Sign in to use this feature.

Years

Between: -

Subjects

remove_circle_outline
remove_circle_outline
remove_circle_outline
remove_circle_outline
remove_circle_outline
remove_circle_outline
remove_circle_outline
remove_circle_outline
remove_circle_outline

Journals

Article Types

Countries / Regions

Search Results (135)

Search Parameters:
Keywords = tower–line system

Order results
Result details
Results per page
Select all
Export citation of selected articles as:
22 pages, 14323 KB  
Article
Study on the Health Assessment of Rivers and Lakes on the Qinghai Plateau Based on an AHP–TOPSIS Model
by Yongxi Zhang, Shaofeng Jia and Runjie Li
Sustainability 2026, 18(1), 79; https://doi.org/10.3390/su18010079 - 20 Dec 2025
Viewed by 257
Abstract
Under global environmental change, the health of rivers and lakes on the “Asian Water Tower”—the Qinghai–Tibetan Plateau—is facing mounting pressures. This study examines Qinghai Lake, the Huangshui River, the Golmud River, and the Qinghai reach of the Yangtze River. By integrating the Water [...] Read more.
Under global environmental change, the health of rivers and lakes on the “Asian Water Tower”—the Qinghai–Tibetan Plateau—is facing mounting pressures. This study examines Qinghai Lake, the Huangshui River, the Golmud River, and the Qinghai reach of the Yangtze River. By integrating the Water Quality Index (WQI) with the AHP–TOPSIS framework, we develop a multidimensional assessment system encompassing water resources, water environment, aquatic ecology, and management functions. The WQI results reveal pronounced spatial heterogeneity in water quality, with conditions ranked as Golmud River > Yangtze River > Huangshui River > Qinghai Lake. Dominant controlling factors also shift from dissolved oxygen in riverine systems to total phosphorus in the lake environment. The comprehensive AHP–TOPSIS evaluation further shows a health ranking of Yangtze River (0.736) > Golmud River (0.602) > Qinghai Lake (0.404) > Huangshui River (0.297), leading to the identification of four distinct management pathways: ecological conservation, natural restoration, nutrient control, and pollution remediation. By moving beyond single-parameter diagnostics, this study provides a robust methodological basis for differentiated river–lake management. The proposed “one river (lake), one strategy” framework, coupled with red-line management recommendations grounded in key indicators, offers direct scientific support for systematic protection and precise governance of aquatic ecosystems on the Qinghai–Tibetan Plateau, contributing to national ecological security and high-level environmental stewardship. Full article
Show Figures

Figure 1

23 pages, 8655 KB  
Article
Analysis of the Influence of Partially Restrained Reinforced Angle Steel Members (PRR-ASM) on the Wind-Resistant Performance of Transmission Tower-Line System: Test and Numerical Simulation Verification
by Tianyuan Cai, Dehui Zhao, Baohai Yang, Ning Zhang, Kangning Guo and He Chen
Buildings 2025, 15(24), 4520; https://doi.org/10.3390/buildings15244520 - 14 Dec 2025
Viewed by 250
Abstract
The transmission tower-line system is subjected to long-term loads such as wind and ice, and the instability of the tower leg angle steel is one of the key factors leading to collapse. This paper proposes the partially restrained reinforced angle steel member (PRR-ASM), [...] Read more.
The transmission tower-line system is subjected to long-term loads such as wind and ice, and the instability of the tower leg angle steel is one of the key factors leading to collapse. This paper proposes the partially restrained reinforced angle steel member (PRR-ASM), a method used to enhance the bearing capacity of the tower leg angle steel. By combining tests and simulation analyses, the reinforcement mechanism and engineering applicability of PRR-ASM were studied. Comparative analysis was performed on the gap working conditions of PRR-ASM, and compression tests on constraint gaps (0/2/4 mm) were conducted. The bearing capacity of partially constrained specimens increased by 31%, and the yield displacement increased by 92.2%. Analysis of constraint segment length showed that length significantly affects bearing capacity, and better improvement in stability performance can be achieved with partial constraint. Based on the test and simulation results, constitutive and simplified models were established, and PRR-ASM was applied to vulnerable members of the tower-line system. A two towers and three lines coupled model was constructed to analyze the structural failure mechanism. The results show that under the most unfavorable wind direction, the ultimate wind speed after reinforcement increased from 25 m/s to 32 m/s, and the member safety factor increased from 1.6 to 3.4. Considering high reinforcement efficiency and low economic cost in engineering, the gap-free, partially constrained scheme is recommended for engineering practice. Full article
Show Figures

