Simulation-Based Framework for Backflashover Rate Estimation in High-Voltage Transmission Lines Integrating Monte-Carlo, ATP-EMTP, and Leader Progression Model
Abstract
1. Introduction
2. Methodology
2.1. Probabilistic Framework for Backflashover Rate Estimation
- Interception Stage: A lightning stroke is intercepted by the shield wire;
- Flashover Stage: Following interception, the resultant overvoltage may cause an insulation flashover.
- PBFO(I,τ(I),φ) is the conditional probability that a lightning stroke of peak current I and correlated front time τ = g(I), intercepted by the shield wire, leads to flashover given the system phase angle φ at impact.
- Ksf is the span factor, which represents the fraction of lightning strokes that occur near or at tower tops, making them more likely to generate significant overvoltages [11].
- Psw(I, x) is the probability that a descending leader with current I and lateral displacement x is intercepted by the shield wire;
- Ng is the regional ground flash density (GFD, flashes/km2/year);
- w is the transverse width of the analyzed strike zone (m);
- L is the line length (km).
2.2. Lightning Stroke Attachment Modeling
- Eriksson’s empirical attractive radius formulation (fixed radius) [3];
- Simulation-based Leader Progression Model (SB-LPM, original implementation in this work).
2.2.1. Eriksson’s Empirical Attractive Radius
2.2.2. Electrogeometric Models (EGMs)
2.2.3. Simulation-Based Leader Progression Model (SB-LPM)
- Stepped Leader Representation
- Streamer Inception Criterion
- Streamer-to-Leader Transition
- Vbg is the interpolated background electric potential (V)
- Est is streamer electric field (V/m)
- zs is the streamer extent (interception point) (m)
- kq is a geometrical factor (C/Vm) that accounts for all streamers on the total charge, equal to 4 × 10−12 C/Vm for complex structures [16].
- Upward Leader Development
- ΔVl = voltage drop along the leader channel (V)
- lℓ = axial leader length (m)
- Ei = initial leader gradient (V/m), approximated in lightning applications by the streamer gradient (≈ 450–500 kV) [16].
- E∞ = final leader gradient (V/m)
- x0 = space constant (m)
- Final Jump and Attachment Determination
- Simulation-Derived Attractive Radius Estimation
- Initial horizontal positioning: The stepped leader was first placed directly above the tower to establish a reference attachment condition;
- Lateral scanning: The leader was displaced horizontally from the tower axis in steps. To improve accuracy and reduce the number of required simulations, the bisection method [31] was used to search for the interception limit.
- Attractive radius identification: The largest lateral offset for which the tower successfully intercepted the descending leader was recorded as the attractive radius R(I).
- Initial vertical positioning: The bisection method is employed to determine the highest viable stepped leader height for streamer inception, ensuring that simulations were only executed for physically meaningful conditions;
- Leader inception and propagation simulation: Full attachment simulation was performed to evaluate streamer-to-leader transition, upward leader propagation, and final jump.
