineral composition and microstructure of mudstone and sandstone, controls the development of induced fractures, and degrades the micro-mechanical properties of rocks, with significant lithological differences. In terms of mineral evolution, the soaking time causes the clay minerals in mudstone to increase by up to 12.0%, while pressure causes the carbonate minerals in sandstone to decrease by up to 23.3%. In terms of induced fracture development, the induced fracture widths of sandstone and mudstone under 30 MPa of pressure increase by 122.4% and 85.7%, respectively. The fracture width of mudstone shows a trend of “increasing first and then decreasing” with time, while that of sandstone decreases monotonically. In terms of micro-mechanical properties, after soaking for 168 h, the Young’s modulus of mudstone decreases by up to 66.9%, much higher than that of sandstone (29.5%), while the decrease in hardness of both is similar (58.3% and 59.8%); the mechanical parameters at the induced fractures are only 53.0% to 73.6% of those in the matrix area, confirming the influence of microstructural heterogeneity. This research provides a theoretical basis and data support for optimizing hydraulic fracturing parameters, evaluating wellbore stability, and predicting the long-term development performance in tight sandstone reservoirs. Full article
(This article belongs to the Topic Advanced Technology for Oil and Nature Gas Exploration)
Show Figures

Figure 1

12 pages, 923 KB  
Article
Reliability of Sternocleidomastoid Muscle Stiffness Assessment Using Shear-Wave Elastography Under a Standardized Protocol with Novice and Experienced Examiners: An Intra- and Inter-Examiner Reliability Study
by Germán Monclús-Díez, Sandra Sánchez-Jorge, Jorge Buffet-García, Mónica López-Redondo, Davinia Vicente-Campos, Umut Varol, Ricardo Ortega-Santiago and Juan Antonio Valera-Calero
Medicina 2026, 62(2), 267; https://doi.org/10.3390/medicina62020267 - 27 Jan 2026
Viewed by 156
Abstract
Background and Objectives: Sternocleidomastoid (SCM) dysfunction is commonly implicated in several musculoskeletal conditions. Accordingly, shear-wave elastography has been used to characterize SCM stiffness in asymptomatic and clinical cohorts. However, the only reproducibility study available reported limited reliability, so clinical interpretations should be [...] Read more.
Background and Objectives: Sternocleidomastoid (SCM) dysfunction is commonly implicated in several musculoskeletal conditions. Accordingly, shear-wave elastography has been used to characterize SCM stiffness in asymptomatic and clinical cohorts. However, the only reproducibility study available reported limited reliability, so clinical interpretations should be made with caution. Therefore, this study revisits key methodological aspects of that protocol to assess intra-examiner reliability and includes two examiners with different levels of expertise to evaluate inter-examiner reliability. Materials and Methods: A longitudinal observational study was conducted, recruiting twenty-five asymptomatic participants. Two examiners with different experience levels participated in this study after following structured training. For each side, images were obtained in immediate succession in the sequence experienced–novice–experienced–novice (with side order randomized), using an ROI spanning full muscle thickness, stabilizing approximately 10 s before freezing to record Young’s modulus and shear-wave speed. Results: Inter-examiner agreement was good–excellent: single-measurement ICCs were 0.77–0.86, improving to 0.79–0.87 when averaging two trials, which also reduced the standard error of measurement (SEM) and minimal detectable changes (MDCs). Between-examiner mean differences were small and nonsignificant (p ≥ 0.068). Intra-examiner reliability was excellent (ICC ≈ 0.93–0.94) with small absolute errors. Precision was high (SEM ~5–6 kPa; 0.22 m/s), and MDCs were ~15–16 kPa and ~0.60 m/s, with no trial-to-trial bias (all p ≥ 0.311). Conclusions: The revised protocol showed excellent intra-examiner repeatability and good–excellent inter-examiner reliability with minimal bias. Averaging two acquisitions improved precision, while a single operator optimized longitudinal stability. Full article
(This article belongs to the Section Neurology)
Show Figures