Figure 1

20 pages, 9016 KB  
Article
Multi-Hazard Line Hardening with Equity Considerations: A Multi-Objective Optimization Framework
by Ahmed Daeli and Salman Mohagheghi
Processes 2025, 13(12), 3879; https://doi.org/10.3390/pr13123879 - 1 Dec 2025
Viewed by 306
Abstract
Climate change has increased the frequency and severity of extreme weather events such as wildfires, storms, high winds, and floods. Overhead lines are particularly vulnerable to these hazards, prompting utilities to consider reinforcement solutions through undergrounding overhead lines or structural hardening. However, these [...] Read more.
Climate change has increased the frequency and severity of extreme weather events such as wildfires, storms, high winds, and floods. Overhead lines are particularly vulnerable to these hazards, prompting utilities to consider reinforcement solutions through undergrounding overhead lines or structural hardening. However, these mitigation strategies are expensive and should be used selectively, prioritized for areas that are most at risk. This necessitates a framework to concurrently balance cost and resilience. In addition, the adopted reinforcement strategy must consider the consequences of possible outages on communities. This paper presents a multi-objective optimization framework to identify overhead line reinforcement strategies in a distribution system exposed to different hazards. A case study is presented for the city of Greeley, CO, which is prone to both wildfire and flood risks. Undergrounding overhead lines and reinforcing tower structures are considered as possible solutions for wildfire-prone areas and flood-prone areas, respectively. The proposed model is adaptable and can be applied to other hazard types and/or geographic regions. The proposed framework incorporates energy justice by prioritizing vulnerable populations and ensuring equitable distribution of reinforcement benefits. The results indicate that targeted hardening can reduce load shedding, improve outage response, and support equitable resilience planning. Full article
Show Figures

Figure 1

30 pages, 16730 KB  
Article
Research on Transmission Line Vibration Based on the Dynamic Response of Strain in Straight Tower Cross Arm Structure Under Wind–Ice Loads
by Junqi Wang, Tiancheng Zhao, Keyin Jia, Duo Xu, Tianyu Qiao, Ruixin Yu, Song Li and Wenliang Li
Energies 2025, 18(23), 6221; https://doi.org/10.3390/en18236221 - 27 Nov 2025
Viewed by 235
Abstract
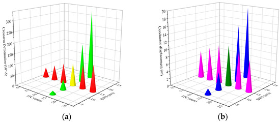
Under ice and wind loads, transmission conductors undergo varying degrees of displacement, with larger displacements potentially causing direct damage to the transmission tower–line system and posing serious safety hazards. In a transmission tower–line system, the conductor’s vibration directly influences the crossarm strain response. [...] Read more.
Under ice and wind loads, transmission conductors undergo varying degrees of displacement, with larger displacements potentially causing direct damage to the transmission tower–line system and posing serious safety hazards. In a transmission tower–line system, the conductor’s vibration directly influences the crossarm strain response. Therefore, based on the connection characteristics between transmission conductors and tower crossarms, the crossarm strain response under ice and wind loads can be used to characterize the motion state of transmission conductors. However, the current research on the vibration of conductors based on crossarm strain dynamic responses still has gaps. In this study, we employ a finite element model of a transmission tower–line system and conduct numerical simulations of ice and wind loads under different working conditions using the controlled variable method, obtaining the variation patterns of the conductor’s displacement and crossarm strain. A functional relationship between the crossarm strain and conductor displacement response is established, and its applicability is further validated through numerical simulation analysis of the galloping of transmission conductors under icy conditions. This research provides technical support for monitoring the galloping state of transmission tower–line systems based on crossarm strain responses. Full article
Show Figures

