Sign in to use this feature.

Years

Between: -

Subjects

remove_circle_outline
remove_circle_outline
remove_circle_outline
remove_circle_outline
remove_circle_outline
remove_circle_outline
remove_circle_outline
remove_circle_outline
remove_circle_outline

Journals

Article Types

Countries / Regions

Search Results (89)

Search Parameters:
Keywords = vehicle rollover model

Order results
Result details
Results per page
Select all
Export citation of selected articles as:
17 pages, 4015 KB  
Article
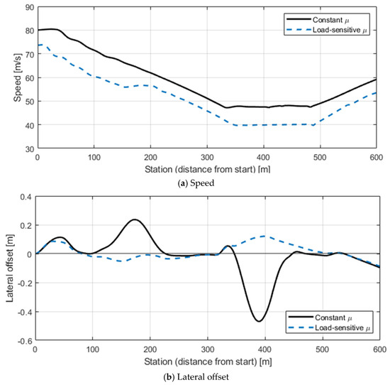
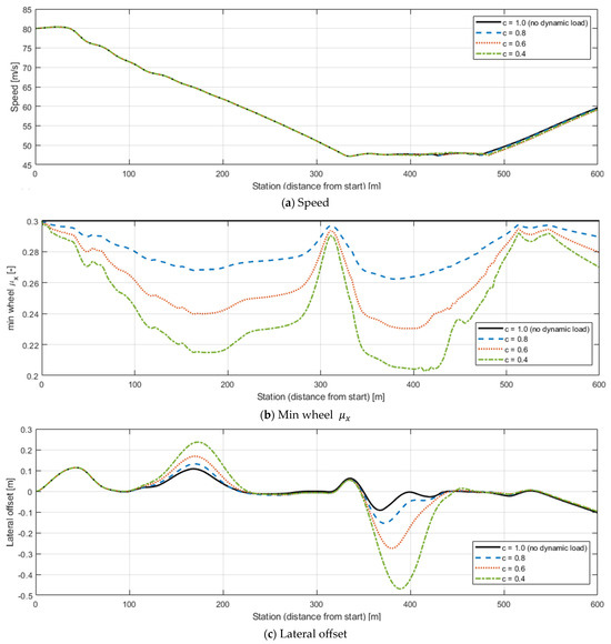
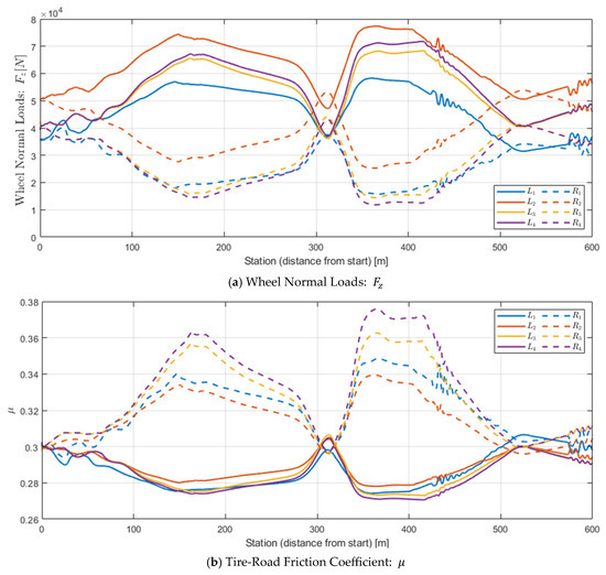
Load-Sensitive Tire–Road Friction Modeling and Dynamic Stability Analysis of Multi-Axle Trucks
by Sung-Sic Yoo, Pyung-An Kim and Heung-Shik Lee
Appl. Sci. 2025, 15(22), 12269; https://doi.org/10.3390/app152212269 - 19 Nov 2025
Viewed by 411
Abstract
This study addresses the accurate estimation of safe driving speeds for multi-axle trucks negotiating curved road segments by explicitly incorporating dynamic axle load transfer and load-sensitive tire–road friction characteristics. Conventional standards that assume a constant friction coefficient fail to capture wheel-specific load variations, [...] Read more.
This study addresses the accurate estimation of safe driving speeds for multi-axle trucks negotiating curved road segments by explicitly incorporating dynamic axle load transfer and load-sensitive tire–road friction characteristics. Conventional standards that assume a constant friction coefficient fail to capture wheel-specific load variations, leading to underestimation of rollover and skidding risks. To overcome these limitations, a load-sensitive friction model is integrated with the friction ellipse and static rollover threshold (SRT), and a forward–backward algorithm is applied to compute dynamically feasible speed trajectories. The proposed framework is demonstrated through accident reconstruction of a ramp rollover scenario using TruckSim–Simulink co-simulation with reported geometric and vehicle parameters. The results reveal that neglecting load sensitivity systematically overestimates safe speeds and underestimates lateral deviation. Furthermore, SRT variation analysis illustrates a trade-off between structural stability and frictional constraints, where rollover dominates under low stability and skidding under high stability conditions. These findings emphasize the necessity of accounting for dynamic load distribution and load-sensitive friction in truck safety speed estimation, providing a foundation for autonomous truck speed control strategies and enhanced road design standards. Full article
Show Figures

