Next Article in Journal
A High-Speed Rail-Facilitated Evolution of the City-Network Structure in Less-Developed Regions: Evidence from Jiangxi Province, China
Previous Article in Journal
Assessment and Insights into the Awareness and Readiness of Organizations to Implement the Assumptions of Industry 5.0: An Examination of Five Polish Sectors
 
 
Font Type:
Arial Georgia Verdana
Font Size:
Aa Aa Aa
Line Spacing:
Column Width:
Background:
Article

Modeling of Tank Vehicle Rollover Risk Assessment on Curved–Slope Combination Sections for Sustainable Transportation Safety

1
School of Transportation, Jilin University, Changchun 130012, China
2
Nanjing Sample Technology Co., Ltd., Nanjing 210049, China
*
Author to whom correspondence should be addressed.
Sustainability 2025, 17(3), 906; https://doi.org/10.3390/su17030906
Submission received: 9 December 2024 / Revised: 18 January 2025 / Accepted: 20 January 2025 / Published: 23 January 2025

Abstract

Tank vehicles are highly prone to rollover accidents, especially on curved–slope combination sections, which can cause hazardous chemical spills, endangering the environment, public safety, and human health. Therefore, it is crucial to conduct research aimed at reducing the risk of such incidents. Method: The rollover risk of tank vehicles under various loading conditions while traveling on curved–slope combination sections was investigated using driver–vehicle–road dynamics simulation. A multiple linear regression model was then developed to further quantify the impact of key factors on the rollover risk. Results: The results revealed that the road curve radius, vehicle operating speed, and liquid cargo fill level have the greatest impact on a tank vehicle’s rollover risk, and higher fill levels, higher speeds, and steeper downhill slopes all amplify the impact of curve radius on the rollover risk. In some cases, adhering to the road’s speed limit alone was insufficient to ensure the safe passage of the tank vehicle through curves. Conclusions: This study introduced, for the first time, a rollover risk assessment model for tank vehicles operating on curved–slope combination sections. The findings reveal effective methods to improve the transportation safety of tank vehicles. Practical Applications: The findings of this study can assist transportation agencies in selecting routes with lower rollover risks for tank vehicles with different configurations, as well as guide the development of loading standards and curve speed limits. This will effectively reduce rollover accidents of tank vehicles and support sustainable, safer transportation practices.

1. Introduction

Tank vehicles are widely used for liquid cargo road transport. Due to their large load capacity, high center of mass, and the presence of lateral liquid slosh, these vehicles have poor roll stability. Statistics show that rollover accidents accounted for approximately 45% of all road transport accidents involving hazardous chemicals in recent years [1]. Mountain highways are more prone to traffic accidents because of their complex geometric alignment. Annual traffic accident statistics reveal that the accident rate on mountain highways is significantly higher than that in flat areas, with major traffic accidents accounting for more than 60% of the total. This is especially true on challenging road sections such as sharp curves and steep slopes, where the traffic environment is more complex, and accidents occur frequently. Given the uneven distribution of hazardous chemical production and consumption areas in China, coupled with the high volume and long-distance transportation, it is crucial to assess the risks associated with transportation routes and improve the safety of hazardous chemical transport. Since tank vehicles face the highest risk of overturning in curved–slope combination sections, evaluating the rollover risk of tank vehicles in these sections is vital for ensuring the sustainability of the transportation system, protecting the environment, and ensuring public safety.
Transportation risk assessment based on historical accident data is one of the most widely used methods. Some researchers developed accident models that estimate the expected accident probability on road segments using parameters such as Average Annual Daily Traffic (AADT), curvature, tangent length, cross-section, and the Road Side Hazard rating derived from long-term accident statistics [2,3,4]. Other studies incorporated weather conditions into their models, considering the combined effects of highway geometry, traffic characteristics, and weather conditions, as well as the interactions between these factors on accident occurrence [5,6,7]. Additionally, some researchers took human factors into account. For example, Fornalchyk et al. investigated the probability of safe operation by drivers under different road conditions, examining how road geometric characteristics and traffic flow influence the driver’s operational reliability and, based on this, examined the risk of dangerous cargo transportation under various traffic conditions [8]. Janno and Koppel developed a framework for assessing the risk of dangerous goods transportation based on surveys and interviews with parties in the dangerous goods transport chain. Other researchers have used a combination of expert ratings and survey data to model transportation risk assessment [9]. Branko Milovanović determined the variables and their weights affecting the probability and consequences of accidents through expert scoring and long-term accident investigation data, allowing for the quantification of transportation risk and the definition of risk levels [10]. However, transportation risk assessment based on historical accident data requires a substantial amount of accident data, making it unsuitable for road sections with incomplete statistical data and introducing a degree of subjectivity into the results.
In addition, some scholars conducted rollover risk assessments of tank vehicles based on vehicle dynamics models. For example, Sun et al. employed Carsim to construct a closed-loop simulation model of the driver–vehicle–road system, studying the impact of factors such as pavement roughness and settlement difference on the pavement on vehicle rollover risk [11]. Other studies explored the influence of various roadway factors on vehicle rollover risk. Dabbour et al., for instance, utilized simulation software to assess the driving stability of trucks on different routes [12]. Their research aimed to determine the minimum curve radius required for horizontal reverse curves on highways to prevent vehicle rollovers. In addition to considering the lateral stability of vehicles on horizontal curves, other researchers also incorporated factors like the road’s longitudinal gradient and superelevation into their analyses [13,14,15]. You and Sun used Matlab/Simulink to develop a closed-loop dynamic simulation model for driver–vehicle–road interactions, taking into account a three-dimensional (3D) alignment to analyze vehicle stability on combined horizontal and vertical curves [16]. The performance functions based on vehicle dynamics simulation considering skidding and rollover failures were established, integrating the effects of road curvature, gradient, superelevation, and vehicle operating speed. DU et al. established a safety model based on the vehicle–road coordination with the critical state of an accident as a boundary condition by analyzing the vehicle stability on horizontal–vertical combination curves [17]. The model also comprehensively considered the effects of road curvature, gradient, slope length, superelevation, and vehicle operating speed on vehicle stability. Torbic et al. used actual collected data, such as vehicle operating speed and traffic frequency, to simulate vehicle dynamics on road alignments that met design requirements and studied the rollover safety factor of the vehicle on curved–slope combination road sections [18]. Many scholars explored the combined effects of various roadway factors and vehicle operating speed on rollover risk [19,20,21]. Additionally, some researchers focused on the impact of vehicle configuration on the likelihood of rollover [22,23]. The study by Alrejjal and Ksaibati considered the effects of vehicle and roadway factors on truck rollover risk. The study used Trucksim to simulate vehicle dynamics to study the rollover tendency of trucks under different configurations (total truck weight, center of gravity height, vehicle operating speed) on various geometric roads [24]. The studies on vehicle rollover risk assessment through the establishment of risk evaluation models primarily focus on vehicles and trucks. In research concerning the rollover risk assessment of tank vehicles, most scholars considered the effects of vehicle configuration, speed, and steering angle. For example, Rakheja and Ranganathan simulated rollover thresholds for vehicles loaded with liquid cargo by modeling tank vehicles in simulation software, considering the impact of the weight of the loaded cargo on the risk of vehicle rollover [25]. Simulation research based on vehicle dynamics models is more objective in assessing rollover risk; however, current studies on the rollover risk of tank vehicles using dynamic simulation rarely comprehensively consider the influence of roadway geometry and loading conditions. The combination of various factors and levels is not fully explored. The existing research primarily focuses on the theoretical analysis of the rollover risk associated with tank vehicles, with limited applicability in practical scenarios.
The verification of the tank vehicle’s driving simulation, based on lateral liquid sloshing equivalently described by the trammel pendulum and the coupling relationship between liquid sloshing and vehicle driving, is discussed in references [26,27]. Since the purpose of this paper is to evaluate the rollover risk of tank vehicles on curved–slope combination sections and to comprehensively consider and quantify the influence of roadway geometry and vehicle loading conditions on this risk, the verification of previously conducted driving simulations was not included in this text. Additionally, due to the significant dangers of on-road experiments, the difficulty of precisely controlling variables, and the challenge of accounting for extreme cases, this study employed simulation experiments as the research method. To achieve the objectives of this study, high-intensity orthogonal experiments were designed, and Trucksim and Simulink software were used to establish a driver–vehicle–road closed-loop dynamic model. The rollover risk index of the tank vehicle under different road and loading conditions was obtained through simulation experiments. The influence of various factors on rollover risk was analyzed, and to address the issue of poor applicability in previous studies on the rollover risk of tank vehicles, a multiple linear regression model for tank vehicles’ rollover risk was developed. Transport organizations can apply the findings of this study to calculate the rollover risk of tank vehicles traveling on different routes before transportation. By selecting routes with lower risk indices, the probability of tank vehicle rollover accidents can be effectively reduced. Additionally, the results of this study can assist in determining more appropriate speed limits for curved–slope combination sections based on the configuration of the tank vehicle. This is of significant importance for improving the safety of tank vehicle transportation.