Figure 1

20 pages, 6166 KB  
Article
Seismic Performance and Collapse Fragility of a 765 kV Transmission Tower–Line System
by Guo-Dong Shao, Cong Xiao, Ming-Xuan Zhu, Farooq Syed Hassan, Chuan-Sai Ma, Shao-Yuan Zhang and Li Tian
Buildings 2025, 15(22), 4206; https://doi.org/10.3390/buildings15224206 - 20 Nov 2025
Viewed by 468
Abstract
Based on a real-world project in Pakistan, this study investigates the seismic performance and collapse fragility of a 765 kV transmission tower–line system. A refined finite element model, incorporating three towers and four conductor spans, is developed to systematically simulate the system’s dynamic [...] Read more.
Based on a real-world project in Pakistan, this study investigates the seismic performance and collapse fragility of a 765 kV transmission tower–line system. A refined finite element model, incorporating three towers and four conductor spans, is developed to systematically simulate the system’s dynamic characteristics, seismic response, and nonlinear collapse process. The Incremental Dynamic Analysis (IDA) method is employed for fragility assessments. The results demonstrate that the fundamental frequency of the tower–line system is significantly lower than that of an isolated tower, indicating that the transmission lines substantially reduce the overall structural stiffness. The vulnerable regions in the system are primarily identified at the second and third segments. The mean Peak Ground Acceleration (PGA) triggering collapse is found to be 1.07 g, with the collapse mode characterized by a progressive failure initiated by cumulative damage in the lower members. The derived fragility curves indicate that the probability of system collapse exceeds 55% at a PGA of 1.0 g. These findings can provide a valuable reference for the seismic design and safety evaluation of high-voltage electricity transmission systems. Full article
(This article belongs to the Section Building Structures)
Show Figures

Figure 1

18 pages, 5178 KB  
Article
Study on the Impact of Additional Insulator String Fracture on the Safety Status of Transmission Lines Under Large Ice Loads
by Sixiang Zhang, Weiguo Jiang, Zhen Guo, Feiyang Yu, Juncai Liu and Li Tian
Buildings 2025, 15(22), 4131; https://doi.org/10.3390/buildings15224131 - 17 Nov 2025
Viewed by 308
Abstract
Transmission lines may experience significant ice loads during service, which can cause damage or even destruction to transmission tower components and transmission lines. Under the traditional design concept, when the load exceeds the safety threshold, the transmission line is usually severely damaged or [...] Read more.
Transmission lines may experience significant ice loads during service, which can cause damage or even destruction to transmission tower components and transmission lines. Under the traditional design concept, when the load exceeds the safety threshold, the transmission line is usually severely damaged or even destroyed, and there are no effective protective measures. In response to this situation, this article considers a protective approach and conducts research. Firstly, considering the nonlinear mechanical behavior of steel and the complex coupling effects between towers and lines, a refined finite element model of the transmission tower line system with additional insulator strings was established. Afterwards, a nonlinear hysteresis model of angle steel was introduced, considering three cases: intact insulator string, insulator string breaking after ice load application, and insulator string breaking before ice load application. The failure of the tower line system under ice load was simulated. The results indicate an approximately 10% enhancement in the load-bearing capacity of the transmission line, suggesting that breaking the insulator string at the appropriate time can improve the overall load-bearing capacity of the transmission tower, thereby reducing the failure probability of the tower line system under large ice loads. This verifies the feasibility of the additional insulator string fracture protection concept and provides ideas for the design of transmission lines. Full article
(This article belongs to the Section Building Structures)
Show Figures

Figure 1

27 pages, 3406 KB  
Article
Simulation-Based Framework for Backflashover Rate Estimation in High-Voltage Transmission Lines Integrating Monte-Carlo, ATP-EMTP, and Leader Progression Model
by André T. Lobato, Liliana Arevalo, Rodolfo A. R. Moura, Marco Aurélio O. Schroeder and Vernon Cooray
Energies 2025, 18(21), 5670; https://doi.org/10.3390/en18215670 - 29 Oct 2025
Viewed by 586
Abstract
Lightning-induced backflashovers pose significant risks to high-voltage transmission systems, particularly in high lightning activity regions. Conventional backflashover rate (BFR) estimation methods rely on simplified empirical formulas that lack accuracy in complex scenarios. This paper presents a comprehensive simulation framework integrating (i) a Simulation-Based [...] Read more.
Lightning-induced backflashovers pose significant risks to high-voltage transmission systems, particularly in high lightning activity regions. Conventional backflashover rate (BFR) estimation methods rely on simplified empirical formulas that lack accuracy in complex scenarios. This paper presents a comprehensive simulation framework integrating (i) a Simulation-Based Leader Progression Model (SB-LPM) implemented in COMSOL Multiphysics–MATLAB to evaluate lightning attachment through detailed electrostatic field analysis and streamer-leader dynamics, (ii) ATP-EMTP electromagnetic transient simulations incorporating multi-component Heidler function current waveforms, calibrated to regional lightning measurements, and (iii) a Monte Carlo analysis for statistical assessment of backflashover susceptibility. Applied to a representative 138 kV transmission line in Minas Gerais, Brazil, the framework shows that BFR results are highly sensitive to tower-footing impedance and attachment model selection. The SB-LPM yields systematically different predictions compared to traditional electrogeometric models, yielding approximately 10% lower BFR estimates at 20 Ω grounding impedance relative to the widely used Eriksson model. The framework enables comprehensive lightning performance assessment by incorporating geometry-sensitive attachment modeling, realistic current waveform synthesis, and detailed system transient response, providing valuable insights for transmission line insulation coordination studies. Full article
(This article belongs to the Topic EMC and Reliability of Power Networks)
Show Figures

