Numerical Investigation of Dynamic Wrinkling Behaviors in Stiff-Film/PDMS-Substrate Structure
Abstract
1. Introduction
2. Materials and Methods
3. Results and Discussion
3.1. Comparison with Experiment
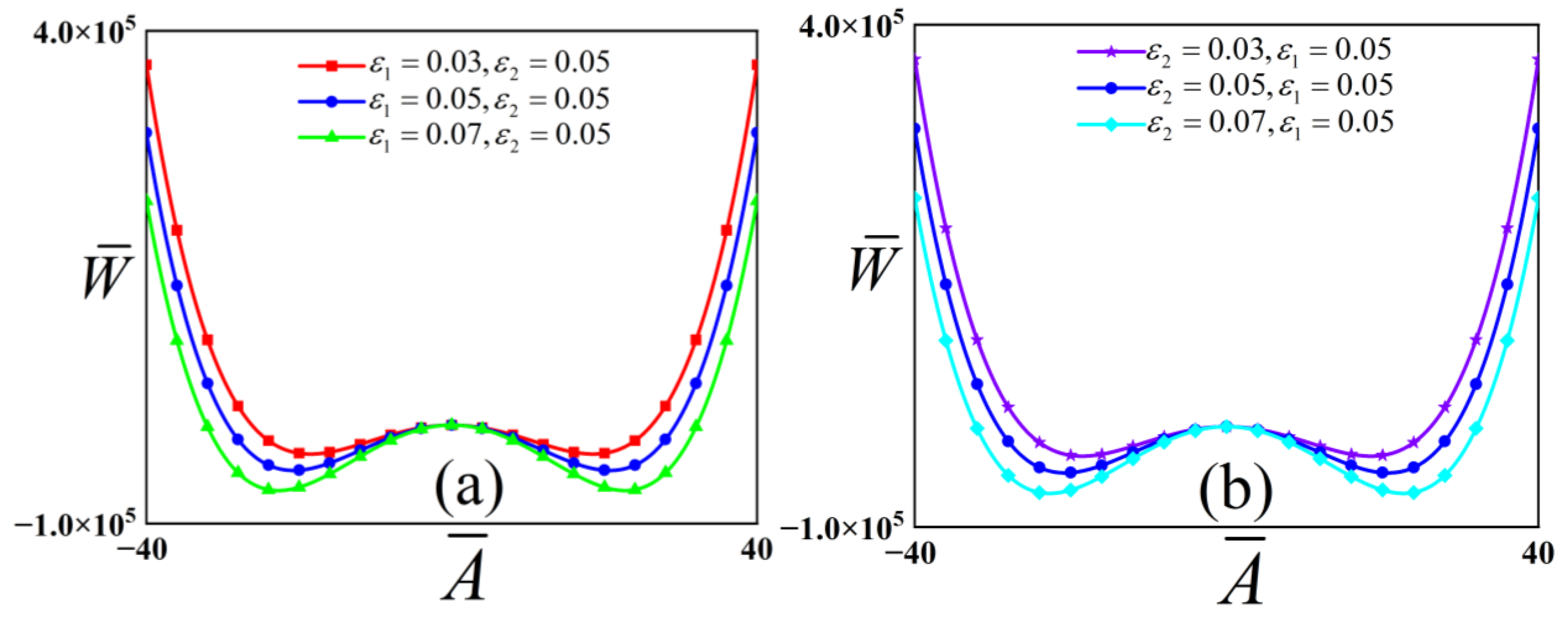
3.2. The Effect of the Pre-Strain
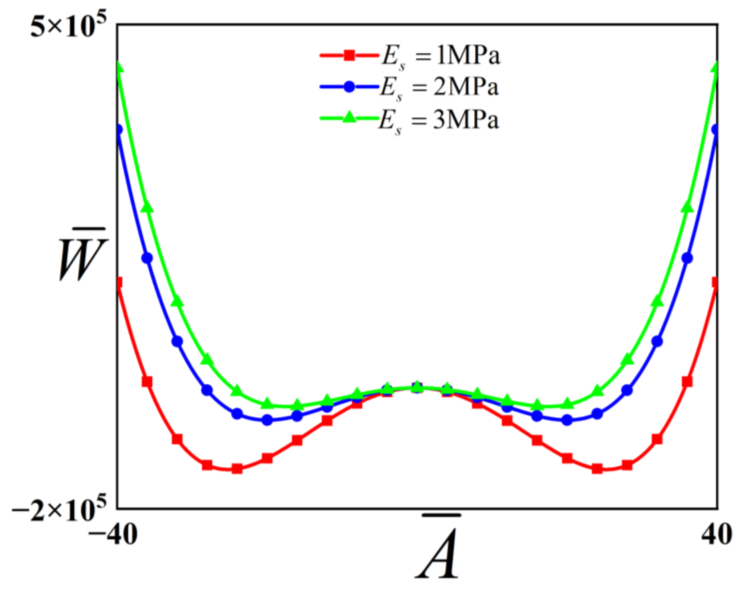
3.3. The Effect of the Young’s Moduli of the Substrate
4. Conclusions
- The pre-strain and its influence on the potential energy function exhibit symmetry; as the pre-strain increases, the distance between the two stable equilibrium points of the potential energy function increases, and the inter-well distance and potential barrier height also increase in accordance.
