Sign in to use this feature.

Years

Between: -

Subjects

remove_circle_outline
remove_circle_outline
remove_circle_outline
remove_circle_outline
remove_circle_outline
remove_circle_outline
remove_circle_outline
remove_circle_outline

Journals

Article Types

Countries / Regions

Search Results (33)

Search Parameters:
Keywords = unrelated parallel machine

Order results
Result details
Results per page
Select all
Export citation of selected articles as:
9 pages, 571 KB  
Proceeding Paper
A Study on Multi-Objective Unrelated Parallel Machine Scheduling Using an Improved Spider Monkey Optimization Algorithm
by Ziyang Ji, Yarong Chen, Lixuan Pan and Mudassar Rauf
Eng. Proc. 2025, 111(1), 16; https://doi.org/10.3390/engproc2025111016 - 22 Oct 2025
Viewed by 536
Abstract
For the unrelated parallel machine scheduling problem, an improved Spider Monkey Optimization algorithm incorporating a variable neighborhood search (VNS) mechanism (VNS-SMO) is proposed to minimize the makespan, total tardiness, and total energy consumption. The VNS-SMO incorporates six types of neighborhood searches based on [...] Read more.
For the unrelated parallel machine scheduling problem, an improved Spider Monkey Optimization algorithm incorporating a variable neighborhood search (VNS) mechanism (VNS-SMO) is proposed to minimize the makespan, total tardiness, and total energy consumption. The VNS-SMO incorporates six types of neighborhood searches based on the objective characteristics to strengthen the optimization performance of the algorithm. To verify the effectiveness and superiority of VNS-SMO, first, Taguchi experiments were used to determine the algorithm parameters, and then three instances of different scales were solved and compared with the traditional algorithms NSGA-II, PSO, and SMO. The experimental results indicate that VNS-SMO significantly outperforms the comparison algorithms on IGD, NR, and C-matrix metrics, fully demonstrating its comprehensive advantages in convergence, distribution, and diversity. Full article
Show Figures

Figure 1

9 pages, 726 KB  
Proceeding Paper
A Dual-List Feature-Driven Heuristic for the Batch Processing Machine Scheduling Problem
by Tonghan Zhu, Yarong Chen and Jabir Mumtaz
Eng. Proc. 2025, 111(1), 19; https://doi.org/10.3390/engproc2025111019 - 21 Oct 2025
Viewed by 442
Abstract
This paper addresses the multi-objective scheduling problem for unrelated parallel batch processing machines under different job arrival times. We propose a dual-list feature-driven (DLFD) heuristic algorithm to simultaneously minimize the completion time, total delay time, and total energy consumption. Firstly, the heuristic selects [...] Read more.
This paper addresses the multi-objective scheduling problem for unrelated parallel batch processing machines under different job arrival times. We propose a dual-list feature-driven (DLFD) heuristic algorithm to simultaneously minimize the completion time, total delay time, and total energy consumption. Firstly, the heuristic selects a machine based on the machine’s capacity and energy consumption characteristics. Secondly, a job is selected from two candidate job lists governed by machine capacity and batch processing time constraints, thereby reducing the search space and improving solution quality. To validate the effectiveness of the DLFD heuristic, experiments of three different scales were designed to compare its performance against classic composite dispatching rules. The results demonstrate that the proposed heuristic achieves a significantly superior Pareto front compared to the traditional rules and exhibits strong robustness in solving problems of various scales. Full article
Show Figures

Figure 1

7 pages, 427 KB  
Proceeding Paper
Enhancing Makespan Minimization in Unrelated Parallel Batch Processing with an Improved Artificial Bee Colony Algorithm
by Longfei Lian, Haosen Zhang and Yarong Chen
Eng. Proc. 2025, 111(1), 9; https://doi.org/10.3390/engproc2025111009 - 16 Oct 2025
Viewed by 415
Abstract
To solve the unrelated parallel batch processing machine scheduling problem (UPBPMSP) with dynamic job arrivals, heterogeneous processing times, and machine heterogeneity, this paper presents an improved artificial bee colony (IABC) algorithm aimed at minimizing the makespan. Three improvements include the following: (1) a [...] Read more.
To solve the unrelated parallel batch processing machine scheduling problem (UPBPMSP) with dynamic job arrivals, heterogeneous processing times, and machine heterogeneity, this paper presents an improved artificial bee colony (IABC) algorithm aimed at minimizing the makespan. Three improvements include the following: (1) a hybrid encoding scheme that combines machine allocation coefficients and priority weights, allowing for flexible consideration of machine capabilities and dynamic job priorities; (2) a dual-mode variable neighborhood search strategy to optimize machine allocation and job sequencing simultaneously; (3) a dynamic weight tournament selection mechanism to enhance population diversity and avoid premature convergence. Experimental results show that IABC reduces the makespan by 5% to 25% compared to traditional ABC and genetic algorithms (GAs), with the most significant advantages observed in concentrated job arrival scenarios. Statistical tests confirm that the improvements are statistically significant, validating the effectiveness of the proposed algorithm. Full article
Show Figures

