Next Article in Journal
Enhancement Without Contrast: Stability-Aware Multicenter Machine Learning for Glioma MRI Imaging
Previous Article in Journal
Optimization of Electric Bus Charging and Fleet Sizing Incorporating Traffic Congestion Based on Deep Reinforcement Learning
 
 
Font Type:
Arial Georgia Verdana
Font Size:
Aa Aa Aa
Line Spacing:
Column Width:
Background:
Article

Potential Recovery and Recycling of Condensate Water from Atlas Copco ZR315 FF Industrial Air Compressors

1
Department of Mechanical Engineering, ENSAM Moulay Ismail University, Meknes 50500, Morocco
2
Department of Industrial Process Engineering, Energy Systems, and Thermal Processes, Rabat School of Mines, Rabat 10000, Morocco
*
Author to whom correspondence should be addressed.
Inventions 2026, 11(1), 10; https://doi.org/10.3390/inventions11010010
Submission received: 27 November 2025 / Revised: 5 January 2026 / Accepted: 10 January 2026 / Published: 14 January 2026

Abstract

This research examines the feasibility of recovering and recycling condensate water, a waste byproduct generated by Atlas Copco ZR315 FF industrial air compressors utilizing oil-free rotary screw technology with integrated dryers. Given the growing severity of global water scarcity, finding alternative water sources is essential for sustainable industrial practices. This study specifically evaluates the potential of capturing and treating compressed air condensate as a viable method for water recovery. The investigation analyzes both the quantity and quality of condensate water produced by the ZR315 FF unit. It contrasts this recovery approach with traditional water production methods, such as desalination and atmospheric water generation (AWG) via dehumidification. The findings demonstrate that recovering condensate water from industrial air compressors is a cost-effective and energy-efficient substitute for conventional water production, especially in water-stressed areas like Morocco. The results show a significant opportunity to reduce industrial water usage and provide a sustainable source of process water. This research therefore supports the application of circular economy principles in industrial water management and offers practical solutions for overcoming water scarcity challenges within manufacturing environments.

1. Introduction

In an era defined by escalating global water scarcity, industries across all sectors face mounting pressure to innovate and adopt sustainable water management practices. The growing demand for fresh water in manufacturing, coupled with the rising environmental and economic costs of traditional sourcing, necessitates a shift toward unconventional water supplies. This challenge has spurred a search for untapped water sources hidden within the operational fabric of industrial facilities, transforming waste streams into valuable resources.
One such underutilized resource is the condensate water generated during air compression. Industrial air compressors are integral to countless manufacturing activities, from powering pneumatic tools to facilitating food production, and produce significant volumes of water as a byproduct of cooling and drying compressed air.
This research focuses on the significant potential of condensate produced by Atlas Copco ZR315 FF oil-free industrial air compressors as an economically attractive water source. The study aims to determine the feasibility of utilizing this condensate as a dependable source of process water. This will be achieved by evaluating its quality across key parameters (such as pH, conductivity, dissolved solids, and potential contaminants) and quantifying the volume produced under various operational conditions. Subsequently, a cost-effective pre-treatment protocol will be needed to ensure the water meets the quality standards required for industrial boilers.
Furthermore, the efficiency of this recovery method will be benchmarked against conventional water production technologies, as summarized in Table 1, including energy-intensive methods such as desalination and atmospheric water generation. Ultimately, this investigation aims to demonstrate how the effective utilization of compressor condensate contributes to the circular economy. This approach offers a scalable solution for industries to reduce their water footprint and enhance operational resilience.

2. Materials and Methods

2.1. Review of Desalination and Atmospheric Water Generation (AWG)

The pursuit of sustainable water management in industrial settings necessitates a thorough evaluation of existing water production technologies. While the recovery of condensate from compressed air systems presents a novel on-site solution, its viability is best understood when contextualized against established methods of water generation, namely desalination and atmospheric water generation (AWG).
These technologies, though effective, present distinct economic and environmental challenges that underscore the need for alternative sources like condensate recovery.