Figure 1

14 pages, 4282 KB  
Article
Enhancing Plant Fibre-Reinforced Polymer Composites for Biomedical Applications Using Atmospheric Pressure Plasma Treatment
by Cho-Sin Nicole Chan, Wing-Yu Chan, Sun-Pui Ng, Chi-Wai Kan, Wang-Kin Chiu and Cheuk-Him Ng
Materials 2026, 19(3), 504; https://doi.org/10.3390/ma19030504 - 27 Jan 2026
Viewed by 235
Abstract
This research investigates the effects of corona plasma treatment on the mechanical properties of jute/epoxy-reinforced composites, particularly within biomedical application contexts. Plant Fibre Composites (PFCs) are attractive for medical devices and scaffolds due to their environmental friendliness, renewability, cost-effectiveness, low density, and high [...] Read more.
This research investigates the effects of corona plasma treatment on the mechanical properties of jute/epoxy-reinforced composites, particularly within biomedical application contexts. Plant Fibre Composites (PFCs) are attractive for medical devices and scaffolds due to their environmental friendliness, renewability, cost-effectiveness, low density, and high specific strength. However, their applications are often constrained by inferior mechanical performance arising from poor bonding between the plant fibre used as the reinforcement and the synthetic resin or polymer serving as the matrix. This study addresses the challenge of improving the weak interfacial bonding between plant fibre and synthetic resin in a 2/2 twill-weave-woven jute/epoxy composite material. The surface of the jute fibre is modified for better adhesion with the epoxy resin through plasma treatment, which exposes the jute fibre to controlled plasma energy and utilises dry air (plasma only), argon (Ar) (argon gas with plasma), and nitrogen (N2) (nitrogen gas with plasma) at two different distances (25 mm and 35 mm) between the plasma nozzle and the fibre surface. In this context, “equilibrium” refers to the optimal combination of plasma power, treatment distance, and gas environment that collectively determines the degree of fibre surface modification. The results indicate that all plasma treatments improve the interlaminar shear strength in comparison to untreated samples, with treatments at 35 mm using N2 gas showing a 35.4% increase in shear strength. Conversely, plasma treatment using dry air at 25 mm yields an 18.3% increase in tensile strength and a 35.7% increase in Young’s modulus. These findings highlight the importance of achieving an appropriate equilibrium among plasma intensity, treatment distance, and fibre–plasma interaction conditions to maximise the effectiveness of plasma treatment for jute/epoxy composites. This research advances sustainable innovation in biomedical materials, underscoring the potential for improved mechanical properties in environmentally friendly fibre-reinforced composites. Full article
(This article belongs to the Topic Advanced Composite Materials)
Show Figures

Graphical abstract

21 pages, 15015 KB  
Article
Irf5 Knockdown in Bone Marrow-Derived Macrophages Favors M1-to-M2 Transition
by Elizaveta Petrova, Ekaterina Sherstyukova, Snezhanna Kandrashina, Vladimir Inozemtsev, Alexandra Tsitrina, Viktoriya Fedorova, Mikhail Shvedov, Artem Kuzovlev, Maxim Dokukin, Yuri Kotelevtsev, Arsen Mikaelyan and Viktoria Sergunova
Cells 2026, 15(3), 238; https://doi.org/10.3390/cells15030238 - 26 Jan 2026
Viewed by 213
Abstract
The transcription factor IRF5 maintains macrophages in the pro-inflammatory M1 state. We assessed the effects of siRNA-mediated knockdown of Irf5 on murine bone marrow-derived macrophages (BMDM) in M0, M1 and M2 states. Knockdown of Irf5 in M1 macrophages made them phenotypically similar to [...] Read more.
The transcription factor IRF5 maintains macrophages in the pro-inflammatory M1 state. We assessed the effects of siRNA-mediated knockdown of Irf5 on murine bone marrow-derived macrophages (BMDM) in M0, M1 and M2 states. Knockdown of Irf5 in M1 macrophages made them phenotypically similar to M2 macrophages, which was reflected in the decreased expression of the M1 marker iNOS, increased expression of the M2 marker CD206, increased mitochondrial content and respective morphological changes. Interestingly, the M2 phenotype was also affected by the reduction in Irf5. Using atomic force microscopy (AFM), we showed that Irf5 knockdown increases plasma membrane roughness, particularly in M2 macrophages. AFM-based stiffness measurements indicated that Irf5 knockdown altered macrophage elasticity, potentially influencing their functional behavior. Our data suggest a complex role of IRF5 in macrophage polarization, supporting its dual role as a transcriptional activator and repressor both in M1 and M2 states, and highlight the importance of IRF5 in the maintenance of metabolic and functional properties of macrophages. Full article
(This article belongs to the Special Issue Advances in Scanning Probe Microscopy in Cell Biology)
Show Figures

