Microalgae-Derived Biopolymers: An Ecological Approach to Reducing Polylactic Acid Dependence
Abstract
1. Introduction
2. Materials and Methods
2.1. Materials
2.2. Film Preparation
2.3. Film Characterization
2.3.1. Fourier Transform Infrared Spectroscopy (FTIR)
2.3.2. Grammage
2.3.3. Scanning Electron Microscope (SEM)
2.3.4. Thickness and Mechanical Properties
2.3.5. Color Analysis
2.3.6. Thermogravimetric Analysis (TGA)
2.3.7. Water Vapor Permeability (WVP)
2.3.8. Swelling Index (SI) and Film Solubility (FS)
2.3.9. Microbiological Quality of Microalgae Biomass
2.3.10. Antimicrobial Activity Analysis In Vitro
2.3.11. Biodegradability
2.4. Statistical Analysis
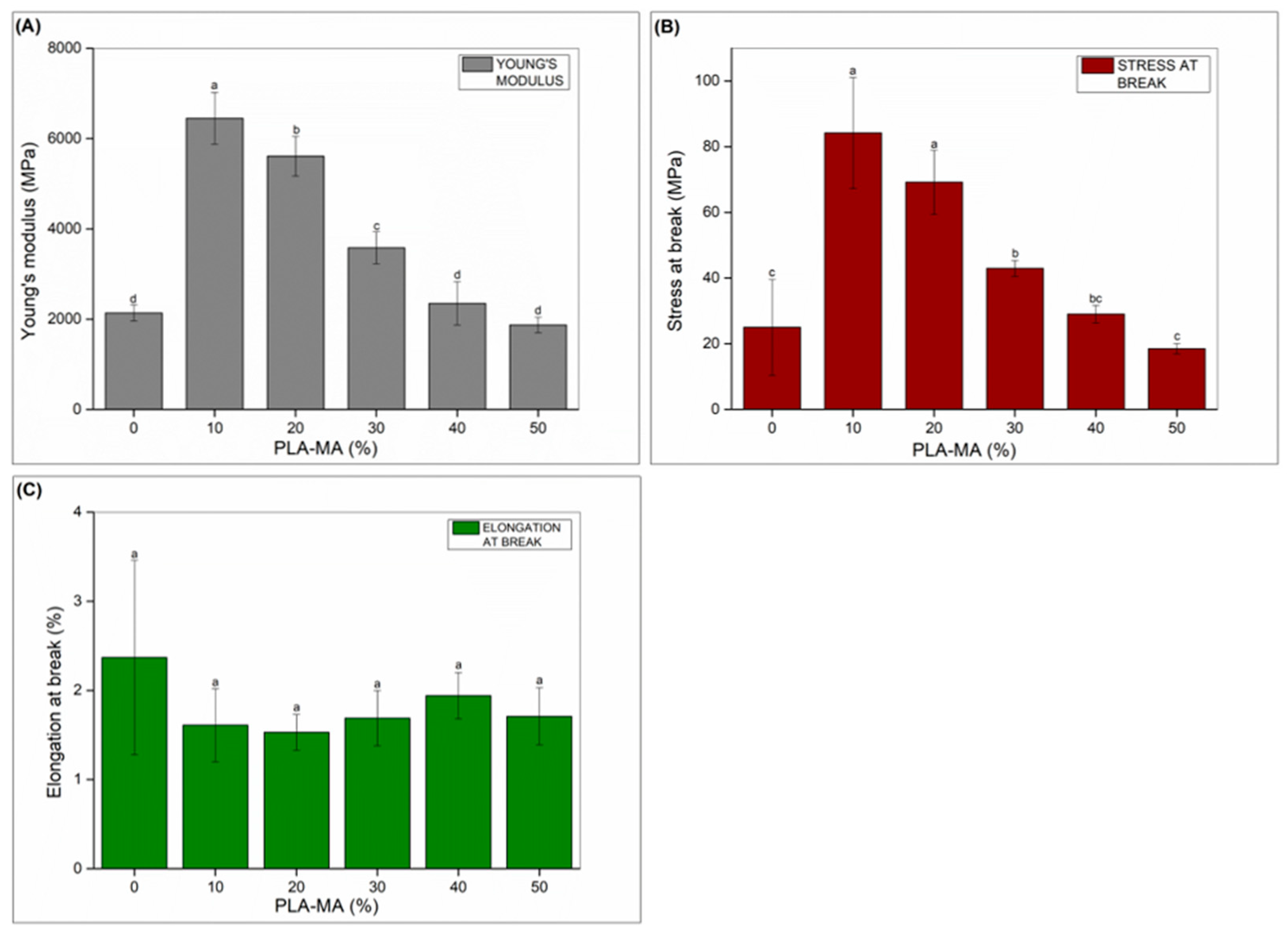
3. Results and Discussion
4. Conclusions
Author Contributions
Funding
Institutional Review Board Statement
Data Availability Statement
Acknowledgments
Conflicts of Interest
References
- Plastics Europe. Plastics—The Facts 2024: An Analysis of European Plastics Production, Demand and Waste Data; Plastics Europe AISBL: Brussels, Belgium, 2024; Available online: https://plasticseurope.org (accessed on 1 August 2025).