Figure 1

25 pages, 4107 KB  
Article
A Computational Framework for Formalizing Rollover Risk in Heavy-Duty Vehicles: Application to Concrete Truck Mixers
by Farshad Afshari and Daniel Garcia-Pozuelo
Actuators 2025, 14(11), 533; https://doi.org/10.3390/act14110533 - 3 Nov 2025
Viewed by 427
Abstract
This study introduces a computational framework that formalizes rollover risk in heavy-duty vehicles by integrating simulation-informed physical modeling with sensor-driven decision logic. The approach combines high-fidelity fluid–structure interaction modeling (via CFD) with multibody vehicle dynamics simulations to capture the complex behavior of rotating, [...] Read more.
This study introduces a computational framework that formalizes rollover risk in heavy-duty vehicles by integrating simulation-informed physical modeling with sensor-driven decision logic. The approach combines high-fidelity fluid–structure interaction modeling (via CFD) with multibody vehicle dynamics simulations to capture the complex behavior of rotating, partially filled mixer tanks under dynamic conditions. Rollover thresholds were identified by extracting the maximum safe speeds across a range of maneuvers (e.g., steady-state turning and step steering), using tire lift-off as the critical indicator. These thresholds were then formalized into decision rules using onboard sensor data, such as lateral acceleration, steering input, and tank rotation speed, allowing a real-time rollover warning system to continuously compare current vehicle states against critical limits. By systematically extracting critical force and moment responses and translating them into limit values provided by conventional onboard sensors (lateral acceleration, roll angle, steering input), the framework bridges high-fidelity simulation and real-time monitoring. A concrete truck mixer is used as a case study to demonstrate the utility of this approach in formalizing rollover thresholds for real-world decision support. Beyond the specific vehicle type, this work contributes to the broader discourse on how computational methods can contribute to new control or assistance strategies for safety-critical systems. Full article
(This article belongs to the Special Issue Feature Papers in Actuators for Surface Vehicles)
Show Figures

Figure 1

32 pages, 11240 KB  
Article
Active and Passive Control Strategies for Ride Stability and Handling Enhancement in Three-Wheelers
by Dumpala Gangi Reddy and Ramarathnam Krishna Kumar
Vehicles 2025, 7(4), 126; https://doi.org/10.3390/vehicles7040126 - 30 Oct 2025
Viewed by 628
Abstract
Three-wheeled vehicles are increasingly adopted as sustainable transport solutions, but their asymmetric design and lightweight structure make them vulnerable to ride discomfort and rollover instability. This study develops a high-fidelity 12-degrees-of-freedom (DOF) dynamic model in MATLAB/Simulink and MSC ADAMS to analyze and improve [...] Read more.
Three-wheeled vehicles are increasingly adopted as sustainable transport solutions, but their asymmetric design and lightweight structure make them vulnerable to ride discomfort and rollover instability. This study develops a high-fidelity 12-degrees-of-freedom (DOF) dynamic model in MATLAB/Simulink and MSC ADAMS to analyze and improve ride comfort, handling, and roll stability. The model captures longitudinal, lateral, vertical, roll, pitch, and yaw motions, along with tire dynamics represented through the Magic Formula, and is validated using real-world data from an instrumented test vehicle. In this research, both active and passive control strategies were separately implemented and studied. The active strategy involves an Active Vehicle Roll Dynamics Control (VRDC) system with an active rear suspension to suppress roll and yaw during aggressive maneuvers. The passive strategy focuses on improving rollover resistance by modulating throttle input based on sensor data from gyroscopes, accelerometers, and compasses. Simulation and experimental results show that each strategy, when applied independently, enhances roll stability, reduces yaw rate deviations, and improves handling performance. These findings demonstrate the effectiveness of both approaches in improving the safety and dynamic behavior of electric three-wheeled vehicles under real-world conditions. Full article
(This article belongs to the Special Issue Advanced Vehicle Dynamics and Autonomous Driving Applications)
Show Figures