- Scope and Assumptions
2.3. Electromagnetic Transient Simulation in Lightning Analysis
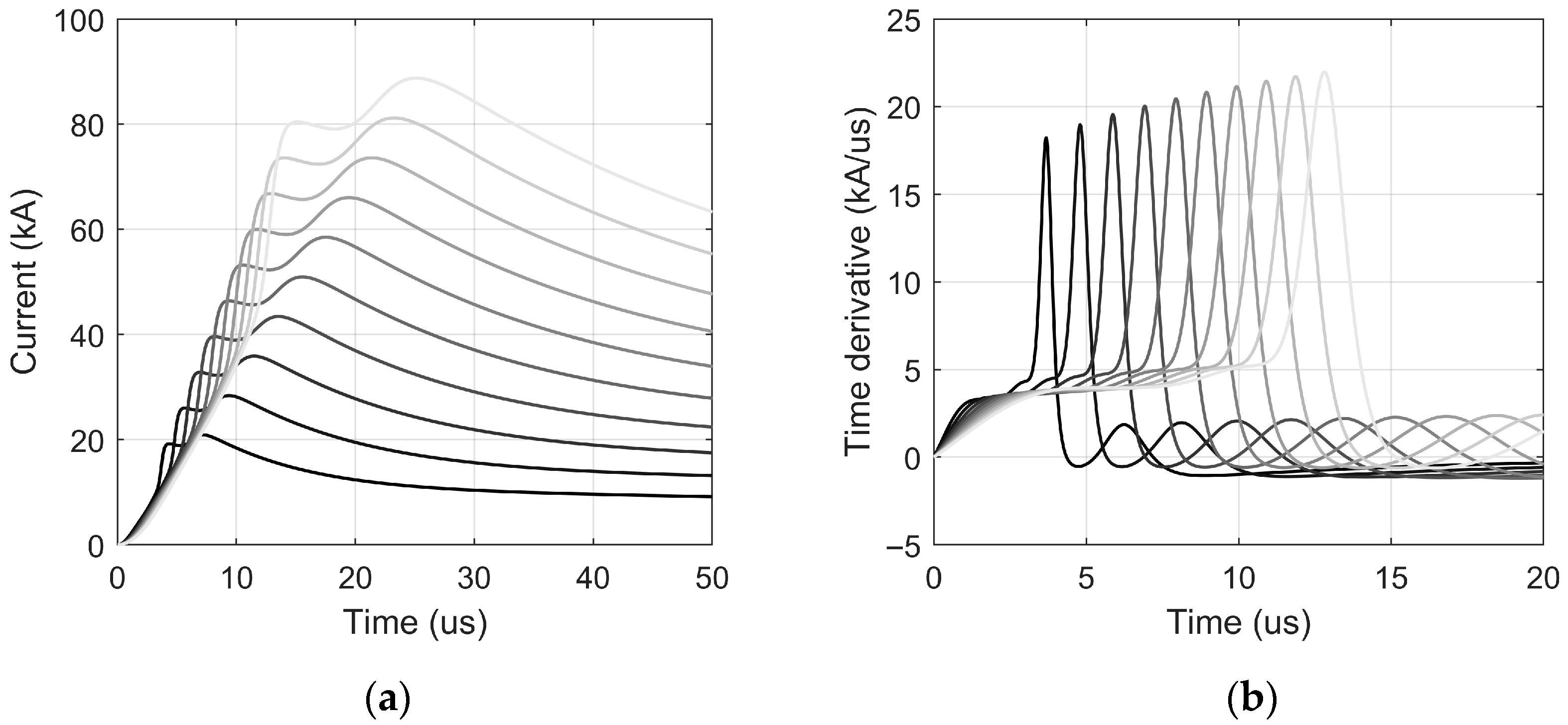
2.3.1. Return Stroke Current Model
- Foundational Approach: De Conti and Visacro Method
- Parametric Generalization: Oliveira et al. Extension
- Statistical Correlations and Waveform Generation
- First peak (Ip1): controlled by α
- Second peak (Ip2): controlled by α and δ
- 30–90% rise time (T30): controlled β
- Wave tail half-value time (T50): controlled by γ
- Implementation and Normalization
2.3.2. Transmission System Modeling
- h: height of the segment under consideration,
- r: equivalent radius of the tower leg (vertical conductor),
- d1j: horizontal or diagonal spacing between conductor 1 and conductor j,
- n = 4: number of vertical conductors used in the model.
2.3.3. Insulation Modeling
- Volt-time curves (VTCs) [24]
- Vf is the critical withstand voltage at time t (in kV),
- k and n are empirical constants derived from laboratory testing.
2.3.4. Grounding System Representation
- It eliminates dependence on site-specific soil characterization, which may be unavailable or highly uncertain.
- It allows a direct sensitivity analysis of grounding conditions on backflashover performance.
- It supports generalizability, making the results relevant across a broad range of installations.
2.4. Monte Carlo Simulation for Backflashover Probability
2.4.1. Random Sampling of Parameters
- Lateral stroke position (x): Uniformly distributed within a ±500 m corridor centered on the transmission line, representing the horizontal displacement of the downward leader channel relative to the tower.
- System voltage phase angle (φ): Uniformly sampled within [0, 2π], representing the instantaneous phase of the power-frequency voltage at the moment of the stroke. It impacts the superposition of steady-state and surge voltages and hence the likelihood of flashover.
