Sign in to use this feature.

Years

Between: -

Subjects

remove_circle_outline
remove_circle_outline
remove_circle_outline
remove_circle_outline
remove_circle_outline
remove_circle_outline
remove_circle_outline
remove_circle_outline
remove_circle_outline

Journals

remove_circle_outline
remove_circle_outline
remove_circle_outline
remove_circle_outline
remove_circle_outline
remove_circle_outline
remove_circle_outline
remove_circle_outline
remove_circle_outline
remove_circle_outline
remove_circle_outline
remove_circle_outline
remove_circle_outline
remove_circle_outline
remove_circle_outline

Article Types

Countries / Regions

remove_circle_outline
remove_circle_outline
remove_circle_outline
remove_circle_outline
remove_circle_outline
remove_circle_outline

Search Results (1,425)

Search Parameters:
Keywords = water pollutant reduction

Order results
Result details
Results per page
Select all
Export citation of selected articles as:
26 pages, 2711 KB  
Article
Low-Carbon Layout Optimization and Scheme Comparison of LID Facilities in Arid Regions Based on NSGA-III
by Yuchang Shang, Jie Liu, Qiao Chen and Lirong Li
Water 2026, 18(1), 50; https://doi.org/10.3390/w18010050 (registering DOI) - 23 Dec 2025
Abstract
In arid regions, rainfall is scarce, summer-concentrated, and prone to extreme events, while evaporation exceeds precipitation, creating fragile ecosystems that need scientific stormwater management for flood resilience. Sponge cities, through the implementation of green infrastructure, can alleviate urban flooding, improve rainwater utilization, and [...] Read more.
In arid regions, rainfall is scarce, summer-concentrated, and prone to extreme events, while evaporation exceeds precipitation, creating fragile ecosystems that need scientific stormwater management for flood resilience. Sponge cities, through the implementation of green infrastructure, can alleviate urban flooding, improve rainwater utilization, and enhance the urban ecological environment. Under the “dual carbon” target, sponge city construction has gained new developmental significance. It must not only ensure core functions and minimize construction costs but also fully leverage its carbon reduction potential, thereby serving as a crucial pathway for promoting urban green and low-carbon development. Therefore, this study focused on Xining, a typical arid city in Northwest China, and couples the Non-dominated Sorting Genetic Algorithm-III (NSGA-III) with the Storm Water Management Model (SWMM) to construct a multi-objective optimization model for Low Impact Development (LID) facilities. The layout optimization design of LID facilities is conducted from three dimensions: life cycle cost (LCC), rainwater utilization rate (K), and carbon emission intensity (CI). Hydrological simulations and scheme optimizations were performed under different design rainfall events. Subsequently, the entropy-weighted TOPSIS method was utilized to evaluate and compare these optimized schemes. It is shown by the results that: (1) The optimized LID schemes achieved a K of 76.2–80.43%, an LCC of 2.413–3.019 billion yuan, and a CI of −2.8 to 0.19 kg/m2; (2) Compared with the no-LID scenario, the optimized scheme significantly enhanced hydrological regulation, flood mitigation, and pollutant removal. Under different rainfall return periods, the annual runoff control rate increased from 64.97% to 80.66–82.23%, with total runoff reduction rates reaching 46.41–49.26% and peak flow reductions of 45–47.62%. Under the rainfall event with a 10-year return period, the total number of waterlogging nodes decreased from 108 to 82, and the number of nodes with a ponding duration exceeding 1 h was reduced by 62.5%. The removal efficiency of total suspended solids (TSS) under the optimized scheme remained stable above 60%. The optimized scheme is highly adaptable to the rainwater management needs of arid areas by prioritizing “infiltration and retention”. Vegetative swales emerge as the primary facility due to their low cost and high carbon sink capacity. This study provides a feasible pathway and decision-making support for the low-carbon layout of LID facilities in arid regions. Full article
18 pages, 5573 KB  
Article
Assessing the Impact of Land Use and Landscape Patterns on Water Quality in Yilong Lake Basin (1993–2023)
by Yue Huang, Ronggui Wang, Jie Li and Yuhan Jiang
Water 2026, 18(1), 30; https://doi.org/10.3390/w18010030 - 22 Dec 2025
Abstract
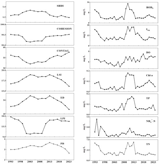
To investigate the influence of land use landscape patterns on lake water quality in the basin, the land use and water quality data of the Yilong Lake Basin from 1993 to 2023 were analyzed with a geographic information system, remote sensing, and landscape [...] Read more.
To investigate the influence of land use landscape patterns on lake water quality in the basin, the land use and water quality data of the Yilong Lake Basin from 1993 to 2023 were analyzed with a geographic information system, remote sensing, and landscape ecology methods in this research. The results show that (1) the land use landscape pattern and water quality of the Yilong Lake Basin had significant changes: the lake surface area, farmland, and shrubland declined, with grassland showing the sharpest decrease and serving as the main source of conversion to other land types, while forest land expanded and built-up land increased by five times. The landscape pattern analysis showed that the aggregation degree of the core habitat in the basin increased and the landscape had decreased patch density and increased heterogeneity. Regarding water quality, the concentrations of total nitrogen (TN), total phosphorus (TP), and ammonium nitrogen (NH4+-N); permanganate index (IMn); and biochemical oxygen demand over 5 days (BOD5) decreased. Furthermore, the concentration of dissolved oxygen (DO) increased and the concentration of chlorophyll-a (Chl-a) fluctuated for a long time but did not decrease dramatically at the end of the period compared with the beginning. In general, the eutrophication degree of Yilong Lake slightly decreased. (2) The landscape configuration strongly shaped the water quality: the redundancy analysis (RDA) revealed that the edge density (ED), landscape shape index (LSI), largest patch index (LPI), and patch density (PD) were negatively associated with the eutrophication of Yilong Lake (TN, TP, NH4+-N, Chl-a), whereas the contagion index (CONTAG) was positively associated; the Shannon’s diversity index (SHDI) was closely linked with TN and IMn but negatively with DO; and the patch cohesion index (COHESION) had a low interpretation power for water quality changes. In particular, larger and more cohesive ecological patches supported a higher DO, while an increased patch density was linked to an elevated IMn and reduced DO. These results indicate that the restoration of key ecological patches and enhanced landscape cohesion helped to improve the water quality, whereas increased patch density and landscape heterogeneity negatively affected it. (3) In the past 30 years, the ecological management and protection work on Yilong Lake, such as returning farmland to forests and lakes, wetland restoration, and sewage pipe network construction, achieved remarkable results that were reflected in the change in the relationship between land use landscape pattern and water quality in the basin. However, human activities still affected the dynamic evolution of water quality: the expansion of built-up land increased the patch density, the reduction in shrubland and grassland weakened natural filtration, and the rapid urbanization process introduced more pollution sources. Although the increase in forest land helped to improve the water quality, the effect was not fully developed. These findings provide a scientific basis for the management and ecological restoration of plateau lakes. Strengthening land use planning, controlling urban expansion, and maintaining ecological patches are essential for sustaining water quality and promoting the coordinated development of the ecology and economy in the Yilong Lake Basin. Full article
(This article belongs to the Special Issue Advances in Plateau Lake Water Quality and Eutrophication)
Show Figures

