Sign in to use this feature.

Years

Between: -

Subjects

remove_circle_outline
remove_circle_outline
remove_circle_outline
remove_circle_outline
remove_circle_outline
remove_circle_outline
remove_circle_outline

Journals

Article Types

Countries / Regions

Search Results (49)

Search Parameters:
Keywords = value-added ketones

Order results
Result details
Results per page
Select all
Export citation of selected articles as:
19 pages, 2663 KB  
Article
Enhancing Antioxidant and Flavor of Xuanwei Ham Bone Hydrolysates via Ultrasound and Microwave Pretreatment: A Backpropagation Artificial Neural Network Model Prediction
by Xin Chen, Xianchao Feng, Xingwei Wang, Nianwen Zhang, Yuxia Jin, Jianxin Cao, Xuejiao Wang and Chaofan Guo
Molecules 2026, 31(1), 188; https://doi.org/10.3390/molecules31010188 - 4 Jan 2026
Viewed by 291
Abstract
This study aimed to produce the hydrolysates of Xuanwei ham bone using enzymatic hydrolysis assisted by microwave and ultrasound pretreatment. A back propagation artificial neural network (BP-ANN) model was utilized to predict the optimal conditions, which involved 15 W/g bone for 15 min [...] Read more.
This study aimed to produce the hydrolysates of Xuanwei ham bone using enzymatic hydrolysis assisted by microwave and ultrasound pretreatment. A back propagation artificial neural network (BP-ANN) model was utilized to predict the optimal conditions, which involved 15 W/g bone for 15 min of ultrasound pretreatment and 5 W/g bone for 30 min of microwave pretreatment, achieving the highest degree of hydrolysis (DH). The model predicted a DH of 27.69, closely aligning with the experimentally measured actual DH of 28.33. DPPH radical scavenging and TBARS demonstrated that hydrolysates prepared by ultrasound combined microwave pretreatment (UMH) exhibited the highest antioxidant activity and significantly inhibited lipid oxidation. GC-MS analysis revealed that the UMH showed removal of bitter volatile flavor compounds, such as o-Cresol and m-Cresol, the retention of aromatic volatile compounds, such as 2-pentylfuran, formation of new aromatic volatile compounds such as 3-methylbutanal, and the reduction in certain aldehyde and ketone compounds. Pearson correlation analysis elucidated that the reduction in aldehyde and ketone compounds was positively linked to the enhanced antioxidant capacity of UMH. The results obtained hold substantial significance for enhancing the added value of Xuanwei ham within the food industry. Full article
Show Figures

Graphical abstract

19 pages, 1817 KB  
Article
Volatiles Generated in the Pyrolysis of Greenhouse Vegetable Waste
by Sergio Medina, Ullrich Stahl, Fernando Gómez, Angela N. García and Antonio Marcilla
Biomass 2026, 6(1), 2; https://doi.org/10.3390/biomass6010002 - 4 Jan 2026
Viewed by 197
Abstract
Waste valorization is a necessary activity for the development of the circular economy. Pyrolysis as a waste valorization pathway has been extensively studied, as it allows for obtaining different fractions with diverse and valuable applications. The joint analysis of results generated by thermogravimetry [...] Read more.
Waste valorization is a necessary activity for the development of the circular economy. Pyrolysis as a waste valorization pathway has been extensively studied, as it allows for obtaining different fractions with diverse and valuable applications. The joint analysis of results generated by thermogravimetry (TGA) and analytical pyrolysis (Py-GC/MS) allows for the characterization of waste materials and the assessment of their potential as sources of energy, value-added chemicals and biochar, as well as providing awareness for avoiding potential harmful emissions if the process is performed without proper control or management. In the present study, these techniques were employed on three greenhouse plant residues (broccoli, tomato, and zucchini). Analytical pyrolysis was conducted at eight temperatures ranging from 100 to 800 °C, investigating the evolution of compounds grouped by their functional groups, as well as the predominant compounds of each biomass. It was concluded that the decomposition of biomass initiates between 300–400 °C, with the highest generation of volatiles occurring around 500–600 °C, where pyrolytic compounds span a wide range of molecular weights. The production of organic acids, ketones, alcohols, and furan derivatives peaks around 500 °C, whereas alkanes, alkenes, benzene derivatives, phenols, pyrroles, pyridines, and other nitrogenous compounds increase with temperature up to 700–800 °C. The broccoli biomass exhibited a higher yield of alcohols and furan derivatives, while zucchini and tomato plants, compared to broccoli, were notable for their nitrogen-containing groups (pyridines, pyrroles, and other nitrogenous compounds). Full article
Show Figures