2.4.2. Stroke Attachment Evaluation
- Eriksson Empirical Model [3]: Interception is assumed for all strokes within the deterministic average attractive radius calculated from Equation (6).
- Simulation-Based Leader Progression Model (SB-LPM): A stroke is intercepted if ⏐x⏐ ≤ R(I), with R(I) being the attractive radius in Equation (21), derived from detailed attachment simulations as described in Section 2.2.3 and presented in Section 3.2.
2.4.3. Flashover Evaluation and BFR Estimation α
- N is number of iterations;
- δ(i)attach: indicates whether stroke i was intercepted by the shield wire;
- δ(i)flashover indicates whether flashover occurred, given interception;
- Ksf is the span factor (assumed equal to 0.6);
- Ng is the GFD (normalized to 1 flash/km2/year);
- w is the width of the evaluated strike zone (1 km)
- L is the transmission line length, chosen as 100 km.
- Statistical Convergence Criterion
3. Results
3.1. Case Study: Backflashover Performance of the 138 kV MC-VP Transmission Line
- Average span length: 333 m
- Insulator string length: 1.504 m (utility data)
- Lightning impulse withstand voltage: 650 kV (IEC/EN standardized value for 138 kV-class lines; also reported in the literature for similar test lines as critical flashover voltage (CFO), e.g., [46]).
- Phase conductor sag: 11.54 m
- Shield wire sag: 8.57 m
3.2. Simulation-Derived Attractive Radius
3.3. Lightning Exposure Estimation
3.4. Backflashover Analysis
3.5. Monte Carlo Convergence Analysis
- Panel (a): iterations required to reach convergence across tower-footing impedance for all attachment models. This comprehensive comparison highlights the considerable variability in convergence effort associated with different stroke incidence formulations.
- Panel (b): evolution of the convergence metric βBFR at 20 Ω for two representative models: SB-LPM and Eriksson’s empirical model [3].
3.6. Computational Cost
- Hardware: Intel® Core™ i7-4600U, 2.7 GHz, 8 GB RAM
- Attachment simulations (COMSOL): Each current offset case required ~7–8 min of processing. In total, ~100 cases were run across 11 current levels (Figure 4), corresponding to a processing effort of ~20 h.
- ATP-EMTP transient runs: ~2.1–2.5 s each, managed via MATLAB including I/O.
- Monte Carlo BFR estimation (20 Ω footing impedance): ~1149–1288 s for EGMs, ~1090 s for SB-LPM, and ~480 s for Eriksson.
4. Discussion
4.1. Exposure Predictions of the Simulation-Based Leader Progression Model
4.2. Influence of Tower-Footing Impedance and Attachment Model on Backflashover Risk
4.3. Monte-Carlo Convergence and Computational Cost
4.4. Practical Implications and Outlook
- Initial application at 138 kV: this study demonstrates the SB-LPM framework at the 138 kV level, providing insight into its distinct predictive behavior compared to electrogeometric models, even at a “standard” transmission voltage. However, results at this level do not capture all complexities of higher-voltage systems and should not be viewed as fully generalizable.
- Broader system coverage: Future work will extend SB-LPM to a wider range of tower heights, conductor configurations, and terrain profiles through expanded simulation campaigns and benchmarking.
- Span-level attachment modeling: While the present study focused on the attractive radius concept and lateral attachment domain for comparison with EGMs, the explicit representation of the span in both COMSOL and ATP provides a strong foundation for distinguishing longitudinal (span versus tower) interception events in future research. Incorporating this additional dimension represents a promising direction for extending the SB-LPM framework.
- Higher-voltage and HVDC applications: EHV and HVDC systems present additional complexities—including longer insulation strings, advanced shielding practices, and distinct transient phenomena—that merit targeted investigation. Extending SB-LPM to these voltage classes, especially as HDVC grows in importance for renewable energy integration and large-grid interconnection, is a principal ongoing research direction.
- Comparisons with additional attachment models: Future extensions may also be considered in future extensions of the framework, such as the Rizk-based simplified procedure in CIGRE TB 839, which is particularly suited for EHV and UHV lines. Including such methods in comparative studies at higher voltages would further broaden the benchmarking of attachment models within the SB-LPM framework.
