Sign in to use this feature.

Years

Between: -

Subjects

remove_circle_outline
remove_circle_outline
remove_circle_outline
remove_circle_outline
remove_circle_outline
remove_circle_outline
remove_circle_outline
remove_circle_outline
remove_circle_outline

Journals

remove_circle_outline
remove_circle_outline
remove_circle_outline
remove_circle_outline
remove_circle_outline
remove_circle_outline
remove_circle_outline
remove_circle_outline
remove_circle_outline
remove_circle_outline
remove_circle_outline

Article Types

Countries / Regions

remove_circle_outline
remove_circle_outline
remove_circle_outline
remove_circle_outline

Search Results (521)

Search Parameters:
Keywords = vessels variations

Order results
Result details
Results per page
Select all
Export citation of selected articles as:
21 pages, 1850 KB  
Article
A Spatio-Temporal Hybrid Multi-Head Attention Model for AIS-Based Ship Trajectory Prediction
by Yuhui Liu, Xiongguan Bao, Shuangming Li, Chenhui Gu and Qihua Fang
Future Transp. 2026, 6(3), 94; https://doi.org/10.3390/futuretransp6030094 - 24 Apr 2026
Viewed by 78
Abstract
To improve ship AIS trajectory prediction under pronounced spatiotemporal coupling and dynamic maneuvering conditions, this study proposes a Spatio-Temporal-Hybrid-Multi-head Attention model (STHA) integrating multiscale convolution, bidirectional long short-term memory, and multi-head attention. Historical AIS data from the Zhoushan waters in 2024 were preprocessed [...] Read more.
To improve ship AIS trajectory prediction under pronounced spatiotemporal coupling and dynamic maneuvering conditions, this study proposes a Spatio-Temporal-Hybrid-Multi-head Attention model (STHA) integrating multiscale convolution, bidirectional long short-term memory, and multi-head attention. Historical AIS data from the Zhoushan waters in 2024 were preprocessed through screening, cleaning, outlier removal, resampling, and cubic spline interpolation to construct trajectory samples. Comparative experiments were conducted against BP, BiLSTM, and BiGRU using MAPE, RMSE, and R2 as evaluation metrics. The results show that STHA achieves the best overall predictive performance, more accurately follows trajectory variations across different vessel types, and exhibits better robustness in scenarios involving turning and speed changes. These findings indicate that the proposed model is effective for high-precision ship trajectory prediction and can provide useful support for subsequent collision risk assessment and navigation safety assistance. Full article
(This article belongs to the Special Issue Next-Generation AI and Foundation Models for Transportation Systems)
28 pages, 7294 KB  
Article
Nighttime Encounter Situation Recognition for Unmanned Surface Vessels Based on Images of Vessel Navigation Lights
by Ruoyun Huang, Xiang Zheng, Jianhua Wang, Gongxing Wu, Yu Tian and Yining Tian
J. Mar. Sci. Eng. 2026, 14(8), 761; https://doi.org/10.3390/jmse14080761 - 21 Apr 2026
Viewed by 139
Abstract
To address the limitations of existing perception methods for nighttime encounter situation recognition of unmanned surface vessels (USVs), this study proposes an image-based method for navigation-light recognition and encounter situation recognition. In accordance with the International Regulations for Preventing Collisions at Sea (COLREGs), [...] Read more.
To address the limitations of existing perception methods for nighttime encounter situation recognition of unmanned surface vessels (USVs), this study proposes an image-based method for navigation-light recognition and encounter situation recognition. In accordance with the International Regulations for Preventing Collisions at Sea (COLREGs), a parameterized 3D geometric model of vessel navigation lights and encounter scenario models is established. Based on the camera imaging principle, a dataset of navigation-light images under various encounter situations is generated through simulation experiments. By analyzing the variation patterns of navigation-light images in different encounter situations, a feature vector composed of area-domain and azimuth-domain features is constructed, and an encounter situation recognition method is developed accordingly. To mitigate the effects of water reflections and interfering light sources in real images, a navigation-light image-processing method is designed for the stable extraction of feature parameters. Simulation results show that the classification accuracy ranges from 96.6% to 98.3% at different distance conditions. In field experiments conducted with a small USV under a three-light configuration, the proposed method achieves a navigation-light recognition accuracy of 96.2% and an encounter situation recognition accuracy of 94.94%. The proposed method provides an interpretable and lightweight complementary visual solution for nighttime encounter situation recognition, complementing existing nighttime perception technologies. Full article
(This article belongs to the Section Ocean Engineering)
Show Figures