Figure 1

13 pages, 1905 KB  
Article
Efficient Degradation of Cis-Polyisoprene by GQDs/g-C3N4 Nanoparticles Under UV Light Irradiation
by Cilong Chen, Jinrui Liu, Bangsen Li, Dashuai Zhang, Peisong Zhang, Jianjun Shi and Zaifeng Shi
Organics 2025, 6(4), 47; https://doi.org/10.3390/org6040047 - 14 Oct 2025
Viewed by 729
Abstract
Rubber material with high elasticity and viscoelasticity has become the most widely used universal material, and the study of the aging failure mechanism of rubber has been meaningful research in the polymer materials field. Cis-polyisoprene was employed to analyze the mechanism of [...] Read more.
Rubber material with high elasticity and viscoelasticity has become the most widely used universal material, and the study of the aging failure mechanism of rubber has been meaningful research in the polymer materials field. Cis-polyisoprene was employed to analyze the mechanism of oxidative degradation under artificial UV irradiation, and the GQDs/g-C3N4 photocatalysis with a 2D layered structure prepared by the method of microwave-assisted polymerization enabled to accelerate the degradation procedure. The results showed that the oxidation of cis-polyisoprene occurred during the irradiation for 3 days and the structure of cis-polyisoprene changed. The α-H of the double bond was attacked by oxygen to form hydroperoxide. Then, aldehydes and ketones generated as the addition reaction of double bonds occurred. The content of the hydrogen of C=C reduced, and the oxidative degradation was dominant at the initial aging stage. The crosslinking reaction was dominant at the final aging stage and the average molecular weight decreased from 15.49 × 104 to 8.78 × 104. The GQDs could promote the charge transfer and the photodegradation efficiency and inhibit the electron–hole recombination. The light capture ability of GQDs was improved after compositing with g-C3N4. The free radicals ·O22− generated after adding GQDs/g-C3N4 nanoparticles, and the molecular weight of cis-polyisoprene decreased to 5.79 × 104, with the photocatalytic efficiency increasing by 20%. This work provided academic bases and reference values for the application of photocatalysts in the field of natural rubber degradation and rubber wastewater treatment. Full article
Show Figures

Figure 1

12 pages, 1275 KB  
Article
Photocatalytic Conversion of β-O-4 Lignin Model Dimers: The Effect of Benzylic Ketones on Reaction Pathway
by Gary. N. Sheldrake, Nathan Skillen, Peter. K. J. Robertson and Christopher W. J. Murnaghan
Catalysts 2025, 15(6), 525; https://doi.org/10.3390/catal15060525 - 26 May 2025
Viewed by 1431
Abstract
The conversion of biomass towards value-added and platform chemicals has become the focus of extensive research these past two decades. One of the methods that has been increasingly studied is the use of semiconductor-mediated photocatalysis for biomass conversion. Titanium dioxide has previously been [...] Read more.
The conversion of biomass towards value-added and platform chemicals has become the focus of extensive research these past two decades. One of the methods that has been increasingly studied is the use of semiconductor-mediated photocatalysis for biomass conversion. Titanium dioxide has previously been demonstrated to be an effective commercial catalyst for the cleavage of bonds within lignin and also cellulose and hemicellulose. Described herein is the deployment of TiO2 for the cleavage of bonds within two β-O-4 lignin model compounds, one bearing a ketone in the α-position and the other an alcohol. The presence of a ketone in the benzylic position in one of the models had a pronounced effect under photolytic conditions, e.g., in the absence of a photocatalyst but with irradiation present. The subsequent reduction of the benzylic ketone resulted in observed sensitivity towards the irradiation and solely photocatalytic conversion was achieved. In addition, reaction products are proposed, which demonstrate a feasible method for β-O-4 cleavage in native lignin extracts. Full article
(This article belongs to the Section Catalysis for Sustainable Energy)
Show Figures