Figure 1

23 pages, 8095 KB  
Article
Three-Dimensional Measurement of Transmission Line Icing Based on a Rule-Based Stereo Vision Framework
by Nalini Rizkyta Nusantika, Jin Xiao and Xiaoguang Hu
Electronics 2025, 14(21), 4184; https://doi.org/10.3390/electronics14214184 - 27 Oct 2025
Viewed by 581
Abstract
The safety and reliability of modern power systems are increasingly challenged by adverse environmental conditions. (1) Background: Ice accumulation on power transmission lines is recognized as a severe threat to grid stability, as tower collapse, conductor breakage, and large-scale outages may be caused, [...] Read more.
The safety and reliability of modern power systems are increasingly challenged by adverse environmental conditions. (1) Background: Ice accumulation on power transmission lines is recognized as a severe threat to grid stability, as tower collapse, conductor breakage, and large-scale outages may be caused, thereby making accurate monitoring essential. (2) Methods: A rule-driven and interpretable stereo vision framework is proposed for three-dimensional (3D) detection and quantitative measurement of transmission line icing. The framework consists of three stages. First, adaptive preprocessing and segmentation are applied using multiscale Retinex with nonlinear color restoration, graph-based segmentation with structural constraints, and hybrid edge detection. Second, stereo feature extraction and matching are performed through entropy-based adaptive cropping, self-adaptive keypoint thresholding with circular descriptor analysis, and multi-level geometric validation. Third, 3D reconstruction is realized by fusing segmentation and stereo correspondences through triangulation with shape-constrained refinement, reaching millimeter-level accuracy. (3) Result: An accuracy of 98.35%, sensitivity of 91.63%, specificity of 99.42%, and precision of 96.03% were achieved in contour extraction, while a precision of 90%, recall of 82%, and an F1-score of 0.8594 with real-time efficiency (0.014–0.037 s) were obtained in stereo matching. Millimeter-level accuracy (Mean Absolute Error: 1.26 mm, Root Mean Square Error: 1.53 mm, Coefficient of Determination = 0.99) was further achieved in 3D reconstruction. (4) Conclusions: Superior accuracy, efficiency, and interpretability are demonstrated compared with two existing rule-based stereo vision methods (Method A: ROI Tracking and Geometric Validation Method and Method B: Rule-Based Segmentation with Adaptive Thresholding) that perform line icing identification and 3D reconstruction, highlighting the framework’s advantages under limited data conditions. The interpretability of the framework is ensured through rule-based operations and stepwise visual outputs, allowing each processing result, from segmentation to three-dimensional reconstruction, to be directly understood and verified by operators and engineers. This transparency facilitates practical deployment and informed decision making in real world grid monitoring systems. Full article
Show Figures