Figure 1

28 pages, 4719 KB  
Article
Differences and Analysis of Pressurised Water Reactor Containment Design Using Code ACI 349 and Code ACI 359
by Wenli Jiang and Shen Wang
Appl. Sci. 2026, 16(8), 4001; https://doi.org/10.3390/app16084001 - 20 Apr 2026
Viewed by 183
Abstract
The prestressed concrete containment structure constitutes the core protective structure of a nuclear power plant. This paper utilises the prestressed concrete containment vessel (PCCV) of the Hualong Pressurised Reactor 1000 (HPR-1000)—a third-generation pressurised water reactor (PWR)—as the primary research prototype. Utilising ANSYS, a [...] Read more.
The prestressed concrete containment structure constitutes the core protective structure of a nuclear power plant. This paper utilises the prestressed concrete containment vessel (PCCV) of the Hualong Pressurised Reactor 1000 (HPR-1000)—a third-generation pressurised water reactor (PWR)—as the primary research prototype. Utilising ANSYS, a finite element model was established, with key points selected at critical locations such as the dome, cylinder, and base slab for stress analysis calculations. Reinforcement quantification derived from the design methodologies and analytical formulations prescribed in ACI 349 and ACI 359 were compared under various loading conditions. This investigation identified the core discrepancies and influencing factors between the two codes in reinforcement design, alongside a sensitivity analysis to identify key parameters affecting reinforcement design in different structural zones. The results indicate that discrepancies in reinforcement requirements stem primarily from the divergent design philosophies and strength assessment formulations, with this influence outweighing variations in load combinations. Furthermore, significant spatial differences exist in the sensitivity of reinforcement designs for key components to parameters such as the height-to-diameter ratio, shutdown seismic actions, accident pressure, and temperature effects. The conclusions of this study establish theoretical foundations and furnish empirical data to enhance the computational efficiency of prestressed concrete containment design for pressurised water reactor (PWR) facilities, while supporting the alignment of national and international regulatory standards. Furthermore, they serve as a technical reference for advancing nuclear power structural design practices. Full article
Show Figures

Figure 1

21 pages, 11810 KB  
Article
ANN-Based Fuse Time–Current Characteristic Coordination for Short-Circuit Protection in Shipboard DC Integrated Power System
by Changkun Zhang, Xin Dong, Yinhuang Mao, Rongquan Yun, Weiqiang Liao, Chenghan Luo, Yao Chen, Yilong Wang and Wanneng Yu
J. Mar. Sci. Eng. 2026, 14(8), 745; https://doi.org/10.3390/jmse14080745 - 18 Apr 2026
Viewed by 167
Abstract
To meet the dual requirements of selectivity and rapidity in fuse-based short-circuit protection for shipboard DC Integrated Power Systems (DC IPS), this paper proposes a novel coordination method. This approach employs an artificial neural network (ANN) to map the inherent time–current characteristic (TCC) [...] Read more.
To meet the dual requirements of selectivity and rapidity in fuse-based short-circuit protection for shipboard DC Integrated Power Systems (DC IPS), this paper proposes a novel coordination method. This approach employs an artificial neural network (ANN) to map the inherent time–current characteristic (TCC) curves of all fuses onto a unified time–current coordinate plane. Protection selectivity is then evaluated based on the relative positions of these curves, and by prioritizing fuses with shorter operating times, both selectivity and rapid fault clearance are achieved. Furthermore, through a mathematical analysis of the current relationships between faulted and non-faulted distribution circuits, the ANN is formulated to require only current and time data while maintaining robustness to moderate variations in short-circuit transition resistance. The effectiveness of the proposed method is validated using DC IPS cases of a hybrid passenger vessel and a pure electric sightseeing vessel. Compared with conventional coordination methods, the proposed method simultaneously accounts for the TCCs of protective devices and the influence of transition resistance on short-circuit current behavior. The case study results demonstrate that the proposed method achieves both selective and rapid protection, and shows strong potential for broader application in the coordination of multi-source DC power systems. Full article
(This article belongs to the Section Ocean Engineering)
Show Figures