Figure 1

15 pages, 3812 KB  
Article
Comparative Analysis of Static Rollover Stability Between Conventional and Electric Tractor
by Juhee Lee, Seokho Kang, Yujin Han, Jinho Son and Yushin Ha
Agriculture 2025, 15(19), 2099; https://doi.org/10.3390/agriculture15192099 - 9 Oct 2025
Viewed by 525
Abstract
As the development of electric tractors progresses, battery systems have become a key component, accounting for a significant portion of the vehicle’s total weight. With rollover accidents remaining a leading cause of fatal injuries in agricultural machinery, the stability of electric tractors is [...] Read more.
As the development of electric tractors progresses, battery systems have become a key component, accounting for a significant portion of the vehicle’s total weight. With rollover accidents remaining a leading cause of fatal injuries in agricultural machinery, the stability of electric tractors is drawing increasing attention. In particular, battery placement may critically affect the overall mass distribution and rollover behavior, highlighting the need for safety-focused design optimization. This study evaluates the static rollover stability of a 55 kW electric tractor by analyzing the effect of battery mounting position and comparing it with a conventional tractor. Three tractor models were considered: an electric tractor with a front-mounted battery, one with a center-mounted battery, and a conventional tractor. Multibody dynamic simulations were conducted using RecurDyn, and a total of 24 orientations, at 15° intervals, were simulated to determine the tipping angles in all directions. The results revealed that battery placement had a significant impact on rollover stability. The front-mounted battery type exhibited up to 30% higher tipping angles than the conventional tractor in the forward pitch direction near 90°, indicating improved stability. In contrast, the center-mounted battery type showed a tipping angle distribution generally similar to that of the conventional tractor, with smaller variations across directions. These findings demonstrate the influence of mass distribution on rollover safety and provide valuable insight for structural design of electric tractors. Full article
(This article belongs to the Section Agricultural Technology)
Show Figures

Figure 1

16 pages, 5310 KB  
Article
Active Rollover Prevention Mechanism and Landing Attitude Control for Vehicle AirDrop
by Zhengda Li, Zijian Yu, Xinying Li, Si Chen, Yuanhao Cheng and Mingbo Tong
Aerospace 2025, 12(10), 905; https://doi.org/10.3390/aerospace12100905 - 9 Oct 2025
Viewed by 555
Abstract
Current passive anti-rollover systems exhibit inadequate adaptability to complex operational environments. Additionally, due to unidentified critical factors driving rollover incidents during landing, the design of active anti-tipping systems for airdrop remains constrained. Given the foregoing circumstances, this paper divides the landing impact process [...] Read more.
Current passive anti-rollover systems exhibit inadequate adaptability to complex operational environments. Additionally, due to unidentified critical factors driving rollover incidents during landing, the design of active anti-tipping systems for airdrop remains constrained. Given the foregoing circumstances, this paper divides the landing impact process of the vehicle into the airbag cushioning stage and the rigid collision stage. In the airbag cushioning stage, a vertical impact test bench and a fluid–structure interaction (FSI) model is built up to obtain the terminal impact velocity when the airbag’s touching down speed is set as around 8 m/s. An oblique impact test bench and a dynamic model are proposed to investigate the influence of terminal sideslip angles and impact velocities on the vehicle’s roll/pitch stability during the rigid collision phase. Experimental and numerical analyses reveal that the peak overload during the airbag cushioning stage reaches approximately 11 g while the terminal impact velocity in this stage is around 2 m/s. In the rigid collision stage, higher initial descent velocities amplify the peak roll angles and significantly compromise the roll stability. Notably, adjusting the terminal sideslip angle from 90° to 0°/180° triples the critical horizontal velocity threshold from 5.3 m/s to 14.7 m/s which markedly enhances the vehicle’s stability. To address this, an active sideslip angle control system activated at a 250 m altitude is developed to align the vehicle’s horizontal velocity vector with its longitudinal axis to nearly 0°/180° and thus improves the roll/pitch stability. This study establishes a technical foundation for the design of a highly reliable anti-rollover device for the airdrop vehicle. Full article
(This article belongs to the Section Aeronautics)
Show Figures