- Lightning current statistics: The recent modeling-based correction of the Morro do Cachimbo measurements [35] illustrates how tower and terrain attractivity can bias measured distributions, yielding decontaminated current statistics (frequency and cumulative) with a lower median (~33 kA compared to ~43 kA in the original dataset) and a reduced frequency of extreme values. Once consolidated and accompanied by the parameter correlations required for waveform synthesis, such distributions could be incorporated into the framework to further refine BFR estimates.
- Computational efficiency: Adoption of surrogate modeling, parametrized meshing, and automated geometry generation will support broader applicability and lower the computational burden of flash incidence simulations.
- Advanced probabilistic methods: Integrating adaptive sampling and variance-reduction techniques will further enhance Monte Carlo simulation efficiency for backflashover risk quantification.
5. Conclusions
- Key Findings
- The choice of lightning attachment model—particularly whether interception is modeled deterministically or probabilistically—significantly influences both the predicted BFR and the computational resources required for statistically reliable estimates;
- Monte Carlo convergence analysis demonstrated that deterministic attachment models, such as Eriksson’s formulation, achieve faster statistical convergence due to simplified interception criteria. Conversely, the SB-LPM requires increased computational effort to accurately resolve the stochastic nature of leader interception and flashover processes. This highlights an inherent trade-off between model accuracy and computational efficiency;
- SB-LPM consistently predicted lower BFR estimates compared to the Eriksson model, especially at higher tower-footing impedances. This difference arises because SB-LPM’s detailed stochastic representation of leader attachment leads to variability in the lightning current waveform and precise attachment positions. Consequently, this variability influences the resulting transient overvoltages more substantially at higher impedances, affecting flashover probability;
- Accurate representation of lightning waveform characteristics, detailed modeling of transmission system elements, and integration of realistic lightning statistics emerged as critical components for reliable lightning performance assessment;
- Finite element electrostatics-derived attractive radii offer physically consistent modeling of lightning attachment, capturing geometry-specific exposure dynamics effectively;
- Among evaluated attachment models, SB-LPM offers a balanced benchmark in terms of BFR conservatism—positioned between the upper bound defined by Armstrong–Whitehead and the lower bound set by the IEEE Working Group model. This underscores its value in moderating overly conservative predictions through physics-based leader modeling.
Author Contributions
Funding
Data Availability Statement
Acknowledgments
Conflicts of Interest
Abbreviations
| BFR | Backflashover Rate | 
| CFC | Critical Flashover Current | 
| EGM | Electrogeometric Model | 
| EHV | Extra-High Voltage | 
| FCR | Flash Collection Rate | 
| GFD | Ground Flash Density | 
| LPM | Leader Progression Model | 
| SB-LPM | Simulation-Based Leader Progression Model | 
| UHV | Ultra-High Voltage | 
Appendix A. Electrogeometric Models (EGMs)
| Source | Striking Distance Parameters | ||||
|---|---|---|---|---|---|
| A | b | β | β (230–765 kV) | β (>765 kV) | |
| Armstrong–Whitehead [20] | 6.7 | 0.8 | 0.9 | — | — | 
| Brown–Whitehead [21] | 7.1 | 0.75 | 0.9 | — | — | 
| Love [22] | 10 | 0.65 | 1 | — | — | 
| Darveniza at al [25] | 9.4 | 0.67 | 1 | — | — | 
| Anderson [23] | 10 | 0.65 | 1 | 0.8 | 0.67 | 
| IEEE Working Group [24] | 8 | 0.65 | 1 | 0.8 | 0.64 | 
| IEEE Std 1243 [2] | 10 | 0.65 | f(y) 1 | — | — | 
Appendix A.1. EGM Application in Shielding and Backflashover Analyses
Appendix A.2. Exposure Distances and Flash Collection Rate
References
- CIGRE Working Group 33.01. Guide to Procedures for Estimating the Lightning Performance of Transmission Lines; Technical Brochure 63, Reissued 2021; CIGRE: Paris, France, 2021; pp. 1–92. [Google Scholar]
- IEEE Std 1243-1997; IEEE Guide for Improving the Lightning Performance of Transmission Lines. Transmission and Distribution Committee of the IEEE Power Engineering Society: Piscataway, NJ, USA, 1997; pp. 1–44.