Figure 1

20 pages, 5311 KB  
Article
A Spatially Explicit Physically Based Modeling Framework for BOD Dynamics in Urbanizing River Basins: A Case Study of the Chao Phraya River—Tha Chin River
by Detchphol Chitwatkulsiri, Ratchaphon Charoenpanuchart, Kim Neil Irvine and Suthida Theepharaksapan
Water 2026, 18(1), 15; https://doi.org/10.3390/w18010015 - 20 Dec 2025
Viewed by 29
Abstract
Biochemical Oxygen Demand (BOD) is a key indicator of organic pollution and a proxy indicator reflecting organic loading that can indirectly influence eutrophication processes in aquatic systems. This study presents a spatially explicit, physically based modeling framework for simulating BOD dynamics in the [...] Read more.
Biochemical Oxygen Demand (BOD) is a key indicator of organic pollution and a proxy indicator reflecting organic loading that can indirectly influence eutrophication processes in aquatic systems. This study presents a spatially explicit, physically based modeling framework for simulating BOD dynamics in the urbanizing Chao Phraya and Tha Chin Rivers Basin in central Thailand. The framework integrates the Personal Computer Storm Water Management Model (PCSWMM) with GIS-based datasets to represent pollutant sources, hydraulic flow, and land use. The model was calibrated and validated using data from 36 monitoring stations (2021–2022), achieving strong performance: an NSE of 0.72 and an MAE of 0.35 mg/L for the Chao Phraya River, and an NSE of 0.88 and an MAE of 0.12 mg/L for the Tha Chin River. Scenario simulations for 2032 projected BOD concentrations exceeded 4 mg/L in several downstream segments under the baseline (no-intervention) scenario, indicating elevated organic pollution and potential oxygen depletion that may indirectly exacerbate eutrophication risk in the Upper Gulf of Thailand, particularly in tidal zones with low dilution and nutrient accumulation. Model projections suggest that effective mitigation would require a 20–30% reduction in BOD loads, achievable through enhanced wastewater treatment and stricter pollution controls. Although BOD reduction alone cannot eliminate eutrophication, it supports broader nutrient management efforts by improving baseline water quality conditions. The proposed model offers a robust tool for identifying pollution hotspots, evaluating management strategies, and informing integrated river basin policies under continued urban growth. Full article
(This article belongs to the Section Biodiversity and Functionality of Aquatic Ecosystems)
Show Figures