2.1.1. Desalination

Desalination is a critical process for global water supply, especially in arid and coastal regions, as it removes salt and other minerals from saline water, producing concentrated brine as a primary by-product. Given the increasing pressure on global water resources, desalination, alongside wastewater recycling, has become a vital and rainfall-independent water source. Current global initiatives aim to provide fresh water cost-effectively, balancing the high energy demands of desalination against the rising costs and depletion of conventional surface and groundwater reserves worldwide. The two primary technologies used are reverse osmosis (RO) and thermal distillation (Figure 1).
Reverse Osmosis (RO)
Reverse Osmosis (RO) is a widely adopted, pressure-driven membrane process and a leading global technology for desalination. It operates by applying high hydraulic pressure to a feed stream, which overcomes the solution’s natural osmotic pressure. This forces water molecules (permeate) through a semipermeable membrane (Figure 2) while effectively rejecting dissolved salts, minerals, and other solutes, which are retained in a concentrated brine stream. The continued advancements in membrane materials, energy recovery devices, and process optimization have solidified RO’s dominant position due to its increasing energy efficiency and cost-effectiveness.
In contrast, Forward Osmosis (FO) operates on a different principle. FO is an emerging process that utilizes a natural osmotic gradient, rather than hydraulic pressure, to draw water across a semi-permeable membrane from a dilute solution (like feedwater) into a highly concentrated “draw” solution in this case both water flux (Jw) and some solute flux (Js) (Figure 3) occur through the membrane. While FO often demonstrates superior resistance to membrane fouling and has a lower intrinsic energy demand, its widespread commercial application is currently hindered by challenges related to the efficient and economical regeneration of the draw solution [9].
Membrane fouling, primarily from particulate, colloidal, organic, or biological matter (biofouling), is the major operational challenge for Reverse Osmosis (RO) systems. It reduces permeate flow, increases required operating pressure, raises energy consumption and operating costs, and necessitates more frequent chemical cleaning.
Effective pre-treatment, such as ultrafiltration, microfiltration, and coagulation-flocculation, is therefore vital for optimal RO performance and longevity (Qasim et al. [10]).
The global desalination industry is substantial, with 15,906 operational plants producing 95.37 million m3/day (Jones et al. [11]).
The Middle East and North Africa account for 48% of this output. RO is the dominant technology, contributing 69% (65.5 million m3/day), far exceeding thermal methods (MSF at 18%, MED at 7%). Seawater is the main source (61%), followed by brackish water (21%) and river water (8%) (Figure 4).
A major environmental challenge is the resulting brine, which is approximately 50% greater in volume than the desalinated water produced. Consequently, current research is intensely focused on developing more cost-effective and environmentally acceptable methods for brine disposal. Additionally, there is growing interest in resource recovery, specifically the extraction of valuable minerals from the concentrate, as detailed in Appendix A.1 [12,13,14,15,16].
Reverse Osmosis (RO) produces a significant environmental byproduct: hypersaline brine concentrate, which contains rejected salts and impurities at high concentrations. Managing and disposing of this concentrate is a major concern.
Specifically, discharging this brine, especially into marine or coastal areas, severely threatens local aquatic ecosystems. The elevated local salinity disrupts the osmotic balance of marine life. Additional negative impacts can stem from residual pre-treatment chemicals or thermal differences between the brine and the receiving water. Therefore, sustainable brine management strategies are crucial.
Current, common approaches include deep-well injection, using evaporation ponds, or dilution with other water outflows. More advanced, albeit high-cost, methods aim for Minimal Liquid Discharge (MLD) or Zero Liquid Discharge (ZLD). ZLD systems, which require four process steps, differ fundamentally from MLD systems, which only require two (as detailed in Figure 5), and both present distinct economic and technical challenges.
Thermal Desalination Fundamentals (MSF and MED)
Thermal desalination, a process that produces pure water by heating saline water to create and then condense water vapor, primarily employs two methods: multi-stage flashing (MSF) and multi-effect desalination (MED). To enhance performance and optimize energy consumption, MED plants can integrate a compressor (either thermal or mechanical), resulting in processes known as MED-TVC (thermal vapor compression) and MED-MVC (mechanical vapor compression) [17].
Both MSF and MED systems operate on the principle of boiling point depression, achieved by operating under a partial vacuum. This low-pressure environment significantly reduces the seawater’s boiling point (Table 2), thereby lowering the energy required for the phase change. The water boiling temperature is determined by the Clausius-Clapeyron equation [18]:
T = T0/(1 − (R·T0/ΔHᵥₐₚ)·ln(P/P0))
T = boiling temperature at pressure P and T0 = normal boiling point (373.15 K)
P = pressure (Pa) and P0 = reference atmospheric pressure (101,325 Pa)
R = gas constant (8.314 J/(mol·K))
ΔHᵥₐₚ = enthalpy of vaporization (~40,660 J/mol for water)
For instance, while water boils at 100 °C at standard atmospheric pressure (1 atm), reducing the pressure to 0.25 bar lowers its boiling point to 65 °C.
Maintaining operational stability in thermal plants necessitates keeping seawater temperatures below 65 °C.
This critical measure allows plant operators to effectively control mineral scale formation and prevent severe issues arising from high-temperature heating.
Figure 6 illustrates the two distinct distillation processes: Multi-Effect Distillation (MED) in panel A and Multi-Stage Flash (MSF) Distillation in panel B.
Multi-Effect Distillation (MED):
The MED process features four sequential effects (First, Second, Third, and Fourth), where steam passes through multiple stages. Each effect comprises evaporation chambers at the top and condensation occurring below. Steam input heats the first effect, and the vapor generated in each subsequent effect serves as the heating source for the next. This creates a cascading heat recovery system. Seawater enters from the right side, yielding both freshwater and brine outputs.
Multi-Stage Flash (MSF):
In contrast, the MSF process consists of three stages (First, Second, and Third) operating on a different principle. Seawater is preheated by steam in a heat exchanger (indicated in red on the left). It then flashes into vapor as it enters chambers maintained at progressively lower pressures. Each stage incorporates a mesh/grid structure for efficient vapor-liquid separation. The flashing occurs due to pressure reduction rather than direct heating in each stage. Steam input provides the initial heating, and the system also produces freshwater and brine. The fundamental difference between these two methods is that MED utilizes multiple effects with direct heat transfer between stages, whereas MSF employs flash evaporation in chambers at decreasing pressures, driven by a single initial heat input.
Do Thi et al. [21] identify Reverse Osmosis (RO) as the superior desalination technology regarding cost, energy efficiency, and environmental impact, achieving a top score of 1.00 in Multi-Criteria Decision Analysis. With energy consumption as low as 5–9 kWh/m3 and production costs between USD 0.52–0.56/m3, RO significantly outperforms thermal methods (MSF and MED). However, thermal technologies retain a niche advantage in resilience, offering greater stability and higher recovery rates when treating feed water with exceptionally high salinity or complex contamination, scenarios where RO efficiency typically degrades (Table 3).