2. The Framework

To investigate the rollover risk of tank vehicles on curved–slope combination sections, the driver–vehicle–road closed-loop dynamic model in a simulated environment was established using Simulink and Trucksim in this study. Since road alignments and vehicle conditions are the primary factors influencing rollover risk for tank vehicles, various road geometries with different curve radii, longitudinal grades, and lateral superelevations were considered. The research focused solely on downhill sections, as these sections more significantly affect the load distribution on the tires and present a higher rollover risk compared to uphill sections [28]. Additionally, tank vehicles were assigned with different operating speeds, tank shapes, and liquid cargo fill levels. The simulation of the driver–vehicle–road model under different configurations was conducted and axle lateral load transfers were recorded. Thereafter, the rollover risk index for tank vehicles on these road segments was calculated, and a multiple regression model was established to analyze the impact of vehicle conditions and road alignment factors on the rollover risk of tank vehicles. Figure 1 shows the research ideas for this study.

3. Simulation Environment and Condition Configuration

3.1. Simulation Environment

With the help of Trucksim and Simulink, the tank vehicle model, driver model, and road model were built to obtain the driver–vehicle–road closed-loop dynamics system, allowing the tank vehicle to drive on various curved–slope combination sections with different loading conditions and vehicle operating speeds.

3.1.1. Tank Vehicle’s Dynamic Model

Lateral liquid sloshing in partially filled tanks has a significant impact on vehicle roll stability. Li X. et al. found that the liquid mass in the tank can be divided into the static liquid mass and the sloshing part [26,27,29]. The static liquid mass can be treated as solid cargo; it does not move relative to the vehicle. The sloshing part moves periodically relative to the tank; its motion can be simulated well by a trammel pendulum. In this paper, the trammel pendulum model developed in [26,29] was used to equivalently describe the lateral liquid sloshing in tanks, as shown in Figure 2.
The vehicle’s rigid body and the liquid cargo were modeled separately when establishing the dynamic model of a tank vehicle, and the two parts were connected by tank movement and liquid sloshing.
The dynamic model of the vehicle’s rigid body was established in TruckSim. The vehicle has DOFs of longitudinal motion, lateral motion, yaw motion, and roll motion, and the rigid vehicle body is not loaded with liquid cargo.
The lateral sloshing of liquid cargo was described using the equivalent trammel pendulum model created in Simulink. The model has inputs that include vehicle sideslip angle β, yaw velocity r, and body roll angle Φ from the rigid body model, and it has liquid sloshing force and torque as outputs. The sloshing force and torque are applied to the cargo center and the bottom center of the tank at the vehicle’s rigid body, respectively.
The vehicle sideslip angle β, yaw velocity r, and body roll angle Φ are obtained in TruckSim by the vehicle’s rigid body model, and liquid sloshing force and torque are obtained by the trammel pendulum in Simulink. The signal communication between the two subsystems is shown in Figure 3.

3.1.2. Driver Model

Designing a suitable driver model to control the vehicle’s drive along the expected trajectory is necessary. Due to the large lateral deviation obtained from the driver model planted in Trucksim while the vehicle is driving at high speeds, a sliding mode control method, which is more suitable for high-speed vehicle dynamics, was employed in this paper to establish the driver model. Sliding mode control is unaffected by system parameters, does not require online identification, offers fast response times, and exhibits strong robustness to disturbances and unmodeled dynamics. Feng et al. developed a nonsingular terminal sliding mode control (NTSMC) strategy to mitigate the buffeting effect present in traditional sliding mode control, reduce convergence time, and eliminate singularities, thereby enabling effective vehicle trajectory tracking [30]. He et al. proposed a unified deviation approach that integrates both lateral deviation and heading angle deviation as control variables, enabling simultaneous control of both [31]. To reduce buffeting phenomena in the sliding mode control, the hyperbolic tangent function, tanh(s), was used to replace the sign function, sign(s), in the exponential reaching law. The following nonsingular terminal sliding mode controller is obtained:
w 1 = k 1 + k 2 m v x e ˙ k 1 + k 2 m Δ ψ + a k 1 b k 2 m v x Δ ψ ˙ + x m a k 1 b k 2 I z v x e ˙ a k 1 b k 2 I z Δ ψ + a 2 k 1 + b 2 k 2 I z v x Δ ψ ˙ w 2 = a k 1 b k 2 m ρ ρ v x 2 + v ˙ x v x e ˙ + x m a 2 k 1 + b 2 k 2 I z ρ v ˙ x ρ v x ρ ˙ w 3 = a k 1 m a k 1 I z x m δ f = u = 1 w 3 w 1 + w 2 + q λ p e ˙ m 2 p q tanh e ˙ m + ε 1 tanh s + ε 2 s
where k1 and k2 are the generalized tire cornering stiffness of the front and rear wheels, respectively; a and b are the distances between the mass-center location and front and rear axles, respectively; xm is the driver’s preview distance; Iz is the vehicle’s yaw moment of inertia; ρ is path curvature; vx is vehicle operating speed; λ is a positive number; p and q are positive odd numbers greater than 1; and ε 1 and ε 2 are positive numbers. While ε 2 increases, ε 1 decrease simultaneously, which helps to accelerate the speed and reduce the buffeting phenomena.
The driver model based on NTSMC was built in Simulink. The signal communication between the driver model and tank vehicle model is shown in Figure 4.

3.1.3. Road Model

Road alignment was determined by curvature, longitudinal slope, and lateral superelevation. The settings of these three factors are described in Part 4.

3.2. Simulation Conditions

  • Vehicle configuration
A twin-axle tank vehicle equipped with an elliptical tank was utilized in the driving simulation. The vehicle features a 4 × 2 drive configuration with a two-wheeled rear axle drive. The total length of the vehicle is 8.5 m, the tank length is 5.8 m, and the tank has a 2.5 m2 cross-section.
  • Tank shape and liquid cargo fill level
To assess how tank shape affects the rollover risk of tank vehicles, tank shapes with the ratio of the major axis to the minor axes of 1, 1.5, 1.75, and 2 were considered. Table 1 shows the cross-sectional dimensions of the four tank shapes.
Liquid cargo fill levels of 0.2, 0.4, 0.6, and 0.8 were taken into account to consider the influence of cargo loading on the rollover risk of tank vehicles. The density of liquid cargo loaded in the tank is assumed to be 1000 kg/m3.
  • Road alignment
According to the definition of curved–slope combination road sections in the Highway Project Safety Evaluation Specification in China, a road section with a circular curve radius less than or equal to 1000 m and a slope greater than 3% is defined as a curved–slope combination. The Code for the Design of Highway Routes stipulates that the curve radius for road sections with a design speed of 60 km/h should be equal to or greater than 125 m. The Highway Design Guidelines stipulate that the maximum superelevation of curves should be controlled within 6%.
Given the above analysis, circular curves of 130 m, 150 m, 200 m, and 300 m; road lateral superelevations of 3%, 4%, 5%, and 6%; and road longitudinal downgrades of −3%, −4%, −5%, and −6% were selected to generate curved–slope road sections.
  • Vehicle driving speed
Vehicle driving speeds of 50 km/h, 60 km/h, 70 km/h, and 80 km/h, which are within the vicinity of the road design speed (60 km/h), were considered to explore the influence of vehicle operating speeds on tanker rollover risk.
  • Others
Analysis of vehicle rollover accidents shows that many rollover accidents occur on dry roads [32]. Consequently, this study focused on tanker rollover risk on dry roads, with the road adhesion coefficient set to 0.85.