Figure 1

30 pages, 4859 KB  
Article
A Cost-Optimization Model for Water-Scarcity Mitigation Strategies Towards Differentiated City Types in China
by Ziqiang Zeng, Yuechuan Yang and Xingyou Wang
Systems 2026, 14(1), 6; https://doi.org/10.3390/systems14010006 - 19 Dec 2025
Viewed by 106
Abstract
Water scarcity has become a major bottleneck to global sustainable development, threatening ecosystem security and socio-economic stability. However, previous studies have failed to distinguish regional characteristics of scarcity and to propose cost-optimal differentiated management strategies. We systematically assessed the scarcity patterns and seasonal [...] Read more.
Water scarcity has become a major bottleneck to global sustainable development, threatening ecosystem security and socio-economic stability. However, previous studies have failed to distinguish regional characteristics of scarcity and to propose cost-optimal differentiated management strategies. We systematically assessed the scarcity patterns and seasonal dynamics of 350 prefecture-level cities in China during the period 2021–2024, developed a city classification scheme based on scarcity intensity and seasonal variability, and established a least-cost optimization model to identify the optimal management portfolios for different scarcity types. The results show that water pollution significantly exacerbates scarcity intensity and prolongs its duration; the classification framework reveals the complexity and heterogeneity of scarcity across China; and the optimization model demonstrates that even under the widespread implementation of existing measures, further portfolio optimization can still achieve an additional 9.31–69.32% reduction in scarcity under cost-effective conditions. The findings enable decision-makers to develop differentiated and cost-efficient management strategies. Full article
Show Figures

Figure 1

19 pages, 2089 KB  
Article
Analysis and Evaluation of Water Resources Status in Dongying Based on Grey Water Footprint Theory
by Xue Meng, Jun Wu, Jian Lu, Wenjun Dou, Jie Chen, Guangyue Su, Jiazhou Lin and Jianhao An
Water 2026, 18(1), 3; https://doi.org/10.3390/w18010003 - 19 Dec 2025
Viewed by 96
Abstract
As the central city of the Yellow River Delta, Dongying faces challenges of water scarcity and water pollution. Based on the grey water footprint theory, the paper conducted grey water footprint accounting, factor analysis, and evaluation in Dongying from 2011 to 2023, aiming [...] Read more.
As the central city of the Yellow River Delta, Dongying faces challenges of water scarcity and water pollution. Based on the grey water footprint theory, the paper conducted grey water footprint accounting, factor analysis, and evaluation in Dongying from 2011 to 2023, aiming to clarify the water resources situation. Results indicated that the total grey water footprint in Dongying have decreased from 1.19 billion m3 in 2011 to 235 million m3 in 2023, a reduction of 80.21%. The agricultural, industrial, and domestic grey water footprints decreased by 94 million m3, 88 million m3, and 769 million m3, respectively, with the reduction rates reaching 54.19%, 69.98%, and 86.77%, respectively. The domestic grey water footprint has a significant impact on the dynamics of the total regional grey water footprint. The technical factor, as a negative driving factor, significantly affect the total grey water footprint in Dongying. Economic and population factors, as positive driving factors, have little impact. The water pollution level has been below 100% in recent years, with the grey water footprint sustainability remaining well. The grey water footprint intensity has decreased by 58.00 m3/10,000 CNY, a reduction of 90.60%, indicating significant improvements in water resource utilization efficiency and economic benefits. The paper provides a basis for water resource protection and water environment improvement in the Yellow River Delta region. Full article
Show Figures

