Application of Artificial Intelligence in Mathematical Modeling and Numerical Investigation of Transport Processes in Electromembrane Systems
Abstract
1. Introduction
- (1)
- in the potentiostatic case we have (using the example of the dimensionless diameter of an electroconvective vortex Decv):where —dimensionless potential jump;
- (2)
- in the potentiodynamic case we have:where —dimensionless potential sweep rate. Besides, Re—Reynolds number, Pe—Peclet number, —this is the ratio of the square of the thickness of the equilibrium space charge region to the square of the distance between the membranes [12,13], and —this is the ratio of the electrical force to the inertial force. Typically, to construct functions like either an exact solution to the boundary value problem of a mathematical model or experimental studies are used. Currently, finding an analytical solution to the electroconvection problem is difficult due to insurmountable mathematical difficulties, and an experimental determination is extremely labor-intensive due to the large number of criterion numbers. In this regard, this paper proposes using neural networks to determine functional dependencies. To implement neural networks, a sample was compiled based on numerical experiments with the developed mathematical model. The entire sample was divided into two sets: a set used for training (setting weights and biases) and a test set, which was used to determine the correctness of the neural network. A multilayer feedforward network was chosen as the network architecture; the backpropagation algorithm with different optimizers was used to train the neural network. The application of the functions found will be used in the future to calculate the optimal geometric and technological parameters of the desalination process in electromembrane units.
2. Methods
2.1. Mathematical Model
) and cation (
), H—channel width, L—channel length. The Poiseuille parabola is shown below, which is the initial distribution of the solution flow velocity along the desalination channel; the solution flow is then calculated using a mathematical model.
) and cation (
), H—channel width, L—channel length. The Poiseuille parabola is shown below, which is the initial distribution of the solution flow velocity along the desalination channel; the solution flow is then calculated using a mathematical model.
- (1)
- Boundary conditions on the membrane surfaceswhere denotes a potential jump similar to that indicated earlier and is traditionally performed . The rate of increase in the potential jump is determined by the parameter d1, whose unit is volts per second [V/s].
- (2)
- Boundary conditions at the channel inlet: At the inlet to the desalination channel, specified ion concentrations are established that satisfy the condition of electroneutrality, that is:
- (3)
- Boundary conditions at the outlet of the desalination channel (DC):
- (a)
- At the boundary of the output region for component concentrations, a condition ensuring conservation of ion flux is imposed, meaning that removal of salt ions from the DC area happens solely due to convective transport:
- (b)
- For the potential jump the following condition is set:i.e.,
- (4)
- The initial conditions are set as follows: For concentrations and electric potential:
2.2. Similarity Method for Transport Processes in a Flat Channel
- Conversion to dimensionless form
- 2.
- Physical meaning of dimensionless parameters in equations and boundary conditions
- 3.
- Physical interpretation of the quantity
- 4.
- Physical interpretation of the quantity
- 5.
- —the criterion number of electroconvection. It is defined as the coefficient of the dimensionless electric force driving the generation of electroconvective flows. Its expression in terms of physical parameters is as follows:
- 6.
- In addition to the dimensionless parameters considered earlier, additional dimensionless quantities are introduced, appearing in the boundary conditions [15]:
- 7.
- Dimensionless equations and boundary conditions
- 1.
- Conditions on Ion Exchange Membrane Surfaces
- 2.
- At the inlet to the DC
- 3.
- At the outlet of the DC
- 4.
- Initial Conditions
3. Results
3.1. Training Set for Constructing a Neural Network
3.2. Building a Neural Network
- 1.
- Optimizing training speed
- 2.
- Improving accuracy and robustness
- 3.