3.3. Orthogonal Experiments Design

Six types of influencing factors were considered in this paper: vehicle operating speed, liquid cargo filling level, tank shape, road longitudinal downgrade, curve radius, and road lateral superelevation. As shown in Table 2, each factor has four levels. Without orthogonal experiments design, 46 simulation experiments would be conducted, which would be quite time-consuming.
To maximize the experiment efficiency and accurately evaluate the influence of multiple factors on tanker rollover risk in a relatively small number of experiments, a high-intensity orthogonal experimental method was utilized to design an experimental scheme with different combinations of factor settings [33,34]. The combinations of the levels of various factors in the experiment are evenly distributed and independent of each other. With the help of orthogonal experiments design, a total of 1024 sets of experiments were designed.

4. Tank Vehicles’ Rollover Risk Analysis

4.1. Vehicle Rollover Risk Assessment

4.1.1. Rollover Safety Margin

The lateral load transfer rate ( L T R ) is commonly used to assess vehicle rollover conditions. An L T R of 1 indicates that the vertical load on one side of the wheel is zero, placing the vehicle in a critical rollover state, while an LTR of 0 indicates that the vertical loads on both sides of the tires are equal, meaning the vehicle is in a safe driving condition. The larger the L T R ( t ) and the closer it is to the limit value L T R 0 (where L T R 0 = 1 ), the more likely the vehicle is to roll over. The rollover safety margin ( R M ) is defined to evaluate the vehicle’s ability to maintain roll stability.
R M t = L T R 0 L T R t , 0 R M t L T R 0

4.1.2. Rollover Risk Index

To reflect the likelihood of a rollover accident occurring, the rollover accident probability function is defined as follows:
p t = p ( L T R = 1 R M t ) = 1 L T R 0 R M t + 1
where p ( L T R = 1 R M t ) is the conditional probability, representing the likelihood of a rollover accident given a specific rollover safety margin R M t . It is a function of time and is denoted by p t .
The rollover risk index for each road section (where a value closer to 1 indicates a higher risk of a rollover accident) is calculated as follows:
R I = 1 d n S n 1 S n p s d s
where d n denotes the length of a road segment, d n = S n S n 1 .
When 0.5 < RI < 0.7 and L T R max > 0.8, the vehicle has a moderate rollover risk. When 0.7 < RI < 0.9 and the L T R max of the vehicle’s rear axle is 1, with the L T R max of the entire vehicle close to 1, the vehicle has a higher risk of rollover. When RI > 0.9, the vehicle is at imminent risk of rolling over.

4.2. The Impact of Vehicle Configuration on Rollover Risk

4.2.1. Vehicle Operating Speed and Liquid Cargo Fill Level

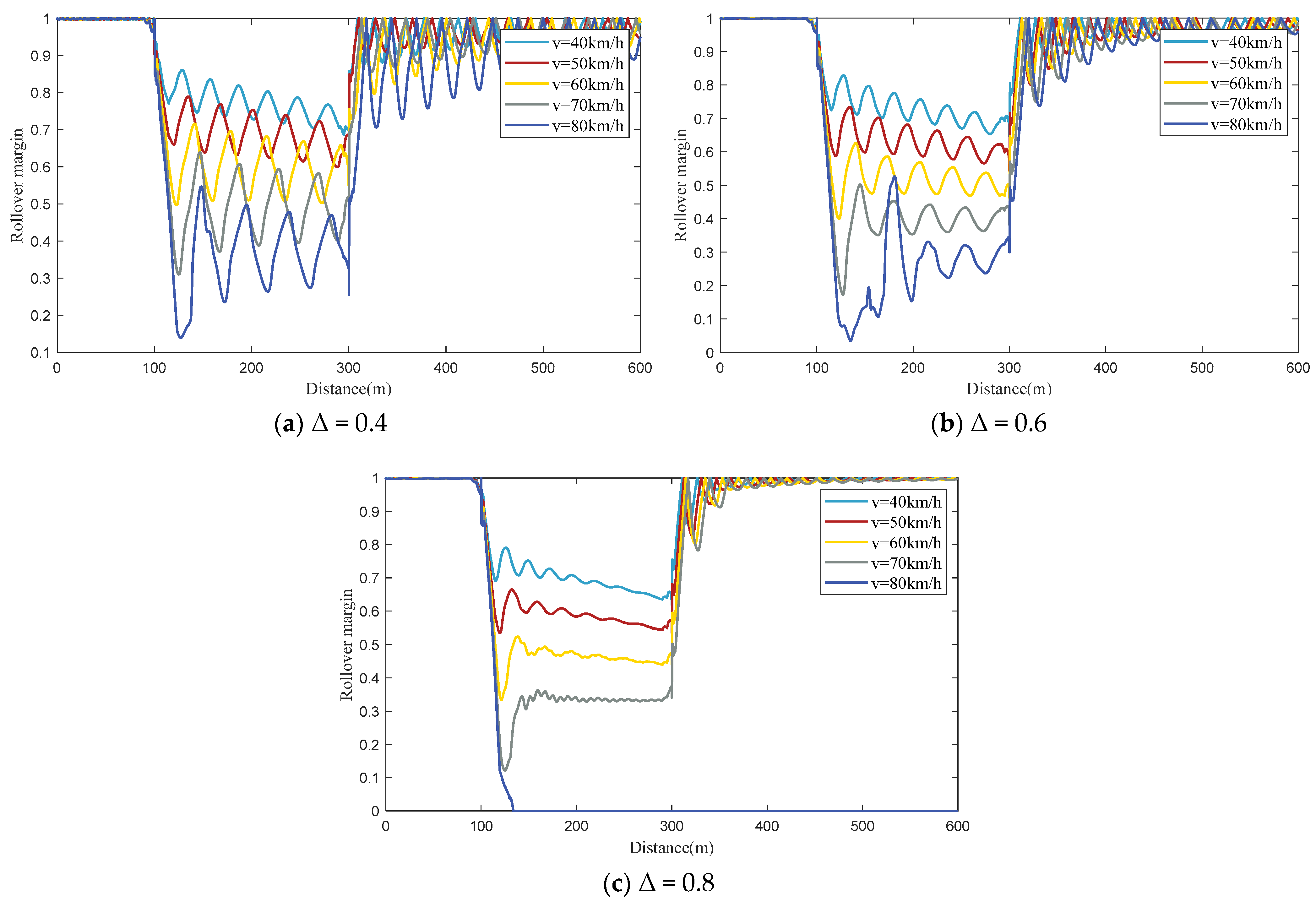
To analyze the impact of vehicle operating speed and liquid cargo fill level on the rollover risk of a tank vehicle driving on a curved–slope road section, a simulation was conducted considering five different operating speeds in relation to a road design speed of 60 km/h and three liquid cargo fill levels. The tank vehicle used in the study had a major-to-minor axis ratio of 1.5 for its tank. The road curve had a radius of 130 m, with a superelevation of 3% and a downgrade of −3%.
The simulation results in Figure 5 show the rollover safety margin for a tank vehicle at various operating speeds. As the tank vehicle travels through a curve at higher speeds, the rollover risk index increases significantly. This is because higher speeds generate greater lateral acceleration, which in turn raises the rollover risk. This observation aligns with previous research findings. Additionally, compared to a liquid cargo fill level of 0.8, the rollover safety margin exhibits more pronounced oscillations at a fill level of 0.6. This is due to the increased liquid sloshing within the tank at the lower fill level, which is consistent with existing research. As the liquid fill level increases, so does the vehicle’s rollover risk, as a higher fill level results in greater mass, further contributing to the rollover risk. When a tank vehicle with a liquid cargo fill level of 0.8 travels at a speed of 80 km/h on a curved–slope combination section, the rollover safety margin becomes 0 after a certain period of time. This indicates that the tank vehicle has overturned at this point. Therefore, the speed limit requirements for tank vehicles vary depending on the type of cargo and fill level when traveling on the same combination of curved slopes. If the liquid cargo fill level of a tank vehicle is too high, rollover accidents may still occur, even when the vehicle is driving within the speed limits of the road.