2.1.2. Atmospheric Water Generation (AWG)

Air-to-Water Generation (AWG) technologies, which are used to extract water from the air, utilize either active or passive cooling methods or desiccants to remove water vapor (as illustrated in Figure 7). The energy consumption of these technologies is a significant factor, varying considerably depending on the specific technology employed, along with the ambient temperature and humidity.
Potyka et al. [26] categorize water-from-air technologies into two main types: passive systems, which directly leverage natural energy sources such as solar energy, and active systems, which depend on the transformation of energy vectors.
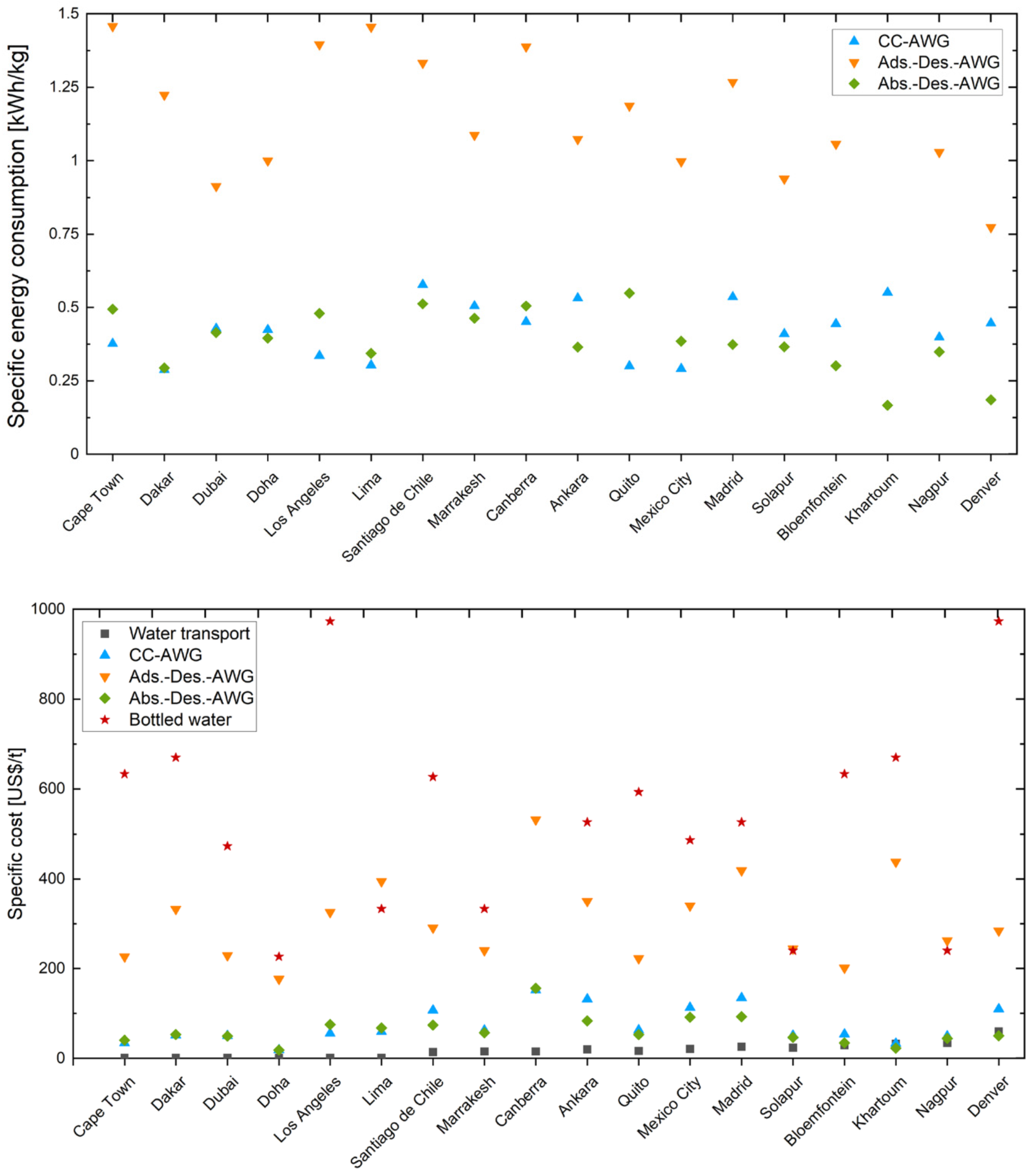
Potyka et al. [26] conducted a detailed analysis comparing the energetic and economic feasibility of three active atmospheric water generation (AWG) technologies: cooling condensation (CC-AWG), adsorption-desorption (ads.-Des.-AWG), and absorption-desorption (abs.-Des.-AWG). This involved thermodynamic modeling and location-specific economic comparisons against bottled water (Figure 8).
The study highlights that absorption systems are the most energy-efficient (0.38 kWh/kg), closely followed by CC-AWG (0.42 kWh/kg), while adsorption systems show the lowest efficiency (1.16 kWh/kg). Economically, AWG technologies are most competitive with conventional sources in inland regions (over 600 km from the coast) that benefit from low electricity costs (under 0.10 US$/kWh). Furthermore, AWG is generally competitive with bottled water prices, with the absorption-desorption AWG having the lowest operating costs. However, a major constraint is the high variability in water production across all AWG technologies. Consequently, despite the energy efficiency of absorption systems, which still require further development, AWG technologies are best suited as a complementary, rather than a primary water supply.
Peeters et al. [27] reviewed atmospheric water generation (AWG) technologies, emphasizing their energy efficiency and climate dependence, quantified by specific water yield (L/kWh), the inverse of Specific Energy Consumption (SEC).
Despite atmospheric water vapor being an inexhaustible resource, AWG systems are notably energy-intensive, requiring over a hundred times more energy than seawater desalination, thus posing a significant water-energy nexus challenge that necessitates novel, energy-efficient concepts. Their analysis indicated that cooling condensation technologies achieve 1–4 L/kWh, best suited for hot, humid climates, while adsorption/desorption systems, typically yielding 0.1–1 L/kWh, are more appropriate for dry, arid regions. Recent advancements in desiccant materials, such as metal-organic frameworks (MOFs) and super moisture-absorbent gels (SMAG), show promise for enhanced efficiency, with SMAG achieving up to 9.28 L/kWh at 90% relative humidity. Complementing this, Cattani et al. [28] investigated a large-scale, integrated AWG system in a Dubai worker village, which simultaneously produced an average of 1585 L/day of potable water, provided cooled and dehumidified air for HVAC, and thermal energy for domestic water heating.
This system demonstrated high Water Energy Transformation (WET) efficiency with less than 3% error, achieving substantial annual water production (825,543.5 L), significant energy savings (e.g., 634,509.5 kWh for heating), and notable economic returns, including a 1.85-year simple payback and a Net Present Value exceeding 958,000$ over 10 years. Furthermore, it offered environmental benefits by avoiding 11.4 metric tons of plastic waste annually and reducing transportation impacts, with water quality comparable to major bottled brands.
Despite potential energy savings from integrated designs, such as those demonstrated by Cattani et al. [28] which maximize thermodynamic cycle benefits, Atmospheric Water Generation (AWG) systems typically remain energy-intensive.
This high energy demand currently restricts their practical use primarily to residential or non-industrial settings.
Commercial, compact solutions, such as those from the French startup Kumuls water (see Figure 9) [29], pose a significant obstacle to widespread implementation. These systems are often priced above 4000 euros and suffer from a high Specific Energy Consumption (SEC) of 0.8 kWh per liter of water produced.

2.2. Water Generation from Condensate Recycling in Oil-Free Rotary Screw Air Compressors Atlas Copco ZR315 FF with Integrated Dryer

Our study focuses on an industrial plant equipped with four Atlas Copco ZR315 air compressors. These units annually produce approximately 70 million normal cubic meters (Nm3) of compressed air at 6.5 bar pressure. The energy consumption is nearly 9 GWh, resulting in a specific energy ratio of 128 Wh/Nm3 of compressed air.
The compressed air system serves two main functions:
Dry Air: Characterized by a dew point of −40 °C, this air is distributed across five branches (shown in red in Figure 10). Each of these dry air branches is monitored with a VA500 CS instruments Flow meter for dry air [30]. This dry air is crucial for controlling electropneumatic valves and various devices, including the compressed air pulsed blowing systems used to remove caked or accumulated material from boiler piping.
Humid Air: Sourced directly from the three standard compressors (N°1, 2, and 3 in Figure 10), this air is utilized in two branches. These humid air branches are equipped with a VD500 CS instruments Flow meter for wet air [31] and are used for general applications such as cleaning.
The specific compressor under investigation, Compressor N°4 in Figure 10, is a pivotal component in the system and is distinguished by its incorporation of both a Variable Speed Drive (VSD) and a specialized integrated dryer.
The inclusion of the VSD allows for dynamic adjustment of the motor speed to precisely match air demand, which is crucial for achieving significant energy savings and optimizing overall system efficiency. More importantly for this study, this particular unit is configured to harness the inherent heat waste generated during the compression cycle. This recovered thermal energy is strategically channeled and utilized as the primary heat source for the subsequent drying process within the integrated Dryer unit. This sophisticated heat recovery mechanism not only reduces the energy required for air drying but also serves as an effective method for minimizing the overall thermal rejection to the environment, thereby enhancing the sustainability and cost-effectiveness of the entire compressed air station operation.
The Table 4 below compares the four compressors using measured data (compressed air output flow and electrical power input).
Compressor N°4 is the most energy-efficient unit, consuming only 104 Wh of electricity per 1 Nm3 of dry compressed air produced. This translates to a 28.5% energy saving compared to Compressors N°1 and N°3, which both require 146 Wh for 1 Nm3 of wet compressed air. Given its superior efficiency and the combined process of producing and drying compressed air, our evaluation will focus exclusively on Compressor N°4. The primary goal is to accurately determine the volume of condensate water generated as a by-product of its air production process.