- Addressing multicollinearity
4. Discussion
Author Contributions
Funding
Institutional Review Board Statement
Informed Consent Statement
Data Availability Statement
Conflicts of Interest
Abbreviations
| CEM | Cation-exchange membrane |
| AEM | Anion-exchange membrane |
| ECV | Electroconvective vortex |
| EMS | Electromembrane systems |
| DC | Desalination channel |
| CVC | Current–voltage characteristic |
| ANN | Artificial neural networks |
| AI | Artificial intelligence |
References
- Abuwatfa, W.H.; AlSawaftah, N.; Darwish, N.; Pitt, W.G.; Husseini, G.A. A Review on Membrane Fouling Prediction Using Artificial Neural Networks (ANNs). Membranes 2023, 13, 685. [Google Scholar] [CrossRef] [PubMed]
- Li, J.; Knijff, L.; Zhang, Z.Y.; Andersson, L.; Zhang, C. PiNN: Equivariant Neural Network Suite for Modeling Electrochemical Systems. J. Chem. Theory Comput. 2025, 21, 1382–1395. [Google Scholar] [CrossRef] [PubMed] [PubMed Central]
- Di Martino, M.; Abraham, E.J.; Pistikopoulos, E.N. A Neural Network Based Superstructure Optimization Approach to Reverse Osmosis Desalination Plants. Membranes 2022, 12, 199. [Google Scholar] [CrossRef] [PubMed]
- De la Hoz-M, J.; Ariza-Echeverri, E.A.; Vergara, D. Exploring the Role of Artificial Intelligence in Wastewater Treatment: A Dynamic Analysis of Emerging Research Trends. Resources 2024, 13, 171. [Google Scholar] [CrossRef]
- Shi, Y.; Wang, Z.; Du, X.; Gong, B.; Jegatheesan, V.; Haq, I.U. Recent Advances in the Prediction of Fouling in Membrane Bioreactors. Membranes 2021, 11, 381. [Google Scholar] [CrossRef] [PubMed]
- Niu, C.; Li, B.; Wang, Z. Using artificial intelligence-based algorithms to identify critical fouling factors and predict fouling behavior in anaerobic membrane bioreactors. J. Membr. Sci. 2023, 687, 122076. [Google Scholar] [CrossRef]
- Hu, J.; Kim, C.; Halasz, P.; Kim, J.F.; Kim, J.; Szekely, G. Artificial intelligence for performance prediction of organic solvent nanofiltration membranes. J. Membr. Sci. 2021, 619, 118513. [Google Scholar] [CrossRef]