Figure 1

12 pages, 1899 KB  
Article
A Highly Hydrophobic and Flame-Retardant Melamine Sponge for Emergency Oil Spill Response
by Chengyong Zheng, Bo Wang, Wei Xie and Shuilai Qiu
Nanomaterials 2025, 15(24), 1897; https://doi.org/10.3390/nano15241897 - 17 Dec 2025
Viewed by 108
Abstract
Frequent crude oil spills during offshore oil and gas production and transportation have inflicted irreversible detrimental effects on both human activities and marine ecosystems; with particular risks of secondary disasters such as combustion and explosions. To address these challenges; advanced oil sorption technologies [...] Read more.
Frequent crude oil spills during offshore oil and gas production and transportation have inflicted irreversible detrimental effects on both human activities and marine ecosystems; with particular risks of secondary disasters such as combustion and explosions. To address these challenges; advanced oil sorption technologies have been developed to overcome the inherent limitations of conventional remediation methods. In this study, a flame-retardant protective coating was fabricated on melamine sponge (MS) through precipitation polymerization of octa-aminopropyl polyhedral oligomeric silsesquioxane (POSS) and hexachlorocyclotriphosphazene (HCCP), endowing the MS@PPOS-PDMS-Si composite with exceptional char-forming capability. Secondary functional layer: By coupling the complementary physicochemical properties of polydimethylsiloxane (PDMS) and SiO2 nanofibers, we enabled them to function jointly, achieving superior performance in the material systems; this conferred enhanced hydrophobicity and structural stability to the MS matrix. Characterization results demonstrated a progressive reduction in peak heat release rate (PHRR) from 137.66 kW/m2 to118.35 kW/m2, 91.92 kW/m2, and ultimately 46.23 kW/m2, accompanied by a decrease in total smoke production (TSP) from 1.62 m2 to 0.76 m2, indicating significant smoke suppression. Furthermore, the water contact angle (WCA) exhibited substantial improvement from 0° (superhydrophilic) to 140.7° (highly hydrophobic). Cyclic sorption–desorption testing revealed maintained oil–water separation efficiency exceeding 95% after 10 operational cycles. These findings position the MS@PPOS-PDMS-Si composite as a promising candidate for emergency oil spill response and marine pollution remediation applications, demonstrating superior performance in fire safety, environmental durability, and operational reusability. Full article
Show Figures

Graphical abstract

19 pages, 3287 KB  
Article
Effect of Solar Irradiation on the Electrooxidation of a Dye Present in Aqueous Solution and in Real River Water
by Anabel Ramos-García, Carlos E. Barrera-Díaz, Bernardo A. Frontana-Uribe, Jorge Vazquez-Arenas and Liliana I. Ávila-Córdoba
Catalysts 2025, 15(12), 1171; https://doi.org/10.3390/catal15121171 - 16 Dec 2025
Viewed by 224
Abstract
This study investigates the performance of an electrooxidation (EO) process employing Sb2O5-doped RuO2–ZrO2|Ti anodes integrated into a concave-cover solar still for the degradation of Allura Red dye in aqueous solution and real river water. The [...] Read more.
This study investigates the performance of an electrooxidation (EO) process employing Sb2O5-doped RuO2–ZrO2|Ti anodes integrated into a concave-cover solar still for the degradation of Allura Red dye in aqueous solution and real river water. The anode was synthesized and characterized via scanning electron microscopy (SEM) and X-ray diffraction (XRD) to confirm its porous morphology and crystalline structure. Operational parameters—including supporting electrolyte concentration, initial solution pH, and current density—were systematically optimized. Under optimal conditions (pH 2–3 and 5 mA cm−2), the EO process was evaluated under natural solar irradiation. Sunlight exposure increased the solution temperature from approximately 20 °C to 50 °C, enhancing molecular diffusion and mass transport, thereby accelerating decolorization kinetics. Compared to EO performed under laboratory conditions, the solar-assisted system achieved an additional 20% increase in chemical oxygen demand (COD) removal and a fast reduction in color. When applied to real Lerma River water samples under these optimal conditions, the treatment achieved approximately 50% reduction in both COD and true color, demonstrating its applicability to complex environmental matrices. These results confirm that coupling electrooxidation with solar thermal input significantly improves pollutant degradation efficiency and energy performance, establishing this integrated approach as a promising and sustainable technology for advanced wastewater treatment. Full article
Show Figures