Graphical abstract

18 pages, 3820 KB  
Article
Physicochemical Properties, Antioxidant Activities, and Aromatic Profile of Yogurt Co-Fermented by Weissella cibaria G232 with Traditional Starters
by Qian Huang, Haixiao Ye, Yangyang Yang, Chenglin Zhu and Junni Tang
Foods 2025, 14(9), 1607; https://doi.org/10.3390/foods14091607 - 1 May 2025
Cited by 3 | Viewed by 1280
Abstract
To improve the quality and functional properties of yogurts, a multi-starters co-fermentation system was used during yogurt preparation. In this work, Weissella cibaria G232 (added at 0%, 3%, 5%, and 7%) was involved as a co-fermenter with a traditional starter (Lactobacillus delbrueckii [...] Read more.
To improve the quality and functional properties of yogurts, a multi-starters co-fermentation system was used during yogurt preparation. In this work, Weissella cibaria G232 (added at 0%, 3%, 5%, and 7%) was involved as a co-fermenter with a traditional starter (Lactobacillus delbrueckii subsp. bulgaricus G119 and Streptococcus thermophilus Q019). The results showed that W. cibaria G232 co-fermentation could shorten the fermentation time and significantly enhance the viable counts of yogurt (p < 0.05). Moreover, the incorporation of W. cibaria G232 improved the water holding ability, viscosity, and texture of yogurt. Notably, the highest levels of firmness, consistency, and cohesiveness of yogurt were observed at the 5% addition level of W. cibaria G232. Furthermore, co-fermentation with W. cibaria G232 significantly enhanced the antioxidant activity of yogurt, as evidenced by increased free radical scavenging capacity and ferric ion reducing antioxidant power (FRAP) value. The intelligent sensory technology and Gas Chromatography-Ion Mobility Spectrometry (GC-IMS) indicated that co-fermentation with W. cibaria G232 and a traditional starter notably altered the accumulation of aldehydes, ketones, and alcohols in yogurt. These findings suggest that co-fermentation of W. cibaria G232 with a traditional starter present the potential for the quality and functionality improvement of yogurt and also lay the foundation for the application of W. cibaria G232. Full article
(This article belongs to the Special Issue Food Microorganism Contribution to Fermented Foods)
Show Figures

Figure 1

19 pages, 4900 KB  
Article
Study on the Effects of High-Voltage Discharge Plasma Drying on the Volatile Organic Compounds and Texture Characteristics of Oat Grass
by Mingjie Zhang, Zhiqing Song, Bufan Li, Chunxu Qin, Changjiang Ding and Liqiang Liu
Agriculture 2025, 15(5), 468; https://doi.org/10.3390/agriculture15050468 - 21 Feb 2025
Cited by 2 | Viewed by 1307
Abstract
Oat grass is a high-quality forage with exceptional nutritional value and quality. Freshly harvested oat grass requires rapid drying to extend its shelf life. Currently, the primary methods for drying oat grass are natural air drying (AD) and hot air drying (HAD). However, [...] Read more.
Oat grass is a high-quality forage with exceptional nutritional value and quality. Freshly harvested oat grass requires rapid drying to extend its shelf life. Currently, the primary methods for drying oat grass are natural air drying (AD) and hot air drying (HAD). However, prolonged drying times or elevated temperatures can lead to a degradation in hay quality. To address this issue, in this study, we employed a novel non-thermal drying technology—high-voltage discharge plasma drying (HVDPD)—to dry oat grass. The HVDPD device adopted a multi-needle plate electrode system, with a high-voltage power output of 50 Hz AC and a voltage set to 35 kV. The distance between the needle tip and the plate was set to 10 cm, while the spacing between the needles was adjusted only to three gradients of 2 cm, 8 cm, and 12 cm. To investigate the effects of HVDPD, HAD, and AD on the volatile compounds and textural characteristics of oat grass, in this study, we employed gas chromatography–mass spectrometry (GC-MS) for qualitative and quantitative analyses of the primary volatile components in oat hay. The texture characteristics were determined using texture profile analysis (TPA) and shear testing. A total of 103 volatile substances were detected in oat grass. We categorized them into the following: 28 types of alkanes, 17 types of alkenes, 8 types of esters, 11 types of ketones, 13 types of aldehydes, 20 types of alcohols, and 6 other classes of compounds. We found that the HVDPD group demonstrated significant advantages in enhancing the volatile flavor and palatability of oat grass. The results of the textural properties showed that the structure of oat grass treated with HVDPD was significantly softer, with the 2 cm needle-spacing group exhibiting superior quality and palatability. Overall, this research demonstrates the significant advantages of HVDPD for drying oat grass, providing an important reference for its application in the field of drying technology. Full article
(This article belongs to the Section Agricultural Technology)
Show Figures