Figure 1

24 pages, 4689 KB  
Article
Dynamic Trajectory Tracking and Autonomous Berthing Control of a Container Ship Based on Four-Quadrant Hydrodynamics
by Chen-Wei Chen, Jiahao Yin, Jialin Lu, Chin-Yin Chen, Ningmin Yan and Zhuo Feng
J. Mar. Sci. Eng. 2026, 14(8), 724; https://doi.org/10.3390/jmse14080724 (registering DOI) - 14 Apr 2026
Viewed by 210
Abstract
To address the strongly nonlinear hydrodynamic coupling and complex maneuvering challenges encountered by large ships during berthing operations in restricted waters, this paper proposes a high-precision autonomous berthing control system incorporating four-quadrant propeller hydrodynamics. Based on an improved Mathematical Maneuvering Group (MMG) framework, [...] Read more.
To address the strongly nonlinear hydrodynamic coupling and complex maneuvering challenges encountered by large ships during berthing operations in restricted waters, this paper proposes a high-precision autonomous berthing control system incorporating four-quadrant propeller hydrodynamics. Based on an improved Mathematical Maneuvering Group (MMG) framework, a three-degree-of-freedom (3-DOF) dynamic model is established to accurately capture the transient thrust and torque mappings of the propeller over all four quadrants. A dynamic line-of-sight (LOS) guidance system with a nonlinearly decaying acceptance radius is tightly coupled with PD/PI controllers to coordinate and regulate the rudder angle and propeller rotational speed. The numerical solver was rigorously validated against turning-test data for the S-175 container ship, with the errors of the key parameters all controlled within 15%. Subsequently, under the environmental conditions of Yangshan Port, full-condition path-planning and berthing simulations were conducted for the novel B-573 container ship under steady-current disturbances. These simulations evaluated multiple flow directions, namely due south, due north, due west, and due east defined in the Earth-fixed coordinate system, as well as multiple intensity levels ranging from 0 to 1.5 m/s that were specifically tested under the due north current. Quantitative evaluation shows that, under the highly challenging current condition of 1.0 m/s, the dynamic corrective mechanism effectively drives the global mean absolute error (MAE) to converge to 85.50 m, representing a 62% statistical reduction relative to the transient peak value. In addition, a parameter sensitivity analysis based on the cumulative cross-track error confirms that, when subject to variations in the underlying hydrodynamic parameters, the proposed system can suppress fluctuations in trajectory error to a very low level, thereby demonstrating a certain degree of control robustness. During the terminal berthing stage, the vessel smoothly completed an extreme deceleration from an initial speed of 6.4 m/s to a full stop within 588 s, while constraining the maximum astern rotational speed to −2 rps and seamlessly passing through all four propeller quadrants. The results confirm that the proposed autopilot framework possesses a certain degree of engineering feasibility in complex maritime environments. Full article
(This article belongs to the Special Issue Advanced Modeling and Intelligent Control of Marine Vehicles)
Show Figures

Figure 1

27 pages, 23751 KB  
Article
A Mathematical Framework for Retinal Vessel Segmentation: Fractional Hessian-Based Curvature Analysis
by Priyanka Harjule, Mukesh Delu, Rajesh Kumar and Pilani Nkomozepi
Fractal Fract. 2026, 10(4), 246; https://doi.org/10.3390/fractalfract10040246 - 8 Apr 2026
Viewed by 279
Abstract
This study proposes an improved retinal blood vessel segmentation method to enhance the diagnosis of microvascular retinal complications. The proposed method extracts local shape features from retinal images utilizing a fractional Hessian matrix, which models blood vessels as surface structures characterized by ridges [...] Read more.
This study proposes an improved retinal blood vessel segmentation method to enhance the diagnosis of microvascular retinal complications. The proposed method extracts local shape features from retinal images utilizing a fractional Hessian matrix, which models blood vessels as surface structures characterized by ridges and valleys resulting from variations in curvature. The methodology integrates adaptive principal curvature estimation with a new framework leveraging the fractional Hessian matrix with nonsingular and nonlocal kernels. The effectiveness of the suggested method is assessed using publicly accessible datasets, including DRIVE, HRF, STARE, and some real images obtained from a local hospital. The proposed segmentation achieves 96.77% accuracy and 98.82% specificity on the DRIVE database, 96.91% accuracy and 98.69% specificity on STARE, and 95.90% accuracy and 98.36% specificity on the HRF database. Optimal parameters for the fractional order and Gaussian standard deviation were empirically determined by maximizing segmentation accuracy. Our findings show that the proposed approach achieves competitive performance compared to the listed methods, including several deep learning approaches, while maintaining significant computational efficiency. The output of the suggested method can be further utilized with deep learning techniques, which will be applied in the clinical context of diabetic retinopathy and glaucoma to identify abnormalities likely related to disease progression and different stages. Full article
Show Figures