Figure 1

19 pages, 3740 KB  
Article
Fault Ride-Through Optimization Scheme for Hybrid AC/DC Transmission Systems on the Same Tower
by Xu Chu, Qi Liu, Letian Fu, Shaoshuai Yu and Weidong Wang
Sensors 2025, 25(19), 6216; https://doi.org/10.3390/s25196216 - 7 Oct 2025
Viewed by 486
Abstract
Sensors in power systems utilize the detection results of fault signals to guide subsequent fault handling procedures. However, the traditional phase-shift restart strategy exhibits limitations such as power interruptions, reactive power redundancy, and intersystem fault clearance failures when addressing faults in the hybrid [...] Read more.
Sensors in power systems utilize the detection results of fault signals to guide subsequent fault handling procedures. However, the traditional phase-shift restart strategy exhibits limitations such as power interruptions, reactive power redundancy, and intersystem fault clearance failures when addressing faults in the hybrid AC/DC transmission system. To address these shortcomings, a power compensation-based fault ride-through (FRT) scheme and a protection-control cooperation FRT scheme are proposed, taking into account the operational characteristics of the symmetric monopole LCC-HVDC (SM-LCC-HVDC). The power compensation-based FRT scheme actively compensates for power, mitigating the impact of reactive power redundancy on the AC-side bus during faults. The protection-control cooperation FRT scheme is activated after sufficient AC components are detected on the DC side. It leverages the adjustability of the DC system to proactively activate protection for AC transmission lines. An electromagnetic transient simulation model of the hybrid AC/DC same-tower transmission system was developed in PSCAD/EMTDC. Simulation results validate the effectiveness and superiority of the proposed methods. Full article
(This article belongs to the Section Electronic Sensors)
Show Figures

Figure 1

19 pages, 8271 KB  
Article
Asymmetric Structural Response Characteristics of Transmission Tower-Line Systems Under Cross-Fault Ground Motions Revealed by Shaking Table Tests
by Yu Wang, Xiaojun Li, Xiaohui Wang and Mianshui Rong
Symmetry 2025, 17(10), 1646; https://doi.org/10.3390/sym17101646 - 4 Oct 2025
Viewed by 513
Abstract
The long-distance high-voltage transmission tower-line system, frequently traversing active fault zones, is vulnerable to severe symmetry-breaking damage during earthquakes due to asymmetric permanent ground displacements. However, the seismic performance of such systems, particularly concerning symmetry-breaking effects caused by asymmetric fault displacements, remains inadequately [...] Read more.
The long-distance high-voltage transmission tower-line system, frequently traversing active fault zones, is vulnerable to severe symmetry-breaking damage during earthquakes due to asymmetric permanent ground displacements. However, the seismic performance of such systems, particularly concerning symmetry-breaking effects caused by asymmetric fault displacements, remains inadequately studied. This study investigates the symmetry degradation mechanisms in a 1:40 scaled 500 kV tower-line system subjected to cross-fault ground motions via shaking table tests. The testing protocol incorporates representative fault mechanisms—strike-slip and normal/reverse faults—to systematically evaluate their differential impacts on symmetry response. Measurements of acceleration, strain, and displacement reveal that while acceleration responses are spectrally controlled, structural damage is highly fault-type dependent and markedly asymmetric. The acceleration of towers without permanent displacement was 35–50% lower than that of towers with permanent displacement. Under identical permanent displacement conditions, peak displacements caused by normal/reverse motions exceeded those from strike-slip motions by 50–100%. Accordingly, a fault-type-specific amplification factor of 1.5 is proposed for the design of towers in dip-slip fault zones. These results offer novel experimental insights into symmetry violation under fault ruptures, including fault-specific correction factors and asymmetry-resistant design strategies. However, the conclusions are subject to limitations such as scale effects and the exclusion of vertical ground motion components. Full article
(This article belongs to the Section Engineering and Materials)
Show Figures

Figure 1

32 pages, 4634 KB  
Article
Dynamic Energy-Aware Anchor Optimization for Contact-Based Indoor Localization in MANETs
by Manuel Jesús-Azabal, Meichun Zheng and Vasco N. G. J. Soares
Information 2025, 16(10), 855; https://doi.org/10.3390/info16100855 - 3 Oct 2025
Viewed by 567
Abstract
Indoor positioning remains a recurrent and significant challenge in research. Unlike outdoor environments, where the Global Positioning System (GPS) provides reliable location information, indoor scenarios lack direct line-of-sight to satellites or cellular towers, rendering GPS inoperative and requiring alternative positioning techniques. Despite numerous [...] Read more.
Indoor positioning remains a recurrent and significant challenge in research. Unlike outdoor environments, where the Global Positioning System (GPS) provides reliable location information, indoor scenarios lack direct line-of-sight to satellites or cellular towers, rendering GPS inoperative and requiring alternative positioning techniques. Despite numerous approaches, indoor contexts with resource limitations, energy constraints, or physical restrictions continue to suffer from unreliable localization. Many existing methods employ a fixed number of reference anchors, which sets a hard balance between localization accuracy and energy consumption, forcing designers to choose between precise location data and battery life. As a response to this challenge, this paper proposes an energy-aware indoor positioning strategy based on Mobile Ad Hoc Networks (MANETs). The core principle is a self-adaptive control loop that continuously monitors the network’s positioning accuracy. Based on this real-time feedback, the system dynamically adjusts the number of active anchors, increasing them only when accuracy degrades and reducing them to save energy once stability is achieved. The method dynamically estimates relative coordinates by analyzing node encounters and contact durations, from which relative distances are inferred. Generalized Multidimensional Scaling (GMDS) is applied to construct a relative spatial map of the network, which is then transformed into absolute coordinates using reference nodes, known as anchors. The proposal is evaluated in a realistic simulated indoor MANET, assessing positioning accuracy, adaptation dynamics, anchor sensitivity, and energy usage. Results show that the adaptive mechanism achieves higher accuracy than fixed-anchor configurations in most cases, while significantly reducing the average number of required anchors and their associated energy footprint. This makes it suitable for infrastructure-poor, resource-constrained indoor environments where both accuracy and energy efficiency are critical. Full article
Show Figures