- Li, B.; Zhu, X.; Xu, C.; Zhang, X.; Fan, Y.; Yu, J. Sustainable Strategy for Lignin Etherification and Its Promotion of Anti-UV Aging PLA Biocomposite. Chem. Eng. J. 2024, 500, 156746. [Google Scholar] [CrossRef]
- Marín, A.; Feijóo, P.; Carbonetto, B.; González-Torres, P.; Tena-Medialdea, J.; García-March, J.R.; Gámez-Pérez, J.; Cabedo, L. Long-Term Monitoring of Biofilm Succession Unveils Differences between Biodegradable and Conventional Plastic Materials. Mar. Pollut. Bull. 2025, 214, 117820. [Google Scholar] [CrossRef]
- Trinh, B.M.; Chang, B.P.; Mekonnen, T.H. The Barrier Properties of Sustainable Multiphase and Multicomponent Packaging Materials: A Review. Prog. Mater. Sci. 2023, 133, 101071. [Google Scholar] [CrossRef]
- Zhao, X.; Pelfrey, A.; Pellicciotti, A.; Koelling, K.; Vodovotz, Y. Synergistic Effects of Chain Extenders and Natural Rubber on PLA Thermal, Rheological, Mechanical and Barrier Properties. Polymer 2023, 269, 125712. [Google Scholar] [CrossRef]
- Ponnusamy, P.G.; Mani, S. Material and Environmental Properties of Natural Polymers and Their Composites for Packaging Applications—A Review. Polymers 2022, 14, 4033. [Google Scholar] [CrossRef]
- Shelly, D.; Singhal, V.; Jaidka, S.; Banea, M.D.; Lee, S.-Y.; Park, S.-J. Mechanical Performance of Bio-Based Fiber Reinforced Polymer Composites: A Review. Polym. Compos. 2025, 46, S9–S43. [Google Scholar] [CrossRef]
- Shahdan, D.; Rosli, N.A.; Chen, R.S.; Ahmad, S.; Gan, S. Strategies for Strengthening Toughened Poly(Lactic Acid) Blend via Natural Reinforcement with Enhanced Biodegradability: A Review. Int. J. Biol. Macromol. 2023, 251, 126214. [Google Scholar] [CrossRef]
- He, L.; Song, F.; Guo, Z.-W.; Zhao, X.; Yang, N.; Wang, X.-L.; Wang, Y.-Z. Toward Strong and Super-Toughened PLA via Incorporating a Novel Fully Bio-Based Copolyester Containing Cyclic Sugar. Compos. Part B Eng. 2021, 207, 108558. [Google Scholar] [CrossRef]
- Lazaro-Hdez, C.; Gomez-Carturla, J.; Arrieta, M.P.; Boronat, T.; Ivorra-Martinez, J. Enhancing Polylactic Acid Films with Polyethylene Glycol-Based Plasticizers: A Reactive Extrusion Approach. Macromol. Rapid Commun. 2025, 46, 2401130. [Google Scholar] [CrossRef]
- O’Loughlin, J.; Doherty, D.; Herward, B.; McGleenan, C.; Mahmud, M.; Bhagabati, P.; Boland, A.N.; Freeland, B.; Rochfort, K.D.; Kelleher, S.M.; et al. The Potential of Bio-Based Polylactic Acid (PLA) as an Alternative in Reusable Food Containers: A Review. Sustainability 2023, 15, 15312. [Google Scholar] [CrossRef]
- Kumar, G.S.P.; Keshavamurthy, R.; Panigrahi, S.P.; Thomas, S.; R, T.; Hebbar, G.S.; Prasad, C.D.; Aden, A.A. Enhanced Mechanical Properties of CNT/Graphene Reinforced PLA-Based Composites Fabricated via Fused Deposition Modelling. Results Eng. 2025, 25, 104472. [Google Scholar] [CrossRef]