Graphical abstract

14 pages, 1227 KB  
Article
Effects of Copper Stress on Nitrogen Metabolism-Related Enzymes in Nymphoides peltata
by Simeng Qiu, Chengxia Jia, Shuangyue Luo, Liye Liang, Yanfei Wu, Ruijun Ren, Jing Xu and Qingjing Zhang
Water 2025, 17(24), 3558; https://doi.org/10.3390/w17243558 - 15 Dec 2025
Viewed by 162
Abstract
Copper (Cu) pollution poses environmental and health risks. Owing to its adaptability and potential for water purification, Nymphoides peltata (N. peltata) is being considered for use in the remediation of Cu pollution. However, the feasibility of using N. peltata for the [...] Read more.
Copper (Cu) pollution poses environmental and health risks. Owing to its adaptability and potential for water purification, Nymphoides peltata (N. peltata) is being considered for use in the remediation of Cu pollution. However, the feasibility of using N. peltata for the remediation of Cu-polluted water bodies has not yet been assessed. Here, the physiological response of N. peltata to Cu stress was determined. N. peltata samples were exposed to varying Cu concentrations (0.2, 0.4, 0.6 and 0.8 mg∙L−1), and the activities of glutamine synthetase (GS), nitrate reductase (NR), nitrite reductase (NiR), ribulose-1,5-diphosphate carboxylase (Rubisco), and glycolate oxidase (GO) were measured together with the concentrations of photosynthetic pigments. The results revealed that under Cu stress, NR and GS activities significantly decreased, while NiR activity significantly increased. Exposure to 0.2 mg∙L−1 Cu promoted chlorophyll synthesis and enhanced Rubisco and GO activities; in contrast, exposure to Cu concentrations above 0.4 mg∙L−1 significantly inhibited the aforementioned parameters. These findings indicate that Cu stress, regardless of concentration, significantly affects nitrogen metabolism in N. peltata by decelerating nitrate reduction and impairing the ammonification process. Meanwhile, only high Cu concentrations significantly affected photosynthesis. N. peltata can survive low Cu stress by regulating its photosynthetic enzymes. Therefore, N. peltata has potential for the ecological restoration of water bodies polluted with low Cu concentrations. Full article
(This article belongs to the Section Water Quality and Contamination)
Show Figures

Figure 1

25 pages, 1231 KB  
Article
Long-Term Performance of Natural Filtration Dams for Landfill Leachate Treatment
by Andrey Ivantsov, Mikhail Viskov, Ruslan Kataev, Nadezhda Ozhgibesova, Zhanna Knyazeva and Yanina Parshakova
Environments 2025, 12(12), 489; https://doi.org/10.3390/environments12120489 - 13 Dec 2025
Viewed by 265
Abstract
The study evaluates the long-term environmental performance of natural filtration dams for leachate treatment at a municipal solid waste landfill. Field measurements of a system operating for 24 years, equipped with natural clay-loam filtration barriers, provide empirical validation for assessing the effectiveness and [...] Read more.
The study evaluates the long-term environmental performance of natural filtration dams for leachate treatment at a municipal solid waste landfill. Field measurements of a system operating for 24 years, equipped with natural clay-loam filtration barriers, provide empirical validation for assessing the effectiveness and durability of natural material-based treatment approaches. Hydrogeological studies, including well drilling, water sampling, and comprehensive chemical analysis, demonstrate that the cascade filtration system achieves pollutant removal efficiencies of 80–95% for major contaminants. Physical property measurements reveal progressive density reduction from 1005 to 994 kg/m3 and viscosity decreases from 1.048 to 1.011 cSt across the treatment system. Numerical simulations demonstrate that contaminant transport under actual site conditions remains diffusion-dominated over multi-decadal timescales, with aquifer concentrations remaining below 1% of source values after 50 years. Parametric studies reveal that density-driven convective fingering develops only at source concentrations exceeding 100 g/L. The findings validate the long-term viability of natural geological barriers combined with cascade filtration systems for cost-effective leachate treatment, demonstrating that preliminary treatment through natural filtration effectively suppresses gravitational instabilities and protects underlying aquifers. Full article
Show Figures