Figure 1

24 pages, 5920 KB  
Article
Mechanical, Fatigue, and Thermal Characterization of ASA, Nylon 12, PC, and PC-ABS Manufactured by Fused Filament Fabrication (FFF)
by Ângela Rodrigues, Ricardo Branco, Margarida Franco, Rui Silva, Cândida Malça and Rui F. Martins
Polymers 2026, 18(2), 302; https://doi.org/10.3390/polym18020302 - 22 Jan 2026
Viewed by 188
Abstract
Additive manufacturing has been widely adopted in industry as an alternative to traditional manufacturing processes for complex component production. In fact, a diverse range of materials, particularly polymers, can be processed using 3D printing for biomechanical applications (e.g., prosthetics). However, in-depth evaluation of [...] Read more.
Additive manufacturing has been widely adopted in industry as an alternative to traditional manufacturing processes for complex component production. In fact, a diverse range of materials, particularly polymers, can be processed using 3D printing for biomechanical applications (e.g., prosthetics). However, in-depth evaluation of these materials is necessary to determine their suitability for demanding applications, such as those involving cyclic loading. Following previous work that studied Polylactic Acid (PLA) and Polyethylene Terephthalate Glycol-modified (PETG) under experimental fatigue testing, this study examines the fatigue behaviour of other current 3D-printed polymeric materials, namely Acrylonitrile Styrene Acrylate (ASA), Polycarbonate (PC), Polyamide 12 (Nylon 12), and Polycarbonate–Acrylonitrile Butadiene Styrene (blend) (PC-ABS), for which fatigue data remain limited or even non-existent. The findings revealed performance differences on Tensile Strength (σR), Young’s Modulus and Ultimate Strain among tensile specimens made from these materials and characterised S-N curves for both high-cycle (HCF) and low-cycle (LCF) fatigue regimes at room temperature, with a tensile load ratio (R = 0.05). These results establish relationships among fatigue limit and quasi-static mechanical properties, namely 25% × σr for ASA (8 MPa), 7% × σr for PC (3.6 MPa), 17% × σr for Nylon 12 (7.4 MPa), and 15% × σr for PC-ABS (4.7 MPa), as well as between mechanical properties and preliminary potential biomechanical applications. Main conclusions were further supported by micro-computed tomography (micro-CT), which revealed levels of porosity in between 4% and 11%, thermogravimetric analysis (TGA), differential scanning calorimetry (DSC), and Fourier transform infrared spectroscopy (FTIR). Full article
(This article belongs to the Special Issue Research Progress on Mechanical Behavior of Polymers, 2nd Edition)
Show Figures