Figure 1

22 pages, 1331 KB  
Article
Research on Optimal Control Strategies on Distribution Network Power Transfer Under Extreme Weather Conditions
by Biaolong Su, Yanna Xi, Shuang Li and Bo Yuan
Electronics 2025, 14(19), 3854; https://doi.org/10.3390/electronics14193854 - 29 Sep 2025
Viewed by 645
Abstract
Against the backdrop of global climate change, extreme weather events are increasingly challenging the safe and stable operation of power distribution networks. These events can cause sudden load fluctuations, equipment failures, and disruptions in power transfer. To address these, this paper proposes an [...] Read more.
Against the backdrop of global climate change, extreme weather events are increasingly challenging the safe and stable operation of power distribution networks. These events can cause sudden load fluctuations, equipment failures, and disruptions in power transfer. To address these, this paper proposes an optimal control strategy for distribution network power transfer, integrating Long Short-Term Memory (LSTM) networks and dynamic optimization models. By fusing meteorological data with grid characteristics, the LSTM model predicts load demand and fault probability, capturing complex system behaviors under extreme conditions. Combined with Mixed-Integer Linear Programming (MILP), a decision-making model is developed, and a deep-reinforcement-learning-based algorithm handles uncertainties in weather, load, and equipment faults, enabling accurate control. Validation on a 33-bus system shows the method enhances reliability under extreme weather, providing practical value. Furthermore, typhoons, as extreme weather events, can severely damage infrastructure, disrupt power lines, and affect grid stability. In the 33-bus system, typhoons can cause tower collapses and line failures, impacting power transfer. This paper explores the impact of typhoons on a bus model integrated with renewable energy, proposing optimal control strategies to ensure power supply to critical loads while minimizing equipment damage. Full article
(This article belongs to the Special Issue Monitoring and Analysis for Smart Grids)
Show Figures

Figure 1

23 pages, 3209 KB  
Article
Research on Power Laser Inspection Technology Based on High-Precision Servo Control System
by Zhe An and Yuesheng Pei
Photonics 2025, 12(9), 944; https://doi.org/10.3390/photonics12090944 - 22 Sep 2025
Viewed by 713
Abstract
With the expansion of the scale of ultra-high-voltage transmission lines and the complexity of the corridor environment, the traditional manual inspection method faces serious challenges in terms of efficiency, cost, and safety. In this study, based on power laser inspection technology with a [...] Read more.
With the expansion of the scale of ultra-high-voltage transmission lines and the complexity of the corridor environment, the traditional manual inspection method faces serious challenges in terms of efficiency, cost, and safety. In this study, based on power laser inspection technology with a high-precision servo control system, a complete set of laser point cloud processing technology is proposed, covering three core aspects: transmission line extraction, scene recovery, and operation status monitoring. In transmission line extraction, combining the traditional clustering algorithm with the improved PointNet++ deep learning model, a classification accuracy of 92.3% is achieved in complex scenes; in scene recovery, 95.9% and 94.4% of the internal point retention rate of transmission lines and towers, respectively, and a vegetation denoising rate of 7.27% are achieved by RANSAC linear fitting and density filtering algorithms; in the condition monitoring segment, the risk detection of tree obstacles based on KD-Tree acceleration and the arc sag calculation of the hanging chain line model realize centimetre-level accuracy of hidden danger localisation and keep the arc sag error within 5%. Experiments show that this technology significantly improves the automation level and decision-making accuracy of transmission line inspection and provides effective support for intelligent operation and maintenance of the power grid. Full article
Show Figures