4.2.2. Tank Shape

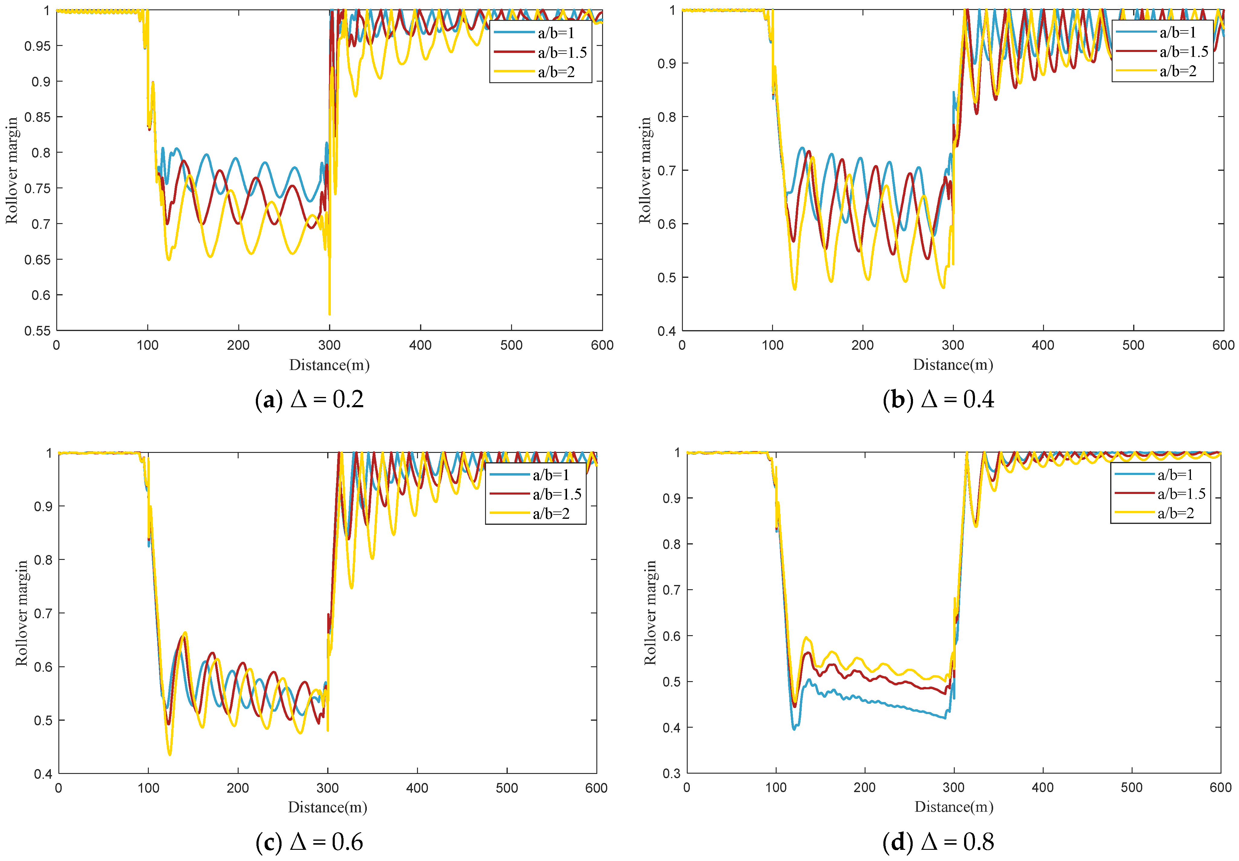
In order to examine how different tank shapes affect the rollover risk of tank vehicles on curved–slope sections, three tank shapes with major-to-minor axis ratios of 1, 1.5, and 2 were analyzed. To provide a clear comparison of the impact of tank shape on rollover safety margins, the margins for each tank shape were evaluated across four different liquid cargo fill levels. The curve radius was set at 130 m, the road superelevation at 6%, and the road downgrade at −3%. The operating speed of the tank vehicle was 60 km/h.
Figure 6 shows the rollover safety margin of tank vehicles with different tank shapes under various liquid cargo fill levels. From the figure, it can be seen that for the liquid cargo fill levels of 0.2 and 0.4, the rollover risk increases as the major-to-minor axis ratio of the tank shape increases. At a liquid cargo fill level of 0.6, the effect of the tank shape on the rollover risk is similar. However, when the liquid cargo fill level reaches 0.8, the rollover risk decreases as the major-to-minor axis ratio increases. This occurs because, at lower liquid cargo fill levels, although the liquid’s center of mass decreases with an increasing major-to-minor axis ratio, the lateral impact strength of the liquid also increases. In contrast, at a liquid cargo fill level of 0.8, the sloshing of the liquid is minimized, and the higher major-to-minor axis ratio lowers the liquid’s center of mass, thus reducing the rollover risk of the tank vehicle.

4.3. The Impact of Road Curve Characteristics on Rollover Risk

4.3.1. Curve Radius

To investigate how curve radius affects the rollover risk of tank vehicles driving on a curved–slope road section, experimental road sections with varying curve radii were designed. The liquid cargo fill level was set to 0.8, the tank’s major-to-minor axis ratio was set to 1.5, the curve superelevation was set to 3%, and the longitudinal downgrade was set to −3%.
Figure 7 shows the rollover safety margin of tank vehicles driving on curves with different radii. The image demonstrates that as the curve radius decreases, the rollover safety margin of the tank vehicle also decreases, increasing the possibility of rollover. In sharp curves with a radius of 130 m, there is even a possibility of rollover when driving at a speed of 80 km/h. This is because an increase in the curve radius flattens the curve, allowing the tank vehicle to pass through the curved section more safely.

4.3.2. Road Longitudinal Downgrades

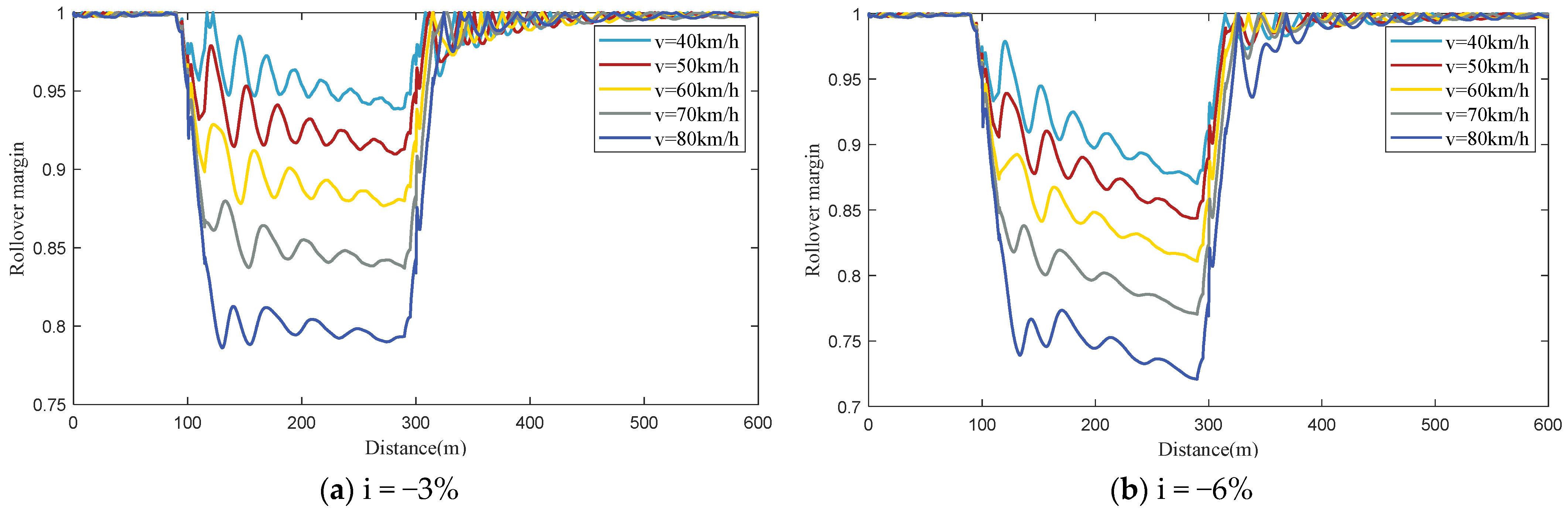
Vehicles are more likely to roll over when driving downhill than uphill. Therefore, this paper designed downhill road sections with varying slopes for simulation experiments, aiming to examine how the road slope influences the rollover risk of tank vehicles navigating the curved–slope road sections. The tank of the tank vehicle selected had a major-to-minor axis ratio of 1.5, a liquid cargo fill level set at 0.8, a curve radius of 500 m, and a road lateral superelevation of 3%.
Figure 8 shows the rollover safety margin of the tank vehicle traveling on different longitudinal downgrades. As the downgrade becomes steeper, the rollover safety margin decreases. This is because a steeper downgrade leads to higher vehicle speeds, which raises the likelihood of the tank vehicle rolling over. Driving at higher speeds on steep downhill sections is more dangerous, significantly increasing the risk of the tank vehicle rolling over.