Figure 1

64 pages, 2249 KB  
Review
Towards a Structured Approach to Advance Sustainable Water Management in Higher Education Institutions: A Review
by Riccardo Boiocchi, Cosimo Peruzzi, Ramona Giurea and Elena Cristina Rada
Water 2025, 17(24), 3526; https://doi.org/10.3390/w17243526 - 12 Dec 2025
Viewed by 621
Abstract
The aim of this paper is to investigate the measures adopted by higher education institutions (HEIs) for sustainable water management in university campuses. Rain and storm water harvesting and treatment, rain and storm water reuse, wastewater treatment and reuse and technologies for runoff [...] Read more.
The aim of this paper is to investigate the measures adopted by higher education institutions (HEIs) for sustainable water management in university campuses. Rain and storm water harvesting and treatment, rain and storm water reuse, wastewater treatment and reuse and technologies for runoff reduction were found to be frequently undertaken. Sustainable approaches to water supply such as water-efficient appliances, irrigation algorithms and the use of drought-resistant plants have been adopted as well. In support, monitoring of consumed water and of rain and storm waters has been a widespread practice. Important considerations were given to the impact of the identified measures on campuses’ energy consumption and greenhouse gas emissions. Nature-based solutions, employment of renewable energies and sustainable disinfection methods are measures to prioritize. Some wastewater technologies may deserve priority in virtue of their positive contribution to circular economy. Drawbacks such as groundwater and soil contamination due to wastewater reuse and the release of pollutants from fertilized nature-based technologies were identified. Despite their variety, it must be noted that many of these measures have generally involved rather limited portions of campuses, taken more for demonstration or pilot/full-scale research purposes. Additional measures not identified in the current review—for instance the prevention of pollution from micropollutants and waste mismanagement—should be implemented to boost HEIs’ environmental sustainability. The findings of this review pave the way for a more structured implementation of water sustainability measures in university campuses. Full article
(This article belongs to the Special Issue Drawbacks, Limitations, Solutions and Perspectives of Water Reuse)
Show Figures

Graphical abstract

14 pages, 1316 KB  
Article
Use of Alternative Soil Amendments to Enhance the Phytoremediation Capacity of Heavy Metal Hyperaccumulator Plants
by Nikolaos Kiatikidis, Evangelia E. Golia, Dimitrios Alexiadis, Rafaella Vogia, Sotiria G. Papadimou, Eleni Tsaliki, Niki Paraskevaidou, Ana Pérez-Gimeno and Jose Navarro-Pedreño
Land 2025, 14(12), 2399; https://doi.org/10.3390/land14122399 - 10 Dec 2025
Viewed by 230
Abstract
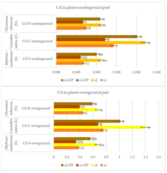
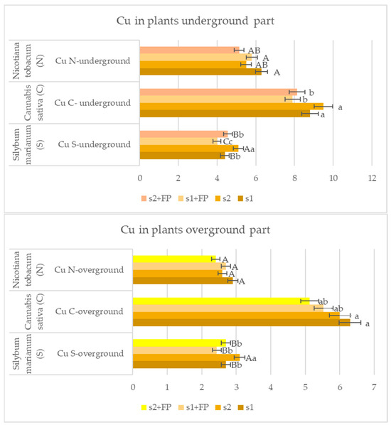
The current investigation involved preliminary laboratory research regarding the accumulation capacity of three types of hyperaccumulator plants when specific soil factors are altered during their cultivation. Three different plants participated in this experiment, namely, milk thistle (Silybum marianum (L.) Gaerth), industrial hemp [...] Read more.
The current investigation involved preliminary laboratory research regarding the accumulation capacity of three types of hyperaccumulator plants when specific soil factors are altered during their cultivation. Three different plants participated in this experiment, namely, milk thistle (Silybum marianum (L.) Gaerth), industrial hemp (Cannabis sativa L.), and tobacco (Nicotiana tabacum L.), which were cultivated in two soils with different pH values, yet containing similar levels of metal pollutants. ABC fire extinguisher powder (FP), which had been tested in the past and found to cause a significant change in nutrient availability, was added to the soils. The FP was added at 1% v/v and, in order to facilitate its fast incorporation into the soil, the soil moisture was maintained at 60–65%. The experiment was conducted in pots where the plants were grown in contaminated soils, with and without the FP addition. The pseudo-total (after extraction with Aqua Regia), available (after extraction with DTPA), and water-soluble concentrations (after extraction with CaCl2 solution) of Cd, Cr, and Cu were determined in the soils. The plants completed their growth cycle (in 112, 128, and 139 days, respectively), were harvested, and the metal concentrations were assessed after extraction with Aqua Regia, both in the underground and above-ground parts. FP addition caused a significant decrease in the availability of each of the three metals, yet mainly Cr, as it caused a maximum reduction of 19.6% and 16.0% in the rate of water-soluble and available (after extraction with DTPA) Cr, respectively, in relation to the total Cr concentration in acidic soil, revealing the decisive role played by soil reaction in metal availability. FP addition caused a significant Cd reduction in accumulation in the above-ground parts of cultivated plants in the order of hemp > thistle > tobacco. FP use appears to significantly alter the plant-to-soil metal transfer, affecting the plants’ ability to accumulate Cd, Cr, and Cu. Apparently, this material, disposed of in the environment, could be a useful and low-cost soil conditioner, in line with the principles of the circular economy. Full article
Show Figures