Figure 1

15 pages, 3348 KB  
Article
Performance of Electric Bus Batteries in Rollover Scenarios According to ECE R66 and R100 Standards
by Alexsandro Sordi, Bruno Gabriel Menino, Gabriel Isoton Pistorello, Vagner do Nascimento and Giovani Dambros Telli
World Electr. Veh. J. 2025, 16(9), 528; https://doi.org/10.3390/wevj16090528 - 18 Sep 2025
Cited by 1 | Viewed by 818
Abstract
With the growing adoption of electric buses in urban transportation systems, ensuring the safety and structural integrity of their battery systems under accident scenarios has become increasingly important. Among potential accidents, rollover events pose a particular risk, as they can lead to the [...] Read more.
With the growing adoption of electric buses in urban transportation systems, ensuring the safety and structural integrity of their battery systems under accident scenarios has become increasingly important. Among potential accidents, rollover events pose a particular risk, as they can lead to the penetration or deformation of the battery pack and, consequently, trigger thermal runaway. In this context, this study evaluates the structural performance of rechargeable energy storage systems (REESS) in electric buses under rollover conditions, following the guidelines of United Nations Economic Commission for Europe (UNECE) Regulations No. 100 and No. 66. The analysis focuses on the structural safety of uniformly distributing the battery pack beneath the vehicle floor during rollover scenarios. The methodology adopted includes detailed finite element modeling to accurately represent the vehicle structure and battery modules, as well as virtual instrumentation using accelerometers. Simulations were conducted to evaluate structural deformations, battery retention integrity, and acceleration levels within the REESS compartments under rollover impact conditions. The results demonstrated compliance with both regulations and highlighted the importance of properly positioning and securing the battery module to the vehicle floor. The findings contribute to the improvement of design and validation criteria for electric buses, reinforcing the need to align technological innovation with international safety standards. Finally, this research supports the development of safer and more reliable vehicles, promoting sustainable mobility solutions for urban transportation systems. Full article
(This article belongs to the Section Storage Systems)
Show Figures

Figure 1

17 pages, 1337 KB  
Article
Research on Accident Type Prediction for New Energy Vehicles Based on the AS-Naive Bayes Algorithm
by Shubing Huang, Bingshan Hou, Xiaoxuan Yin, Chenchen Kong and Chongming Wang
World Electr. Veh. J. 2025, 16(9), 523; https://doi.org/10.3390/wevj16090523 - 16 Sep 2025
Viewed by 716
Abstract
Developing new energy vehicles (NEVs) is a key strategy for achieving low-carbon and sustainable transportation. However, as the number of NEVs increases, traffic accidents involving these vehicles have risen sharply. To explore the characteristics of NEV accident types, and assess the occurrence of [...] Read more.
Developing new energy vehicles (NEVs) is a key strategy for achieving low-carbon and sustainable transportation. However, as the number of NEVs increases, traffic accidents involving these vehicles have risen sharply. To explore the characteristics of NEV accident types, and assess the occurrence of different accident types, this study proposes an accident type analysis and prediction method based on a novel Naive Bayes algorithm integrating the additive smoothing and synthetic minority over-sampling technique (AS-Naive Bayes). First, typical accident data (such as scraping, collisions, run-overs, rollovers, and battery fires/explosions) are extracted from the traffic management platform. A statistical analysis is then conducted to assess the relationships between accident types and factors including road conditions, time, vehicle status, and driver behavior. Moreover, to reduce the influence of irrelevant factors, Chi-square testing and Mutual Information are used to select features strongly associated with accident types. After that, to address the challenges of limited sample size and imbalanced distribution of accident types, this study proposes an accident type prediction method based on the AS–Naive Bayes algorithm, which integrates the Synthetic Minority Over-sampling Technique (SMOTE) and additive smoothing. Finally, five-fold cross-validation results show that the proposed method achieves a prediction accuracy of 84.8%, outperforming Support Vector Machine (SVM, 74.1%) and Long Short-Term Memory (LSTM, 79.8%), and standard Naive Bayes models, demonstrating its effectiveness in accurately identifying NEV accident types. Full article
(This article belongs to the Section Vehicle and Transportation Systems)
Show Figures