4.3.3. Road Lateral Superelevation

To examine the impact of road lateral superelevation on the rollover risk of a tank vehicle navigating curved–slope sections, road segments with varying superelevation values were designed for simulation experiments. The tank of the tank vehicle selected had a major-to-minor axis ratio of 1.5, a liquid cargo fill level of 0.8, a curve radius of 130 m, and a longitudinal downgrade of −3%.
Figure 9 shows the rollover safety margin of the tank vehicle traveling on curved–slope road sections with varying lateral superelevations. The tank vehicle rolled over when traveling at a speed of 80 km/h on a road section with a 3% superelevation. However, when the tank vehicle traveled at the same speed on a road section with a 6% superelevation, it did not roll over. This suggests that a higher lateral superelevation can mitigate the rollover risk of the tank vehicle. By helping to offset the lateral acceleration the vehicle encounters on curves, it enhances stability and reduces the risk of the tank vehicle rolling over.

4.4. Interaction Terms on Vehicle Rollover Risk

To determine whether an interaction exists between two independent variables, the other four independent variables are held constant. We plotted the fitting lines of one independent variable with the dependent variable at different levels of another independent variable. By observing whether these fitting lines intersect noticeably, we can preliminarily identify potential interaction terms. In this analysis, potential interactions were observed between the following pairs of variables: liquid cargo fill level and vehicle operating speed, liquid cargo fill level and curve radius, vehicle operating speed and curve radius, longitudinal downgrade and curve radius, tank shape and vehicle operating speed, tank shape and curve radius, and tank shape and liquid cargo fill level.

4.5. Multiple Regression Model of Tank Vehicles’ Rollover Risk

The response variable (rollover risk index of tank vehicle) and the explanatory variables (liquid cargo fill level, vehicle operating speed, road lateral superelevation, road longitudinal downgrade, road curve radius, tank shape) are all continuous variables, so a multiple linear regression model is suitable for data fitting.
R I = β 0 + β 1 x 1 + β 2 x 2 + + β p x p + ε
where β 0 , β 1 , β 2 , , β p are the parameters estimated for the rollover risk index R I , x 1 , x 2 , , x p are the explanatory variables that affect the rollover risk index, and ε is the stochastic error term.
The analysis results in Figure 10 show several potential interactions among factors: the liquid cargo fill level and operating speed, the liquid cargo fill level and curve radius, operating speed and curve radius, longitudinal downgrade and curve radius, tank shape and operating speed, tank shape and curve radius, as well as tank shape and liquid cargo fill level. To unambiguously quantify the impact of all factors and capture any potential interactions, multiple linear regression analyses with interaction terms were performed.
However, when the interaction terms are directly created by multiplying the main effect terms in multiple linear regression analysis, multicollinearity issues could arise. This could cause significant main effect terms to become non-significant and even alter the direction of their regression coefficients. To mitigate multicollinearity and ensure the interpretability of the main effect coefficients, the product terms were centralized during the multiple linear regression process.
R I = β 0 + β 1 x 1 + β 2 x 2 + β 3 x 3 + β 4 x 4 + β 5 x 5 + β 6 x 6 + β 7 x 1 x ¯ 1 x 2 x ¯ 2 + β 8 x 1 x ¯ 1 x 5 x ¯ 5 + β 9 x 1 x ¯ 1 x 6 x ¯ 6 + β 10 x 2 x ¯ 2 x 5 x ¯ 5 + β 11 x 2 x ¯ 2 x 6 x ¯ 6 + β 12 x 4 x ¯ 4 x 5 x ¯ 5 + β 13 x 5 x ¯ 5 x 6 x ¯ 6 + ε
where x 1 is the liquid cargo fill level; x 2 is the vehicle operating speed, km/h; x 3 is the road lateral superelevation, %; x 4 is the road longitudinal downgrade, %; x 5 is the road curve radius, m; x 6 is the ratio of the major and minor axis of the tank; x ¯ 1 , x ¯ 2 , x ¯ 3 , x ¯ 4 , x ¯ 5 , x ¯ 6 are the averages of x 1 , x 2 , x 3 , x 4 , x 5 , x 6 .
The multiple regression model was employed to explain the simulation test results and describe the impact of key factors on the rollover risk index of the tank vehicle. The findings are presented in Table 3.
From the unstandardized regression coefficients in Table 3, it can be seen that after considering the interaction terms, the multiple linear regression model for the rollover risk index of the tank vehicle is given below:
R I = 0.108 + 0.363 x 1 + 0.009 x 2 0.013 x 3 0.034 x 4 0.002 x 5 + 0.009 x 6 + 0.009 x 1 x ¯ 1 x 2 x ¯ 2 0.002 x 1 x ¯ 1 x 5 x ¯ 5 0.235 x 1 x ¯ 1 x 6 x ¯ 6 3.374 × 10 5 x 2 x ¯ 2 x 5 x ¯ 5
The model’s fit statistics reveal an adjusted R2 of 0.958, meaning that the model can explain 95.8% of the variation in the rollover risk index. The F-statistic is 1795.516 with a corresponding p-value of 0, which is below the 0.05 threshold, confirming the model’s overall statistical significance and high reliability. Moreover, the regression results show that all main effect and interaction terms are statistically significant at the 95% confidence level, except for the interaction terms of vehicle operating speed * tank shape and curve radius * tank shape.
Regarding multicollinearity, the VIF values listed in Table 3 are all 1, which is below the threshold of 10, indicating the absence of multicollinearity. The regression diagnosis results for the multiple linear regression model are shown in Figure 11. The residual histogram and the normal P-P plot of the standardized residuals indicate that most points are clustered around the y = x line, suggesting that the residuals follow a normal distribution. Additionally, the scatter plot of standardized residuals shows a relatively even distribution near the horizontal line, with no noticeable aggregation or pattern, indicating no heteroskedasticity.
In summary, the multiple linear regression model shows no signs of multicollinearity and demonstrates a strong fit. It largely adheres to the linearity assumptions, including normality of residuals and homoscedasticity. No significant violations of the statistical assumptions were detected.