Figure 1

22 pages, 5760 KB  
Article
Polylactide/Polycaprolactone Nanofiber Scaffold Enhances Primary Cortical Neuron Growth
by Valeriia S. Shtol, Anastasiia D. Tsareva, Kirill A. Arsentiev, Sophia P. Konovalova, Suanda A. Tlimahova, Dmitry V. Klinov, Dimitri A. Ivanov and Pavel E. Musienko
Polymers 2026, 18(2), 294; https://doi.org/10.3390/polym18020294 - 21 Jan 2026
Viewed by 232
Abstract
Spinal cord injury (SCI) remains a major clinical challenge due to the limited regenerative capacity of the central nervous system (CNS). Effective scaffolds for repair must combine mechanical compatibility with host tissue, controlled degradation matching the time course of regeneration, and microarchitectural features [...] Read more.
Spinal cord injury (SCI) remains a major clinical challenge due to the limited regenerative capacity of the central nervous system (CNS). Effective scaffolds for repair must combine mechanical compatibility with host tissue, controlled degradation matching the time course of regeneration, and microarchitectural features that promote neuronal survival. Electrospun nanofibrous scaffolds mimic the structural and mechanical features of the extracellular matrix, providing critical cues for neuronal adhesion and glial modulation in neural regeneration. Here, we fabricated biodegradable poly(lactic acid)/poly(ε-caprolactone) (PLA/PCL) scaffolds using a dichloromethane/tetrahydrofuran (DCM/THF) solvent system to induce surface porosity via solvent-driven phase separation. The DCM/THF solvent system formulation produced nanofibers with porous surfaces and increased area for cell interaction. PLA/PCL scaffolds showed a Young’s modulus of ~26 MPa and sustained degradation, particularly under oxidative conditions simulating the post-injury microenvironment. In vitro, these scaffolds enhanced neuronal density up to fivefold and maintained ~80% viability over 10 days in primary neuron–glia cultures. Morphometric analysis revealed that DCM/THF-based scaffolds supported astrocytes with preserved process complexity and reduced circularity, indicative of a less reactive morphology. In contrast, scaffolds fabricated with 1,1,1,3,3,3-hexafluoro-2-propanol (HFIP) displayed reduced bioactivity and promoted morphological features associated with astrocyte reactivity, including cell rounding and process retraction. These findings demonstrate that solvent-driven control of scaffold microarchitecture is a powerful strategy to enhance neuronal integration and modulate glial morphology, positioning DCM/THF-processed PLA/PCL scaffolds as a promising platform for CNS tissue engineering. Full article
Show Figures

Graphical abstract

16 pages, 3370 KB  
Article
Numerical Investigation of Dynamic Wrinkling Behaviors in Stiff-Film/PDMS-Substrate Structure
by Haohao Bi, Wenjie Li, Liuyun Wang and Bo Wang
Polymers 2026, 18(2), 292; https://doi.org/10.3390/polym18020292 - 21 Jan 2026
Viewed by 139
Abstract
Thin film/substrate structures based on the principle of buckling mechanics exhibit both excellent stretchability and mechanical stability, and they have been recognized as a critical configuration in the design of flexible electronic devices. During application, flexible electronic devices are usually subjected to complex [...] Read more.
Thin film/substrate structures based on the principle of buckling mechanics exhibit both excellent stretchability and mechanical stability, and they have been recognized as a critical configuration in the design of flexible electronic devices. During application, flexible electronic devices are usually subjected to complex dynamic environments. Therefore, it is of great significance to investigate the dynamic behavior of thin film/substrate structures for the design of flexible electronic devices. The bending energy, membrane energy, and kinetic energy of the thin film and the elastic energy of the substrate were calculated. On this basis, the dynamic equation of the thin film/substrate structure with a checkerboard wrinkled pattern was derived by applying the principle of minimum energy combined with the Lagrangian function. Numerical simulations were conducted on the system to analyze the effect of pre-strain and the Young’s modulus of substrate on the system’s potential energy function, simulate the temporal response of the system’s dynamic behavior, and investigate the influences of pre-strain and the Young’s modulus of substrate on system stability and the chaos critical value. Theoretical support is expected to be provided for the design of two-dimensional (2D) thin film/substrate structures through this research. Full article
Show Figures