Figure 1

20 pages, 2185 KB  
Article
Shaft-Power-Based Load Reconstruction for Operating-Point Alignment During Sea Trials of a CPP-Equipped Two-Stroke Marine Diesel Engine
by Jaesung Moon and Jeongmin Cheon
J. Mar. Sci. Eng. 2026, 14(7), 643; https://doi.org/10.3390/jmse14070643 - 31 Mar 2026
Viewed by 313
Abstract
This study examines operating-point alignment during full-scale sea trials of a controllable pitch propeller (CPP)-equipped vessel by reconstructing engine load from measured shaft power and relating it to engine performance, fuel-consumption behavior, and combustion indicators. Engine-side performance and fuel-oil consumption records were integrated [...] Read more.
This study examines operating-point alignment during full-scale sea trials of a controllable pitch propeller (CPP)-equipped vessel by reconstructing engine load from measured shaft power and relating it to engine performance, fuel-consumption behavior, and combustion indicators. Engine-side performance and fuel-oil consumption records were integrated with shaft measurement data for a MAN 5S35ME-B9.5 low-speed two-stroke marine diesel engine to establish a common propulsion-based operating-point framework. The average shaft power at the 100% speed-trial point was 3471.1 kW, differing from the rated power by only −0.11%, and was adopted as the reference for shaft-load reconstruction. The reconstructed speed-trial operating points were aligned at 24.91%, 49.04%, 80.85%, and 100.00%, while the endurance points corresponded to 76.99% at NCR and 95.29% at MCR. Relative to the corresponding speed-trial references, the endurance points showed about 4.7% lower delivered shaft power, indicating that they should not be interpreted as identical to nominal speed-trial load labels. Fuel flow and combustion-related indicators showed physically consistent variation with increasing reconstructed load. These results demonstrate that measured shaft power provides a practical basis for harmonizing sea-trial datasets and for distinguishing propulsion-side operating conditions more consistently than nominal load labels alone. The proposed framework is particularly applicable to representative operating-point alignment in full-scale sea trials of CPP-equipped low-speed two-stroke marine diesel engines under comparable test conditions. Full article
(This article belongs to the Section Ocean Engineering)
Show Figures

Figure 1

19 pages, 6909 KB  
Article
Dynamic Modeling and Simulation of Shipboard Microgrid Systems for Electromagnetic Transient Analysis
by Seok-Il Go and Jung-Hyung Park
Electronics 2026, 15(7), 1367; https://doi.org/10.3390/electronics15071367 - 25 Mar 2026
Viewed by 374
Abstract
In this paper, the dynamic modeling and integrated simulation of a ship microgrid system designed to enhance power quality and energy efficiency in electric propulsion vessels are proposed. The proposed system consists of a photovoltaic (PV) array, a battery energy storage system (BESS), [...] Read more.
In this paper, the dynamic modeling and integrated simulation of a ship microgrid system designed to enhance power quality and energy efficiency in electric propulsion vessels are proposed. The proposed system consists of a photovoltaic (PV) array, a battery energy storage system (BESS), a diesel generator, and a propulsion system, all of which are organically integrated through power conversion devices. To compensate for the intermittent nature of solar power, a control strategy featuring Maximum Power Point Tracking (MPPT) for the PV system and bidirectional DC/DC converter control for the battery was implemented. Specifically, a control logic to stabilize the system output in response to the fluctuating loads of the electric propulsion system was developed using PSCAD (v50) software. The simulation results demonstrate that the proposed control strategy maintains DC-link voltage deviation within ±1.8% and achieves a settling time of less than 0.8 s while optimizing propulsion efficiency (peak-shaving ratio 25–30%) under both constant and variable speed operating conditions. Battery SOC variation is limited to 18–88%, preventing overcharge or discharge. This research provides a foundational framework for the design of energy management systems (EMSs) and grid stability assessments for future eco-friendly electric propulsion ships. Full article
Show Figures