- As the Young’s modulus of the substrate increases, the distance between the two stable equilibrium points of the potential energy function decreases, and the inter-well distance and potential barrier height also decrease accordingly.
- When the Young’s modulus of the substrate is small, the energy cannot overcome the potential barrier, and the system undergoes intra-well vibration; when the Young’s modulus of the substrate is large, the energy can overcome the potential barrier, and the system will exhibit inter-well vibration.
- Under the parameters adopted in this study, the stability of the system is affected by the selection of the Young’s modulus of the substrate and the system pre-strain. For instance, the system may transition from period-1 vibration to chaotic vibration.
Author Contributions
Funding
Institutional Review Board Statement
Data Availability Statement
Conflicts of Interest
Appendix A
| Nomenclature | |
|---|---|
| The thickness of the film | |
| The Poisson’s ratios of the film | |
| The Poisson’s ratios of the substrate | |
| The equivalent Young’s modulus of the film | |
| The equivalent Young’s modulus of the substrate | |
| The out-of-plane displacement function | |
| The principal strain directions of the biaxial load | |
| The principal strain directions of the biaxial load | |
| Time | |
| The time-varying wrinkle amplitude of this structure | |
| The characteristic wave number along the directions | |
| The characteristic wave number along the directions | |
| The wave number at steady state | |
| The bending energy density of the film | |
| The bending energy of the film | |
| The shear stress in different directions | |
| The membrane forces to the membrane strains | |
| Kronecker Delta | |
| The strain tensor of the film | |
| The pre-strain of the thin film in each direction | |
| The in-plane displacement of the film | |
| The membrane energy density of the film | |
| The membrane energy of the film | |
| The abbreviation of | |
| The strain energy density of the substrate | |
| The stress of the substrate | |
| The strain energy of the substrate | |
| The total energy | |
| The first derivative of | |
| The second derivative of | |
| The total kinetic energy of the film/substrate structure | |
| The density of the film | |
| The work performed by external forces | |
| The damping term | |
| The external excitation | |
| The amplitude of the external excitation | |
| The frequency of the external excitation | |
| The dimensionless frequency of external excitation | |
| The dimensionless time | |
| The dimensionless damping coefficient | |
| The potential energy function of the dimensionless System |
References
- Rogers, J.A.; Someya, T.; Huang, Y. Materials and Mechanics for Stretchable Electronics. Science 2010, 327, 1603–1607. [Google Scholar] [CrossRef] [PubMed]
- Cao, Y.; Hutchinson, J.W. From wrinkles to creases in elastomers: The instability and imperfection-sensitivity of wrinkling. Proc. R. Soc. A Math. Phys. Eng. Sci. 2012, 468, 94–115. [Google Scholar] [CrossRef]
- Holland, M.A.; Li, B.; Feng, X.Q.; Kuhl, E. Instabilities of soft films on compliant substrates. J. Mech. Phys. Solids 2017, 98, 350–365. [Google Scholar] [CrossRef] [PubMed]
- Huang, Z.Y.; Hong, W.; Suo, Z. Nonlinear analyses of wrinkles in a film bonded to a compliant substrate. J. Mech. Phys. Solids 2005, 53, 2101–2118. [Google Scholar] [CrossRef]
- Li, H.; Cai, S.; Zhang, Y.; Hwang, K.-C.; Ma, Y.; Feng, X. Local wrinkling versus global buckling of stiff film bonded to finite-thick substrate. Extrem. Mech. Lett. 2019, 29, 100453. [Google Scholar] [CrossRef]
- Zang, J.; Zhao, X.; Cao, Y.; Hutchinson, J.W. Localized ridge wrinkling of stiff films on compliant substrates. J. Mech. Phys. Solids 2012, 60, 1265–1279. [Google Scholar] [CrossRef]