Figure 1

20 pages, 1236 KB  
Article
Comparative Analysis of Dedicated and Randomized Storage Policies in Warehouse Efficiency Optimization
by Rana M. Saleh and Tamer F. Abdelmaguid
Eng 2025, 6(6), 119; https://doi.org/10.3390/eng6060119 - 1 Jun 2025
Cited by 1 | Viewed by 2946
Abstract
This paper examines the impact of two storage policies—dedicated storage (D-SLAP) and randomized storage (R-SLAP)—on warehouse operational efficiency. It integrates the Storage Location Assignment Problem (SLAP) with the unrelated parallel machine scheduling problem (UPMSP), which represents the scheduling of the material handling equipment [...] Read more.
This paper examines the impact of two storage policies—dedicated storage (D-SLAP) and randomized storage (R-SLAP)—on warehouse operational efficiency. It integrates the Storage Location Assignment Problem (SLAP) with the unrelated parallel machine scheduling problem (UPMSP), which represents the scheduling of the material handling equipment (MHE). This integration is intended to elucidate the interplay between storage strategies and scheduling performance. The considered evaluation metrics include transportation cost, average waiting time, and total tardiness, while accounting for product arrival and demand schedules, precedence constraints, and transportation expenses. Additionally, considerations such as MHE eligibility, resource requirements, and available storage locations are incorporated into the analysis. Given the complexity of the combined problem, a tailored Non-dominated Sorting Genetic Algorithm (NSGA-II) was developed to assess the performance of the two storage policies across various randomly generated test instances of differing sizes. Parameter tuning for the NSGA-II was conducted using the Taguchi method to identify optimal settings. Experimental and statistical analyses reveal that, for small-size instances, both policies exhibit comparable performance in terms of transportation cost and total tardiness, with R-SLAP demonstrating superior performance in reducing average waiting time. Conversely, results from large-size instances indicate that D-SLAP surpasses R-SLAP in optimizing waiting time and tardiness objectives, while R-SLAP achieves lower transportation cost. Full article
(This article belongs to the Special Issue Women in Engineering)
Show Figures

Figure 1

26 pages, 6566 KB  
Review
The B30.2/SPRY-Domain: A Versatile Binding Scaffold in Supramolecular Assemblies of Eukaryotes
by Peer R. E. Mittl and Hans-Dietmar Beer
Crystals 2025, 15(3), 281; https://doi.org/10.3390/cryst15030281 - 19 Mar 2025
Viewed by 2690
Abstract
B30.2 domains, sometimes referred to as PRY/SPRY domains, were originally identified by sequence profiling methods at the gene level. The B30.2 domain comprises a concanavalin A-like fold consisting of two twisted seven-stranded anti-parallel β-sheets. B30.2 domains are present in about 150 human and [...] Read more.
B30.2 domains, sometimes referred to as PRY/SPRY domains, were originally identified by sequence profiling methods at the gene level. The B30.2 domain comprises a concanavalin A-like fold consisting of two twisted seven-stranded anti-parallel β-sheets. B30.2 domains are present in about 150 human and 700 eukaryotic proteins, usually fused to other domains. The B30.2 domain represents a scaffold, which, through six variable loops, binds different unrelated peptides or endogenous low-molecular-weight compounds. At the cellular level, B30.2 proteins engage in supramolecular assemblies with important signaling functions. In humans, B30.2 domains are often found in E3-ligases, such as tripartite motif (Trim) proteins, SPRY domain-containing SOCS box proteins, Ran binding protein 9 and −10, Ret-finger protein-like, and Ring-finger proteins. The B30.2 protein recognizes the target and recruits the E2-conjugase by means of the fused domains, often involving specific adaptor proteins. Further well-studied B30.2 proteins are the methyltransferase adaptor protein Ash2L, some butyrophilins, and Ryanodine Receptors. Although the affinity of an isolated B30.2 domain to its ligand might be weak, it can increase strongly due to avidity effects upon recognition of oligomeric targets or in the context of macromolecular machines. Full article
(This article belongs to the Special Issue Protein Crystallography: The State of the Art)
Show Figures