Figure 1

27 pages, 9896 KB  
Article
Refer-ASV: Referring Multi-Object Tracking in Autonomous Surface Vehicle Navigation Scenes
by Bin Xue, Qiang Yu, Kun Ding, Ying Wang, Shiming Xiang and Chunhong Pan
J. Imaging 2026, 12(4), 145; https://doi.org/10.3390/jimaging12040145 - 25 Mar 2026
Viewed by 451
Abstract
Water-surface perception is critical for autonomous surface vehicle navigation, where reliable tracking of task-relevant objects is essential for safe and robust operation. Referring multi-object tracking (RMOT) provides a flexible tracking paradigm by allowing users to specify objects of interest through natural language. However, [...] Read more.
Water-surface perception is critical for autonomous surface vehicle navigation, where reliable tracking of task-relevant objects is essential for safe and robust operation. Referring multi-object tracking (RMOT) provides a flexible tracking paradigm by allowing users to specify objects of interest through natural language. However, existing RMOT benchmarks are mainly designed for ground or satellite scenes and fail to capture the distinctive visual and semantic characteristics of water-surface environments, including strong reflections, severe illumination variations, weak motion constraints, and a high proportion of small objects. To address this gap, we introduce Refer-ASV, the first RMOT dataset tailored for ASV navigation in complex water-surface scenes. Refer-ASV is constructed from real-world ASV videos and features diverse navigation scenes and fine-grained vessel categories. To facilitate systematic evaluation on Refer-ASV, we further propose RAMOT, an end-to-end baseline framework that enhances visual–language alignment throughout the tracking pipeline by improving visual–language alignment and robustness in challenging maritime environments. Experimental results show that RAMOT achieves a HOTA score of 39.97 on Refer-ASV, outperforming existing methods. Additional experiments on Refer-KITTI demonstrate its generalization ability across different scenes. Full article
(This article belongs to the Section Computer Vision and Pattern Recognition)
Show Figures

Figure 1

11 pages, 1148 KB  
Article
Posterior Communicating Artery Configuration and Laterality of Thalamic and Lenticulostriate Infarction
by Junpei Nagasawa, Masamichi Hozumi, Tatsuhiro Yokoyama, Makiko Ogawa, Junya Ebina, Mari Shibukawa, Takehisa Hirayama and Osamu Kano
Neurol. Int. 2026, 18(3), 61; https://doi.org/10.3390/neurolint18030061 - 22 Mar 2026
Viewed by 334
Abstract
Background: Anatomical variations in the posterior communicating artery (PCoA) are common, but their association with ischemic stroke remains unclear. In this study, we investigated the relationship between PCoA configuration and the localization of perforator infarction. Methods: We conducted a single-center, retrospective observational study [...] Read more.
Background: Anatomical variations in the posterior communicating artery (PCoA) are common, but their association with ischemic stroke remains unclear. In this study, we investigated the relationship between PCoA configuration and the localization of perforator infarction. Methods: We conducted a single-center, retrospective observational study of consecutive patients admitted with acute ischemic stroke between April 2016 and July 2023. Patients with a single, unilateral lacunar infarction confined to the thalamic or lenticulostriate artery (LSA) territory were included. PCoA configuration was assessed using time-of-flight magnetic resonance angiography and dichotomized as present (normal PCoA or fetal-type posterior cerebral artery) or absent (hypoplastic or aplastic PCoA). Using a within-patient, hemisphere-based approach, the presence of PCoA on the infarcted side was directly compared with that on the contralateral side. McNemar’s test with continuity correction was used for laterality analysis. Results: A total of 64 patients met the inclusion criteria, including 45 with LSA infarction and 19 with thalamic infarction. The prevalence of PCoA presence on the infarcted hemisphere was 20.0% in the LSA group and 26.3% in the thalamic group, identical to that observed on the contralateral hemisphere in each group. Within-patient comparisons revealed no significant difference in PCoA presence between infarcted and non-infarcted hemispheres in either territory (all p > 0.05). Conclusions: In patients with unilateral perforator infarction involving the thalamic or LSA territories, PCoA configuration was not associated with infarct laterality. These findings suggest that variations in PCoA anatomy have a limited influence on hemispheric vulnerability to perforator infarction, supporting the predominant role of local small-vessel pathology rather than proximal collateral anatomy in the development of lacunar stroke. Full article
(This article belongs to the Special Issue Cerebrovascular Disease: Update on Diagnosis and Treatment)
Show Figures