- Wang, X.; Sun, X.; Wu, Y.; Gao, F.; Yang, Y. Optimizing reverse osmosis desalination from brackish waters: Predictive approach employing response surface methodology and artificial neural network models. J. Membr. Sci. 2024, 704, 122883. [Google Scholar] [CrossRef]
- Li, H.; Zeng, B.; Tuo, J.; Wang, Y.; Sheng, G.-P.; Wang, Y. Development of an improved deep network model as a general technique for thin film nanocomposite reverse osmosis membrane simulation. J. Membr. Sci. 2024, 692, 122320. [Google Scholar] [CrossRef]
- Zhai, F.-H.; Zhan, Q.-Q.; Yang, Y.-F.; Ye, N.-Y.; Wan, R.-Y.; Wang, J.; Chen, S.; He, R.-H. A deep learning protocol for analyzing and predicting ionic conductivity of anion exchange membranes. J. Membr. Sci. 2022, 642, 119983. [Google Scholar] [CrossRef]
- Gukhman, A.A. Introduction to Similarity Theory; Stereotype Publ.: Singapore, 2018; 296p. [Google Scholar]
- Grafov, B.M.; Chernenko, A.A. Theory of Direct Current Flow through a Binary Electrolyte Solution. Rep. USSR Acad. Sci. 1962, 146, 135–138. [Google Scholar]
- Grafov, B.M.; Chernenko, A.A. Direct Current Flow through a Binary Electrolyte Solution. Russ. J. Phys. Chem. 1963, 37, 664. [Google Scholar]
- Urtenov, M.K.; Kovalenko, A.V.; Sukhinov, A.I.; Chubyr, N.O.; Gudza, V.A. Model and numerical experiment for calculating the theoretical current-voltage characteristic in electro-membrane systems. IOP Conf. Ser. Mater. Sci. Eng. Open Source Preview 2019, 680, 012030. [Google Scholar] [CrossRef]
- Kovalenko, A.V.; Yzdenova, A.M.; Sukhinov, A.I.; Chubyr, N.O.; Urtenov, M.K. Simulation of galvanic dynamic mode in membrane hydrocleaning systems taking into account space charge. AIP Conf. Proc. Open Source Preview 2019, 2188, 050021. [Google Scholar] [CrossRef]
- Pham, V.S.; Li, Z.; Lim, K.M.; White, J.K.; Han, J. Direct numerical simulation of electroconvective instability and hysteretic current-voltage response of a permselective membrane. Phys. Rev. E-Stat. Nonlinear Soft Matter Phys. 2012, 86, 046310. [Google Scholar] [CrossRef] [PubMed]
- Majeed, A.H.; Mahmood, R.; Liu, D.; Ullah, S. Numerical simulations of entropy generation and thermal fluid flow in a wavy enclosure: A NEWTON-PARDISO solver-based study. Int. Commun. Heat Mass Transfer 2025, 162, 108569. [Google Scholar] [CrossRef]