2.2.1. Atlas Copco ZR315 VSD FFCompressor N°4 Specifications

The Atlas Copco ZR315 VSD FF is a 315 kW, oil-free, water-cooled rotary screw air compressor. It utilizes Variable Speed Drive (VSD) technology, allowing the motor speed to automatically adapt to air demand, which can achieve energy savings of up to 35% compared to fixed-speed compressors [32]. This model delivers Class 0 certified oil-free compressed air, making it an excellent choice for purity-critical sectors such as food and beverage, pharmaceutical, electronics, and textile industries. Furthermore, its water-cooled (Full Feature) design offers potential for heat recovery.
The compressed air drying process, illustrated schematically in Figure 11, is a two-stage system combining compression and heat exchange to remove moisture.
The system operates in three distinct phases:
Air Intake and Compression: Air enters the system and is processed through two modules:
  • Module 1: Contains a low-pressure element, its associated heat exchanger, and an oil pump.
  • Module 2: Contains a high-pressure element with similar components. Both modules compress the air, and the heat exchangers manage the resulting temperature increase, while oil pumps provide necessary lubrication and cooling.
Intercooling and Condensate Formation: The compressed air moves to an intercooler. Here, cooling water absorbs heat, causing water condensate to form and be expelled from the system.
Final Drying: The air then passes through a rotary drum dryer, which includes an additional heat exchanger. This stage achieves further moisture removal through a combination of heat exchange and mechanical drying, producing the final water condensate.
During the compression process, cooling water continuously circulates, entering the system at various points to dissipate the heat generated. This water absorbs thermal energy and exits, a process that ensures effective moisture removal, resulting in dry compressed air suitable for diverse industrial uses.
This study will focus on condensate water, a byproduct of the compression process. Our objective is to quantify its potential for reuse, aiming to convert this waste stream into high-quality demineralized water.
Even compressors labeled “oil-free” still require oil for overall machine operation. The term “oil-free” specifically applies only to the compression chamber, which is the section where the air is actively compressed. Outside of this chamber, oil remains essential for lubricating and cooling other moving parts, such as the motor bearings, gear drives, and the gearbox.
An oil pump ensures the proper circulation of this necessary oil to these components, which in turn guarantees the longevity of the drive train.
Photographs of the Atlas Copco ZR315 FF compressor are displayed in Figure 12 and Figure 13. Appendix A.2 provides a 3D model of this compressor, highlighting its seven key components: the low and high-pressure elements (1), the monitoring system (2), the electrical motor (3), the VSD module (4), the intercooler (5), the zero-loss drains (6), and the rotary drum dryer (10).

2.2.2. Assessment of Condensate Water Production: Quantity and Quality Analysis for the Atlas Copco ZR315 VSD FF Compressor

The Atlas Copco ZR315 VSD FF compressor (Unit N°4), which features an integrated dryer, generates water condensate at two separate points within the compressed air system: the intercooler and the rotary drum dryer (see Figure 14).
To assess the volume and characteristics of this water condensate, three distinct measurement tests were performed on 9 October, 10 October, and 20 November (representing the colder period) (as shown in Figure 15).
Quantity of Condensate Water Production
To establish a baseline for the study, the initial step involved contacting Atlas Copco’s technical service in France to acquire the manufacturer-reported condensate production quantity for the Atlas Copco ZR315 VSD FF air compressor. The provided data [34], which includes the condensate production rate, is summarized in Table 5 and visually represented in Figure 16.
The figure identifies three distinct climate scenarios, each associated with a highly correlated tendency equation (R2 > 0.996) for the condensate flow rate (Table 6).
To assess the feasibility of recovering and recycling condensate water from Atlas Copco ZR315 FF industrial air compressors, a data collection campaign was carried out. This involved measuring the operational and chemical parameters of the condensate water.
Data was gathered across three testing days: October 9th (baseline), October 10th (confirmation), and November 20th (final confirmation). All results are compiled in Table 7. The measured flow rate was found to be consistent with the value correlated to the trendline equation, which is influenced by the test temperature (°C) and relative humidity (%).
The Variable Speed Drive (VSD) compressor N°4 demonstrates peak efficiency within a moderate-to-high load band, typically between 40% and 80% of their maximum capacity, measured in terms of Specific Energy Consumption (Wh/Nm3).
This technology allows the motor speed and air output to precisely match current demand, unlike fixed-speed compressors, thereby maximizing energy savings.
The optimal operating point was determined to be a compressor load of 80% to maximize these energy savings. For instance, reducing the speed (N) by 20% (N2 = 80% N1) results in a power reduction (P) to approximately 51% of the original power
(P2 = P1 × (N2/N1)3 = P1 × 0.83), leading to nearly 49% energy saving.
However, operating outside this optimal range compromises the VSD advantage. Below 40% load, the reduced motor and drive efficiency often negate the energy savings from the speed reduction. Conversely, above 80% load, the unit approaches maximum speed and behaves more like a less-efficient fixed-speed compressor [35]. This principle is visually confirmed by efficiency curves in Figure 17. Therefore, to realize the promised energy and cost savings, VSD compressors must be strategically utilized within their established, optimized loading ranges. Setting the target load at 80% places the operation firmly within this most efficient zone, effectively balancing high productivity with minimal electrical power consumption.
Quality of Condensate Water Production
Condensate water from compressor N°4 was collected in two separate bottles (Figure 18) for subsequent analysis. A UIUZMAR 7-in-1 Monitor, which is designed for hydroponics and aeroponics control and includes 4 calibration toolkits (as shown in the right picture in the figure below), was used to test the samples. The analysis measured several parameters, including pH, Electrical Conductivity (EC), Total Dissolved Solids (TDS), Oxidation-Reduction Potential (ORP), Conductivity Factor (CF), temperature, and air humidity.
The Water Quality Tester device is displaying 7 parameters:
pH (6.8): The water is slightly acidic to near-neutral. This is typical for condensate water, which often contains dissolved CO2 forming carbonic acid. This pH level indicates mild corrosivity potential.
Electrical Conductivity (0.02 mS/cm) and TDS (10 ppm): These extremely low values indicate the condensate water is highly pure with minimal dissolved ions. This is expected for condensate from compressed air systems, as water vapor condenses without carrying dissolved solids.
Conductivity Factor (0.2): This low value confirms the high purity of the water sample.
ORP (325 mV—displayed in red): This positive ORP value indicates oxidizing conditions. The red display suggests this value may be outside the normal range, potentially indicating the presence of dissolved oxygen or other oxidizing agents in the condensate.
Temperature (23.0 °C) and Humidity (45%): These environmental conditions are within normal room temperature range and moderate humidity, providing stable testing conditions.
The quality test results indicate that the condensate water is highly pure, comparable to demineralized water required for boilers. The only parameter outside the normal range is the ORP (Oxidation-Reduction Potential) value.
Adjacent to the compressors building is a Reverse Osmosis (RO) water demineralization plant. This system produces feed water for the three boilers, meeting the following stringent quality requirements:
Conductivity: Less than <10 mS/cm at 25 °C. This low conductivity ensures minimal dissolved ion content.
Silica SiO2: Less than <0.5 mg/L. This limit is necessary to prevent scaling and deposits within the boilers.
Iron: Less than <0.2 mg/L. Maintaining a low iron concentration is crucial for avoiding staining and corrosion.
Salinity (TDS): Less than <10 mg/L. This Total Dissolved Solids limit signifies very high water purity.
The measured condensate water EC (20 µS/cm or 0.02 mS/cm) satisfies the required limit of <10 mS/cm. However, the TDS (10 mg/L or 10 ppm) is slightly above the required limit of <10 mg/L.
Despite these minor discrepancies, the results suggest that the condensate from compressor N°4 is likely suitable for standard discharge. Furthermore, with essential pre-treatment like softening and polishing, this condensate could be transformed into demineralized water. This offers a more economical alternative to the existing, costly reverse osmosis (RO) water supply.