Graphical abstract

12 pages, 3165 KB  
Article
Influencing Factors of the Bending Properties of Resin-Treated Flattened Bamboo and Its Decorative Characteristics
by Penghui Chen, Jianglong Wu, Yingyue Yu, Hong Chen and Wei Xu
Coatings 2026, 16(1), 139; https://doi.org/10.3390/coatings16010139 - 21 Jan 2026
Viewed by 184
Abstract
Cracking frequently occurs during the pressing process of flattened bamboo, significantly reducing yield rates. To address the lack of effective strategies for the mechanical reutilisation of cracked flattened bamboo, an epoxy resin-based treatment approach was proposed to improve both mechanical and decorative performance, [...] Read more.
Cracking frequently occurs during the pressing process of flattened bamboo, significantly reducing yield rates. To address the lack of effective strategies for the mechanical reutilisation of cracked flattened bamboo, an epoxy resin-based treatment approach was proposed to improve both mechanical and decorative performance, inspired by resin-based decorative composites. Crack filling and full-cell impregnation methods were then systematically evaluated. This work is the first to systematically compare crack filling and full-cell impregnation strategies across different bamboo radial positions, with a simultaneous evaluation of mechanical performance and decorative properties. The results show that bamboo radial position has a pronounced influence on bending performance. The outer layer exhibits markedly higher bending strength and Young’s modulus than the inner layer, with mean differences of approximately 134 MPa and 13.3 GPa, respectively. Crack filling results in a measurable improvement in the bending performance of cracked flattened bamboo, whereas full-cell impregnation leads to a reduction in the bending properties of the outer layer. These results suggest that crack filling represents a more mechanically efficient and cost-effective treatment strategy. Resin treatment increases surface colour variation but minimally impacts yellowing resistance performance. These findings demonstrate that resin-treated flattened bamboo with cracks supports the resource utilisation of waste bamboo and shows potential for decorative and interior material applications. Full article
(This article belongs to the Section Environmental Aspects in Colloid and Interface Science)
Show Figures

Figure 1

21 pages, 5844 KB  
Article
Design and Material Characterisation of Additively Manufactured Polymer Scaffolds for Medical Devices
by Aidan Pereira, Amirpasha Moetazedian, Martin J. Taylor, Frances E. Longbottom, Heba Ghazal, Jie Han and Bin Zhang
J. Manuf. Mater. Process. 2026, 10(1), 39; https://doi.org/10.3390/jmmp10010039 - 21 Jan 2026
Viewed by 276
Abstract
Additive manufacturing has been adopted in several industries including the medical field to develop new personalised medical implants including tissue engineering scaffolds. Custom patient-specific scaffolds can be additively manufactured to speed up the wound healing process. The aim of this study was to [...] Read more.
Additive manufacturing has been adopted in several industries including the medical field to develop new personalised medical implants including tissue engineering scaffolds. Custom patient-specific scaffolds can be additively manufactured to speed up the wound healing process. The aim of this study was to design, fabricate, and evaluate a range of materials and scaffold architectures for 3D-printed wound dressings intended for soft tissue applications, such as skin repair. Multiple biocompatible polymers, including polylactic acid (PLA), polyvinyl alcohol (PVA), butenediol vinyl alcohol copolymer (BVOH), and polycaprolactone (PCL), were fabricated using a material extrusion additive manufacturing technique. Eight scaffolds, five with circular designs (knee meniscus angled (KMA), knee meniscus stacked (KMS), circle dense centre (CDC), circle dense edge (CDE), and circle no gradient (CNG)), and three square scaffolds (square dense centre (SDC), square dense edge (SDE), and square no gradient (SNG), with varying pore widths and gradient distributions) were designed using an open-source custom toolpath generator to enable precise control over scaffold architecture. An in vitro degradation study in phosphate-buffered saline demonstrated that PLA exhibited the greatest material stability, indicating minimal degradation under the tested conditions. In comparison, PVA showed improved performance relative to BVOH, as it was capable of absorbing a greater volume of exudate fluid and remained structurally intact for a longer duration, requiring up to 60 min to fully dissolve. Tensile testing of PLA scaffolds further revealed that designs with increased porosity towards the centre exhibited superior mechanical performance. The strongest scaffold design exhibited a Young’s modulus of 1060.67 ± 16.22 MPa and withstood a maximum tensile stress of 21.89 ± 0.81 MPa before fracture, while maintaining a porosity of approximately 52.37%. This demonstrates a favourable balance between mechanical strength and porosity that mimics key properties of engineered tissues such as the meniscus. Overall, these findings highlight the potential of 3D-printed, patient-specific scaffolds to enhance the effectiveness and customisation of tissue engineering treatments, such as meniscus repair, offering a promising approach for next-generation regenerative applications. Full article
Show Figures