- Eriksson, A.J. The Incidence of Lightning Strikes to Power Lines. IEEE Trans. Power Deliv. 1987, 2, 859–870. [Google Scholar] [CrossRef]
- Cooray, V.; Rakov, V.; Theethayi, N. The Lightning Striking Distance—Revisited. J. Electrost. 2007, 65, 296–306. [Google Scholar] [CrossRef]
- Marti, J.R. Accurate Modelling of Frequency-Dependent Transmission Lines in Electromagnetic Transient Simulations. IEEE Trans. Power Appar. Syst. 1982, PAS-101, 147–157. [Google Scholar] [CrossRef]
- De Conti, A.; Visacro, S. Analytical Representation of Single- and Double-Peaked Lightning Current Waveforms. IEEE Trans. Electromagn. Compat. 2007, 49, 448–451. [Google Scholar] [CrossRef]
- Darveniza, M.; Vlastos, A.E. The Generalized Integration Method for Predicting Impulse Volt-Time Characteristics for Non-Standard Wave Shapes—A Theoretical Basis. IEEE Trans. Electr. Insul. 1988, 23, 373–381. [Google Scholar] [CrossRef]
- IEEE Std 1410-2010; IEEE Guide for Improving the Lightning Performance of Electric Power Overhead Distribution Lines. Transmission and Distribution Committee of the IEEE Power Engineering Society: Piscataway, NJ, USA, 2010.
- Sarajcev, P. Monte Carlo Method for Estimating Backflashover Rates on High Voltage Transmission Lines. Electr. Power Syst. Res. 2015, 119, 247–257. [Google Scholar] [CrossRef]
- Datsios, Z.G.; Mikropoulos, P.N.; Tsovilis, T.E.; Angelakidou, S.I. Estimation of the Minimum Backflashover Current of Overhead Lines of the Hellenic Transmission System through ATP-EMTP Simulations Lightning and Power Systems. In Proceedings of the International Colloquium on Lightning and Power Systems (ICLPS), Bologna, Italy, 27–29 June 2016. [Google Scholar]
- CIGRE Working Group C4.23. Procedures for Estimating the Lightning Performance of Transmission Lines—New Aspects; Technical Brochure 839 2021; CIGRE: Paris, France, 2021; pp. 1–111. [Google Scholar]
- Rizk, F.A.M. A Model for Switching Impulse Leader Inception and Breakdown of Long Air-Gaps. IEEE Trans. Power Deliv. 1989, 4, 596–606. [Google Scholar] [CrossRef]
- Rizk, F.A.M. Modeling of Transmission Line Exposure to Direct Lightning Strokes. IEEE Trans. Power Deliv. 1990, 5, 1983–1997. [Google Scholar] [CrossRef]
- Dellera, L.; Garbagnati, E. Lightning Stroke Simulation by Means of the Leader Progression Model—I: Description of the Model and Evaluation of Exposure of Free-Standing Structures. IEEE Trans. Power Deliv. 1990, 5, 2009–2022. [Google Scholar] [CrossRef]
- Dellera, L.; Garbagnati, E. Lightning Stroke Simulation by Means of the Leader Progression Model—II: Exposure and Shielding Failure Evaluation of Overhead Lines with Assessment of Application Graphs. IEEE Trans. Power Deliv. 1990, 5, 2023–2029. [Google Scholar] [CrossRef]
- Becerra, M. On the Attachment of Lightning Flashes to Grounded Structures. Ph.D. Dissertation, Acta Universitatis Upsaliensis, Uppsala, Sweden, 2008. [Google Scholar]
- Arevalo, L. Numerical Simulations of Long Spark and Lightning Attachment. Ph.D. Dissertation, Acta Universitatis Upsaliensis, Uppsala, Sweden, 2011. [Google Scholar]
- Cooray, V. (Ed.) Lightning Electromagnetics; Institution of Engineering and Technology: London, UK, 2012; ISBN 9781849192156. [Google Scholar]
- Mikropoulos, P.N.; Tsovilis, T.E. Estimation of Lightning Incidence to Overhead Transmission Lines. IEEE Trans. Power Deliv. 2010, 25, 1855–1865. [Google Scholar] [CrossRef]