Figure 1

14 pages, 2820 KB  
Article
Obtaining Nanolignin from Green Coconut Shell and Fiber by the Acetosolv Method with Subsequent Ultrasonication
by Larissa Nascimento Lôbo, Rosana Reis de Lima Araújo, Francine Pimentel de Andrade, Renata Maria Rosas Garcia Almeida, Carlos Eduardo de Farias Silva, Jennifer Mclaine Duarte de Freitas, Johnnatan Duarte de Freitas, Mariana Barboza da Silva and Pedro Henrique Barcellos França
Reactions 2025, 6(1), 7; https://doi.org/10.3390/reactions6010007 - 11 Jan 2025
Cited by 1 | Viewed by 3118
Abstract
This work aimed to extract nanolignin from green coconut husk and fiber using the acetosolv method, with the aim of transforming waste into high-value-added products and promoting sustainability and bioeconomy. The acetosolv pulping was carried out in two stages, varying temperature conditions and [...] Read more.
This work aimed to extract nanolignin from green coconut husk and fiber using the acetosolv method, with the aim of transforming waste into high-value-added products and promoting sustainability and bioeconomy. The acetosolv pulping was carried out in two stages, varying temperature conditions and the presence or absence of extractives. Lignin was obtained by precipitation and subsequently characterized through chemical and morphological analyses. The analyses of the primary components of the coconut husk and fiber demonstrated lignin, cellulose, and hemicellulose contents of 40%, 15.90%, and 15.86%, respectively. Then, nanolignin was produced through ultrasonication (850 W for 10 and 20 min). The characteristics of the obtained products were analyzed, considering the influence of two temperatures (100 °C and 120 °C) and the need for a pretreatment step (removal of extractives). The temperature variation between 100 °C and 120 °C, as well as the presence of extractives, did not significantly influence the lignin quality or extraction efficiency. The nanolignin produced under this condition was subjected to the DLS technique to determine the hydrodynamic diameter and polydispersity of the nanoparticles obtained, with an average diameter of 533.75 ± 15.12 nm after 20 min of ultrasonication. The purity of the lignin was confirmed by analyses such as the Klason lignin and ash content, which presented values of 78.82 ± 0.81% and 0.55 ± 0.26%, respectively. FTIR analyses revealed typical lignin characteristics, such as the presence of ketone groups, aromatic structures, and methoxylation, while thermograms confirmed the thermal stability of the lignin. Acetosolv pulping proved to be particularly interesting, preserving good quality lignin and allowing for partial recovery of the solvents used, promoting the sustainability and energy efficiency of the process. Full article
Show Figures

Figure 1

21 pages, 11240 KB  
Article
Analysis of the Pyrolysis Kinetics, Reaction Mechanisms, and By-Products of Rice Husk and Rice Straw via TG-FTIR and Py-GC/MS
by Li Lin, Yang E, Qiang Sun, Yixuan Chen, Wanning Dai, Zhengrong Bao, Weisheng Niu and Jun Meng
Molecules 2025, 30(1), 10; https://doi.org/10.3390/molecules30010010 - 24 Dec 2024
Cited by 9 | Viewed by 3112
Abstract
This study employed thermogravimetric analysis (TGA), Fourier transform infrared spectroscopy (FTIR), and pyrolysis gas chromatography/mass spectrometry (Py-GC/MS) to characterize and provide insights into the pyrolysis behaviors and by-products of rice husk (RH) and rice straw (RS). The primary pyrolysis range is partitioned into [...] Read more.
This study employed thermogravimetric analysis (TGA), Fourier transform infrared spectroscopy (FTIR), and pyrolysis gas chromatography/mass spectrometry (Py-GC/MS) to characterize and provide insights into the pyrolysis behaviors and by-products of rice husk (RH) and rice straw (RS). The primary pyrolysis range is partitioned into three stages, designated as pseudo-hemicellulose, pseudo-cellulose, and pseudo-lignin pyrolysis, by an asymmetric bi-Gaussian function. The average activation energies of the three pseudo-components of RH were estimated by the Flynn–Wall–Ozawa and Starink methods to be 179.1 kJ/mol, 187.4 kJ/mol, and 239.3 kJ/mol, respectively. The corresponding values for RS were 171.8 kJ/mol, 185.8 kJ/mol, and 203.2 kJ/mol. The results of the model-fitting method indicated that the diffusion model is the most appropriate for describing the pseudo-hemicellulose reaction. The reaction of pseudo-cellulose and pseudo-lignin is most accurately described by a nucleation mechanism. An accelerated heating rate resulted in enhanced pyrolysis performance, with RS exhibiting superior performance to that of RH. RH produces 107 condensable pyrolysis by-products, with ketones, acids, and phenols representing the largest proportion; RS produces 135 species, with ketones, phenols, and alcohols as the main condensable by-products. These high-value added by-products have the potential to be utilized in a variety of applications within the agricultural, bioenergy, and chemical industries. Full article
(This article belongs to the Special Issue Chemistry of Lignin-Based Materials)
Show Figures