Graphical abstract

12 pages, 1144 KB  
Article
Optimized Green Unrelated Parallel Machine Scheduling Problem Subject to Preventive Maintenance
by Najat Almasarwah
Designs 2025, 9(2), 26; https://doi.org/10.3390/designs9020026 - 25 Feb 2025
Cited by 1 | Viewed by 1397
Abstract
Manufacturing areas typically conduct machine maintenance to prevent early failures and to ensure a safe working environment and efficient production. In this study, the green unrelated parallel machine scheduling problem (GUPMSP) is studied. Besides preventive maintenance, machine availability and non-preemption are considered. A [...] Read more.
Manufacturing areas typically conduct machine maintenance to prevent early failures and to ensure a safe working environment and efficient production. In this study, the green unrelated parallel machine scheduling problem (GUPMSP) is studied. Besides preventive maintenance, machine availability and non-preemption are considered. A globally optimal solution (mathematical model) and local optimal solution (a modified Moore heuristic algorithm) are used to optimize the number of products returned early in the GUPMSP. Three datasets, namely, a most favorable case, an average case, and a least favorable case, are created to test the performance of the two solutions’ approaches. The results demonstrate the ability of the mathematical model to dominate the results of the modified Moore’s algorithm in the tested datasets. However, optimizing the number of products returned early in the UPMSP with preventive maintenance reduces costs as a step to support the concept of sustainability and enhance efficiency. Full article
(This article belongs to the Topic Distributed Optimization for Control, 2nd Edition)
Show Figures

Figure 1

7 pages, 696 KB  
Proceeding Paper
Using SABC Algorithm for Scheduling Unrelated Parallel Batch Processing Machines Considering Deterioration Effects and Variable Maintenance
by Ziyang Ji, Jabir Mumtaz and Ke Ke
Eng. Proc. 2024, 75(1), 20; https://doi.org/10.3390/engproc2024075020 - 24 Sep 2024
Cited by 2 | Viewed by 948
Abstract
This paper investigates the problem of processing jobs on unrelated parallel batch machines, taking into account job arrival times, machine deterioration effects, and variable preventive maintenance (VPM). To address this complex scheduling problem, this paper proposes a Self-Adaptive Artificial Bee Colony (SABC) algorithm, [...] Read more.
This paper investigates the problem of processing jobs on unrelated parallel batch machines, taking into account job arrival times, machine deterioration effects, and variable preventive maintenance (VPM). To address this complex scheduling problem, this paper proposes a Self-Adaptive Artificial Bee Colony (SABC) algorithm, incorporating an adaptive variable neighborhood search mechanism into the algorithm. To verify the effectiveness of the proposed algorithm, we designed comparative experiments, comparing the SABC algorithm with the NSGA-III algorithm on problem instances of different scales. The results indicate that the SABC algorithm outperforms the NSGA-III algorithm in terms of solution quality and diversity, and this advantage becomes more pronounced as the problem scale increases. Full article
Show Figures

Figure 1

6 pages, 834 KB  
Proceeding Paper
Actor–Critic Algorithm for the Dynamic Scheduling Problem of Unrelated Parallel Batch Machines
by Xue Zhao, Yarong Chen and Mudassar Rauf
Eng. Proc. 2024, 75(1), 12; https://doi.org/10.3390/engproc2024075012 - 23 Sep 2024
Viewed by 1188
Abstract
With the continuous development of the information industry, semiconductor manufacturing has become a key basic industry in the information age. Due to the demands of the process, there are more batch processes in the semiconductor manufacturing process, such as the aging test session [...] Read more.
With the continuous development of the information industry, semiconductor manufacturing has become a key basic industry in the information age. Due to the demands of the process, there are more batch processes in the semiconductor manufacturing process, such as the aging test session of chips. In this paper, in the context of semiconductor manufacturing, we consider the unrelated parallel batch processing machine (UPBPM) scheduling problem in which jobs have different processing times, arrival times, sizes, and processing eligibility constraints, where the machines have different capacity constraints and the objective of minimizing the makespan. We propose the actor–critic algorithm, incorporating the Rolling Time Window (R-AC algorithm) to solve the UPBPM scheduling problem. Through simulation experiments, the R-AC algorithm outperforms the separate heuristic scheduling rules. Full article
Show Figures