- Sayin, S.; Kohlhaas, T.; Veziroglu, S.; Okudan, E.Ş.; Naz, M.; Schröder, S.; Saygili, E.I.; Açil, Y.; Faupel, F.; Wiltfang, J.; et al. Marine Algae-PLA Composites as de Novo Alternative to Porcine Derived Collagen Membranes. Mater. Today Chem. 2020, 17, 100276. [Google Scholar] [CrossRef]
- Kalita, N.K.; Damare, N.A.; Hazarika, D.; Bhagabati, P.; Kalamdhad, A.; Katiyar, V. Biodegradation and Characterization Study of Compostable PLA Bioplastic Containing Algae Biomass as Potential Degradation Accelerator. Environ. Chall. 2021, 3, 100067. [Google Scholar] [CrossRef]
- Letwaba, J.; Muniyasamy, S.; Lekalakala, R.; Mavhungu, L.; Mbaya, R. Design of Compostable Toughened PLA/PBAT Blend with Algae via Reactive Compatibilization: The Effect of Algae Content on Mechanical and Thermal Properties of Bio-composites. J. Appl. Polym. Sci. 2024, 141, e55204. [Google Scholar] [CrossRef]
- Vo, T.-D.-H.; Nguyen, V.-T.; Le, V.-A.; Do, Q.-H.; Nguyen, T.-Y.-P.; Nguyen, P.-T.; Lin, C.; You, S.-J.; Visvanathan, C.; Bui, X.-T. Simultaneous Organic and Nutrient Removal in Wastewater Using a Revolving Algae Biofilm Reactor. Environ. Technol. Innov. 2025, 37, 103949. [Google Scholar] [CrossRef]
- Yang, Y.; Guo, W.; Zhang, J.; Liang, S.; Liu, Q.; Liu, J.; Ngo, H.H.; Zhang, H. Applicability Analysis of Algae Biochar for Anaerobic Membrane Bioreactors in Wastewater Treatment: A Review from a Sustainability Assessment Perspective. Sci. Total Environ. 2024, 957, 177609. [Google Scholar] [CrossRef]
- Jayaraman, J.; Kumaraswamy, J.; Rao, Y.K.S.S.; Karthick, M.; Baskar, S.; Anish, M.; Sharma, A.; Yadav, A.S.; Alam, T.; Ammarullah, M.I. Wastewater Treatment by Algae-Based Membrane Bioreactors: A Review of the Arrangement of a Membrane Reactor, Physico-Chemical Properties, Advantages and Challenges. RSC Adv. 2024, 14, 34769–34790. [Google Scholar] [CrossRef]
- Chong, J.W.R.; Khoo, K.S.; Yew, G.Y.; Leong, W.H.; Lim, J.W.; Lam, M.K.; Ho, Y.-C.; Ng, H.S.; Munawaroh, H.S.H.; Show, P.L. Advances in Production of Bioplastics by Microalgae Using Food Waste Hydrolysate and Wastewater: A Review. Bioresour. Technol. 2021, 342, 125947. [Google Scholar] [CrossRef]
- de Carvalho Reis, M.F.; de Oliveira Machado, G.; Côcco Teixeira, S.; Batista, L.F.; Frollini, E.; de Abreu Oliveira, A.V.; Ferreira Soares, N.d.F.; Fontes Demuner, I.; Veloso de Oliveira, T.; Oliveira Carneiro, A.d.C. Strengthening Poly (Lactic Acid): The Role of Fractionated Lignin in the Development of Sustainable Films. Int. J. Biol. Macromol. 2025, 320, 145912. [Google Scholar] [CrossRef]
- Standard Test Method for Tensile Properties of Thin Plastic Sheeting. Available online: https://store.astm.org/d0882-12.html (accessed on 6 October 2025).