- Pan, K.; Ni, Y.; He, L.; Huang, R. Nonlinear analysis of compressed elastic thin films on elastic substrates: From wrinkling to buckle-delamination. Int. J. Solids Struct. 2014, 51, 3715–3726. [Google Scholar] [CrossRef]
- Im, S.H.; Huang, R. Wrinkle patterns of anisotropic crystal films on viscoelastic substrates. J. Mech. Phys. Solids 2008, 56, 3315–3330. [Google Scholar] [CrossRef]
- Jin, L.; Auguste, A.; Hayward, R.C.; Suo, Z. Bifurcation Diagrams for the Formation of Wrinkles or Creases in Soft Bilayers. J. Appl. Mech. 2015, 82, 061008. [Google Scholar] [CrossRef]
- Song, J.; Jiang, H.; Choi, W.M.; Khang, D.Y.; Huang, Y.; Rogers, J.A. An analytical study of two-dimensional buckling of thin films on compliant substrates. Appl. Phys. 2008, 103, 014303. [Google Scholar] [CrossRef]
- Choi, W.M.; Song, J.; Khang, D.-Y.; Jiang, H.; Huang, Y.Y.; Rogers, J.A. Biaxially Stretchable “Wavy” Silicon Nanomembranes. Nano Lett. 2007, 7, 1655–1663. [Google Scholar] [CrossRef]
- Pellegrino, L.; Khodaparast, S.; Cabral, J. Orthogonal wave superposition of wrinkled, plasma-oxidised polydimethylsiloxane surfaces. Soft Matter 2019, 16, 595–603. [Google Scholar]
- Audoly, B.; Boudaoud, A. Buckling of a stiff film bound to a compliant substrate—Part I:: Formulation, linear stability of cylindrical patterns, secondary bifurcations. J. Mech. Phys. Solids 2008, 56, 2401–2421. [Google Scholar] [CrossRef]
- Huang, X.; Li, B.; Hong, W.; Cao, Y.-P.; Feng, X.-Q. Effects of tension–compression asymmetry on the surface wrinkling of film–substrate systems. J. Mech. Phys. Solids 2016, 94, 88–104. [Google Scholar] [CrossRef]
- Peterson, R.L.; Hobart, K.D.; Kub, F.J.; Yin, H.; Sturm, J.C. Reduced buckling in one dimension versus two dimensions of a compressively strained film on a compliant substrate. Appl. Phys. Lett. 2006, 88, 201913. [Google Scholar] [CrossRef]
- Cutolo, A.; Pagliarulo, V.; Merola, F.; Coppola, S.; Ferraro, P.; Fraldi, M. Wrinkling prediction, formation and evolution in thin films adhering on polymeric substrata. Mater. Des. 2020, 187, 108314. [Google Scholar] [CrossRef]
- Xu, F.; Potier-Ferry, M.; Belouettar, S.; Cong, Y. 3D finite element modeling for instabilities in thin films on soft substrates. Int. J. Solids Struct. 2014, 51, 3619–3632. [Google Scholar] [CrossRef]
- Fu, Y.B.; Ciarletta, P. Buckling of a coated elastic half-space when the coating and substrate have similar material properties. Proc. R. Soc. A Math. Phys. Eng. Sci. 2015, 471, 20140979. [Google Scholar]
- Nikravesh, S.; Ryu, D.; Shen, Y.-L. Direct numerical simulation of buckling instability of thin films on a compliant substrate. Adv. Mech. Eng. 2019, 11, 168781401984047. [Google Scholar] [CrossRef]
- Song, J.; Jiang, H.; Liu, Z.J.; Khang, D.Y.; Huang, Y.; Rogers, J.A.; Lu, C.; Koh, C.G. Buckling of a stiff thin film on a compliant substrate in large deformation. Int. J. Solids Struct. 2008, 45, 3107–3121. [Google Scholar] [CrossRef]
- Audoly, B.; Boudaoud, A. Buckling of a stiff film bound to a compliant substrate—Part II: A global scenario for the formation of herringbone pattern. J. Mech. Phys. Solids 2008, 56, 2422–2443. [Google Scholar] [CrossRef]
- Cai, S.; Breid, D.; Crosby, A.J.; Suo, Z.; Hutchinson, J.W. Periodic patterns and energy states of buckled films on compliant substrates. J. Mech. Phys. Solids 2011, 59, 1094–1114. [Google Scholar] [CrossRef]
- Chen, X.; Hutchinson, J.W. Herringbone buckling patterns of compressed thin films on compliant substrates. J. Appl. Mech. 2004, 71, 597–603. [Google Scholar] [CrossRef]
- Xu, F.; Potier-Ferry, M. A multi-scale modeling framework for instabilities of film/substrate systems. J. Mech. Phys. Solids 2016, 86, 150–172. [Google Scholar]