3. Results and Discussion

The analysis detailed in Section 2.2 confirms that the condensate from air compressor N°4 is a high-quality byproduct, ideally suited for recovery and reuse as demineralized water for the three on-site boilers. Under typical operating conditions (20 °C ambient temperature, 70% relative humidity, and 80% + VSD compressor load), the flow rate is approximately 19 L/h. The excellent quality of this water (Total Dissolved Solids (TDS) = 10 mg/L; Electrical Conductivity (EC) = 0.02 mS/cm) allows it to directly supplement the boiler feed tank supply. Only a simple, low-cost pretreatment, as illustrated in Figure 19, is required.
Furthermore, replacing the remaining three compressors with the same technology would secure a continuous, significantly increased source of demineralized water. With all four compressors running for 8700 h per year, the total flow rate would reach 76 L per hour, yielding a potential recovery of 661 m3 of demineralized water annually.
The potential for recovering and recycling condensate water from industrial air compressors is substantial, as highlighted by a study on an Atlas Copco ZR315 FF facility. This facility, with an installed electrical capacity of 1260 kW from four units, produces approximately 70 million Nm3 of compressed air annually. By implementing the same recovery technology used on Unit N°4 across all units, the facility could yield 661 m3 of demineralized water per year from the waste condensate.
This result translates to an impressive Energy-to-Water reuse Production Ratio of 0.525 m3 of demineralized water per kW of installed capacity annually.
Applying this potential to a broader industrial context, our field survey in the Jorf Lasfar industrial zone in Morocco identified a combined air compressor installed capacity of 19,400 kW across three plants. Given the region’s severe freshwater scarcity, which currently necessitates the use of a seawater desalination plant, reusing this condensate water offers a significant opportunity. The total recoverable demineralized condensate water from this capacity is estimated at 10,185 m3.
This recovered volume offers considerable economic and environmental benefits. Economically, it represents an annual saving of $20,370 to $50,925, based on typical industrial rates for demineralized water ($2–$5 per m3). Environmentally, recovering 10,185 m3 of water conserves the same amount of freshwater that would otherwise be required for boiler makeup and significantly reduces the volume of wastewater discharged.
A forthcoming, more comprehensive paper will expand on this initial assessment by analyzing the total air compressor installed capacity throughout Morocco.
The objective is to fully evaluate the potential of reusing this valuable condensate water source for both agricultural and industrial applications, directly addressing the national context of water scarcity.

4. Conclusions

This comprehensive study confirms the substantial potential for recovering and recycling condensate water from Atlas Copco ZR315 FF oil-free industrial air compressors as a sustainable and high-quality alternative water source. The analysis of Compressor N°4 demonstrated that the condensate is highly pure (Total Dissolved Solids (TDS) = 10 mg/L; Electrical Conductivity (EC) = 0.02 mS/cm), closely meeting the stringent quality requirements for boiler feed water. A simple, low-cost pre-treatment is a viable and cost-effective approach to repurpose this waste water, offering a superior alternative to energy-intensive and costly conventional methods like Reverse Osmosis (RO) and Atmospheric Water Generation (AWG).
Scaling this recovery solution across the four units in the studied facility could yield an annual recovery of 661 m3 of demineralized water, corresponding to an Energy-to-Water reuse Production Ratio of 0.525 m3 per kW of installed capacity. Extrapolating this to the 19,400 kW of installed capacity identified in the Jorf Lasfar industrial zone indicates a potential annual recovery of 10,185 m3 of demineralized water. This recovered volume offers significant economic benefits, estimated at $20,370 to $50,925 in annual savings, while simultaneously conserving a substantial amount of freshwater.
In conclusion, the recovery and recycling of air compressor condensate provides a practical, scalable, and environmentally responsible solution for industrial water management. This research strongly supports the adoption of circular economy principles, offering a direct and impactful strategy to enhance operational resilience and combat acute water scarcity, particularly in water-stressed regions such as Morocco. Further work is planned to fully evaluate the national potential of this resource for broader agricultural and industrial applications.

Author Contributions

Conceptualization, A.B. and Z.C.; methodology, A.B., Z.C., B.E. and M.R.; validation, Z.C., B.E. and M.R.; formal analysis, A.B.; investigation, A.B. and Z.C.; resources, Z.C.; writing—original draft preparation, A.B.; writing—review and editing, A.B., Z.C., B.E. and M.R.; visualization, A.B.; supervision, B.E. and M.R.; project administration, B.E. and M.R. All authors have read and agreed to the published version of the manuscript.

Funding

This research received no external funding.

Data Availability Statement

Data are contained within the article.

Conflicts of Interest

The authors declare no conflicts of interest.

Abbreviations

The following abbreviations are used in this manuscript:
AWGAtmospheric Water Generation
ROReverse Osmosis
FOForward Osmosis
MSFMulti-Stage Flashing
MEDMulti-Effect Desalination
SECSpecific Energy Consumption ratio in kWh/m3
TDSTotal Dissolved Solids in ppm or mg/L
ECElectrical Conductivity
ORPOxidation-Reduction Potential
CFConductivity Factor
PHPotential of Hydrogen measures the acidity or alkalinity (basicity) of a solution
RHRelative Humidity in % of the ambient air
VSDVariable Speed Drive of air compressor [36,37]
VSD FFFull Feature model of Atlas Copco Air compressor [38]

Appendix A

Appendix A.1

Following studies like L. Ma et al. [39], which focus on the management of industrial solid waste, there has been significant research into recovering minerals or valuable elements from brine.
Figure A1. The key technologies for treating and valorizing desalination brine, alongside potential applications of urease-based Microbially Induced Carbonate Precipitation (MICP) for brine valorization [12,13].
Figure A1. The key technologies for treating and valorizing desalination brine, alongside potential applications of urease-based Microbially Induced Carbonate Precipitation (MICP) for brine valorization [12,13].
Inventions 11 00010 g0a1

Appendix A.2

Figure A2. The 3D model of an Atlas Copco ZR 200-355 VSD+ FF (iMDG) [33].
Figure A2. The 3D model of an Atlas Copco ZR 200-355 VSD+ FF (iMDG) [33].
Inventions 11 00010 g0a2