Figure 1

19 pages, 10345 KB  
Article
Petroleum Pitch-Derived Porous Carbon Materials as Metal-Free Catalyst for Dry Reforming of Methane
by Kaixuan Huo, Yu Sun, Hu Jiang, Shiyuan Lin, Haiqiu Fang, Zhinian Cheng, Shaochen Cao, Liangjun Li, Yang Wang and Mingbo Wu
Molecules 2024, 29(19), 4642; https://doi.org/10.3390/molecules29194642 - 29 Sep 2024
Cited by 4 | Viewed by 1981
Abstract
Porous carbon materials have gained increasing attention in catalysis applications due to their tailorable surface properties, large specific surface area, excellent thermal stability, and low cost. Even though porous carbon materials have been employed for thermal-catalytic dry reforming of methane (DRM), the structure–function [...] Read more.
Porous carbon materials have gained increasing attention in catalysis applications due to their tailorable surface properties, large specific surface area, excellent thermal stability, and low cost. Even though porous carbon materials have been employed for thermal-catalytic dry reforming of methane (DRM), the structure–function relationship, especially the critical factor affecting catalytic performance, is still under debate. Herein, various porous carbon-based samples with disparate pore structures and surface properties are prepared by alkali (K2CO3) etching and the following CO2 activation of low-cost petroleum pitch. Detailed characterization clarifies that the quinone/ketone carbonyl functional groups on the carbon surface are the key active sites for DRM. Density functional theory (DFT) calculations also show that the C=O group have the lowest transition state energy barrier for CH4* cleavage to CH3* (2.15 eV). Furthermore, the cooperative interplay between the specific surface area and quinone/ketone carbonyl is essential to boost the cleavage of C-H and C-O bonds, guaranteeing enhanced DRM catalytic performance. The MC-600-800 catalyst exhibited an initial CH4 conversion of 51% and a reaction rate of 12.6 mmolCH4 gcat.−1 h−1 at 800 °C, CH4:CO2:N2= 1:1:8, and GHSV = 6000 mL gcat.−1 h−1. Our work could pave the way for the rational design of metal-free carbon-based DRM catalysts and shed new light on the high value-added utilization of heavy oils. Full article
Show Figures

Figure 1

26 pages, 2532 KB  
Article
Exploitation of Black Olive (Olea europaea L. cv. Piantone di Mogliano) Pomace for the Production of High-Value Bread
by Federica Cardinali, Luca Belleggia, Anna Reale, Martina Cirlini, Floriana Boscaino, Tiziana Di Renzo, Lorenzo Del Vecchio, Natascia Cavalca, Vesna Milanović, Cristiana Garofalo, Cristiana Cesaro, Giorgia Rampanti, Andrea Osimani and Lucia Aquilanti
Foods 2024, 13(3), 460; https://doi.org/10.3390/foods13030460 - 1 Feb 2024
Cited by 13 | Viewed by 2677
Abstract
In this study, the morpho-textural features, total phenolic content (TPC), and antioxidant capacity (AOC) of bread fortified with olive (Olea europaea L.) pomace were evaluated. Fresh olive pomace was subjected to microbiological and chemical (TPC, AOC, and fiber) analyses; then, the same [...] Read more.
In this study, the morpho-textural features, total phenolic content (TPC), and antioxidant capacity (AOC) of bread fortified with olive (Olea europaea L.) pomace were evaluated. Fresh olive pomace was subjected to microbiological and chemical (TPC, AOC, and fiber) analyses; then, the same olive pomace was analyzed during 1 to 6 months of storage at 4 °C or −20 °C. All olive pomace samples were used in 10%, 15%, or 20% amounts to produce type 0 soft wheat (Triticum aestivum) and whole wheat bread samples. The volatile organic compounds (VOCs) in the bread samples were also analyzed to assess the effect of the addition of the olive pomace on the flavor profile of the baked products. The TPC and AOC evaluation of olive pomace showed no differences among the analyzed samples (fresh, refrigerated, or frozen). Regarding the bread containing olive pomace, the specific volume was not affected by the amount or the storage methods of the added pomace. Bread samples produced with soft wheat flour showed the lowest hardness values relative to those produced with whole wheat flour, irrespective of the amount or storage method of the olive pomace. Regarding color, the crust and crumb of the bread samples containing 20% olive pomace were significantly darker. The bread samples containing 20% olive pomace had the highest TPC. The bread samples with fresh olive pomace were characterized by terpenoids, ketones, and aldehydes, whereas the bread samples containing refrigerated olive pomace were characterized by alcohols (mainly ethanol), acids, esters, and acetate. Finally, the bread samples with frozen olive pomace showed a volatile profile similar to that of bread produced with fresh olive pomace. Olive pomace was shown to be a suitable ingredient for producing bread with high nutritional value. Full article
Show Figures