Figure 1

35 pages, 4434 KB  
Article
MDO of Robotic Landing Gear Systems: A Hybrid Belt-Driven Compliant Mechanism for VTOL Drones Application
by Masoud Kabganian and Seyed M. Hashemi
Drones 2025, 9(6), 434; https://doi.org/10.3390/drones9060434 - 14 Jun 2025
Viewed by 1668
Abstract
This paper addresses inherent limitations in unmanned aerial vehicle (UAV) undercarriages hindering vertical takeoff and landing (VTOL) capabilities on uneven slopes and obstacles. Robotic landing gear (RLG) designs have been proposed to address these limitations; however, existing designs are typically limited to ground [...] Read more.
This paper addresses inherent limitations in unmanned aerial vehicle (UAV) undercarriages hindering vertical takeoff and landing (VTOL) capabilities on uneven slopes and obstacles. Robotic landing gear (RLG) designs have been proposed to address these limitations; however, existing designs are typically limited to ground slopes of 6–15°, beyond which rollover would happen. Moreover, articulated RLG concepts come with added complexity and weight penalties due to multiple drivetrain components. Previous research has highlighted that even a minor 3-degree slope change can increase the dynamic rollover risks by 40%. Therefore, the design optimization of robotic landing gear for enhanced VTOL capabilities requires a multidisciplinary framework that integrates static analysis, dynamic simulation, and control strategies for operations on complex terrain. This paper presents a novel, hybrid, compliant, belt-driven, three-legged RLG system, supported by a multidisciplinary design optimization (MDO) methodology, aimed at achieving enhanced VTOL capabilities on uneven surfaces and moving platforms like ship decks. The proposed system design utilizes compliant mechanisms featuring a series of three-flexure hinges (3SFH), to reduce the number of articulated drivetrain components and actuators. This results in a lower system weight, improved energy efficiency, and enhanced durability, compared to earlier fully actuated, articulated, four-legged, two-jointed designs. Additionally, the compliant belt-driven actuation mitigates issues such as backlash, wear, and high maintenance, while enabling smoother torque transfer and improved vibration damping relative to earlier three-legged cable-driven four-bar link RLG systems. The use of lightweight yet strong materials—aluminum and titanium—enables the legs to bend 19 and 26.57°, respectively, without failure. An animated simulation of full-contact landing tests, performed using a proportional-derivative (PD) controller and ship deck motion input, validate the performance of the design. Simulations are performed for a VTOL UAV, with two flexible legs made of aluminum, incorporating circular flexure hinges, and a passive third one positioned at the tail. The simulation results confirm stable landings with a 2 s settling time and only 2.29° of overshoot, well within the FAA-recommended maximum roll angle of 2.9°. Compared to the single-revolute (1R) model, the implementation of the optimal 3R Pseudo-Rigid-Body Model (PRBM) further improves accuracy by achieving a maximum tip deflection error of only 1.2%. It is anticipated that the proposed hybrid design would also offer improved durability and ease of maintenance, thereby enhancing functionality and safety in comparison with existing robotic landing gear systems. Full article
Show Figures

Figure 1

31 pages, 25940 KB  
Review
A Review of Recent Advances in Roll Stability Control in On-Road and Off-Road Vehicles
by Jie Chen, Ruochen Wang, Wei Liu, Dong Sun, Yu Jiang and Renkai Ding
Appl. Sci. 2025, 15(10), 5491; https://doi.org/10.3390/app15105491 - 14 May 2025
Cited by 3 | Viewed by 4504
Abstract
Despite significant advancements in roll stability control for individual vehicle types, comparative research across on-road and off-road vehicles remains limited, hindering cross-disciplinary innovation. This study bridges this gap by systematically analyzing roll stability control in both vehicle categories, focusing on theoretical foundations, key [...] Read more.
Despite significant advancements in roll stability control for individual vehicle types, comparative research across on-road and off-road vehicles remains limited, hindering cross-disciplinary innovation. This study bridges this gap by systematically analyzing roll stability control in both vehicle categories, focusing on theoretical foundations, key technologies, and experimental validation methods. On-road vehicles rely on mature technologies like active suspension, braking, and steering, which enhance safety through sensor monitoring, rollover prediction, and integrated stability control. Validation is primarily performed through hardware-in-the-loop simulations and on-road testing. Off-road vehicles, operating in more complex environments with dynamic load changes and rugged terrain, emphasize adaptive leveling, direct torque control, and active steering. Their stability control strategies must also account for terrain irregularities, real-time load shifts, and extreme slopes, validated through scaled-model tests and field trials. Comparative analysis reveals that while both vehicle types face similar challenges, their control strategies differ significantly: on-road vehicles focus on handling and high-speed stability, while off-road vehicles require more robust, adaptive mechanisms to manage environmental uncertainties. Future research should explore multi-system collaborative control, such as integrating active suspension with intelligent terrain perception, to improve adaptability and robustness across both vehicle categories. Furthermore, the integration of machine learning and advanced predictive algorithms promises to enhance the intelligence and versatility of roll stability control systems. Full article
Show Figures