5. Discussion

5.1. Impact of the Main Effect on Rollover Risk

The liquid cargo fill level of the tank vehicle significantly influences the rollover risk index. The positive regression coefficient for this factor indicates that higher liquid cargo fill levels increase the rollover risk, which is consistent with the simulation results shown in Figure 5. Table 3 presents the standardized regression coefficients, which demonstrate how much each factor affects the rollover risk index. Among all the main factors, the liquid cargo fill level ranks third in terms of its effect.
The shape of the tank on the vehicle also has a notable impact on the rollover risk index. The positive regression coefficient for this factor suggests a general positive correlation between the major-to-minor axis ratio of the tank and the rollover risk. However, the standardized regression coefficients in Table 3 show that the tank shape exerts the least influence on the rollover risk compared to the other main factors.
Vehicle operating speed is another crucial factor affecting the rollover risk index for tank vehicles. A positive regression coefficient indicates that higher operating speeds lead to an increased rollover risk, which aligns with the simulation results shown in Figure 5. According to the standardized regression coefficients in Table 3, operating speed exerts a substantial influence on the rollover risk index, ranking just behind the curve radius in terms of impact.
The curve radius, longitudinal downgrade (with a negative value), and superelevation all have a significant effect on the rollover risk index of the tank vehicle. The negative regression coefficient for the curve radius suggests that as the radius increases, the rollover risk decreases, as shown in Figure 7. Similarly, the negative regression coefficient for longitudinal downgrade shows that a steeper downgrade reduces the rollover risk, which is demonstrated in Figure 8. For superelevation, the negative coefficient reveals that higher superelevation values lead to lower rollover risk, in line with the findings in Figure 9. According to the standardized regression coefficients in Table 3, among the six factors analyzed, the curve radius has the greatest impact on the rollover risk index. Longitudinal downgrade and superelevation have less influence, with longitudinal downgrade ranking fourth and superelevation ranking fifth among the roadway geometry factors.

5.2. The Impact of Interactions Between Factors on Rollover Risk

The statistical results presented in Table 3 clearly highlight that five interactive items have a significant impact on the rollover risk index. These interactions include the interaction between liquid cargo fill level and vehicle operating speed, liquid cargo fill level and curve radius, liquid cargo fill level and tank shape, vehicle operating speed and curve radius, and longitudinal downgrade and curve radius.
The positive coefficient for the interaction between liquid cargo fill level and vehicle operating speed indicates that a higher fill level amplifies the effect of vehicle speed on the rollover risk index. Tank vehicles with higher liquid cargo fill levels are more susceptible to rollover when traveling at higher speeds. According to the standardized regression coefficients in Table 3, this interaction is the third most influential factor affecting the rollover risk index compared to other interactions. Therefore, tank vehicles with high liquid cargo fill levels should avoid driving at high speeds on curved–slope combination sections during transportation. Transport organizations can adjust the liquid cargo fill level according to the speed limits of different road segments to reduce the occurrence of tank vehicle rollover accidents.
Conversely, the negative coefficient for the interaction between liquid cargo fill level and curve radius suggests that as the liquid cargo fill level increases, the effect of curve radius on the rollover risk index becomes more pronounced. Specifically, a higher liquid cargo fill level leads to a greater reduction in rollover risk index as the curve radius increases. This interaction is the most influential among all the interaction terms, as indicated by the standardized regression coefficients in Table 3.
Similarly, the negative coefficient for the interaction between vehicle operating speed and curve radius indicates that as the vehicle’s operating speed increases, the effect of curve radius on the rollover risk index intensifies. In particular, at higher speeds, the rollover risk index decreases more noticeably as the curve radius increases. According to the standardized regression coefficients, this interaction is the second most influential factor on the rollover risk index, following only the interaction between liquid cargo fill level and curve radius.
The coefficient for the interaction between longitudinal downgrade and curve radius is positive, indicating that as the downgrade value decreases, the impact of curve radius on the rollover risk index becomes greater. Specifically, in steeper downgrade sections, the rollover risk index decreases more sharply as the curve radius increases. However, this interaction has the least influence on the rollover risk index, as indicated by the standardized regression coefficients, ranking it lower than the other interactions.
Finally, the negative coefficient for the interaction between liquid cargo fill level and tank shape suggests that as the major-to-minor axis ratio of the tank increases, the impact of liquid cargo fill level on the rollover risk index gradually diminishes. This implies that when the major-to-minor axis ratio of the tank is smaller, the rollover risk index of the tank vehicle increases significantly with a higher liquid cargo fill level. In contrast, when the ratio is larger, the increase in the rollover risk index becomes less pronounced as the fill level increases. According to the standardized regression coefficients, this interaction ranks fourth among the interaction terms, making it the second least influential factor on the rollover risk index of tank vehicles. When transporting goods with a tank vehicle, it is recommended to avoid using vehicles with a small major-to-minor axis ratio to transport liquid cargo at higher fill levels.

6. Conclusions

This study aimed to assess the rollover risk of tank vehicles navigating curved–slope combination sections. To achieve this, the dynamic vehicle simulation approach was employed, offering distinct advantages over traditional methods. Unlike crash data or costly field tests, dynamic simulations provide insights into the impact of various factors and their interactions, which are essential for a more accurate understanding of tank vehicle behavior while navigating corners. By utilizing dynamic simulation tools, the study was able to capture the vehicle’s dynamic response in complex scenarios, leading to more precise results. As a result, Trucksim and Simulink co-simulation were used to evaluate the rollover risk index of tank vehicles on different curved–slope combination sections. Unlike the existing literature, this study is the first to comprehensively consider the impact of road geometry and vehicle configuration on the rollover risk of tank vehicles and offers new insights into the interplay between vehicle configuration of tank vehicles and road geometry. Six key variables and their interactions were analyzed to assess their impact on the rollover risk of tank vehicles. These variables include the liquid cargo fill level, vehicle operating speed, road lateral superelevation, road longitudinal downgrade, road curve radius, and tank shape. A high-intensity orthogonal experiment was designed to gather 1024 sets of data. Based on the data obtained from these simulations, a multiple linear regression model with interaction terms was developed to quantify the influence of these factors on the rollover risk of tank vehicles.
This study established, for the first time, a rollover risk assessment model specifically for tank vehicles navigating curved–slope combination sections and quantified the impact of various factors on the rollover risk. The results indicate that curve radius, vehicle operating speed, and liquid cargo fill level have the greatest influence on the rollover risk of tank vehicles, followed by longitudinal downgrade and superelevation, with tank shape having the least impact. Smaller curve radii, steeper downgrade slopes, lower superelevation, and higher vehicle speeds all increase the rollover risk of tank vehicles. Additionally, the rollover risk varies depending on tank shape and liquid cargo fill level. A larger liquid cargo fill level exacerbates the rollover risk when tank vehicles drive on curved–slope combination sections. As the major-to-minor axis ratio of the tank increases, the impact of cargo fill level on the rollover risk of the tank vehicle gradually decreases. When the major-to-minor axis ratio of the tank is large, the increase in rollover risk with the rise in the liquid cargo fill level becomes less significant. Simulation experiments suggest that, in certain cases, it is necessary to reduce vehicle operating speed or adjust the loading conditions to prevent rollover accidents. When a tank vehicle with a high cargo fill level passes through sharp curves and steep slopes, it is recommended to drive at a speed 10 km/h below the speed limit to prevent rollover accidents. Selecting the appropriate tank shape based on transportation requirements also contributes to enhancing the safety of tank vehicle operations. When the liquid cargo fill level is high, using a tank with a larger major-to-minor axis ratio results in a lower rollover risk for the tank vehicle. The findings of this study can not only effectively assess the risk of liquid tanker rollover and help reduce the occurrence of liquid tanker rollover accidents, thus reducing the potential harm to the environment and public safety risks. It also provides a scientific basis for formulating effective safety policies, optimizing transportation route planning, and improving the overall sustainability of the industry.
However, this study focused solely on the rollover risk of tank vehicles on a single curved–slope combination section and did not account for the effects of changes in road alignment on rollover risk. Future research could investigate how variations in the road geometry before and after this section influence the rollover risk for tank vehicles. This study only considered the case of a single-compartment tank, and future research could investigate the impact of uneven loading in different compartments of multi-compartment tank vehicles.