Figure 1

16 pages, 1183 KB  
Article
Sensory Evaluation, Physico-Chemical Properties, and Aromatic Profile of Pasteurised Orange Juice with Resistant Maltodextrin
by Elías Arilla, Javier Martínez-Monzó, Maria Simona Chiş, Anca Corina Fǎrcaş, Sonia Ancuţa Socaci, Pilar Codoñer-Franch, Purificación García-Segovia and Marta Igual
Foods 2023, 12(21), 4025; https://doi.org/10.3390/foods12214025 - 3 Nov 2023
Cited by 6 | Viewed by 4326
Abstract
The beneficial health effects of prebiotics have been demonstrated in numerous research papers. However, their incorporation into daily food remains unfamiliar to consumers. This work evaluates the effects of the addition of resistant maltodextrin (RMD) on the sensory attributes of pasteurised orange juice, [...] Read more.
The beneficial health effects of prebiotics have been demonstrated in numerous research papers. However, their incorporation into daily food remains unfamiliar to consumers. This work evaluates the effects of the addition of resistant maltodextrin (RMD) on the sensory attributes of pasteurised orange juice, together with the physico-chemical properties and the aromatic profile. RMD addition increased the sweetness and decreased the acidity and bitterness, resulting in a higher overall panellists’ rating of orange juice. It also proportionally increased °Brix together with density and decreased acidity. Colour changes were registered with higher RMD concentrations. Orange pulp presence affected the volume particle size distribution analysis, while RMD addition did not have any effect. The aroma volatile compounds were also analysed. Pulp-added samples showed a higher quantity of alcohol and aldehydes, whereas pulp-free samples registered higher terpene and terpenoid values. Ketones and acids were also quantified. RMD had a moderate impact on volatile compound quantifications, with the orange pulp presence playing a much more decisive role. A correspondence analysis was also performed to relate instrumental and sensory determinations for all samples. This work proves that the addition of RMD to orange juice is technologically feasible while also achieving a good response at the sensory level. Full article
Show Figures

Figure 1

17 pages, 4983 KB  
Article
The Potential of Platanus orientalis L. Bark for High-Grade Resource Utilization
by Hanyin Li, Yunming Zou, Jingyi Liang, Zijie Zhao, Na Zhou, Yan Gao, Ruohan Yan, Qiongqiong Zhou and Cheng Li
Forests 2023, 14(10), 2002; https://doi.org/10.3390/f14102002 - 6 Oct 2023
Cited by 6 | Viewed by 2760
Abstract
Forest wood biomass can be used as a renewable resource for the sustainable production of fuels and chemicals. In this study, the methanol, methanol/ethanol, and ethanol/benzene solvent extracts of Platanus orientalis L. bark were analyzed using FTIR, IH NMR, 13C NMR, [...] Read more.
Forest wood biomass can be used as a renewable resource for the sustainable production of fuels and chemicals. In this study, the methanol, methanol/ethanol, and ethanol/benzene solvent extracts of Platanus orientalis L. bark were analyzed using FTIR, IH NMR, 13C NMR, 2D-HSQC NMR, GC-MS, and TOF-LC-MS. The results revealed that the bark of Planus orientalis contained a wide variety of chemical compounds, such as 30-triacontanol, 1-Hexanol, hexadecanoic acid, methyl ester, 2-ethyl-, γ-Sitosterol, and 3,4,5-tri methoxy-Phenol. In addition, the fast pyrolysis of P. orientalis L. bark (POL-B) with nano-catalysts (Co3O4, Fe2O3, and Co3O4/Fe2O3) was investigated using pyrolysis/gas chromatography/mass spectrometry (Py-GC/MS) and a thermogravimetric analyzer coupled with an FTIR spectrophotometer (TG-FTIR). The TG results revealed that the nano-catalysts significantly affected the pyrolysis of P. orientalis bark. The nano-Fe2O3 catalyst was shown to increase acid and ketone compound production during the catalytic pyrolysis of cellulose. According to the Py-GC-MS results, the pyrolytic products contained several value-added chemicals and high-quality bio-oil. The nano-catalysts promoted the production of aromatics, phenols, ketones, olefins, furans and alkane compounds. These natural-product active molecules and bio-oil, as high-grade raw materials, could be used in many industrial and agricultural fields for the production of wetting agents, stabilizers, plasticizers and resins. In addition, a number of active molecules could be used as drugs and biomedical active ingredients for anti-cancer and anti-inflammatory purposes. Full article
(This article belongs to the Special Issue Development and Utilization of High-Value Products from Woody Biomass)
Show Figures