Figure 1

7 pages, 808 KB  
Case Report
Variant Superficial Epigastric Supply to the Anterior Abdominal Wall Arising from Inferior Epigastric Perforators: A Neonatal Case Report
by Daniël J. van Tonder, Natalie Keough, Martin L. van Niekerk and Albert van Schoor
Anatomia 2026, 5(1), 7; https://doi.org/10.3390/anatomia5010007 - 20 Mar 2026
Cited by 1 | Viewed by 453
Abstract
Introduction: Understanding superficial epigastric vessel anatomy is crucial for abdominal surgeries like laparoscopy, especially in neonates, to prevent injury. While standard courses are described, variations occur. This case report highlights a unique anatomical variation in the superficial epigastric artery found during the dissection [...] Read more.
Introduction: Understanding superficial epigastric vessel anatomy is crucial for abdominal surgeries like laparoscopy, especially in neonates, to prevent injury. While standard courses are described, variations occur. This case report highlights a unique anatomical variation in the superficial epigastric artery found during the dissection of a stillborn neonatal cadaver. Case Report: In contrast to the usual origin from the femoral artery, this variation features the inferior epigastric artery penetrating the anterior abdominal wall near the umbilicus and branching superiorly to supply the superficial abdominal wall. Conclusions: This distinctive vascular configuration, which to the best of our knowledge has not been previously described in neonatal anatomical literature, diverges from the typical symmetrical arrangement and previously reported variations. The study stresses the clinical importance of this finding, especially for laparoscopic procedures in neonates. During trocar placement, surgeons should be cognizant of such variations to reduce the risk of iatrogenic injuries, including rectus sheath hematoma. The report highlights the need for further investigation to establish the prevalence of this variation and its potential effects on surgical safety and outcomes in a broader neonatal population, which may also reflect the dynamic vascular remodeling that occurs during early developmental stages. Full article
Show Figures

Figure 1

29 pages, 3903 KB  
Article
Quantitative Assessment of Consistency Between IMO DCS and EU MRV Frameworks Using Large-Scale Operational Data
by Hyunju Lee and Hyerim Bae
Appl. Sci. 2026, 16(6), 2911; https://doi.org/10.3390/app16062911 - 18 Mar 2026
Viewed by 276
Abstract
This study presents a large-scale empirical comparison of operational efficiency metrics derived from the IMO Data Collection System (DCS) and the EU Monitoring, Reporting and Verification (MRV) framework. Paired non-parametric tests, effect size estimation, and agreement diagnostics were applied to a matched dataset [...] Read more.
This study presents a large-scale empirical comparison of operational efficiency metrics derived from the IMO Data Collection System (DCS) and the EU Monitoring, Reporting and Verification (MRV) framework. Paired non-parametric tests, effect size estimation, and agreement diagnostics were applied to a matched dataset of 15,755 dual-reported vessels and over 50,000 ship-year observations from 2019 to 2024 to assess consistency across monitoring systems. The results indicate that, although statistically significant differences are detected (p < 0.001), practical differences are negligible (Cohen’s d < 0.025), with MRV-based values averaging approximately 1.4% lower in Annual Efficiency Ratio (AER) and fuel intensity than DCS values. Distributional analysis confirms substantial overlap between the datasets, and temporal trends show progressive convergence following the implementation of the Carbon Intensity Indicator (CII) regulation. However, pronounced vessel-type heterogeneity is observed. Flexible cargo vessels exhibit consistent efficiency improvements in EU-related voyages, whereas container ships show minimal variation, and LNG carriers demonstrate indicator-dependent patterns. Overall, the findings indicate that the DCS and MRV frameworks provide broadly comparable representations of operational efficiency, with observed differences primarily reflecting vessel-type-specific operational characteristics rather than structural inconsistencies in the reporting systems. This study provides a scalable statistical validation framework for cross-regulatory monitoring assessment. Full article
Show Figures