- Song, J. Herringbone buckling patterns of anisotropic thin films on elastomeric substrates. Appl. Phys. Lett. 2010, 96, 051913. [Google Scholar] [CrossRef]
- Ou, Z.; Yao, X.; Zhang, X.; Fan, X. Dynamic stability of flexible electronic structures under step loads. Eur. J. Mech.—A/Solids 2016, 58, 247–255. [Google Scholar] [CrossRef]
- Wang, B.; Bi, H.; Ouyang, H.; Wang, Y.; Deng, Z. Dynamic behaviour of piezoelectric nanoribbons with wavy configurations on an elastomeric substrate. Int. J. Mech. Sci. 2020, 182, 105787. [Google Scholar] [CrossRef]
- Bi, H.; Wang, B.; Ouyang, H.; Shi, Y.; Deng, Z. Stochastic response of a piezoelectric ribbon-substrate structure under Gaussian white noise. Acta Mech. 2021, 232, 3687–3700. [Google Scholar] [CrossRef]
- Zhou, J.; Hu, K.; Lin, H.; Dong, Z.; Zhao, T.; Li, X.; Meng, G.; Zhang, W. Dynamic wrinkling instability of elastic films on viscoelastic substrates. J. Appl. Mech. 2024, 91, 081011. [Google Scholar] [CrossRef]
- Dong, Z.; Hu, K.; Lin, H.; Deng, X.; Xin, Y.; Meng, G.; Zhang, W. Dynamic behaviors of delaminated nanofilms partly bonded on substrates with sub-nanoscale van der Waals dynamic boundaries. J. Appl. Mech. 2024, 91, 051009. [Google Scholar] [CrossRef]
- Zhang, X.-Q.; Ou, Z.-C. Analysis on nonlinear dynamic buckling of flexible electronic components. Explos. Shock Waves 2012, 32, 362–367. [Google Scholar]
- Bi, H.; Wang, B.; Huang, Y.; Zhou, J.; Deng, Z. Nonlinear dynamic performance of buckled piezoelectric ribbon-substrate energy harvester. Compos. Struct. 2021, 261, 113570. [Google Scholar] [CrossRef]
- Ma, J.; Liu, F.; Nie, M.; Wang, J. Nonlinear free vibration of a beam on Winkler foundation with consideration of soil mass motion of finite depth. Nonlinear Dyn. 2018, 92, 429–441. [Google Scholar] [CrossRef]
- Wang, Y.; Feng, X.; Lu, B.; Wang, G. Surface effects on the mechanical behavior of buckled thin film. J. Appl. Mech. 2013, 80, 021002. [Google Scholar] [CrossRef]
- Wang, B.; Bi, H.; Ouyang, H.; Wang, Y.; Shi, Y.; Deng, Z. Nonlinear dynamic analysis for a corrugated thin film on a pre-strained finite-thickness bi-layer substrate. Appl. Math. Model. 2021, 98, 652–664. [Google Scholar] [CrossRef]
- Bi, H.; Wang, B.; Su, C.; Zhang, B.; Ouyang, H.; Huang, Y.; Deng, Z. Buckling behaviour of a stiff thin film on a finite-thickness bi-layer substrate. Int. J. Solids Struct. 2021, 219–220, 177–187. [Google Scholar] [CrossRef]








Disclaimer/Publisher’s Note: The statements, opinions and data contained in all publications are solely those of the individual author(s) and contributor(s) and not of MDPI and/or the editor(s). MDPI and/or the editor(s) disclaim responsibility for any injury to people or property resulting from any ideas, methods, instructions or products referred to in the content. |
© 2026 by the authors. Licensee MDPI, Basel, Switzerland. This article is an open access article distributed under the terms and conditions of the Creative Commons Attribution (CC BY) license.
Share and Cite
Bi, H.; Li, W.; Wang, L.; Wang, B. Numerical Investigation of Dynamic Wrinkling Behaviors in Stiff-Film/PDMS-Substrate Structure. Polymers 2026, 18, 292. https://doi.org/10.3390/polym18020292
Bi H, Li W, Wang L, Wang B. Numerical Investigation of Dynamic Wrinkling Behaviors in Stiff-Film/PDMS-Substrate Structure. Polymers. 2026; 18(2):292. https://doi.org/10.3390/polym18020292
Chicago/Turabian StyleBi, Haohao, Wenjie Li, Liuyun Wang, and Bo Wang. 2026. "Numerical Investigation of Dynamic Wrinkling Behaviors in Stiff-Film/PDMS-Substrate Structure" Polymers 18, no. 2: 292. https://doi.org/10.3390/polym18020292
APA StyleBi, H., Li, W., Wang, L., & Wang, B. (2026). Numerical Investigation of Dynamic Wrinkling Behaviors in Stiff-Film/PDMS-Substrate Structure. Polymers, 18(2), 292. https://doi.org/10.3390/polym18020292