References

  1. A Brief History of the Energy Intensity of Desalination. Available online: https://www.danfoss.com/en/about-danfoss/articles/hpp/a-brief-history-of-the-energy-intensity-of-desalination/#:~:text=As%20seen%20above%2C%20the%20specific,depending%20on%20the%20technology%20used (accessed on 9 October 2025).
  2. Energy Requirements of Desalination Processes. Available online: https://www.desware.net/energy-requirements-desalination-processes.aspx#:~:text=None,GOR%20%E2%80%93%20Gain%20Output%20Ratio (accessed on 9 October 2025).
  3. Marzooq, M.; Alsabbagh, M.; Al-Zubari, W. Energy Consumption in the Municipal Water Supply Sector in the Kingdom of Bahrain. Comput. Water Energy Environ. Eng. 2018, 7, 95. [Google Scholar] [CrossRef]
  4. How Much Electricity Does a Kumulus Solution Use Each Day? Our Impact|Kumulus CSR. Available online: https://www.kumuluswater.com/corporate-social-responsability (accessed on 9 October 2025).
  5. Shafeian, N.; Ranjbar, A.A.; Gorji, T.B. Progress in atmospheric water generation systems: A review. Renew. Sustain. Energy Rev. 2022, 161, 112325. [Google Scholar] [CrossRef]
  6. Correia, V.; Silva, P.D.; Pires, L.C. Energy Requirements and Photovoltaic Area for Atmospheric Water Generation in Different Locations: Lisbon, Pretoria, and Riyadh. Energies 2023, 16, 5201. [Google Scholar] [CrossRef]
  7. Texas Water Tour: Desalination. Available online: https://comptroller.texas.gov/economy/economic-data/water/2022/desalination.php (accessed on 9 October 2025).
  8. Liu, W.; Livingston, J.L.; Wang, L.; Wang, Z.; del Cerro, M.; Younssi, S.A.; Epsztein, R.; Elimelech, M.; Lin, S. Pressure-driven membrane desalination. Nat. Rev. Methods Primers 2024, 4, 10. [Google Scholar] [CrossRef]
  9. Aquaporin. Difference Between FO and RO. The Difference Between Forward and Reverse Osmosis—Aquaporin. Available online: https://aquaporin.com/difference-between-fo-and-ro/ (accessed on 9 October 2025).
  10. Qasim, M.; Badrelzaman, M.; Darwish, N. Reverse osmosis desalination: A state-of-the-art review. Desalination 2019, 459, 59–104. [Google Scholar] [CrossRef]
  11. Jones, E.; Qadir, M.; Van Vliet, M.T.; Smakhtin, V.; Kang, S.M. The state of desalination and brine production: A global outlook. Sci. Total Environ. 2019, 657, 1343–1356. [Google Scholar] [CrossRef] [PubMed]
  12. Panagopoulos, A.; Michailidis, P. Membrane Technologies for Sustainable Wastewater Treatment: Advances, Challenges, and Applications in Zero Liquid Discharge (ZLD) and Minimal Liquid Discharge (MLD) Systems. Membranes 2025, 15, 64. [Google Scholar] [CrossRef] [PubMed]
  13. Al-Addous, M.; Bdour, M.; Rabaiah, S.; Boubakri, A.; Schweimanns, N.; Barbana, N.; Wellmann, J. Innovations in Solar-Powered Desalination: A Comprehensive Review of Sustainable Solutions for Water Scarcity in the Middle East and North Africa (MENA) Region. Water 2024, 16, 1877. [Google Scholar] [CrossRef]
  14. Arias, D.; Gallardo, K.; Saldana, M.; Galleguillos-Madrid, F. Urease-Driven Microbially Induced Carbonate Precipitation (MICP) for the Circular Valorization of Reverse Osmosis Brine Waste: A Perspective Review. Minerals 2025, 15, 543. [Google Scholar] [CrossRef]
  15. Avramidi, M.; Spyropoulou, C.; Loizou, C.; Kyriazi, M.; Novakovic, J.; Moustakas, K.; Malamis, D.; Loizidou, M. Adding Value to Reclaimed Water from Wastewater Treatment Plants: The Environmental Feasibility of a Minimal Liquid Discharge System for the Case Study of Larnaca. Sustainability 2023, 15, 4305. [Google Scholar] [CrossRef]
  16. Okampo, E.J.; Nwulu, N.; Bokoro, P.N. Economic and Reliability Assessment of Hybrid PRO-RO Desalination Systems Using Brine for Salinity Gradient Energy Production. Sustainability 2022, 14, 3328. [Google Scholar] [CrossRef]
  17. Veolia Thermal Desalination References. More Thermal Desalination References. Available online: https://www.sidem-desalination.com/about-sidem/sidems-main-references/more-thermal-desalination-references (accessed on 30 October 2025).
  18. The Clausius-Clapeyron Equation from the LibreTexts Chemistry Website. Available online: https://chem.libretexts.org/Bookshelves/Physical_and_Theoretical_Chemistry_Textbook_Maps/Supplemental_Modules_(Physical_and_Theoretical_Chemistry)/Physical_Properties_of_Matter/States_of_Matter/Phase_Transitions/Clausius-Clapeyron_Equation (accessed on 30 October 2025).
  19. The Engineering ToolBox Online Calculator for Water—Boiling Points at Vacuum Pressure. Available online: https://www.engineeringtoolbox.com/water-evacuation-pressure-temperature-d_1686.html (accessed on 30 October 2025).
  20. Wang, J.; Huo, E. Opportunities and Challenges of Seawater Desalination Technology. Front. Energy Res. 2022, 10, 960537. [Google Scholar] [CrossRef]
  21. Do Thi, H.T.; Pasztor, T.; Fozer, D.; Manenti, F.; Toth, A.J. Comparison of Desalination Technologies Using Renewable Energy Sources with Life Cycle, PESTLE, and Multi-Criteria Decision Analyses. Water 2021, 13, 3023. [Google Scholar] [CrossRef]
  22. Washahi, M.A.; Gopinath, A.S. Techno Economical Feasibility Analysis of Solar Powered RO Desalination in the Sultanate of Oman. In Proceedings of the 9th IEEE-GCC Conference and Exhibition (GCCCE), Manama, Bahrain, 8–11 May 2017; pp. 1–9. [Google Scholar] [CrossRef]
  23. Cherif, H.; Belhadj, J. Chapter 15-Environmental Life Cycle Analysis of Water Desalination Processes. In Sustainable Desalination Handbook; Butterworth-Heinemann: Oxford, UK, 2018; pp. 527–559. [Google Scholar] [CrossRef]
  24. Abdelkareem, M.A.; El Haj Assad, M.; Sayed, E.T.; Soudan, B. Recent progress in the use of renewable energy sources to power water desalination plants. Desalination 2018, 435, 97–113, Corrigendum in Desalination 2018, 444, 178. https://doi.org/10.1016/j.desal.2018.05.003. [Google Scholar] [CrossRef]
  25. Al-Karaghouli, A.; Kazmerski, L.L. Energy consumption and water production cost of conventional and renewable-energy powered desalination processes. Renew. Sustain. Energy Rev. 2013, 24, 343–356. [Google Scholar] [CrossRef]
  26. Potyka, J.; Dalibard, A.; Tovar, G. Energetic analysis and economic viability of active atmospheric water generation technologies. Discov. Appl. Sci. 2024, 6, 153. [Google Scholar] [CrossRef]
  27. Peeters, R.; Vanderschaeghe, H.; Rongé, J.; Martens, J. Energy performance and climate dependency of technologies for fresh water production from atmospheric water vapour. Environ. Sci. Water Res. Technol. 2020, 6, 2016–2034. [Google Scholar] [CrossRef]
  28. Cattani, L.; Cattani, P.; Magrini, A. Air to Water Generator Integrated System Real Application: A Study Case in a Worker Village in the United Arab Emirates. Appl. Sci. 2023, 13, 3094. [Google Scholar] [CrossRef]
  29. Our Technology How It Works. Available online: https://www.kumuluswater.com/solutions/amphore (accessed on 20 November 2025).
  30. CS Instruments VA 500—Flow Sensor for Dry Compressed Air. Instruction Manual Flow Sensor VA 500. Available online: https://www.cs-instruments.com/cs-data/Bedienungsanleitungen/Instruction%20manuals_EN_new/Instruction_manual_VA500_EN.pdf (accessed on 20 November 2025).
  31. CS Instruments VD 500—Flow Sensor for Wet Compressed Air. Instruction Manual Flow Sensor VD 500. Available online: https://www.cs-instruments.com/cs-data/Bedienungsanleitungen/Instruction%20manuals_EN_new/Instruction_manual_VD_500_EN.pdf (accessed on 20 November 2025).
  32. VSD: DRIVING DOWN ENERGY COSTS Page 10. ZR/ZT 110-275(FF)_ZR/ZT 132-315 VSD (FF)_EN. Available online: https://www.atlascopco.com/content/dam/atlas-copco/compressor-technique/oil-free-air/documents/2935053813_leaflet%20ZRZT110-275_LR_ineko.pdf (accessed on 20 November 2025).
  33. Oil-Free Rotary Screw Compressors ZR/ZT 200-355 VSD Page 38. Available online: https://www.atlascopco.com/content/dam/atlas-copco/compressor-technique/oil-free-air/documents/zrzt-200-355-vsd.pdf (accessed on 20 November 2025).
  34. Atlas Copco’s Technical Service in France Replied to Provide the Manufacturer-Reported Condensate Production Quantity for the Atlas Copco ZR315 VSD FF air Compressor (Unit N°4). Atlas Copco France Confirmation.pdfWater Condensate AtlasCopco.xlsx. Available online: https://drive.google.com/file/d/1TRmQIvc0nm3gBjdYBaEdMuMSToGnmFC6/view (accessed on 20 November 2025).
  35. The Pros and Cons of Variable Speed Drive Compressors—KAESER Know How blog. Available online: https://au.kaeser.com/services/blog/the-pros-and-cons-of-vsd-compressors.aspx (accessed on 20 November 2025).
  36. Best Practice Guide for Using the Variable Speed Drive Compressors. Air Compressors with Integral Variable Speed Control. Available online: https://www.druckluft-effizient.de/downloads/dokumente/uk-vsd.pdf (accessed on 20 November 2025).
  37. The CPD Programme: Fundamentals of Variable Speed Drives. Available online: https://www.energyinst.org/?a=1406830 (accessed on 20 November 2025).
  38. Full Feature Model of Atlas Copco Air Compressor. Available online: https://www.atlascopco.com/en-us/compressors/customerbenefit/energy-savings-manufacturer-milling-tools (accessed on 20 November 2025).
  39. Ma, L.; Ghorbani, Y.; Kongar-Syuryun, C.B.; Khayrutdinov, M.M.; Klyuev, R.V.; Petenko, A.; Brigida, V. Dynamics of backfill compressive strength obtained from enrichment tails for the circular waste management. Resour. Conserv. Recycl. Adv. 2024, 23, 200224. [Google Scholar] [CrossRef]
Figure 1. The two water Desalination Processes: Thermal and Reverse Osmosis (RO) [7].
Figure 1. The two water Desalination Processes: Thermal and Reverse Osmosis (RO) [7].
Inventions 11 00010 g001
Figure 2. Schematic of a seawater reverse osmosis desalination plant and spiral module [8].
Figure 2. Schematic of a seawater reverse osmosis desalination plant and spiral module [8].
Inventions 11 00010 g002
Figure 3. The key distinction between forward and reverse osmosis lies in the direction of water flux (Jw). In reverse osmosis, applied pressure forces (Jw) against the natural osmotic gradient, whereas in forward osmosis, (Jw) flows naturally with the gradient [9].
Figure 3. The key distinction between forward and reverse osmosis lies in the direction of water flux (Jw). In reverse osmosis, applied pressure forces (Jw) against the natural osmotic gradient, whereas in forward osmosis, (Jw) flows naturally with the gradient [9].