Figure 1

20 pages, 670 KB  
Article
Fuel Supply Chain Prospects in the On-Going Transition to Sustainable Ship Propulsion: A Multifaceted Paradigm Ahead
by Helen Thanopoulou and Alexios Panagiotis Kokkolis
Sustainability 2026, 18(6), 2918; https://doi.org/10.3390/su18062918 - 17 Mar 2026
Viewed by 427
Abstract
Shipping is urgently exploring alternative vessel energy sources across a wide range of options—from other fossil fuels to renewables—with a view to more sustainable ship propulsion. Based on processing of publicly available data, the authors discuss the prospects of the supply chains for [...] Read more.
Shipping is urgently exploring alternative vessel energy sources across a wide range of options—from other fossil fuels to renewables—with a view to more sustainable ship propulsion. Based on processing of publicly available data, the authors discuss the prospects of the supply chains for 16 vessel power sources alternative to oil, comparing descriptive statistics across respective fuel supply chain key performance indicators (KPIs) to evaluate potentiality along with hidden vulnerabilities. While finding marked differences across calculated mean, standard deviation and coefficient of variation values, the authors do not preclude the development of parallel ship fuel supply chains, unlike the case of previous fuel transitions in shipping. To support this scenario, already formed in practice, they emphasize the enabling attributes of today’s world fleet in terms of total capacity and of size of each of the main shipping sectors which could eventually sustain nowadays multiple fuel supply chains. Concluding on limitations and challenges that such an energy-source multitude can create, the authors underline the need to consider in the Life-Cycle Assessment (LCA) of shipping fuels their total impact, including necessary ship hardware changes for a more thorough assessment of fuels’ impact across the entire shipping services’ supply chain. Full article
(This article belongs to the Special Issue Sustainable Maritime Transportation: 2nd Edition)
Show Figures