Figure 1

14 pages, 399 KB  
Article
An Energy-Efficient Unrelated Parallel Machine Scheduling Problem with Batch Processing and Time-of-Use Electricity Prices
by Liman Feng, Guo Chen, Shengchao Zhou, Xiaojun Zhou and Mingzhou Jin
Mathematics 2024, 12(3), 376; https://doi.org/10.3390/math12030376 - 24 Jan 2024
Cited by 5 | Viewed by 2690
Abstract
The extensive consumption of energy in manufacturing has led to a large amount of greenhouse gas emissions that have caused an enormous effect on the environment. Therefore, investigating how to reduce energy consumption in manufacturing is of great significance to cleaner production. This [...] Read more.
The extensive consumption of energy in manufacturing has led to a large amount of greenhouse gas emissions that have caused an enormous effect on the environment. Therefore, investigating how to reduce energy consumption in manufacturing is of great significance to cleaner production. This paper considers an energy-conscious unrelated parallel batch processing machine scheduling problem under time-of-use (TOU) electricity prices. Under TOU, electricity prices vary for different periods of a day. This problem is grouping jobs into batches, assigning the batches to machines and allocating time to the batches so as to minimize the total electricity cost. A mixed-integer linear programming model and two groups of heuristics are proposed to solve this problem. The first group of heuristics first forms batches, assigns the batches to machines and finally allocates time to the batches, while the second group of heuristics first assigns jobs to machines, batches the jobs on each machine and finally allocates time to each batch. The computational results show that the SPT-FBLPT-P1 heuristic in the second group can provide high-quality solutions for large-scaled instances in a short time, in which the jobs are assigned to the machines based on the shortest processing time rule, the jobs on each machine are batched following the full-batch longest processing time algorithm, and the time is allocated to each batch following an integer programming approach. The MDEC-FBLPT-P1 heuristic that uses the minimum difference of the power consumption algorithm to assign the jobs also performed well. Full article
(This article belongs to the Section E: Applied Mathematics)
Show Figures

Figure 1

15 pages, 2990 KB  
Article
Unrelated Parallel Machine Scheduling Problem Considering Job Splitting, Inventories, Shortage, and Resource: A Meta-Heuristic Approach
by Mohammad Arani, Mohsen Momenitabar and Tazrin Jahan Priyanka
Systems 2024, 12(2), 37; https://doi.org/10.3390/systems12020037 - 24 Jan 2024
Cited by 6 | Viewed by 4464
Abstract
This research aims to study a real-world example of the unrelated parallel machine scheduling problem (UPMSP), considering job-splitting, inventories, shortage, and resource constraints. Since the nature of the studied optimization problem is NP-hard, we applied a metaheuristic algorithm named Grey Wolf Optimizer (GWO). [...] Read more.
This research aims to study a real-world example of the unrelated parallel machine scheduling problem (UPMSP), considering job-splitting, inventories, shortage, and resource constraints. Since the nature of the studied optimization problem is NP-hard, we applied a metaheuristic algorithm named Grey Wolf Optimizer (GWO). The novelty of this study is fourfold. First, the model tackles the inventory problem along with the shortage amount to avoid the late fee. Second, due to the popularity of minimizing completion time (Makespan), each job is divided into small parts to be operated on various machines. Third, renewable resources are included to ensure the feasibility of the production process. Fourth, a mixed-integer linear programming formulation and the solution methodology are developed. To feed the metaheuristic algorithm with an initial viable solution, a heuristic algorithm is also fabricated. Also, the discrete version of the GWO algorithm for this specific problem is proposed to obtain the results. Our results confirmed that our proposed discrete GWO algorithm could efficiently solve a real case study in a timely manner. Finally, future research threads are suggested for academic and industrial communities. Full article
(This article belongs to the Topic Global Maritime Logistics in the Era of Industry 4.0)
Show Figures