Figure 1

6 pages, 1427 KB  
Interesting Images
Prediction of Pancreatic Islet Yield After Pancreatectomy Using Optical Coherence Elastography
by Ekaterina Gubarkova, Ekaterina Vasilchikova, Arseniy Potapov, Denis Kuchin, Polina Ermakova, Julia Tselousova, Anastasia Anina, Liya Lugovaya, Marina Sirotkina, Natalia Gladkova, Aleksandra Kashina and Vladimir Zagainov
Diagnostics 2026, 16(2), 329; https://doi.org/10.3390/diagnostics16020329 - 20 Jan 2026
Viewed by 164
Abstract
Intraoperative assessment of pancreatic quality, followed by sampling for the potential isolation of Langerhans islets for subsequent autotransplantation, is currently a key component of post-total pancreatectomy diabetes mellitus treatment. The aim of this study was to quantitatively evaluate pancreatic parenchymal stiffness using optical [...] Read more.
Intraoperative assessment of pancreatic quality, followed by sampling for the potential isolation of Langerhans islets for subsequent autotransplantation, is currently a key component of post-total pancreatectomy diabetes mellitus treatment. The aim of this study was to quantitatively evaluate pancreatic parenchymal stiffness using optical coherence elastography (OCE) imaging, and to investigate the utility of the OCE method as a potential indicator of islet yield after pancreatectomy. A total of 41 freshly excised human pancreatic specimens, containing pancreatic ductal adenocarcinoma (PDAC) and surrounding non-tumorous tissues post-pancreatectomy, were studied. In this research, the stiffness (Young’s modulus, kPa) and its color-coded 2D distribution were calculated for various pancreatic samples using compression OCE. Stiffness values were compared between intact pancreatic parenchyma (islet-poor and islet-rich) and pancreatic lesion groups (parenchymal fibrosis and/or PDAC invasion). The data were confirmed by histological analysis. In addition, the measured stiffness values for various morphological groups of the pancreatic samples were compared with the number of isolated islets obtained from pancreatic samples after collagenase treatment. The study demonstrated that OCE can effectively distinguish areas of pancreatic lesions and identify intact pancreatic parenchyma containing Langerhans islets. A highly significant increase in mean stiffness (p < 0.0001) was observed in postoperative pancreatic samples exhibiting signs of parenchymal fibrosis or PDAC invasion compared to unaffected, intact pancreatic parenchyma. For the first time, a relationship between stiffness values and the number of isolated pancreatic islets was demonstrated; in particular, the number of isolated islets significantly decreased (≤110 pcs/g) in samples exhibiting stiffness values above 150 kPa and below 75 kPa. The optimal stiffness range for the efficient isolation of islets (≥120 pcs/g) from pancreatic tissue was identified as 75–150 kPa. The study introduces a novel approach for rapid and objective intraoperative assessment of pancreatic tissue quality using real-time OCE data. This technique facilitates the identification of regions affected by pancreatic lesions and supports the selection of intact pancreatic parenchyma, potentially enhancing the accuracy of Langerhans islet yield predictions during surgical resection. Full article
(This article belongs to the Section Biomedical Optics)
Show Figures

Figure 1

Back to TopTop