Figure 1

14 pages, 889 KB  
Systematic Review
Tailored Interventional Approaches to the Management of True and False Aneurysms Affecting Aberrant Visceral Arteries Are Associated with Enhanced Clinical Outcomes
by Ottavia Borghese, Arisa Ibrahimi, Antonio Luparelli, Giulia Piermarini and Yamume Tshomba
J. Pers. Med. 2026, 16(3), 165; https://doi.org/10.3390/jpm16030165 - 16 Mar 2026
Viewed by 380
Abstract
Background: Anatomical variations in visceral arteries are not so uncommon (up to 20% of cases in general population), with splenic and hepatic artery anomalies being the most frequently reported. Aberrant arteries may be affected with aneurysmal lesions that are rare but potentially fatal [...] Read more.
Background: Anatomical variations in visceral arteries are not so uncommon (up to 20% of cases in general population), with splenic and hepatic artery anomalies being the most frequently reported. Aberrant arteries may be affected with aneurysmal lesions that are rare but potentially fatal conditions. In their treatment, a comprehensive understanding and knowledge of the underlining anatomical variation are pivotal to prevent potential ischemic complications for the end organ. Methods: A comprehensive literature search on the PubMed, Cochrane and Scopus databases was done using the terms: “anomalous visceral artery aneurysm”, “Aberrant visceral arteries”, and “anomalous origin visceral vessels”. Eligible studies published from inception to 30 June 2024 were identified. Only those that had included the adopted treatment strategies (open, endovascular or hybrid repair) and the related outcomes (mortality, bleeding, end-organ ischemia, lesions of the surrounding organ, need for reintervention) were analyzed to evaluate the safety and efficacy of each approach. A narrative analysis of the indications informing the selection of each interventional treatment, based on individual procedural risks, was also presented. Results: A total of 30 publications describing 36 patients (mean age 48.9 ± 12.8 years, range 22–73 years) with aneurysms involving aberrant visceral arteries were included. Most patients were female (25/36, 69.4%). True aneurysms predominated (with a mean size of 30.5 ± 11.5 mm, range 6–60 mm), being reported in 33/36 (91.7%) patients. Most lesions involved a splenic artery arising from the superior mesenteric artery (27/36, 75.0%). Overall, 26/36 (72.2%) patients were symptomatic upon presentation, most commonly with abdominal or epigastric pain, often associated with nausea or vomiting, back pain or shortness of breath. All patients underwent preoperative Computed angiotomography or subtraction angiography to define the operative strategy. Most cases were managed electively (31/36, 86.1%), but 11.1% (4/36) of cases required urgent intervention (in one case the urgency status was not specified). Overall, 19/36 (52.8%) patients underwent purely endovascular repair, 15/36 (41.7%) were treated with open surgery, and 2/36 (5.6%) had hybrid procedures combining endovascular coiling with laparoscopic splenic artery ligation. Indication for treatment was based on vessel tortuosity, landing zones, and the presence of side branches supplying end organs. Early outcomes were favorable regardless of treatment strategies. A single organ-related complication was reported (1/36, 2.8%) following open/endovascular repair, consisting of mild pancreatitis, which resolved with conservative management. No perioperative or aneurysm-related deaths were reported in any of the included cases. No recurrent aneurysms or late aneurysm-related complications were described during the reported follow-up intervals (mean ≈ 10.5 months, range 1.5–42 months). Conclusions: Aneurysms arising from aberrant visceral arteries present unique challenges because their origin, course, and collateral networks deviate from standard anatomy. Patient selection and detailed anatomic mapping preoperatively are decisive as inadequate imaging or failure to recognize an aberrant origin can lead to the incomplete exclusion or inadvertent sacrifice of critical branches. Understanding the anatomy of visceral arteries and their variations is paramount in clinical practice, particularly when planning interventions for minimizing procedural risks, optimizing outcomes, and preventing potential complications. Contemporary practice favors endovascular repair due to lower perioperative morbidity, but success depends on vessel tortuosity, landing zones, and the presence of important side branches that supply end organs. Full article
(This article belongs to the Special Issue Complications in Vascular Surgery: Current Updates and Perspectives)
Show Figures

Figure 1

25 pages, 6114 KB  
Article
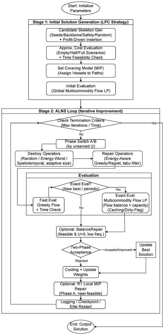
Optimization of Route Design and Scheduling for Heterogeneous Fleets with Electric Vessel Charging Requirements
by Pengfei Huang, Yuyue Jiang, Hongbin Chen, Jinggai Wang and Pengfei Zhang
World Electr. Veh. J. 2026, 17(3), 147; https://doi.org/10.3390/wevj17030147 - 15 Mar 2026
Viewed by 496
Abstract
With the rapid development of all-electric ships (AESs) and the growing emphasis on sustainable shipping, there is an increasing need for effective scheduling solutions that address the unique challenges associated with AESs, such as battery limitations and charging infrastructure constraints. However, existing studies [...] Read more.
With the rapid development of all-electric ships (AESs) and the growing emphasis on sustainable shipping, there is an increasing need for effective scheduling solutions that address the unique challenges associated with AESs, such as battery limitations and charging infrastructure constraints. However, existing studies primarily focus on simplified scenarios, overlooking the complexities inherent in multi-port and multi-vessel shipping networks. To bridge this gap, this paper develops a Mixed-Integer Linear Programming (MILP) model aimed at minimizing total operational costs, specifically targeting the scheduling optimization problem in heterogeneous fleet feeder shipping networks, while explicitly considering charging requirements and time window constraints. To tackle the computational challenges posed by large-scale and strongly constrained scenarios, this study designs an optimization algorithm based on Adaptive Large Neighborhood Search (ALNS), incorporating a two-stage strategy and a destroy–repair mechanism to progressively refine solutions. Based on data from the Yangtze River feeder network, numerical experiments demonstrate the feasibility and effectiveness of the proposed model and algorithm. Additionally, a sensitivity analysis on battery capacity explores the effects of variations in key technical parameters on all-electric ship utilization and overall operational costs. Full article
(This article belongs to the Section Automated and Connected Vehicles)
Show Figures

Figure 1

Back to TopTop