Figure 1

11 pages, 1169 KB  
Article
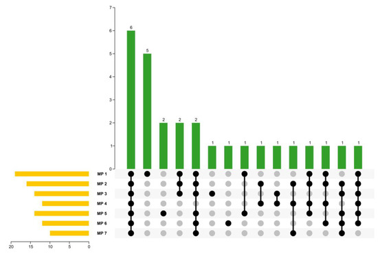
Comparative Analysis of Volatile Flavor Compounds in Seven Mustard Pastes via HS-SPME–GC–MS
by Miao Liang, Rui Wang, Yajian Wu, Runhu Xin, Wei Guan and Yuping Liu
Molecules 2023, 28(14), 5482; https://doi.org/10.3390/molecules28145482 - 18 Jul 2023
Cited by 3 | Viewed by 2836
Abstract
To identify the volatile flavor components in mustard paste (MP), the volatile compounds in seven MPs available on the market were isolated and analyzed by headspace solid-phase microextraction combined with gas chromatography–mass spectrometry. A total of 27 volatile constituents were found by mass [...] Read more.
To identify the volatile flavor components in mustard paste (MP), the volatile compounds in seven MPs available on the market were isolated and analyzed by headspace solid-phase microextraction combined with gas chromatography–mass spectrometry. A total of 27 volatile constituents were found by mass spectra and retention index compared to the data obtained from reference compounds or the related literature and databases; these compounds included nine esters, three sulfur-containing compounds, two nitriles, three ketones, three alkenes, and seven other compounds. Of the 27 compounds, 6 compounds came from the turmeric added to MPs. Among the components detected, some compounds derived from AITC were allyl thiocyanate, carbon disulfide, allyl mercaptan, diallyl sulfide, and diallyl disulfide. The results obtained provide a better and comprehensive recognition of the volatile flavor compounds in MPs, and have some reference values for developing and applying isothiocyanate compounds. Full article
Show Figures

Figure 1

32 pages, 9301 KB  
Article
Volatile, Microbial, and Sensory Profiles and Consumer Acceptance of Coffee Cascara Kombuchas
by Amanda Luísa Sales, Sara C. Cunha, Jéssika Morgado, Adriano Cruz, Thiago F. Santos, Isabel M.P.L.V.O. Ferreira, José O. Fernandes, Marco Antonio L. Miguel and Adriana Farah
Foods 2023, 12(14), 2710; https://doi.org/10.3390/foods12142710 - 15 Jul 2023
Cited by 19 | Viewed by 6074
Abstract
Given the substantial world coffee production, tons of coffee fruit cascara rich in bioactive compounds are discarded annually. Using this by-product to produce potentially healthy and acceptable foods is a sustainable practice that aggregates value to coffee production and may help improve people’s [...] Read more.
Given the substantial world coffee production, tons of coffee fruit cascara rich in bioactive compounds are discarded annually. Using this by-product to produce potentially healthy and acceptable foods is a sustainable practice that aggregates value to coffee production and may help improve people’s lives. This study aimed to elaborate kombuchas from coffee cascara tea, evaluate their microbial profile, and monitor the changes in the volatile profile during fermentation, together with sensory attributes and acceptance by consumers from Rio de Janeiro (n = 113). Arabica coffee cascaras from Brazil and Nicaragua were used to make infusions, to which black tea kombucha, a Symbiotic Culture of Bacteria and Yeasts (SCOBY), and sucrose were added. Fermentation of plain black tea kombucha was also monitored for comparison. The volatile profile was analyzed after 0, 3, 6, and 9 days of fermentation via headspace solid phase microextraction GC-MS. A total of 81 compounds were identified considering all beverages, 59 in coffee cascara kombuchas and 59 in the black tea kombucha, with 37 common compounds for both. An increase mainly in acids and esters occurred during fermentation. Despite the similarity to black tea kombucha, some aldehydes, esters, alcohols, and ketones in coffee cascara kombucha were not identified in black tea kombucha. Potential impact compounds in CC were linalool, decanal, nonanal, octanal, dodecanal, ethanol, 2-ethylhexanol, ethyl acetate, ethyl butyrate, ethyl acetate, β-damascenone, γ-nonalactone, linalool oxide, phenylethyl alcohol, geranyl acetone, phenylacetaldehyde, isoamyl alcohol, acetic acid, octanoic acid, isovaleric acid, ethyl isobutyrate, ethyl hexanoate, and limonene. The mean acceptance scores for cascara kombuchas varied between 5.7 ± 0.53 and 7.4 ± 0.53 on a nine-point hedonic scale, with coffee cascara from three-day Nicaragua kombucha showing the highest score, associated with sweetness and berry, honey, woody, and herbal aromas and flavors. The present results indicate that coffee cascara is a promising by-product for elaboration of fermented beverages, exhibiting exotic and singular fingerprinting that can be explored for applications in the food industry. Full article
Show Figures