- Armstrong, H.R.; Whitehead, E.R. Field and Analytical Studies of Transmission Line Shielding. IEEE Trans. Power Appar. Syst. 1968, PAS-87, 270–281. [Google Scholar] [CrossRef]
- Brown, G.W.; Whitehead, E.R. Field and Analytical Studies of Transmission Line Shielding: Part II. IEEE Trans. Power Appar. Syst. 1969, PAS-88, 617–626. [Google Scholar] [CrossRef]
- Love, E.R. Improvements on Lightning Stroke Modeling and Applications to Design of EHV and UHV Transmission Lines. Master’s Thesis, University of Colorado Denver, Denver, CO, USA, 1973. [Google Scholar]
- Anderson, J.G. Lightning Performance of Transmission Lines. In Transmission Line Reference Book, 345 kV and Above; LaForest, J.J., Ed.; Electric Power Research Institute (EPRI): Palo Alto, CA, USA, 1982; pp. 545–598. [Google Scholar]
- Working Group on Lightning Performance of Transmission Lines. A Simplified Method for Estimating Lightning Performance of Transmission Lines. IEEE Trans. Power Appar. Syst. 1985, PAS-104, 918–932. [CrossRef]
- Darveniza, M.; Popolansky, F.; Whitehead, E.R. Lightning Protection of UHV Transmission Lines. Electra 1975, 41, 39–69. [Google Scholar]
- Lobato, A.; Cooray, V.; Arevalo, L. Attractive Zone of Lightning Rods Evaluated with a Leader Progression Model in a Common Building in Brazil. In Proceedings of the 2017 International Symposium on Lightning Protection (XIV SIPDA), Natal, Brazil, 2–6 October 2017; pp. 380–388. [Google Scholar]
- Gallimberti, I. The Mechanism of the Long Spark Formation. J. Phys. Colloq. 1979, 40, C7-193–C7-250. [Google Scholar] [CrossRef]
- Morrow, R.; Lowke, J.J. Streamer Propagation in Air. J. Phys. D Appl. Phys. 1997, 30, 614–627. [Google Scholar] [CrossRef]
- Goelian, N.; Lalande, P.; Bondiou-Clergerie, A.; Bacchiega, G.L.; Gazzani, A.; Gallimberti, I. A Simplified Model for the Simulation of Positive-Spark Development in Long Air Gaps. J. Phys. D Appl. Phys. 1997, 30, 2441–2452. [Google Scholar] [CrossRef]
- Lalande, P.; Bondiou-Clergerie, A.; Bacchiega, G.; Gallimberti, I. Observations and Modeling of Lightning Leaders. Comptes Rendus Phys. 2002, 3, 1375–1392. [Google Scholar] [CrossRef]
- Press, W.H.; Teukolsky, S.A.; Vetterling, W.T.; Flannery, B.P. Root Finding and Nonlinear Sets of Equations. In Numerical Recipes in C: The Art of Scientific Computing; Cambridge University Press: Cambridge, UK, 1992; pp. 347–393. [Google Scholar]
- Oliveira, A.J.; Schroeder, M.A.O.; Moura, R.A.R.; Correia de Barros, M.T.; Lima, A.C.S. Adjustment of Current Waveform Parameters for First Lightning Strokes: Representation by Heidler Functions. In Proceedings of the 2017 International Symposium on Lightning Protection (XIV SIPDA), Natal, Brazil, 2–6 October 2017; pp. 121–126. [Google Scholar]
- Visacro, S.; Soares, A.; Schroeder, M.A.O.; Cherchiglia, L.C.L.; de Sousa, V.J. Statistical Analysis of Lightning Current Parameters: Measurements at Morro Do Cachimbo Station. J. Geophys. Res. Atmos. 2004, 109, 1–11. [Google Scholar] [CrossRef]
- Visacro, S.; Mesquita, C.R.; De Conti, A.; Silveira, F.H. Updated Statistics of Lightning Currents Measured at Morro Do Cachimbo Station. Atmos. Res. 2012, 117, 55–63. [Google Scholar] [CrossRef]