Figure 1

20 pages, 4711 KB  
Article
Machine-Learning-Based Rollover Risk Prediction for Autonomous Trucks: A Dynamic Stability Analysis
by Heung-Shik Lee
Appl. Sci. 2025, 15(9), 4886; https://doi.org/10.3390/app15094886 - 28 Apr 2025
Cited by 1 | Viewed by 1656
Abstract
In response to the 2023 mandate requiring electronic stability control (ESC) for trucks in South Korea, domestic manufacturers have called for a relaxation of the maximum safe slope angle to reduce production costs. However, limited research exists on the quantitative relationship between ESC [...] Read more.
In response to the 2023 mandate requiring electronic stability control (ESC) for trucks in South Korea, domestic manufacturers have called for a relaxation of the maximum safe slope angle to reduce production costs. However, limited research exists on the quantitative relationship between ESC implementation and vehicle rollover stability under relaxed safety standards. This study addresses this gap by conducting dynamic simulations of standardized rollover tests to evaluate the static stability factor (SSF) and by developing a machine-learning-based model for predicting rollover risk. The model incorporates planned path curvature and driving speed to compute lateral acceleration, which serves as a key input for predicting the lateral load transfer ratio (LTR), a critical indicator of vehicle stability. Among several models tested, the recurrent neural network (RNN) achieved the highest accuracy in LTR prediction. The results highlight the effectiveness of integrating data-driven models into dynamic stability assessment frameworks, offering practical insights for optimizing route planning and speed control—particularly in autonomous freight vehicle applications. Full article
Show Figures

Figure 1

35 pages, 12064 KB  
Article
An Adaptive GPR-Based Multidisciplinary Design Optimization of Structural and Control Parameters of Intelligent Bus for Rollover Stability
by Tingting Wang, Xu Shao, Dongchen Qin, Kun Huang, Mingkuan Yao and Yuechen Duan
Mathematics 2025, 13(5), 782; https://doi.org/10.3390/math13050782 - 26 Feb 2025
Viewed by 858
Abstract
Considering the influence of high-speed obstacle avoidance trajectory in the optimization design stage of intelligent bus aerodynamic shape. A collaborative optimization method aiming at aerodynamic structure and trajectory control system for intelligent bus rollover stability is proposed to reduce the interference of lateral [...] Read more.
Considering the influence of high-speed obstacle avoidance trajectory in the optimization design stage of intelligent bus aerodynamic shape. A collaborative optimization method aiming at aerodynamic structure and trajectory control system for intelligent bus rollover stability is proposed to reduce the interference of lateral aerodynamic load caused by large bus side area on driving stability and improve the rollover safety of intelligent bus in high-speed obstacle avoidance process. At the conceptual design stage, a multidisciplinary co-design optimization frame of aerodynamics/dynamics/control is built, and an adaptive Gaussian Process Regression approximate modeling method is proposed to establish an approximate model of high-precision and high-efficiency rollover evaluation index with rollover stability as the optimization objective and obstacle avoidance safety and resistance to crosswind interference as constraints. Taking rollover stability and obstacle avoidance safety as the optimization objectives, the integrated design of static structural parameters and dynamic control parameters of intelligent buses is carried out. The results show that the proposed MDO method can obtain the aerodynamic shape of the vehicle body with low crosswind sensitivity and a safe and stable obstacle avoidance trajectory. Compared with the initial trajectory, the peak lateral load transfer rate during the obstacle avoidance process decreases by 33.91%, which significantly reduces the risk of rollover. Compared with the traditional serial optimization method, the proposed co-design optimization method has obvious advantages and can further improve the driving safety performance of intelligent buses. Full article
Show Figures