Graphical abstract

12 pages, 900 KB  
Article
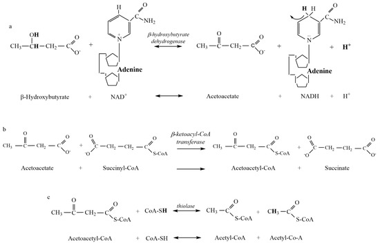
The Computational Acid–Base Chemistry of Hepatic Ketoacidosis
by Samuel L. Torrens, Robert A. Robergs, Steven C. Curry and Marek Nalos
Metabolites 2023, 13(7), 803; https://doi.org/10.3390/metabo13070803 - 28 Jun 2023
Cited by 5 | Viewed by 3289
Abstract
Opposing evidence exists for the source of the hydrogen ions (H+) during ketoacidosis. Organic and computational chemistry using dissociation constants and alpha equations for all pertinent ionizable metabolites were used to (1) document the atomic changes in the chemical reactions of [...] Read more.
Opposing evidence exists for the source of the hydrogen ions (H+) during ketoacidosis. Organic and computational chemistry using dissociation constants and alpha equations for all pertinent ionizable metabolites were used to (1) document the atomic changes in the chemical reactions of ketogenesis and ketolysis and (2) identify the sources and quantify added fractional (~) H+ exchange (~H+e). All computations were performed for pH conditions spanning from 6.0 to 7.6. Summation of the ~H+e for given pH conditions for all substrates and products of each reaction of ketogenesis and ketolysis resulted in net reaction and pathway ~H+e coefficients, where negative revealed ~H+ release and positive revealed ~H+ uptake. Results revealed that for the liver (pH = 7.0), the net ~H+e for the reactions of ketogenesis ending in each of acetoacetate (AcAc), β-hydroxybutyrate (β-HB), and acetone were −0.9990, 0.0026, and 0.0000, respectively. During ketogenesis, ~H+ release was only evident for HMG CoA production, which is caused by hydrolysis and not ~H+ dissociation. Nevertheless, there is a net ~H+ release during ketogenesis, though this diminishes with greater proportionality of acetone production. For reactions of ketolysis in muscle (pH = 7.1) and brain (pH = 7.2), net ~H+ coefficients for β-HB and AcAc oxidation were −0.9649 and 0.0363 (muscle), and −0.9719 and 0.0291 (brain), respectively. The larger ~H+ release values for β-HB oxidation result from covalent ~H+ release during the oxidation–reduction. For combined ketogenesis and ketolysis, which would be the metabolic condition in vivo, the net ~H+ coefficient depends once again on the proportionality of the final ketone body product. For ketone body production in the liver, transference to blood, and oxidation in the brain and muscle for a ratio of 0.6:0.2:0.2 for β-HB:AcAc:acetone, the net ~H+e coefficients for liver ketogenesis, blood transfer, brain ketolysis, and net total (ketosis) equate to −0.1983, −0.0003, −0.2872, and −0.4858, respectively. The traditional theory of ketone bodies being metabolic acids causing systemic acidosis is incorrect. Summation of ketogenesis and ketolysis yield H+ coefficients that differ depending on the proportionality of ketone body production, though, in general, there is a small net H+ release during ketosis. Products formed during ketogenesis (HMG-CoA, acetoacetate, β-hydroxybutyrate) are created as negatively charged bases, not acids, and the final ketone body, acetone, does not have pH-dependent ionizable groups. Proton release or uptake during ketogenesis and ketolysis are predominantly caused by covalent modification, not acid dissociation/association. Ketosis (ketogenesis and ketolysis) results in a net fractional H+ release. The extent of this release is dependent on the final proportionality between acetoacetate, β-hydroxybutyrate, and acetone. Full article
(This article belongs to the Section Bioinformatics and Data Analysis)
Show Figures

Figure 1

Back to TopTop