- Visacro, S.; Santos, D.C.S.; Almeida, G.S.; Reis, A.C.A. Decontaminating Peak Current Distributions Using an Electrostatic-by-Step Representation of the Lightning Leaders That Considers the Effect of the Height of the Instrumented Tower and the Ground Relief. In Proceedings of the GROUND’2023 & 10th LPE International Conference on Grounding & Lightning Physics and Effects, Belo Horizonte, Brazil, 9–12 May 2023; Volume 1, pp. 38–42. [Google Scholar]
- De Conti, A.; Visacro, S.; Soares, A.; Schroeder, M.A.O. Revision, Extension, and Validation of Jordan’s Formula to Calculate the Surge Impedance of Vertical Conductors. IEEE Trans. Electromagn. Compat. 2006, 48, 530–536. [Google Scholar] [CrossRef]
- Kawai, M. Studies of the Surge Response on a Transmission Line Tower. IEEE Trans. Power Appar. Syst. 1964, 83, 30–34. [Google Scholar] [CrossRef]
- Motoyama, H.; Matsubara, H. Analytical and Experimental Study on Surge Response of Transmission Tower. In Proceedings of the 2000 Power Engineering Society Summer Meeting (Cat. No.00CH37134), Seattle, WA, USA, 16–20 July 2000; Volume 2, p. 855. [Google Scholar]
- Witzke, R.L.; Bliss, T.J. Surge Protection of Cable-Connected Equipment. Trans. AIEE 1950, 69, 527–542. [Google Scholar] [CrossRef]
- Shindo, T.; Suzuki, T. A New Calculation Method of Breakdown Voltage-Time Characteristics of Long Air Gaps. IEEE Trans. Power Appar. Syst. 1985, PAS-104, 1556–1563. [Google Scholar] [CrossRef]
- Mozumi, T.; Baba, Y.; Ishii, M.; Nagaoka, N.; Ametani, A. Numerical Electromagnetic Field Analysis of Archorn Voltages during a Back-Flashover on a 500-KV Twin-Circuit Line. IEEE Trans. Power Deliv. 2003, 18, 207–213. [Google Scholar] [CrossRef]
- Kherif, O.; Chiheb, S.; Teguar, M.; Mekhaldi, A.; Harid, N. Time-Domain Modeling of Grounding Systems’ Impulse Response Incorporating Nonlinear and Frequency-Dependent Aspects. IEEE Trans. Electromagn. Compat. 2018, 60, 907–916. [Google Scholar] [CrossRef]
- Grcev, L.; Kuhar, A.; Markovski, B.; Arnautovski-Toseva, V. Generalized Network Model for Energization of Grounding Electrodes. IEEE Trans. Electromagn. Compat. 2019, 61, 1082–1090. [Google Scholar] [CrossRef]
- Portela, C. Measurement and Modeling of Soil Electromagnetic Behavior. In Proceedings of the 1999 IEEE International Symposium on Electromagnetic Compatability. Symposium Record (Cat. No.99CH36261), Seattle, WA, USA, 2–6 August 1999; Volume 2, pp. 1004–1009. [Google Scholar]
- Alipio, R.; Visacro, S. Modeling the Frequency Dependence of Electrical Parameters of Soil. IEEE Trans. Electromagn. Compat. 2014, 56, 1163–1171. [Google Scholar] [CrossRef]
- Silveira, F.H.; Visacro, S. Lightning Performance of Transmission Lines: Impact of Current Waveform and Front-Time on Backflashover Occurrence. IEEE Trans. Power Deliv. 2019, 34, 2145–2151. [Google Scholar] [CrossRef]
- de Oliveira, A.J. Transmission Line Performance Under Lightning from a Probabilistic Perspective. Master’s Thesis, Universidade Federal de São João del-Rei, São João del-Rei, Brazil, 2018. (In Portuguese). [Google Scholar]
- Working Group on Estimating the Lightning Performance of Transmission Lines. Estimating Lightning Performance of Transmission Lines. II. Updates to Analytical Models. IEEE Trans. Power Deliv. 1993, 8, 1254–1267. [Google Scholar] [CrossRef]
- IEEE Std 998-2012; IEEE Guide for Direct Lightning Stroke Shielding of Substations. Transmission and Distribution Committee of the IEEE Power Engineering Society: Piscataway, NJ, USA, 2013; pp. 1–227.