Figure 1

28 pages, 20581 KB  
Article
A Semi-Trailer Path Planning Method Considering the Surrounding Traffic Conditions and Vehicle Roll Stability
by Haochuan Zhang, Zhigen Nie and Yufeng Lian
Appl. Sci. 2025, 15(5), 2353; https://doi.org/10.3390/app15052353 - 22 Feb 2025
Cited by 1 | Viewed by 1164
Abstract
Path planning for intelligent semi-trailers encounters numerous challenges in complex traffic conditions. Serious consequences, such as vehicle rollover, may occur when the traffic conditions change. Therefore, it is vital to consider both the surrounding dynamic traffic conditions and the vehicle’s roll stability during [...] Read more.
Path planning for intelligent semi-trailers encounters numerous challenges in complex traffic conditions. Serious consequences, such as vehicle rollover, may occur when the traffic conditions change. Therefore, it is vital to consider both the surrounding dynamic traffic conditions and the vehicle’s roll stability during the lane-changing process of intelligent semi-trailers. We propose an innovative path-planning method tailored for intelligent semi-trailers. This path-planning method is designed for semi-trailers on straight-road alignments. Firstly, we employ a fuzzy inference system to process information about surrounding traffic, make lane-changing decisions, and determine the starting point. Secondly, the lane-changing path is generated using a B-spline curve. Subsequently, we apply a particle swarm optimization algorithm to enhance the B-spline curve. Thirdly, we utilize a Transformer model to analyze the nonlinear relationships among information about surrounding traffic, vehicle information, and the roll stability of the intelligent semi-trailer. We establish the roll stability boundary for the vehicle. Finally, we design a multi-objective cost function to select the optimal path. The simulation results demonstrate that the proposed method dynamically adapts the planned path to variations in driving parameters, ensuring trackability while reducing the steering angle, lateral acceleration, and yaw rate. This approach meets the roll stability requirements of intelligent semi-trailers, significantly enhances their stability during lane changing, and provides robust support for safe and efficient operation. Full article
(This article belongs to the Section Transportation and Future Mobility)
Show Figures

Figure 1

27 pages, 4076 KB  
Article
Horizontal and Vertical Coordinated Control of Three-Axis Heavy Vehicles
by Lanchun Zhang, Fei Huang, Hao Cui, Yaqi Wang and Lin Yang
Machines 2025, 13(2), 123; https://doi.org/10.3390/machines13020123 - 7 Feb 2025
Cited by 1 | Viewed by 1215
Abstract
In order to coordinate the transverse motion control and longitudinal motion control in the tracking control process and ensure the yaw stability and roll stability in the tracking process, a transverse and longitudinal coordinated control method of three-axis heavy vehicles is designed based [...] Read more.
In order to coordinate the transverse motion control and longitudinal motion control in the tracking control process and ensure the yaw stability and roll stability in the tracking process, a transverse and longitudinal coordinated control method of three-axis heavy vehicles is designed based on model predictive control. The lateral motion controller is designed based on the phase plane method. The upper controller calculates the front wheel angle and additional yaw moment, which ensures the yaw stability while tracking the vehicle. The lower controller calculates the driving force and braking force of the three-axis heavy vehicle. The velocity planning method is designed with the coupling point of longitudinal velocity to coordinate the lateral and longitudinal motion controllers and prevent vehicle rollover. By building the vehicle model in Trucksim (2016.1) and establishing the horizontal and vertical coordination control in Matlab (R2016b), the designed horizontal and vertical coordination control method is simulated and verified. The simulation results show that the designed method can accurately track the reference trajectory while ensuring the yaw stability and roll stability of the three-axis heavy vehicle. Full article
Show Figures