- Zhang, Y.B.; Liang, Z.Z.; Ma, T.H.; Li, L.C. An Integrated Parallel System for Rock Failure Process Analysis Using PARDISO Solver. In Information Computing and Applications; ICICA 2010; Communications in Computer and Information Science; Zhu, R., Zhang, Y., Liu, B., Liu, C., Eds.; Springer: Berlin/Heidelberg, Germany, 2010; Volume 106. [Google Scholar] [CrossRef]
- Kirillova, E.; Kovalenko, A.; Urtenov, M. Study of the Current–Voltage Characteristics of Membrane Systems Using Neural Networks. AppliedMath 2025, 5, 10. [Google Scholar] [CrossRef]
- Heaton, J. Ian Goodfellow, Yoshua Bengio, and Aaron Courville: Deep Learning; The MIT Press: Cambridge, MA, USA, 2016; 800p, ISBN 0262035618. [Google Scholar]
- Géron, A. Hands-On Machine Learning with Scikit-Learn, Keras, and TensorFlow, 3rd ed.; O’Reilly Media, Inc.: Sebastopol, CA, USA, 2022; 864p, ISBN 9781098122461. [Google Scholar]







| No. | d1 | Decv | Lpl | ECVCEM | ECVAEM |
|---|---|---|---|---|---|
| 1 | 0.01 | 0.342 | 17.29 | 25.42 | 49.19 |
| 2 | 0.04 | 0.334 | 17.46 | 25.5 | 49.57 |
| 3 | 0.05 | 0.334 | 17.54 | 25.3 | 48.7 |
| 4 | 0.06 | 0.35 | 17.79 | 25.67 | 49.22 |
| 5 | 0.07 | 0.326 | 17.99 | 25.77 | 49.08 |
| 6 | 0.09 | 0.318 | 17.62 | 25.86 | 50.09 |
| 7 | 0.11 | 0.346 | 17.96 | 26.05 | 49.58 |
| 8 | 0.12 | 0.32 | 17.85 | 25.83 | 49.95 |
| 9 | 0.13 | 0.318 | 16.85 | 25.97 | 49.94 |
| 10 | 0.15 | 0.32 | 17.72 | 26.13 | 50.21 |
| 11 | 0.16 | 0.324 | 17.61 | 25.85 | 50.9 |
| 12 | 0.17 | 0.328 | 17.64 | 25.74 | 48.75 |
| 13 | 0.18 | 0.33 | 17.54 | 26.34 | 48.29 |
| 14 | 0.19 | 0.32 | 17.12 | 24.13 | 46.7 |
| 15 | 0.21 | 0.324 | 17.7 | 26.2 | 48.89 |
| 16 | 0.24 | 0.35 | 16.97 | 25.5 | 49.28 |
| 17 | 0.39 | 0.354 | 7.192 | 23.35 | 47.48 |
| 18 | 0.49 | 0.33 | 6.97 | 26.271 | 49.14 |
| No. | d1 | Re | Pe | Kel | Decv | Lpl | ECVCEM | ECVAEM |
|---|---|---|---|---|---|---|---|---|
| 1 | 0.01 | 0.05 | 24.39 | 2,470,000 | 0.342 | 17.29 | 25.42 | 49.19 |
| 2 | 0.01 | 0.1 | 48.78 | 619,000 | 0.24 | 15.55 | 26.77 | 52.03 |
| 3 | 0.04 | 0.05 | 24.39 | 2,470,000 | 0.334 | 17.46 | 25.5 | 49.57 |
| 4 | 0.04 | 0.5 | 243.9 | 24,700 | 0.114 | 11.44 | 30.88 | 56.41 |