Figure 1

17 pages, 4039 KB  
Article
Characteristics of Microbial Communities in Sediments from Culture Areas of Meretrix meretrix
by Fengbiao Wang, Yue Zhu, Chaozhong Xin, Shuai Han, Haopeng Hu, Longyu Liu, Jinmeng Bao, Xuan Zhang, Lei Li and Mei Jiang
Diversity 2025, 17(12), 848; https://doi.org/10.3390/d17120848 - 10 Dec 2025
Viewed by 205
Abstract
This study examined the sediment microbial communities at 12 stations within the Meretrix meretrix farming area in Rudong, Jiangsu Province, utilising high-throughput sequencing. It elucidates the ecological relationships between the sediment microbial communities and the primary physical and chemical factors influencing the farming [...] Read more.
This study examined the sediment microbial communities at 12 stations within the Meretrix meretrix farming area in Rudong, Jiangsu Province, utilising high-throughput sequencing. It elucidates the ecological relationships between the sediment microbial communities and the primary physical and chemical factors influencing the farming water and sediment. The results indicated that the microbial communities comprised 55 phyla. The Shannon index ranged from a minimum of 8.97 to a maximum of 9.96, while the Simpson index varied from 0.996 to 0.997, indicating a uniform species distribution. β diversity analysis revealed significant spatial diversity among the communities. Dominant bacterial groups included Proteobacteria (25.2–38%) and Desulfobacterota (10.4–14.4%), with Desulfobacterota reaching a peak of 14.4% at tidal creek station S2, reflecting the sulphate reduction process associated with organic pollution input. At the genus level, Woesia (9.15–17.16%), Desulfobacterota, and Subgroup_22 were identified as core functional bacteria. Redundancy analysis indicated that phosphate and nitrate were the primary drivers of community variation, accounting for a cumulative interpretation rate of 43.2%. Spearman correlation analysis confirmed that fine-grained sediments were more likely to store organic matter, significantly promoting the colonisation of AQS1 (p < 0.05) and Cohaesibacter (p < 0.05), while inhibiting Puniceispirillales (p < 0.01). An alkaline environment positively selects for sulphur-cycling bacteria, such as Desulfatiglans (p < 0.05). This study provides technical support for the regulation of sediment environments and the promotion of healthy clam culture practices. Full article
(This article belongs to the Special Issue Aquatic Biodiversity and Habitat Restoration)
Show Figures

Figure 1

10 pages, 6321 KB  
Article
Novel Preparation and Characterization of an Organic-Vermiculite Intercalated by Hexadecyltrimethylammonium Bromide
by Liang Zhang, Ben Wang, Xiaomei Shao and Wei Han
Processes 2025, 13(12), 3979; https://doi.org/10.3390/pr13123979 - 9 Dec 2025
Viewed by 208
Abstract
A novel and rapid ball-milling approach was developed in this study to efficiently intercalate hexadecyltrimethylammonium bromide (HDTMA-Br) into vermiculite (VMT) within only 15 min. The raw granular VMT (2–3 mm) was first ground into fine powder using an airflow pulverizer. A suspension containing [...] Read more.
A novel and rapid ball-milling approach was developed in this study to efficiently intercalate hexadecyltrimethylammonium bromide (HDTMA-Br) into vermiculite (VMT) within only 15 min. The raw granular VMT (2–3 mm) was first ground into fine powder using an airflow pulverizer. A suspension containing VMT and HDTMA-Br (1 CEC) in deionized water was then subjected to planetary ball milling at 450 r/min (25 °C), followed by washing and drying to obtain organo-vermiculite (OVMT) with a particle size of 44–5 µm. X-ray diffraction, Fourier-transform Infrared Spectroscopy and Thermogravimetric Analysis analyses confirmed successful intercalation, with the basal spacing d(001) expanding from 1.46 nm to 4.51 nm. Transmission Electron Microscopy observations further revealed partial delamination of lamellar structures and a pronounced reduction in particle size, supporting the structural reorganization induced by the mechanochemical process. In addition, nitrogen adsorption analysis showed that the BET surface area decreased by 4.05 m2·g−1, while the average pore diameter increased by 3.2 nm, indicating the development of a more hydrophobic interlayer environment. Overall, this approach offers a practical route for producing organophilic silicate materials and shows strong potential for wastewater treatment applications, particularly for the adsorption of organic pollutants and heavy-metal ions. Full article
(This article belongs to the Special Issue Advanced Water Monitoring and Treatment Technologies)
Show Figures