Figure 1

26 pages, 2319 KB  
Article
Scheduling Parallel Cranes for Unit-Load Automated Storage and Retrieval Systems with Shared Storage
by Rui Xu, Yafang Tuo, Huimin Chen and Jinxue Xu
Systems 2024, 12(1), 3; https://doi.org/10.3390/systems12010003 - 20 Dec 2023
Cited by 3 | Viewed by 3305
Abstract
Motivated by observing real-world instances of multi-aisle automated storage and retrieval systems (AS/RSs) with shared storage, we introduced a new optimization problem called the parallel crane scheduling (PCS) problem. Unlike the single crane scheduling (SCS) problem, the decisions of the PCS problem include [...] Read more.
Motivated by observing real-world instances of multi-aisle automated storage and retrieval systems (AS/RSs) with shared storage, we introduced a new optimization problem called the parallel crane scheduling (PCS) problem. Unlike the single crane scheduling (SCS) problem, the decisions of the PCS problem include not only the request sequencing and storage/retrieval location selection, but also assigning requests to cranes. The PCS problem better reflects the real-life situation, but it is more complex, since these three decisions are interrelated and interact with one another. In this study, since the empty location vacated by any retrieval operation is instantly available, we introduced a new dynamic programming model combined with a mixed-integer linear programming model to describe this complex problem. Considering the feature of location-dependent processing time, we transformed the PCS problem into a variant of the unrelated parallel machine scheduling problem. We developed an apparent tardiness cost-based construction heuristic and an ant colony system algorithm with a problem-specific local optimization. Our experiments demonstrated that the proposed algorithms provide excellent performance, along with the insight that globally scheduling multiple aisles could be considered to reduce the total tardiness when designing an operation scheme for multi-aisle AS/RSs. Full article
(This article belongs to the Section Systems Engineering)
Show Figures

Figure 1

4 pages, 641 KB  
Proceeding Paper
Unrelated Parallel Batch Machine Scheduling Using a Modified ABC Algorithm
by Ke Ke, Yarong Chen, Jabir Mumtaz and Shenquan Huang
Eng. Proc. 2023, 45(1), 19; https://doi.org/10.3390/engproc2023045019 - 11 Sep 2023
Cited by 3 | Viewed by 1155
Abstract
This paper introduces a multi-objective discrete artificial bee colony (MODABC) algorithm, which aims to simultaneously minimize the makespan, total earliness and tardiness (ET), and total energy consumption (TEC) by efficiently scheduling a variety of jobs on unrelated parallel batch machines. Machines have different [...] Read more.
This paper introduces a multi-objective discrete artificial bee colony (MODABC) algorithm, which aims to simultaneously minimize the makespan, total earliness and tardiness (ET), and total energy consumption (TEC) by efficiently scheduling a variety of jobs on unrelated parallel batch machines. Machines have different capacities and consume varying amounts of processing energy, whereas the jobs differ in sizes, release times, and due dates. In the employed bee and follower bee phase, three neighborhood structures are employed to generate feasible solutions, improving the population’s quality. In the scout bee phase, three multi-objective local search strategies are used to fully search the solution space. The experimental results show that the MODABC algorithm is superior to the NSGA-III algorithm in terms of convergence and diversity. Full article
Show Figures

Figure 1

14 pages, 1658 KB  
Article
An Iterated Population-Based Metaheuristic for Order Acceptance and Scheduling in Unrelated Parallel Machines with Several Practical Constraints
by Chun-Lung Chen
Mathematics 2023, 11(6), 1433; https://doi.org/10.3390/math11061433 - 16 Mar 2023
Cited by 3 | Viewed by 1875
Abstract
This study considers order acceptance and scheduling problems in unrelated parallel machines with several practical constraints, including order release times, sequence-dependent setup times, machines’ unequal ready times, and preventive maintenance. In a make-to-order production environment, issues with order acceptance and scheduling are mainly [...] Read more.
This study considers order acceptance and scheduling problems in unrelated parallel machines with several practical constraints, including order release times, sequence-dependent setup times, machines’ unequal ready times, and preventive maintenance. In a make-to-order production environment, issues with order acceptance and scheduling are mainly caused by the limited production capacity of a factory, which makes it impossible to accept all orders. Consequently, some orders must be rejected in order to maximize profits and the accepted orders must be completed by the due date or no later than the deadline. An iterated population-based metaheuristic is proposed to solve the problems. The algorithm begins with an efficient initial solution generator to generate an initial solution, and then uses the destruction and construction procedure to generate a population with multiple solutions. Then, a solution is selected from the population, and a variable neighborhood descent search algorithm with several new reduced-size neighborhood structures is applied to improve the selected solution. Following the completion of the local search, a method for updating the members of the population was devised to enhance its diversity. Finally, the metaheuristic allows the populations to evolve for several generations until the termination condition is satisfied. To evaluate the performance of the proposed metaheuristic, a heuristic rule and an iterated local search algorithm are examined and compared. The computational experimental results indicate that the presented metaheuristic outperforms the other heuristics. Full article
Show Figures