- Standard Test Methods for Gravimetric Determination of Water Vapor Transmission Rate of Materials. Available online: https://store.astm.org/e0096_e0096m-22ae01.html (accessed on 6 October 2025).
- Standard Specification for Labeling of Plastics Designed to be Aerobically Composted in Municipal or Industrial Facilities. Available online: https://store.astm.org/d6400-23.html (accessed on 22 October 2025).
- Marques, C.S.; Arruda, T.R.; Dos Santos Filho, M.T.C.; Graciano, A.C.; De Mendonça, K.S.; Ventura, B.M.L.; De Souza, A.L.; De Oliveira, T.V.; Mendes, T.A.D.O.; Soares, N.D.F.F. Active Biodegradable Film with Garlic Essential Oil: From Elaboration to Cytotoxicity and Preliminary Assessment of Antibiotic Resistance in Staphylococcus Aureus. Food Control 2024, 166, 110760. [Google Scholar] [CrossRef]
- Arruda, T.R.; Bernardes, P.C.; Moraes, A.R.F.E.; Marques, C.S.; Pinheiro, P.F.; De Oliveira, T.V.; Ferreira, S.O.; Naves, E.A.A.; Soares, N.D.F.F. Beyond Brewing: β-Acid Rich Hop Extract in the Development of a Multifunctional Polylactic Acid-Based Food Packaging. Int. J. Biol. Macromol. 2023, 228, 23–39. [Google Scholar] [CrossRef] [PubMed]
- Torres, S.; Navia, R.; Campbell Murdy, R.; Cooke, P.; Misra, M.; Mohanty, A.K. Green Composites from Residual Microalgae Biomass and Poly(Butylene Adipate-Co-Terephthalate): Processing and Plasticization. ACS Sustain. Chem. Eng. 2015, 3, 614–624. [Google Scholar] [CrossRef]
- Bulota, M.; Budtova, T. PLA/Algae Composites: Morphology and Mechanical Properties. Compos. Part A Appl. Sci. Manuf. 2015, 73, 109–115. [Google Scholar] [CrossRef]
- Ghasemi, B.; Ševčík, J.; Nádaždy, V.; Végsö, K.; Šiffalovič, P.; Urbánek, P.; Kuřitka, I. Thickness Dependence of Electronic Structure and Optical Properties of F8BT Thin Films. Polymers 2022, 14, 641. [Google Scholar] [CrossRef] [PubMed]
- Zhang, T.; Riggleman, R.A. Thickness-Dependent Mechanical Failure in Thin Films of Glassy Polymer Bidisperse Blends. Macromolecules 2022, 55, 201–209. [Google Scholar] [CrossRef]
- Oluwasina, O.O.; Awonyemi, I.O. Citrus Peel Extract Starch-Based Bioplastic: Effect of Extract Concentration on Packed Fish and Bioplastic Properties. J. Polym. Environ. 2021, 29, 1706–1716. [Google Scholar] [CrossRef]
- Sharifzadeh, E. Evaluating the Dependency of Polymer/Particle Interphase Thickness to the Nanoparticles Content, Aggregation/Agglomeration Factor and Type of the Exerted Driving Force. Iran. Polym. J. 2021, 30, 1063–1072. [Google Scholar] [CrossRef]
- Nor Adilah, A.; Noranizan, M.A.; Jamilah, B.; Nur Hanani, Z.A. Development of Polyethylene Films Coated with Gelatin and Mango Peel Extract and the Effect on the Quality of Margarine. Food Packag. Shelf Life 2020, 26, 100577. [Google Scholar] [CrossRef]