Figure 1

18 pages, 825 KB  
Article
Modeling Rollover Crash Risks: The Influence of Road Infrastructure and Traffic Stream Characteristics
by Abolfazl Khishdari, Hamid Mirzahossein, Xia Jin and Shahriar Afandizadeh
Infrastructures 2025, 10(2), 31; https://doi.org/10.3390/infrastructures10020031 - 27 Jan 2025
Cited by 2 | Viewed by 2038
Abstract
Rollover crashes are among the most prevalent types of accidents in developing countries. Various factors may contribute to the occurrence of rollover crashes. However, limited studies have simultaneously investigated both traffic stream and road-related variables. For instance, the effects of T-intersection density, U-turns, [...] Read more.
Rollover crashes are among the most prevalent types of accidents in developing countries. Various factors may contribute to the occurrence of rollover crashes. However, limited studies have simultaneously investigated both traffic stream and road-related variables. For instance, the effects of T-intersection density, U-turns, roadside parking lots, the entry and exit ramps of side roads, as well as traffic stream characteristics (e.g., standard deviation of vehicle speeds, speed violations, presence or absence of speed cameras, and road surface deterioration) have not been thoroughly explored in previous research. Additionally, the simultaneous modeling of crash frequency and intensity remains underexplored. This study examines single-vehicle rollover crashes in Yazd Province, located in central Iran, as a case study and simultaneously evaluates all the variables. A dataset comprising three years of crash data (2015–2017) was collected and analyzed. A crash index was developed based on the weight of crash intensity, road type, road length (as dependent variables), and road infrastructure and traffic stream properties (as independent variables). Initially, the dataset was refined to determine the significance of explanatory variables on the crash index. Correlation analysis was conducted to assess the linear independence between variable pairs using the variance inflation factor (VIF). Subsequently, various models were compared based on goodness of fit (GOF) indicators and odds ratio (OR) calculations. The results indicated that among ten crash modeling techniques, namely, Poisson, negative binomial (NB), zero-truncated Poisson (ZTP), zero-truncated negative binomial (ZTNB), zero-inflated Poisson (ZIP), zero-inflated negative binomial (ZINB), fixed-effect Poisson (FEP), fixed-effect negative binomial (FENB), random-effect Poisson (REP), and random-effect negative binomial (RENB), the FENB model outperformed the others. The Akaike information criterion (AIC) and Bayesian information criterion (BIC) values for the FENB model were 1305.7 and 1393.6, respectively, demonstrating its superior performance. The findings revealed a declining trend in the frequency and severity of rollover crashes. Full article
Show Figures

Figure 1

19 pages, 3195 KB  
Article
Modeling of Tank Vehicle Rollover Risk Assessment on Curved–Slope Combination Sections for Sustainable Transportation Safety
by Xuelian Zheng, Lijuan Yu, Yuanyuan Ren, Xiansheng Li, Biao Liang and Jianfeng Xi
Sustainability 2025, 17(3), 906; https://doi.org/10.3390/su17030906 - 23 Jan 2025
Cited by 2 | Viewed by 1493
Abstract
Tank vehicles are highly prone to rollover accidents, especially on curved–slope combination sections, which can cause hazardous chemical spills, endangering the environment, public safety, and human health. Therefore, it is crucial to conduct research aimed at reducing the risk of such incidents. Method: [...] Read more.
Tank vehicles are highly prone to rollover accidents, especially on curved–slope combination sections, which can cause hazardous chemical spills, endangering the environment, public safety, and human health. Therefore, it is crucial to conduct research aimed at reducing the risk of such incidents. Method: The rollover risk of tank vehicles under various loading conditions while traveling on curved–slope combination sections was investigated using driver–vehicle–road dynamics simulation. A multiple linear regression model was then developed to further quantify the impact of key factors on the rollover risk. Results: The results revealed that the road curve radius, vehicle operating speed, and liquid cargo fill level have the greatest impact on a tank vehicle’s rollover risk, and higher fill levels, higher speeds, and steeper downhill slopes all amplify the impact of curve radius on the rollover risk. In some cases, adhering to the road’s speed limit alone was insufficient to ensure the safe passage of the tank vehicle through curves. Conclusions: This study introduced, for the first time, a rollover risk assessment model for tank vehicles operating on curved–slope combination sections. The findings reveal effective methods to improve the transportation safety of tank vehicles. Practical Applications: The findings of this study can assist transportation agencies in selecting routes with lower rollover risks for tank vehicles with different configurations, as well as guide the development of loading standards and curve speed limits. This will effectively reduce rollover accidents of tank vehicles and support sustainable, safer transportation practices. Full article
Show Figures

Figure 1

Back to TopTop