| 5 | 0.04 | 0.1 | 48.78 | 619,000 | 0.22 | 15.19 | 25.98 | 50.63 |
| 6 | 0.06 | 0.05 | 24.39 | 2,470,000 | 0.35 | 17.79 | 25.67 | 49.22 |
| 7 | 0.06 | 0.5 | 243.9 | 24,700 | 0.118 | 11.26 | 30.53 | 55.85 |
| 8 | 0.06 | 1 | 487.8 | 6190 | 0.078 | 9.87 | 30.29 | 60.16 |
| 9 | 0.09 | 0.05 | 24.39 | 2,470,000 | 0.318 | 17.62 | 25.86 | 50.09 |
| 10 | 0.09 | 0.5 | 243.9 | 24,700 | 0.124 | 11.44 | 30.57 | 55.74 |
| 11 | 0.09 | 0.1 | 48.78 | 619,000 | 0.234 | 15.38 | 26.37 | 50.97 |
| 12 | 0.12 | 0.05 | 24.39 | 2,470,000 | 0.32 | 17.85 | 25.83 | 49.95 |
| 13 | 0.12 | 1 | 487.8 | 6190 | 0.084 | 10.14 | 31.67 | 61.76 |
| 14 | 0.15 | 0.05 | 24.39 | 2,470,000 | 0.32 | 17.72 | 26.13 | 50.21 |
| 15 | 0.15 | 0.5 | 243.9 | 24,700 | 0.11 | 11.92 | 31.8 | 56.19 |
| 16 | 0.15 | 0.1 | 48.78 | 619,000 | 0.236 | 15.47 | 26.56 | 51.67 |
| 17 | 0.15 | 1 | 487.8 | 6190 | 0.096 | 9.89 | 30.5 | 58.67 |
| 18 | 0.17 | 0.05 | 24.39 | 2,470,000 | 0.328 | 17.64 | 25.74 | 48.75 |
| 19 | 0.17 | 0.1 | 48.78 | 619,000 | 0.23 | 15.86 | 26.59 | 51.82 |
| 20 | 0.17 | 1 | 487.8 | 6190 | 0.076 | 9.81 | 30.17 | 58.64 |
| 21 | 0.19 | 0.05 | 24.39 | 2,470,000 | 0.32 | 17.12 | 24.13 | 46.7 |
| 22 | 0.19 | 0.5 | 243.9 | 24,700 | 0.124 | 11.12 | 30.36 | 56.82 |
| 23 | 0.19 | 1 | 487.8 | 6190 | 0.08 | 9.82 | 30.16 | 58.77 |
| 24 | 0.24 | 0.05 | 24.39 | 2,470,000 | 0.35 | 16.97 | 25.5 | 49.28 |
| 25 | 0.24 | 0.5 | 243.9 | 24,700 | 0.112 | 11.63 | 30.89 | 56.64 |
| 26 | 0.37 | 0.1 | 48.78 | 619,000 | 0.224 | 15.46 | 26.52 | 51.58 |
| 27 | 0.37 | 1 | 487.8 | 6190 | 0.08 | 9.77 | 30.18 | 59.08 |
| 28 | 0.49 | 0.05 | 24.39 | 2,470,000 | 0.33 | 6.97 | 26.271 | 49.14 |
| 29 | 0.49 | 0.5 | 243.9 | 24,700 | 0.12 | 11.81 | 31.62 | 56.92 |
| 30 | 0.49 | 0.1 | 48.78 | 619,000 | 0.24 | 14.9 | 26.76 | 50.11 |
| 31 | 0.49 | 1 | 487.8 | 6190 | 0.086 | 9.77 | 29.92 | 59.35 |
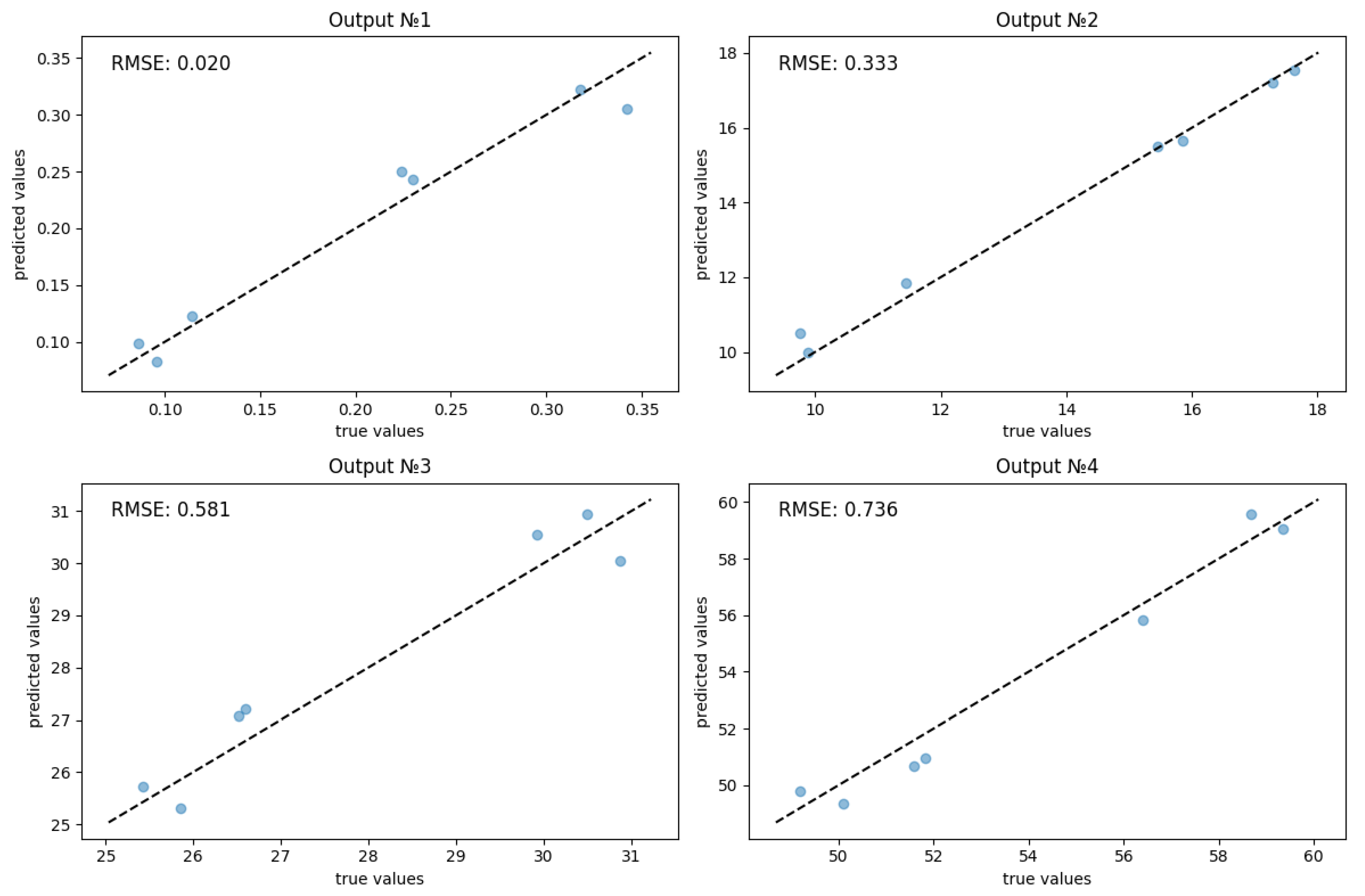
| RMSE | MAPE | R2 | |
|---|---|---|---|
| Decv | 0.020 | 9.49% | 0.960 |
| Lpl | 0.333 | 2.12% | 0.989 |
| ECVCEM | 0.581 | 1.99% | 0.930 |
| ECVAEM | 0.736 | 1.33 | 0.964 |
| Total metrics | 0.417 | 3.74% | 0.961 |
| d1 | Re | Pe | Kel | Decv | Lpl | ECVCEM | ECVAEM | |