- Li, J.; Li, Z.; Yan, Y.; Shao, D.; Guo, Y.; Lin, R. Study on the Structure–Property Relationship of Starch/PLA Composite Films Modified by the Synergistic Effect of Aromatic Rings and Aliphatic Chains. Polym. Degrad. Stab. 2025, 241, 111567. [Google Scholar] [CrossRef]
- Ravi, V.C.; Zagabathuni, A. Synergistic Effects of Pyrolytic Carbon Reinforcement and Annealing on the Structural, Mechanical, and Tribological Properties of SLA 3D Printed PLA Composites. Mater. Chem. Phys. 2026, 347, 131508. [Google Scholar] [CrossRef]
- Basu, A.; Kunduru, K.R.; Doppalapudi, S.; Domb, A.J.; Khan, W. Poly(Lactic Acid) Based Hydrogels. Adv. Drug Deliv. Rev. 2016, 107, 192–205. [Google Scholar] [CrossRef]
- Finkel, Z.V.; Follows, M.J.; Liefer, J.D.; Brown, C.M.; Benner, I.; Irwin, A.J. Phylogenetic Diversity in the Macromolecular Composition of Microalgae. PLoS ONE 2016, 11, e0155977. [Google Scholar] [CrossRef]
- Lazaridis, D.G.; Karabagias, V.K.; Kalarakis, A.N.; Andritsos, N.D.; Giannakas, A.E.; Karabagias, I.K. Bioactive PLA-based films reinforced with agro-industrial by-products for the shelf-life evaluation of fresh-cut pineapple (Ananas comosus L.) slices. Food Res. Int. 2025, 221, 117602. [Google Scholar] [CrossRef]
- Bhagia, S.; Lowden, R.R.; Erdman, D.; Rodriguez, M.; Haga, B.A.; Solano, I.R.M.; Gallego, N.C.; Pu, Y.; Muchero, W.; Kunc, V.; et al. Tensile Properties of 3D-Printed Wood-Filled PLA Materials Using Poplar Trees. Appl. Mater. Today 2020, 21, 100832. [Google Scholar] [CrossRef]
- Simkin, A.J.; Kapoor, L.; Doss, C.G.P.; Hofmann, T.A.; Lawson, T.; Ramamoorthy, S. The Role of Photosynthesis Related Pigments in Light Harvesting, Photoprotection and Enhancement of Photosynthetic Yield in Planta. Photosynth. Res. 2022, 152, 23–42. [Google Scholar] [CrossRef]
- Martins, V.F.R.; Lopes, A.I.; Machado, M.; Costa, E.M.; Ribeiro, T.B.; Poças, F.; Pintado, M.; Morais, R.M.S.C.; Morais, A.M.M.B. Biodegradable Films with Polysaccharides, Proteins, and Bioactive Compounds from Lobosphaera sp.: Antioxidant and Antimicrobial Activities. Foods 2025, 14, 1327. [Google Scholar] [CrossRef] [PubMed]
- Roy Chong, J.W.; Tan, X.; Khoo, K.S.; Ng, H.S.; Jonglertjunya, W.; Yew, G.Y.; Show, P.L. Microalgae-Based Bioplastics: Future Solution towards Mitigation of Plastic Wastes. Environ. Res. 2022, 206, 112620. [Google Scholar] [CrossRef]
- Deshmukh, A.R.; Aloui, H.; Khomlaem, C.; Negi, A.; Yun, J.-H.; Kim, H.-S.; Kim, B.S. Biodegradable Films Based on Chitosan and Defatted Chlorella Biomass: Functional and Physical Characterization. Food Chem. 2021, 337, 127777. [Google Scholar] [CrossRef]
- Fernandes, A.S.; Petry, F.C.; Mercadante, A.Z.; Jacob-Lopes, E.; Zepka, L.Q. HPLC-PDA-MS/MS as a Strategy to Characterize and Quantify Natural Pigments from Microalgae. Curr. Res. Food Sci. 2020, 3, 100–112. [Google Scholar] [CrossRef] [PubMed]