Figure 1

21 pages, 2987 KB  
Article
Random Wind Vibration Control of Transmission Tower-Line Systems Using Shape Memory Alloy Damper
by Mingjing Chang, Xibing Fang, Shanshan Zhang and Dingkun Xie
Buildings 2025, 15(17), 3091; https://doi.org/10.3390/buildings15173091 - 28 Aug 2025
Viewed by 722
Abstract
Shape memory alloy dampers (SMADs) are widely applied in structural vibration control due to their excellent superelastic properties. However, there has been no research on the random wind-induced vibration control of transmission tower-line (TTL) systems with added SMADs. To address this gap, this [...] Read more.
Shape memory alloy dampers (SMADs) are widely applied in structural vibration control due to their excellent superelastic properties. However, there has been no research on the random wind-induced vibration control of transmission tower-line (TTL) systems with added SMADs. To address this gap, this paper proposes an analytical framework for the wind-induced vibration control of TTL systems with SMADs under random wind loads. An analytical model for the coupled TTL system is developed. The constitutive relationship of the SMAD is derived using the statistical linearization method, and a vibration control approach for the TTL-coupled system with SMADs is proposed. The vibration response of the TTL–SMAD system under random wind loads is derived, and an extreme response analysis framework based on the first exceedance failure criterion is established. The results show that the optimal installation scheme for the SMAD achieves a vibration reduction of more than 30%. When the damper’s stiffness coefficient is approximately 1, the SMAD effectively controls the vibrations. Moreover, a service temperature of 0 °C is found to be the optimal control temperature for the SMAD. These findings provide important references for the application of SMADs in the vibration control of TTL systems. Full article
(This article belongs to the Special Issue Dynamic Response Analysis of Structures Under Wind and Seismic Loads)
Show Figures

Figure 1

23 pages, 3210 KB  
Article
Design and Optimization of Intelligent High-Altitude Operation Safety System Based on Sensor Fusion
by Bohan Liu, Tao Gong, Tianhua Lei, Yuxin Zhu, Yijun Huang, Kai Tang and Qingsong Zhou
Sensors 2025, 25(15), 4626; https://doi.org/10.3390/s25154626 - 25 Jul 2025
Cited by 1 | Viewed by 975
Abstract
In the field of high-altitude operations, the frequent occurrence of fall accidents is usually closely related to safety measures such as the incorrect use of safety locks and the wrong installation of safety belts. At present, the manual inspection method cannot achieve real-time [...] Read more.
In the field of high-altitude operations, the frequent occurrence of fall accidents is usually closely related to safety measures such as the incorrect use of safety locks and the wrong installation of safety belts. At present, the manual inspection method cannot achieve real-time monitoring of the safety status of the operators and is prone to serious consequences due to human negligence. This paper designs a new type of high-altitude operation safety device based on the STM32F103 microcontroller. This device integrates ultra-wideband (UWB) ranging technology, thin-film piezoresistive stress sensors, Beidou positioning, intelligent voice alarm, and intelligent safety lock. By fusing five modes, it realizes the functions of safety status detection and precise positioning. It can provide precise geographical coordinate positioning and vertical ground distance for the workers, ensuring the safety and standardization of the operation process. This safety device adopts multi-modal fusion high-altitude operation safety monitoring technology. The UWB module adopts a bidirectional ranging algorithm to achieve centimeter-level ranging accuracy. It can accurately determine dangerous heights of 2 m or more even in non-line-of-sight environments. The vertical ranging upper limit can reach 50 m, which can meet the maintenance height requirements of most transmission and distribution line towers. It uses a silicon carbide MEMS piezoresistive sensor innovatively, which is sensitive to stress detection and resistant to high temperatures and radiation. It builds a Beidou and Bluetooth cooperative positioning system, which can achieve centimeter-level positioning accuracy and an identification accuracy rate of over 99%. It can maintain meter-level positioning accuracy of geographical coordinates in complex environments. The development of this safety device can build a comprehensive and intelligent safety protection barrier for workers engaged in high-altitude operations. Full article
(This article belongs to the Section Electronic Sensors)
Show Figures

Figure 1

Back to TopTop