Inventions 11 00010 g003
Figure 4. Major desalination feedwater-technology combinations by (a) global share in the desalinated water production (%), (b) global share in brine production (%) and (c) total desalination capacity and volume of brine produced (million m3/day) [11].
Figure 4. Major desalination feedwater-technology combinations by (a) global share in the desalinated water production (%), (b) global share in brine production (%) and (c) total desalination capacity and volume of brine produced (million m3/day) [11].
Inventions 11 00010 g004
Figure 5. The main steps of ZLD and MLD configurations [12].
Figure 5. The main steps of ZLD and MLD configurations [12].
Inventions 11 00010 g005
Figure 6. Schematic of the seawater desalination process: (A) MED, (B) MSF [20].
Figure 6. Schematic of the seawater desalination process: (A) MED, (B) MSF [20].
Inventions 11 00010 g006
Figure 7. Atmospheric Water Generation (AWG) Process: A Block Diagram Overview [26].
Figure 7. Atmospheric Water Generation (AWG) Process: A Block Diagram Overview [26].
Inventions 11 00010 g007
Figure 8. Cost and Energy Consumption of Water Production. Using Various Atmospheric Water Generation (AWG) Technologies at Different Sites (Based on Potyka et al. [26]).
Figure 8. Cost and Energy Consumption of Water Production. Using Various Atmospheric Water Generation (AWG) Technologies at Different Sites (Based on Potyka et al. [26]).
Inventions 11 00010 g008
Figure 9. Schematic and picture of the compact AWG (Atmospheric Water Generator) solution developed by the French startup Kumuls Water [29].
Figure 9. Schematic and picture of the compact AWG (Atmospheric Water Generator) solution developed by the French startup Kumuls Water [29].
Inventions 11 00010 g009
Figure 10. The Process Flow Diagram (PFD) for compressed air production in the studied plant using color-coding to show: Wet air (green), Dry air (red), and Water condensate (blue).
Figure 10. The Process Flow Diagram (PFD) for compressed air production in the studied plant using color-coding to show: Wet air (green), Dry air (red), and Water condensate (blue).
Inventions 11 00010 g010
Figure 11. The Process Flow Diagram (PFD) for compressed air production in Atlas Copco ZR315 FF compressor with 3 flows: Oil (yellow), air (light blue), and cooling Water (blue) [33].
Figure 11. The Process Flow Diagram (PFD) for compressed air production in Atlas Copco ZR315 FF compressor with 3 flows: Oil (yellow), air (light blue), and cooling Water (blue) [33].
Inventions 11 00010 g011
Figure 12. Picture and schematic of the rotary drum dryer (N°10 in Figure 12) of compressor N°4 during the annual maintenance in August 2025.
Figure 12. Picture and schematic of the rotary drum dryer (N°10 in Figure 12) of compressor N°4 during the annual maintenance in August 2025.
Inventions 11 00010 g012
Figure 13. Picture of the compressor N°4 with all components during the annual maintenance.
Figure 13. Picture of the compressor N°4 with all components during the annual maintenance.
Inventions 11 00010 g013
Figure 14. Diagram of compressed air system with two condensate streams in compressor N°4.
Figure 14. Diagram of compressed air system with two condensate streams in compressor N°4.
Inventions 11 00010 g014
Figure 15. Picture of the compressor N°4’s condensate drain and the two bottles used for separate field measurements on October 9th and 10th.
Figure 15. Picture of the compressor N°4’s condensate drain and the two bottles used for separate field measurements on October 9th and 10th.
Inventions 11 00010 g015
Figure 16. Atlas Copco France product testing data compares the compressed air ZR 315 VSD load ratio with the condensate flow rate across three climate conditions [34].
Figure 16. Atlas Copco France product testing data compares the compressed air ZR 315 VSD load ratio with the condensate flow rate across three climate conditions [34].
Inventions 11 00010 g016
Figure 17. VSD Compressors efficiency curves with three distinct zones: Green area: Power consumption of the compressors without losses (baseline efficiency); Yellow area: Block losses (mechanical and thermodynamic losses inherent to the compressor); Red area: Frequency converter losses (additional losses from variable frequency drive control) [35].
Figure 17. VSD Compressors efficiency curves with three distinct zones: Green area: Power consumption of the compressors without losses (baseline efficiency); Yellow area: Block losses (mechanical and thermodynamic losses inherent to the compressor); Red area: Frequency converter losses (additional losses from variable frequency drive control) [35].
Inventions 11 00010 g017
Figure 18. Pictures showing the analysis of the condensate drain measurement for compressor N°4, along with the two separate bottles used for field measurements taken on October 9th and 10th.
Figure 18. Pictures showing the analysis of the condensate drain measurement for compressor N°4, along with the two separate bottles used for field measurements taken on October 9th and 10th.
Inventions 11 00010 g018
Figure 19. The proposed idea is to reuse condensate water, specifically from Compressor N°4 (Atlas Copco ZR315 FF), by integrating a low-cost pre-treatment step with the existing demineralized water process for use as boiler feed.
Figure 19. The proposed idea is to reuse condensate water, specifically from Compressor N°4 (Atlas Copco ZR315 FF), by integrating a low-cost pre-treatment step with the existing demineralized water process for use as boiler feed.
Inventions 11 00010 g019
Table 1. Characteristics of Waste Streams and Energy Consumption in the Compressed Air Process Compared to the two Water Production Methods (AWG and Desalination).
Table 1. Characteristics of Waste Streams and Energy Consumption in the Compressed Air Process Compared to the two Water Production Methods (AWG and Desalination).
ProcessMain FunctionSpecific Energy ConsumptionWaste Stream
DesalinationRemoves salt and minerals from seawater or brackish water through reverse osmosis, distillation, or electrodialysis3–10 kWh/m3 of water produced [1,2,3]Brine/Salt concentrate
AWG (Atmospheric Water Generation)Extracts water from ambient air humidity using condensation, adsorption, or cooling methods300–4000 kWh/m3 of water produced
[4,5,6]
Humid air discharge
Compressed AirUsed for process/safety control, cleaning and instrumentation0.1–0.2 kWh/m3 of air compressedCondensate water
Table 2. Water boiling point using online engineering toolbox calculator [19].
Table 2. Water boiling point using online engineering toolbox calculator [19].
Absolute Pressure1 Atm250 Mbar100 Mbar
Water boiling temperature100 °C65.1 °C45.6 °C
Table 3. Comparison of the three desalination techniques [21,22,23,24,25].
Table 3. Comparison of the three desalination techniques [21,22,23,24,25].
Desalination TechnologySpecific Energy Consumption
SEC (kWh/m3)
Unit Product Cost (USD/m3)Distillate Quality TDS (ppm)
Reverse Osmosis (RO)5–90.52–0.56150–500
Multi-Effect Distillation (MED)6.5–110.52–1.01~10
Multi-Stage Flash (MSF)13.5–25.50.52–1.75~10
Table 4. Comparative data collected on 18/11/2025 for all four compressors. Compressors 2 and 4 utilize Variable Speed Drive (VSD) technology, whereas compressors 1 and 3 are fixed-speed units.
Table 4. Comparative data collected on 18/11/2025 for all four compressors. Compressors 2 and 4 utilize Variable Speed Drive (VSD) technology, whereas compressors 1 and 3 are fixed-speed units.
CompressorElectrical Power in (kW)Compressed Air Output Flow (Nm3/h)Specific Energy Consumption (Wh/Nm3)
N°490.82869.69104.43
N°1314.752155.20146.04
N°2223.951584.54141.34
N°3320.032190.55146.09
Table 5. The product testing data from Atlas Copco France focuses on comparing the condensate flow rate of the ZR 315 VSD compressed air unit against its load ratio, specifically across three different climate conditions (7 °C, 85%), (14 °C, 80%) and (20 °C, 70%) [34].
Table 5. The product testing data from Atlas Copco France focuses on comparing the condensate flow rate of the ZR 315 VSD compressed air unit against its load ratio, specifically across three different climate conditions (7 °C, 85%), (14 °C, 80%) and (20 °C, 70%) [34].
ZR 315 VSD Compressor LoadAmbient TemperatureRelative HumidityFlow Rate of the Condensate Water
25%7 °C85%6.34 L/h
50%7 °C85%8.3 L/h
75%7 °C85%9.94 L/h
100%7 °C85%11.4 L/h
25%14 °C80%9.04 L/h
50%14 °C80%11.84 L/h
75%14 °C80%14.19 L/h
100%14 °C80%16.24 L/h
25%20 °C70%10.63 L/h
50%20 °C70%13.83 L/h
75%20 °C70%16.44 L/h
100%20 °C70%18.99 L/h
Table 6. Three different climate scenarios are presented, each featuring a highly correlated tendency equation (R2 > 0.996) to predict the condensate flow rate [34].
Table 6. Three different climate scenarios are presented, each featuring a highly correlated tendency equation (R2 > 0.996) to predict the condensate flow rate [34].
Ambient TemperatureRelative HumidityTrend Correlation (Condensate Flow Rate in L/h)R2 Value
7 °C85% 0.0673   × compressor load + 4.790.996
14 °C80% 0.0915   × compressor load + 7.20.998
20 °C70% 0.111   × compressor load + 8.050.997
Table 7. Comparative measured data collected on three separate testing days: 9 October (baseline), 10 October (confirmation), and 20 November (final confirmation).
Table 7. Comparative measured data collected on three separate testing days: 9 October (baseline), 10 October (confirmation), and 20 November (final confirmation).
Testing DateAmbient TemperatureRelative HumidityCompressor N°4 VSD Load (%)Flow Rate of the Condensate WaterValue Calculated Based on Trendline from Figure 16
-09/10/2025 from 16:21 to 16:2418.4 °C62%33%12 L/h11.71 L/h
-10/10/2025 from 15:06 to 15:0913.4 °C78%80%15 L/h14.52 L/h
-20/11/2025 from 15:57 to 16:025.4 °C62%80%10 L/h10.17 L/h
Disclaimer/Publisher’s Note: The statements, opinions and data contained in all publications are solely those of the individual author(s) and contributor(s) and not of MDPI and/or the editor(s). MDPI and/or the editor(s) disclaim responsibility for any injury to people or property resulting from any ideas, methods, instructions or products referred to in the content.