Figure 1

20 pages, 1510 KB  
Article
Synthesis of Novel Bismuth-Based Catalysts for the Degradation of Microplastics in Aquatic Matrices
by Ágata Egea-Corbacho, Ana Pilar Martín-García, María de la Paz Sánchez-Aparicio, María Dolores Coello, José María Quiroga, Rocío Rodríguez, Miguel Ángel Cauqui and María Pilar Yeste
Microplastics 2025, 4(4), 101; https://doi.org/10.3390/microplastics4040101 - 5 Dec 2025
Viewed by 265
Abstract
Microplastics are one of the most widely studied and concerning contaminants, as they are present in all environmental compartments, especially water bodies. Wastewater treatment plants are one of the most important pathways through which these pollutants enter the environment. Currently, novel techniques are [...] Read more.
Microplastics are one of the most widely studied and concerning contaminants, as they are present in all environmental compartments, especially water bodies. Wastewater treatment plants are one of the most important pathways through which these pollutants enter the environment. Currently, novel techniques are being developed to eliminate microplastics from wastewater, including heterogeneous photocatalysis. In this study, two bismuth-based photocatalysts were synthesized using different methods: BiPO4 by the solvothermal method, and Bi2O3/TiO2 by the wet impregnation method. These were morphologically and structurally characterized. Both photocatalysts were then tested in laboratory-scale experiments to evaluate their effectiveness on the degradation of polypropylene microplastics under UV irradiation in ultrapure water. The effectiveness of the treatment was estimated by measuring the reduction in the area of each of the microplastics, and structural changes were assessed using infrared spectroscopy (FTIR). It was found that the BiPO4 catalyst was more effective when applying UV-B radiation, achieving a reduction in the area of microplastics of up to 10.81%, while the Bi2O3/TiO2 catalyst showed a higher efficiency when applying UV-A, achieving a reduction in the area of microplastics of up to 9.15%. The study of microplastics by ATR-FTIR revealed the appearance and modification of some absorption bands, which indicates incipient degradation. The application of both catalysts in real wastewater showed a reduction in the efficiency of the treatment; hence, further studies should be conducted to determine the influence of other variables in the photocatalytic process. In the current context of growing environmental concern, the development of new, easily synthesized catalysts represents a key strategy for reducing or eliminating MPs. This study presents significant advances in the formulation and evaluation of innovative catalysts, demonstrating their potential as effective and accessible tools for mitigating one of the most pressing global pollution challenges. Full article
Show Figures

Graphical abstract

15 pages, 1484 KB  
Article
Optimization of the Fe0/H2O2/UV Photo-Fenton Process for Real Textile Wastewater via Response Surface Methodology
by María C. Yeber and Bastian Paredes
Water 2025, 17(23), 3427; https://doi.org/10.3390/w17233427 - 2 Dec 2025
Viewed by 508
Abstract
The textile industry releases effluents containing toxic contaminants such as azo dyes, which severely affect water quality and aquatic ecosystems. This study optimized the Fe0/H2O2/UV photo-Fenton process through Response Surface Methodology (RSM) using a Box–Behnken design applied [...] Read more.
The textile industry releases effluents containing toxic contaminants such as azo dyes, which severely affect water quality and aquatic ecosystems. This study optimized the Fe0/H2O2/UV photo-Fenton process through Response Surface Methodology (RSM) using a Box–Behnken design applied to real textile wastewater. The process relies on in situ hydroxyl radicals (•OH) generation, which degrades refractory organic compounds. Under optimal conditions (pH 3.5, 0.5 g Fe0, and 0.55 mL H2O2), the system achieved complete color removal, 91% aromatic structures degradation, and an 80% COD reduction within 3 h. Statistical validation indicated an excellent model fit (R2 = 1.0; Q2 = 1.0), with strong correlation between experimental and predicted results. Spectroscopic analyses (UV–Vis and FTIR) further confirmed the cleavage of chromophoric and aromatic structures, indicating efficient pollutant degradation. Overall, the findings indicate that the Fe0/H2O2/UV system is an effective and sustainable technology for treating textile wastewater, offering strong potential for industrial-scale application. Full article
(This article belongs to the Section Wastewater Treatment and Reuse)
Show Figures

Graphical abstract

Back to TopTop