- López-Padilla, A.; Cortés-Rodríguez, M.; Ortega-Toro, R. Development and Comparative Analysis of Hard and Soft Wheat Flour Films Enriched with Yellow and White Chlorella Vulgaris Algae. Polymers 2025, 17, 785. [Google Scholar] [CrossRef]
- Maletin, A.; Jeremic-Knezevic, M.; Djurovic-Koprivica, D.; Veljovic, T.; Ramic, B.; Milekic, B. Analysis of Colorimetric Parameters of International Commission on Illumination L*a*b* System in the Color of Maxillary Central Incisors. Med. Pregl. 2020, 73, 309–314. [Google Scholar] [CrossRef]
- Kusmita, L.; Limantara, L. The Influence of Strong and Weak Acid Upon Aggregation and Pheophytinization of Chlorophyll A and B. Indones. J. Chem. 2010, 9, 70–76. [Google Scholar] [CrossRef]
- Arif, M.; Li, Y.; El-Dalatony, M.M.; Zhang, C.; Li, X.; Salama, E.-S. A Complete Characterization of Microalgal Biomass through FTIR/TGA/CHNS Analysis: An Approach for Biofuel Generation and Nutrients Removal. Renew. Energy 2021, 163, 1973–1982. [Google Scholar] [CrossRef]
- Bach, Q.-V.; Chen, W.-H. Pyrolysis Characteristics and Kinetics of Microalgae via Thermogravimetric Analysis (TGA): A State-of-the-Art Review. Bioresour. Technol. 2017, 246, 88–100. [Google Scholar] [CrossRef]
- Adams, G.D.J.; Cook, I.; Ward, K.R. The Principles of Freeze-Drying. In Cryopreservation and Freeze-Drying Protocols; Wolkers, W.F., Oldenhof, H., Eds.; Methods in Molecular Biology; Springer: New York, NY, USA, 2015; Volume 1257, pp. 121–143. [Google Scholar]
- An, L.; Perkins, P.; Yi, R.; Ren, T. Development of Polylactic Acid Based Antimicrobial Food Packaging Films with N-Halamine Modified Microcrystalline Cellulose. Int. J. Biol. Macromol. 2023, 242, 124685. [Google Scholar] [CrossRef] [PubMed]
- Theinsathid, P.; Visessanguan, W.; Kruenate, J.; Kingcha, Y.; Keeratipibul, S. Antimicrobial Activity of Lauric Arginate-Coated Polylactic Acid Films against Listeria monocytogenes and Salmonella Typhimurium on Cooked Sliced Ham. J. Food Sci. 2012, 77, M142–M149. [Google Scholar] [CrossRef] [PubMed]
- Perumal Pillai, B.; Balasubramaniam, B.; Gupta, R.K.; Tyagi, A. Bio-Based Materials for Antimicrobial Films in Food Applications: Beyond the COVID-19 Pandemic Era. Oxf. Open Mater. Sci. 2023, 3, itad016. [Google Scholar] [CrossRef]
- Huang, F.; Liu, Z.; Luo, D.; Xu, Z.; Wei, K.; He, N.; Sun, X. Microalgae-Bacterial Consortiums for Enhanced Degradation of Nonylphenol: Biodegradability and Kinetic Analysis. J. Environ. Manag. 2024, 370, 122400. [Google Scholar] [CrossRef]
- Liberti, D.; Pinheiro, F.; Simões, B.; Varela, J.; Barreira, L. Beyond Bioremediation: The Untapped Potential of Microalgae in Wastewater Treatment. Water 2024, 16, 2710. [Google Scholar] [CrossRef]








| PLA-MA (%) | L* | a* | b* | Y White | Y Black | Opacity |
|---|---|---|---|---|---|---|
| 0 | 92.70 ± 0.21 a | −0.95 ± 0.03 b | 1.63 ± 0.07 d | 82.27 ± 0.49 d | 11.35 ± 0.27 b | 13.79 ± 0.41 b |