- Martínez-Velasco, J.A.; Castrp-Aranda, F. EMTP Implementation of a Monte Carlo Method for Lightning Performance Analysis of Transmission Lines. Ingeniare 2008, 16, 169–180. [Google Scholar] [CrossRef]
- Hileman, A.R. Shielding of Transmission Lines. In Insulation Coordination for Power Systems; CRC Press: Boca Raton, FL, USA, 1999; pp. 241–274. ISBN 978-0-8247-9957-1. [Google Scholar]
- Hileman, A.R. The Lightning Flash. In Insulation Coordination for Power Systems; CRC Press: Boca Raton, FL, USA, 1999; pp. 195–240. ISBN 978-0-8247-9957-1. [Google Scholar]







| Type | Radius (mm) | DC Resistance (Ω/km) | |
|---|---|---|---|
| Phase conductor | PENGUIN 1 × 2.38 mm (int. rad.) | 7.16 | 0.2988 | 
| Shield wire | 5/16″ HS | 3.97 | 4.58 | 
| Attachment Model | FCR (%) | BFR (%) (at 20 Ω) | 
|---|---|---|
| Armstrong and Whitehead [20] | +4.86% | +14.32% | 
| Brown and Whitehead [21] | −5.56% | +4.02% | 
| Love [22]/Anderson [23] | −23.72% | −22.40% | 
| Darveniza [25] | −23.01% | −20.90% | 
| IEEE Working Group [24] | −32.81% | −29.07% | 
| IEEE Std 1243 [2] | −7.28% | 2.49% | 
| SB-LPM (This work) | −14.23% | −9.88% | 
| Disclaimer/Publisher’s Note: The statements, opinions and data contained in all publications are solely those of the individual author(s) and contributor(s) and not of MDPI and/or the editor(s). MDPI and/or the editor(s) disclaim responsibility for any injury to people or property resulting from any ideas, methods, instructions or products referred to in the content. | 
© 2025 by the authors. Licensee MDPI, Basel, Switzerland. This article is an open access article distributed under the terms and conditions of the Creative Commons Attribution (CC BY) license (https://creativecommons.org/licenses/by/4.0/).
Share and Cite
Lobato, A.T.; Arevalo, L.; Moura, R.A.R.; Schroeder, M.A.O.; Cooray, V. Simulation-Based Framework for Backflashover Rate Estimation in High-Voltage Transmission Lines Integrating Monte-Carlo, ATP-EMTP, and Leader Progression Model. Energies 2025, 18, 5670. https://doi.org/10.3390/en18215670
Lobato AT, Arevalo L, Moura RAR, Schroeder MAO, Cooray V. Simulation-Based Framework for Backflashover Rate Estimation in High-Voltage Transmission Lines Integrating Monte-Carlo, ATP-EMTP, and Leader Progression Model. Energies. 2025; 18(21):5670. https://doi.org/10.3390/en18215670
Chicago/Turabian StyleLobato, André T., Liliana Arevalo, Rodolfo A. R. Moura, Marco Aurélio O. Schroeder, and Vernon Cooray. 2025. "Simulation-Based Framework for Backflashover Rate Estimation in High-Voltage Transmission Lines Integrating Monte-Carlo, ATP-EMTP, and Leader Progression Model" Energies 18, no. 21: 5670. https://doi.org/10.3390/en18215670
APA StyleLobato, A. T., Arevalo, L., Moura, R. A. R., Schroeder, M. A. O., & Cooray, V. (2025). Simulation-Based Framework for Backflashover Rate Estimation in High-Voltage Transmission Lines Integrating Monte-Carlo, ATP-EMTP, and Leader Progression Model. Energies, 18(21), 5670. https://doi.org/10.3390/en18215670
 
        





 
       