Author Contributions

Conceptualization, X.Z. and L.Y.; Data curation, L.Y.; Formal analysis, X.Z., Y.R. and X.L.; Funding acquisition, Y.R.; Investigation, X.Z. and L.Y.; Methodology, X.Z., L.Y., Y.R. and X.L.; Project administration, X.Z., B.L. and J.X.; Software, L.Y.; Validation, X.Z. and L.Y.; Visualization, L.Y.; Writing—original draft, X.Z. and L.Y.; Writing—review and editing, Y.R., X.L., B.L. and J.X. All authors have read and agreed to the published version of the manuscript.

Funding

This research was funded by the National Key R&D Program of China (Grant number: 2023YFC3009600).

Institutional Review Board Statement

Not applicable.

Informed Consent Statement

Not applicable.

Data Availability Statement

The original contributions presented in the study are included in the article; further inquiries can be directed to the corresponding author.

Acknowledgments

The views presented in this paper are those of the authors, who are responsible for the facts and accuracy of the information.

Conflicts of Interest

Author Biao Liang was employed by the company Nanjing Sample Technology Co., Ltd. The remaining authors declare that the research was conducted in the absence of any commercial or financial relationships that could be construed as a potential conflict of interest. The authors declare that they have no known competing financial interests or personal relationships that could have appeared to influence the work reported in this paper.

References

  1. Xiao, J.; Yang, X. Analysis of Road Transportation Accidents of Hazardous Chemicals in China. J. Political Sci. Law 2020, 37, 122–128. [Google Scholar]
  2. Abdel-Aty, M.A.; Radwan, A.E. Modeling Traffic Accident Occurrence and Involvement. Accid. Anal. Prev. 2000, 32, 633–642. [Google Scholar] [CrossRef] [PubMed]
  3. Anastasopoulos, P.C.; Tarko, A.P.; Mannering, F.L. Tobit Analysis of Vehicle Accident Rates on Interstate Highways. Accid. Anal. Prev. 2008, 40, 768–775. [Google Scholar] [CrossRef] [PubMed]
  4. Cafiso, S.; Graziano, A.D.; Silvestro, G.D.; Cava, G.L.; Persaud, B. Development of Comprehensive Accident Models for Two-Lane Rural Highways Using Exposure, Geometry, Consistency and Context Variables. Accid. Anal. Prev. 2010, 42, 1072–1079. [Google Scholar] [CrossRef]
  5. Shankar, V.; Mannering, F.; Barfield, W. Effect of Roadway Geometrics and Environmental Factors on Rural Freeway Accident Frequencies. Accid. Anal. Prev. 1995, 27, 371–389. [Google Scholar] [CrossRef]
  6. Carson, J.; Mannering, F. The Effect of Ice Warning Signs on Ice-Accident Frequencies and Severities. Accid. Anal. Prev. 2001, 33, 99–109. [Google Scholar] [CrossRef]
  7. Chang, L.-Y. Analysis of Freeway Accident Frequencies: Negative Binomial Regression versus Artificial Neural Network. Saf. Sci. 2005, 43, 541–557. [Google Scholar] [CrossRef]
  8. Fornalchyk, Y.; Afonin, M.; Postranskyy, T.; Boikivboikiv, M. Risk assessment during the transportation of dangerous goods considering the functional state of the driver. Transp. Probl. 2021, 16, 139–152. [Google Scholar] [CrossRef]
  9. Janno, J.O.; Koppel, O. Human factor as the main operational risk in dangerous goods transportation chain. Bus. Logist. Mod. Manag. 2017, 17, 63–78. [Google Scholar]
  10. Milovanović, B. Methodology for Establishing the Routes for Transportation of Dangerous Goods on the Basis of the Risk Level—Case Study: City of Belgrade. Sci. Res. Essays 2012, 7, 38–50. [Google Scholar] [CrossRef]
  11. Sun, L.; Chen, L.; Yin, Y.; Tian, Y.; Zhang, X. Risk Assessment of Rollover and Skidding Due to Pavement Roughness and Differential Settlement for Enhancing Transportation Safety. J. Adv. Transp. 2021, 2021, 7244283. [Google Scholar] [CrossRef]
  12. Dabbour, E.; Easa, S.M.; Halim, A.O.A.E. Radius Requirements for Reverse Horizontal Curves on Three-Dimensional Alignments. J. Transp. Eng. 2004, 130, 610–620. [Google Scholar] [CrossRef]
  13. Bonneson, J.A. Superelevation Distribution Methods and Transition Designs. NCHRP Report. 2000. Available online: https://www.semanticscholar.org/paper/SUPERELEVATION-DISTRIBUTION-METHODS-AND-TRANSITION-Bonneson/68585805cfca019b05c6ae54191e08b4f733a7d1 (accessed on 19 January 2025).
  14. Eck, R.W.; French, L.J. Effective Superelevation for Large Trucks on Sharp Curves and Steep Grades; West Virginia University: Morgantown, WV, USA, 2002. [Google Scholar]
  15. Dhahir, B.; Hassan, Y. Modeling Speed and Comfort Threshold on Horizontal Curves of Rural Two-Lane Highways Using Naturalistic Driving Data. J. Transp. Eng. Part A Syst. 2019, 145, 04019025. [Google Scholar] [CrossRef]
  16. You, K.; Sun, L. Reliability Analysis of Vehicle Stability on Combined Horizontal and Vertical Alignments: Driving Safety Perspective. J. Transp. Eng. 2013, 139, 804–813. [Google Scholar] [CrossRef]
  17. Du, J.; Wen, Q.; Zhang, J.; Liao, X. New Construction of Symmetric Orthogonal Arrays of Strength t. IEICE Trans. Fundam. Electron. Commun. Comput. Sci. 2013, 96, 1901–1904. [Google Scholar] [CrossRef]
  18. Torbic, D.; Donnell, E.; Brennan, S.; Brown, A.; O’Laughlin, M.; Bauer, K. Superelevation Design for Sharp Horizontal Curves on Steep Grades. Transp. Res. Rec. J. Transp. Res. Board 2014, 2436, 81–91. [Google Scholar] [CrossRef]
  19. Echaveguren, T.; Bustos, M.; Solminihac, H. Assessment of Horizontal Curves of an Existing Road Using Reliability Concepts. Can. J. Civ. Eng. 2005, 32, 1030–1038. [Google Scholar] [CrossRef]
  20. Ismail, K.; Sayed, T. Risk-Based Framework for Accommodating Uncertainty in Highway Geometric Design. Can. J. Civ. Eng. 2009, 36, 743–753. [Google Scholar] [CrossRef]
  21. You, K.; Sun, L.; Gu, W. Reliability-Based Risk Analysis of Roadway Horizontal Curves. J. Transp. Eng. 2012, 138, 1071–1081. [Google Scholar] [CrossRef]
  22. Ervin, R.D. The Influence of Size and Weight Variables on the Roll Stability of Heavy Duty Trucks. 1983. Available online: https://www.sae.org/publications/technical-papers/content/831163/ (accessed on 19 January 2025).
  23. af Wåhlberg, A. Meta-analysis of the Difference in Accident Risk between Long and Short Truck Configurations. J. Risk Res. 2008, 11, 315–333. [Google Scholar] [CrossRef]
  24. Alrejjal, A.; Ksaibati, K. Impact of Mountainous Interstate Alignments and Truck Configurations on Rollover Propensity. J. Saf. Res. 2022, 80, 160–174. [Google Scholar] [CrossRef] [PubMed]
  25. Rakheja, S.; Ranganathan, R. Estimation of the Rollover Threshold of Heavy Vehicles Carrying Liquid Cargo: A Simplified Approach. Int. J. Heavy Veh. Syst. 2014, 1, 79–98. [Google Scholar] [CrossRef]
  26. Salem, M.I. Rollover Stability of Partially Filled Heavy-Duty Elliptical Tankers Using Trammel Pendulums to Simulate Fluid Sloshing. Ph.D. Thesis, West Virginia University Libraries, Morgantown, WV, USA, 2000. [Google Scholar]
  27. Wan, Y.; Zhao, W.; Zong, C.; Zheng, H.; Li, Z. Modelling and Analysis of the Influences of Various Liquid Sloshing Characteristics on Tank Truck Dynamics. IJHVS 2019, 26, 463. [Google Scholar] [CrossRef]
  28. Kordani, A.; Tavassoli, B.; Hossein Sabbaghian, M. Analyzing the Influence of Coinciding Horizontal Curves and Vertical Sag Curves on Side Friction Factor and Lateral Acceleration Using Simulation Modeling. In Proceedings of the 5th International Symposium on Highway Geometric Design, Vancouver, BC, Canada, 22–24 June 2015. [Google Scholar]
  29. Li, X.; Zheng, X.; Ren, Y.; Wang, Y.; Cheng, Z. Study on Driving Stability of Tank Trucks Based on Equivalent Trammel Pendulum for Liquid Sloshing. Discret. Dyn. Nat. Soc. 2013, 2013, 659873. [Google Scholar] [CrossRef]
  30. Feng, Y.; Yu, X.; Man, Z. Non-Singular Terminal Sliding Mode Control of Rigid Manipulators. Automatica 2002, 38, 2159–2167. [Google Scholar] [CrossRef]
  31. He, X.; Liu, Y.; Lv, C.; Ji, X.; Liu, Y. Emergency Steering Control of Autonomous Vehicle for Collision Avoidance and Stabilisation. Veh. Syst. Dyn. 2019, 57, 1163–1187. [Google Scholar] [CrossRef]
  32. McKnight, A.J.; Bahouth, G.T. Analysis of Large Truck Rollover Crashes. Traffic Inj. Prev. 2009, 10, 421–426. [Google Scholar] [CrossRef]
  33. Jiang, L.; Yin, J. An Approach of Constructing Mixed-Level Orthogonal Arrays of Strength ≥ 3. Sci. China Math. 2013, 56, 1109–1115. [Google Scholar] [CrossRef]
  34. DU, Y.; YUE, L.; LIU, S. Optimization of Combined Horizontal and Vertical Curves Design of Mountain Road Based on Vehicle-Road Coordination Model. In Proceedings of the 2019 5th International Conference on Transportation Information and Safety (ICTIS), Liverpool, UK, 14–17 July 2019; pp. 16–24. [Google Scholar]
Figure 1. Study methodology.
Figure 1. Study methodology.
Sustainability 17 00906 g001
Figure 2. Equivalent trammel pendulum model for lateral liquid sloshing in partially filled tanks.
Figure 2. Equivalent trammel pendulum model for lateral liquid sloshing in partially filled tanks.
Sustainability 17 00906 g002
Figure 3. The signal communication between vehicle motion and liquid sloshing.
Figure 3. The signal communication between vehicle motion and liquid sloshing.
Sustainability 17 00906 g003
Figure 4. The signal communication between the driver model and tank vehicle model.
Figure 4. The signal communication between the driver model and tank vehicle model.
Sustainability 17 00906 g004
Figure 5. Rollover safety margins under different operating speeds and different liquid cargo fill levels.
Figure 5. Rollover safety margins under different operating speeds and different liquid cargo fill levels.
Sustainability 17 00906 g005
Figure 6. Rollover safety margins under different liquid cargo fill levels and different tank shapes.
Figure 6. Rollover safety margins under different liquid cargo fill levels and different tank shapes.
Sustainability 17 00906 g006
Figure 7. Rollover safety margins under different curve radius values.
Figure 7. Rollover safety margins under different curve radius values.
Sustainability 17 00906 g007
Figure 8. Rollover safety margins under different downgrade values.
Figure 8. Rollover safety margins under different downgrade values.
Sustainability 17 00906 g008
Figure 9. Rollover safety margins under different superelevations.
Figure 9. Rollover safety margins under different superelevations.
Sustainability 17 00906 g009
Figure 10. Interaction effect between factors.
Figure 10. Interaction effect between factors.
Sustainability 17 00906 g010
Figure 11. Regression diagnosis of multiple regression model.
Figure 11. Regression diagnosis of multiple regression model.
Sustainability 17 00906 g011
Table 1. Tank dimensions.
Table 1. Tank dimensions.
Tank LabelThe Ratio of the Major Axis to the Minor AxisLength of the Semi-Major Axis, mLength of the Semi-Minor Axis, m
Tank 1a/b = 10.890.89
Tank 2a/b = 1.51.090.73
Tank 3a/b = 1.751.180.67
Tank 4a/b = 21.260.63
Table 2. Factor-level table.
Table 2. Factor-level table.
FactorsLiquid Cargo Fill LevelVehicle Operating Speed, km/h Road Lateral Superelevation, % Road Longitudinal Downgrade, %Road Curve Radius, mTank Label
Levels
10.2503−3130Tank 1
20.4604−4150Tank 2
30.6705−5200Tank 3
40.8806−6300Tank 4
Table 3. The multiple regression model for tank vehicle rollover risk.
Table 3. The multiple regression model for tank vehicle rollover risk.
Regression Parameter
VariableUnstandardized
Coefficients
Standardized CoefficientsT Statisticp-ValueCollinearity Statistics
βStandard ErrorBVIF
Constant−0.1080.012 −8.9690.000
x 1 0.3630.0050.43167.2720.0001.000
x 2 0.0090.0000.51179.6770.0001.000
x 3 −0.0130.001−0.076−11.8110.0001.000
x 4 −0.0340.001−0.199−31.1090.0001.000
x 5 −0.0020.000−0.634−98.9430.0001.000
x 6 0.0090.0030.0182.8230.0051.000
x 1 x ¯ 1 x 2 x ¯ 2 0.0090.0000.12118.8150.0001.000
x 1 x ¯ 1 x 5 x ¯ 5 −0.0020.000−0.138−21.4940.0001.000
x 1 x ¯ 1 x 6 x ¯ 6 −0.2350.015−0.103−16.1150.0001.000
x 2 x ¯ 2 x 5 x ¯ 5 −3.374 × 10−50.000−0.132−20.5330.0001.000
x 2 x ¯ 2 x 6 x ¯ 6 0.0000.000−0.009−1.4650.1431.000
x 4 x ¯ 4 x 5 x ¯ 5 0.0000.0000.0517.8810.0001.000
x 5 x ¯ 5 x 6 x ¯ 6 5.355 × 10−50.0000.0071.0780.2811.000
Model Fit Statistics
Standard estimation error0.039
R20.959Adjusted R20.958
F Statistic1795.516p-value0.000
Dependent variable: y (Rollover risk index).
Disclaimer/Publisher’s Note: The statements, opinions and data contained in all publications are solely those of the individual author(s) and contributor(s) and not of MDPI and/or the editor(s). MDPI and/or the editor(s) disclaim responsibility for any injury to people or property resulting from any ideas, methods, instructions or products referred to in the content.