| 10 | 77.88 ± 0.99 b | −4.37 ± 0.15 a | 39.40 ± 1.07 a | 53.01 ± 1.68 a | 9.11 ± 0.18 ab | 17.19 ± 0.20 ab |
| 20 | 65.68 ± 1.98 c | −1.46 ± 0.31 b | 49.15 ± 1.94 b | 34.94 ± 2.54 b | 7.76 ± 0.28 a | 22.29 ± 2.43 ac |
| 30 | 59.71 ± 0.73 c | 0.05 ± 0.08 bc | 47.20 ± 0.74 b | 27.81 ± 0.80 b | 7.18 ± 0.37 a | 25.80 ± 0.59 c |
| 40 | 47.85 ± 1.58 d | 2.50 ± 0.55 d | 36.18 ± 1.94 ac | 16.69 ± 1.24 c | 6.50 ± 1.01 a | 38.84 ± 3.19 d |
| 50 | 47.01 ± 6.55 d | 1.99 ± 1.34 cd | 32.78 ± 2.28 c | 16.29 ± 5.01 c | 6.42 ± 1.47 a | 39.93 ± 3.25 d |
| PLA-MA (%) | WVP (g m−1 s−1 Pa−1) |
|---|---|
| 0 | 0.1526 ± 0.00476 × 10−12 |
| 10 | 0.6960 ± 0.1028 × 10−12 |
| 20 | 0.9145 ± 0.0966 × 10−12 |
| 30 | 1.0701 ± 0.2945 × 10−12 |
| 40 | 2.4565 ± 0.5134 × 10−12 |
| 50 | 3.5370 ± 0.1302 × 10−12 |
Disclaimer/Publisher’s Note: The statements, opinions and data contained in all publications are solely those of the individual author(s) and contributor(s) and not of MDPI and/or the editor(s). MDPI and/or the editor(s) disclaim responsibility for any injury to people or property resulting from any ideas, methods, instructions or products referred to in the content. |
© 2026 by the authors. Licensee MDPI, Basel, Switzerland. This article is an open access article distributed under the terms and conditions of the Creative Commons Attribution (CC BY) license.
Share and Cite
Machado, G.d.O.; De Assis, M.L.; Reis, M.F.d.C.; Alexandre, M.A.d.S.; Arruda, T.R.; Pereira, A.S.A.d.P.; Calijuri, M.L.; de Carvalho, J.M.F.; Carneiro, A.d.C.O.; Jesus, M.; et al. Microalgae-Derived Biopolymers: An Ecological Approach to Reducing Polylactic Acid Dependence. Sustainability 2026, 18, 1302. https://doi.org/10.3390/su18031302
Machado GdO, De Assis ML, Reis MFdC, Alexandre MAdS, Arruda TR, Pereira ASAdP, Calijuri ML, de Carvalho JMF, Carneiro AdCO, Jesus M, et al. Microalgae-Derived Biopolymers: An Ecological Approach to Reducing Polylactic Acid Dependence. Sustainability. 2026; 18(3):1302. https://doi.org/10.3390/su18031302
Chicago/Turabian StyleMachado, Gabriela de O., Marília L. De Assis, Matheus F. de C. Reis, Marcela A. da S. Alexandre, Tarsila R. Arruda, Alexia S. A. de P. Pereira, Maria L. Calijuri, José M. F. de Carvalho, Angélica de C. O. Carneiro, Meirielly Jesus, and et al. 2026. "Microalgae-Derived Biopolymers: An Ecological Approach to Reducing Polylactic Acid Dependence" Sustainability 18, no. 3: 1302. https://doi.org/10.3390/su18031302
APA StyleMachado, G. d. O., De Assis, M. L., Reis, M. F. d. C., Alexandre, M. A. d. S., Arruda, T. R., Pereira, A. S. A. d. P., Calijuri, M. L., de Carvalho, J. M. F., Carneiro, A. d. C. O., Jesus, M., Santos, J., De Oliveira, T. V., & Soares, N. d. F. F. (2026). Microalgae-Derived Biopolymers: An Ecological Approach to Reducing Polylactic Acid Dependence. Sustainability, 18(3), 1302. https://doi.org/10.3390/su18031302