Figure 1

25 pages, 2662 KB  
Article
A Hybrid Large Neighborhood Search Method for Minimizing Makespan on Unrelated Parallel Batch Processing Machines with Incompatible Job Families
by Bin Ji, Xin Xiao, Samson S. Yu and Guohua Wu
Sustainability 2023, 15(5), 3934; https://doi.org/10.3390/su15053934 - 21 Feb 2023
Cited by 7 | Viewed by 2276
Abstract
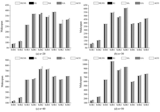
This paper studies a scheduling problem with non-identical job sizes, arbitrary job ready times, and incompatible family constraints for unrelated parallel batch processing machines, where the batches are limited to the jobs from the same family. The scheduling objective is to minimize the [...] Read more.
This paper studies a scheduling problem with non-identical job sizes, arbitrary job ready times, and incompatible family constraints for unrelated parallel batch processing machines, where the batches are limited to the jobs from the same family. The scheduling objective is to minimize the maximum completion time (makespan). The problem is important and has wide applications in the semiconductor manufacturing industries. This study proposes a mixed integer programming (MIP) model, which can be efficiently and optimally solved by commercial solvers for small-scale instances. Since the problem is known to be NP-hard, a hybrid large neighborhood search (HLNS) combined with tabu strategy and local search is proposed to solve large-scale problems, and a lower bound is proposed to evaluate the effectiveness of the proposed algorithm. The proposed algorithm is evaluated on numerous compatible benchmark instances and newly generated incompatible instances. The results of computational experiments indicate that the HLNS outperforms the commercial solver and the lower bound for incompatible problems, while for compatible problems, the HLNS outperforms the existing algorithm. Meanwhile, the comparison results indicate the effectiveness of the tabu and local search strategies. Full article
Show Figures

Figure 1

29 pages, 1019 KB  
Article
An Experimental Study of Grouping Mutation Operators for the Unrelated Parallel-Machine Scheduling Problem
by Octavio Ramos-Figueroa, Marcela Quiroz-Castellanos, Efrén Mezura-Montes and Nicandro Cruz-Ramírez
Math. Comput. Appl. 2023, 28(1), 6; https://doi.org/10.3390/mca28010006 - 5 Jan 2023
Cited by 6 | Viewed by 3213
Abstract
The Grouping Genetic Algorithm (GGA) is an extension to the standard Genetic Algorithm that uses a group-based representation scheme and variation operators that work at the group-level. This metaheuristic is one of the most used to solve combinatorial optimization grouping problems. Its optimization [...] Read more.
The Grouping Genetic Algorithm (GGA) is an extension to the standard Genetic Algorithm that uses a group-based representation scheme and variation operators that work at the group-level. This metaheuristic is one of the most used to solve combinatorial optimization grouping problems. Its optimization process consists of different components, although the crossover and mutation operators are the most recurrent. This article aims to highlight the impact that a well-designed operator can have on the final performance of a GGA. We present a comparative experimental study of different mutation operators for a GGA designed to solve the Parallel-Machine scheduling problem with unrelated machines and makespan minimization, which comprises scheduling a collection of jobs in a set of machines. The proposed approach is focused on identifying the strategies involved in the mutation operations and adapting them to the characteristics of the studied problem. As a result of this experimental study, knowledge of the problem-domain was gained and used to design a new mutation operator called 2-Items Reinsertion. Experimental results indicate that the state-of-the-art GGA performance considerably improves by replacing the original mutation operator with the new one, achieving better results, with an improvement rate of 52%. Full article
Show Figures

Figure 1

Back to TopTop