|---|---|---|---|---|---|---|---|---|
| Actual Value | 0.05 | 0.05 | 24.39 | 2,470,000 | 0.334 | 17.54 | 25.3 | 48.7 |
| Predicted | 0.05 | 0.05 | 24.39 | 2,470,000 | 0.314 | 17.4 | 25.49 | 49.55 |
| Error in % | - | - | - | - | 6 | 0.8 | 0.8 | 1.8 |
| Actual Value | 0.37 | 0.05 | 24.39 | 2,470,000 | 0.352 | 14.23 | 25.2 | 48.64 |
| Predicted | 0.37 | 0.05 | 24.39 | 2,470,000 | 0.338 | 13.8 | 25.38 | 49.04 |
| Error in % | - | - | - | - | 4 | 3.1 | 0.8 | 0.8 |
Disclaimer/Publisher’s Note: The statements, opinions and data contained in all publications are solely those of the individual author(s) and contributor(s) and not of MDPI and/or the editor(s). MDPI and/or the editor(s) disclaim responsibility for any injury to people or property resulting from any ideas, methods, instructions or products referred to in the content. |
© 2026 by the authors. Licensee MDPI, Basel, Switzerland. This article is an open access article distributed under the terms and conditions of the Creative Commons Attribution (CC BY) license.
Share and Cite
Kazakovtseva, E.; Kirillova, E.; Kovalenko, A.; Urtenov, M. Application of Artificial Intelligence in Mathematical Modeling and Numerical Investigation of Transport Processes in Electromembrane Systems. Membranes 2026, 16, 41. https://doi.org/10.3390/membranes16010041
Kazakovtseva E, Kirillova E, Kovalenko A, Urtenov M. Application of Artificial Intelligence in Mathematical Modeling and Numerical Investigation of Transport Processes in Electromembrane Systems. Membranes. 2026; 16(1):41. https://doi.org/10.3390/membranes16010041
Chicago/Turabian StyleKazakovtseva, Ekaterina, Evgenia Kirillova, Anna Kovalenko, and Mahamet Urtenov. 2026. "Application of Artificial Intelligence in Mathematical Modeling and Numerical Investigation of Transport Processes in Electromembrane Systems" Membranes 16, no. 1: 41. https://doi.org/10.3390/membranes16010041
APA StyleKazakovtseva, E., Kirillova, E., Kovalenko, A., & Urtenov, M. (2026). Application of Artificial Intelligence in Mathematical Modeling and Numerical Investigation of Transport Processes in Electromembrane Systems. Membranes, 16(1), 41. https://doi.org/10.3390/membranes16010041