Share and Cite

MDPI and ACS Style

Benmoussa, A.; Chalhe, Z.; Elfahime, B.; Radouani, M. Potential Recovery and Recycling of Condensate Water from Atlas Copco ZR315 FF Industrial Air Compressors. Inventions 2026, 11, 10. https://doi.org/10.3390/inventions11010010

AMA Style

Benmoussa A, Chalhe Z, Elfahime B, Radouani M. Potential Recovery and Recycling of Condensate Water from Atlas Copco ZR315 FF Industrial Air Compressors. Inventions. 2026; 11(1):10. https://doi.org/10.3390/inventions11010010

Chicago/Turabian Style

Benmoussa, Ali, Zakaria Chalhe, Benaissa Elfahime, and Mohammed Radouani. 2026. "Potential Recovery and Recycling of Condensate Water from Atlas Copco ZR315 FF Industrial Air Compressors" Inventions 11, no. 1: 10. https://doi.org/10.3390/inventions11010010

APA Style

Benmoussa, A., Chalhe, Z., Elfahime, B., & Radouani, M. (2026). Potential Recovery and Recycling of Condensate Water from Atlas Copco ZR315 FF Industrial Air Compressors. Inventions, 11(1), 10. https://doi.org/10.3390/inventions11010010

Article Metrics

Back to TopTop