Share and Cite

MDPI and ACS Style

Zheng, X.; Yu, L.; Ren, Y.; Li, X.; Liang, B.; Xi, J. Modeling of Tank Vehicle Rollover Risk Assessment on Curved–Slope Combination Sections for Sustainable Transportation Safety. Sustainability 2025, 17, 906. https://doi.org/10.3390/su17030906

AMA Style

Zheng X, Yu L, Ren Y, Li X, Liang B, Xi J. Modeling of Tank Vehicle Rollover Risk Assessment on Curved–Slope Combination Sections for Sustainable Transportation Safety. Sustainability. 2025; 17(3):906. https://doi.org/10.3390/su17030906

Chicago/Turabian Style

Zheng, Xuelian, Lijuan Yu, Yuanyuan Ren, Xiansheng Li, Biao Liang, and Jianfeng Xi. 2025. "Modeling of Tank Vehicle Rollover Risk Assessment on Curved–Slope Combination Sections for Sustainable Transportation Safety" Sustainability 17, no. 3: 906. https://doi.org/10.3390/su17030906

APA Style

Zheng, X., Yu, L., Ren, Y., Li, X., Liang, B., & Xi, J. (2025). Modeling of Tank Vehicle Rollover Risk Assessment on Curved–Slope Combination Sections for Sustainable Transportation Safety. Sustainability, 17(3), 906. https://doi.org/10.3390/su17030906

Note that from the first issue of 2016, this journal uses article numbers instead of page numbers. See further details here.

Article Metrics

Back to TopTop