Dynamic Energy-Aware Anchor Optimization for Contact-Based Indoor Localization in MANETs
Abstract
1. Introduction
- A contact-duration-based distance estimation model for MANET indoor positioning, enabling localization without requiring a dense infrastructure.
- A GMDS-based localization pipeline adapted to opportunistic contact graphs, dynamically incorporating anchors.
- A self-adaptive anchor selection mechanism that dynamically adjusts the number of reference nodes to maintain accuracy while minimizing energy consumption.
- An experimental evaluation in a simulated realistic indoor MANET, showing that the approach can achieve average positioning misalignment of 7 m in high-density scenarios and 12 m in low-density contexts. Meanwhile, the strategy reduces the energy footprint compared to fixed-anchor methods, in more than 25%, achieving the best combined score between accuracy and energy consumption.
2. Related Work
2.1. Range-Based and Fingerprinting Approaches
2.2. Localization Based on Connectivity and Hop Count
2.3. GMDS and MDS Based Localization in WSNs and MANETs
2.4. Encounter-Based Localization and Opportunistic Networks
2.5. Gap and Positioning of This Work
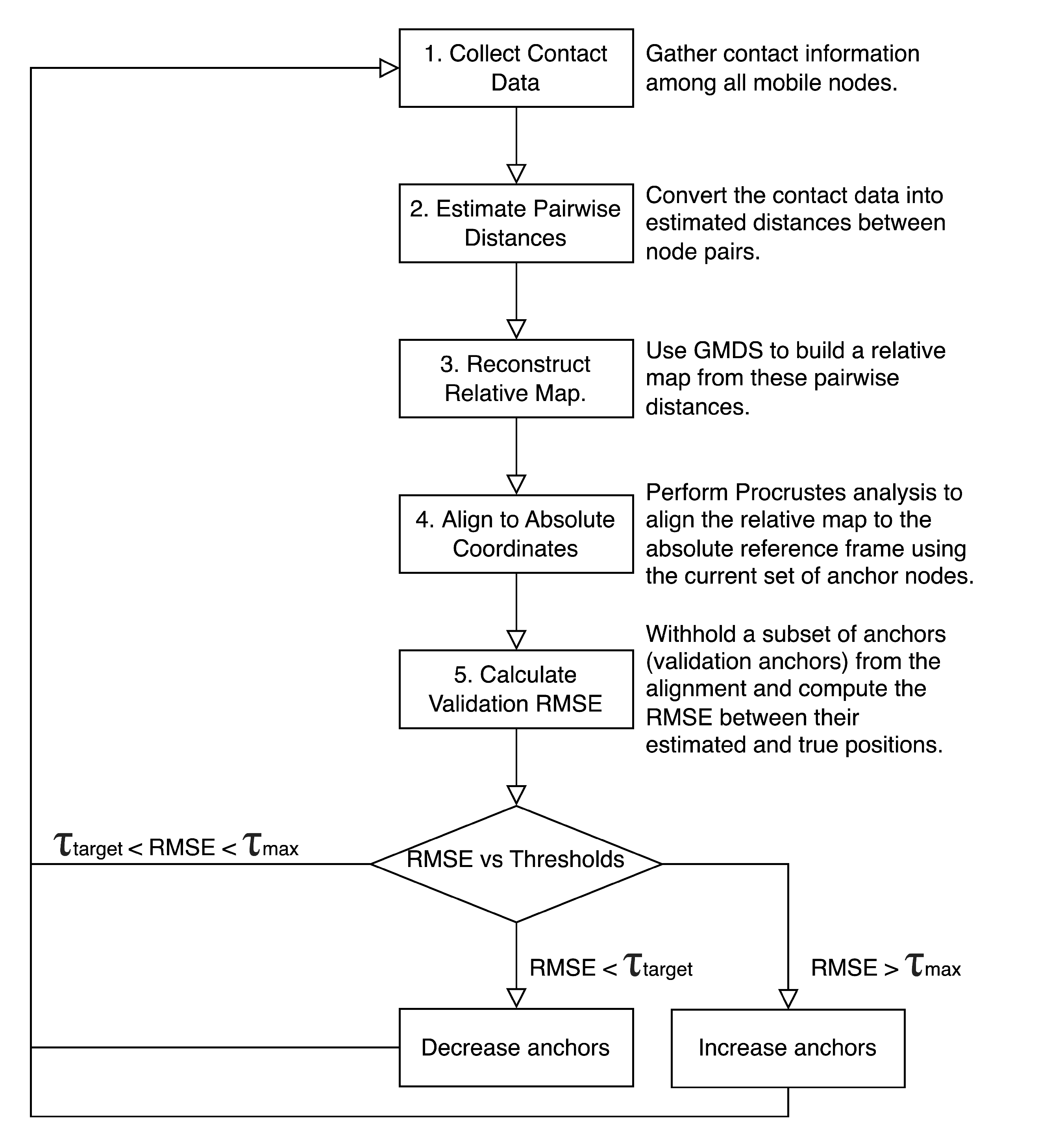
3. Dynamic Anchor Optimization for Indoor Location
3.1. Overview
3.2. Architecture
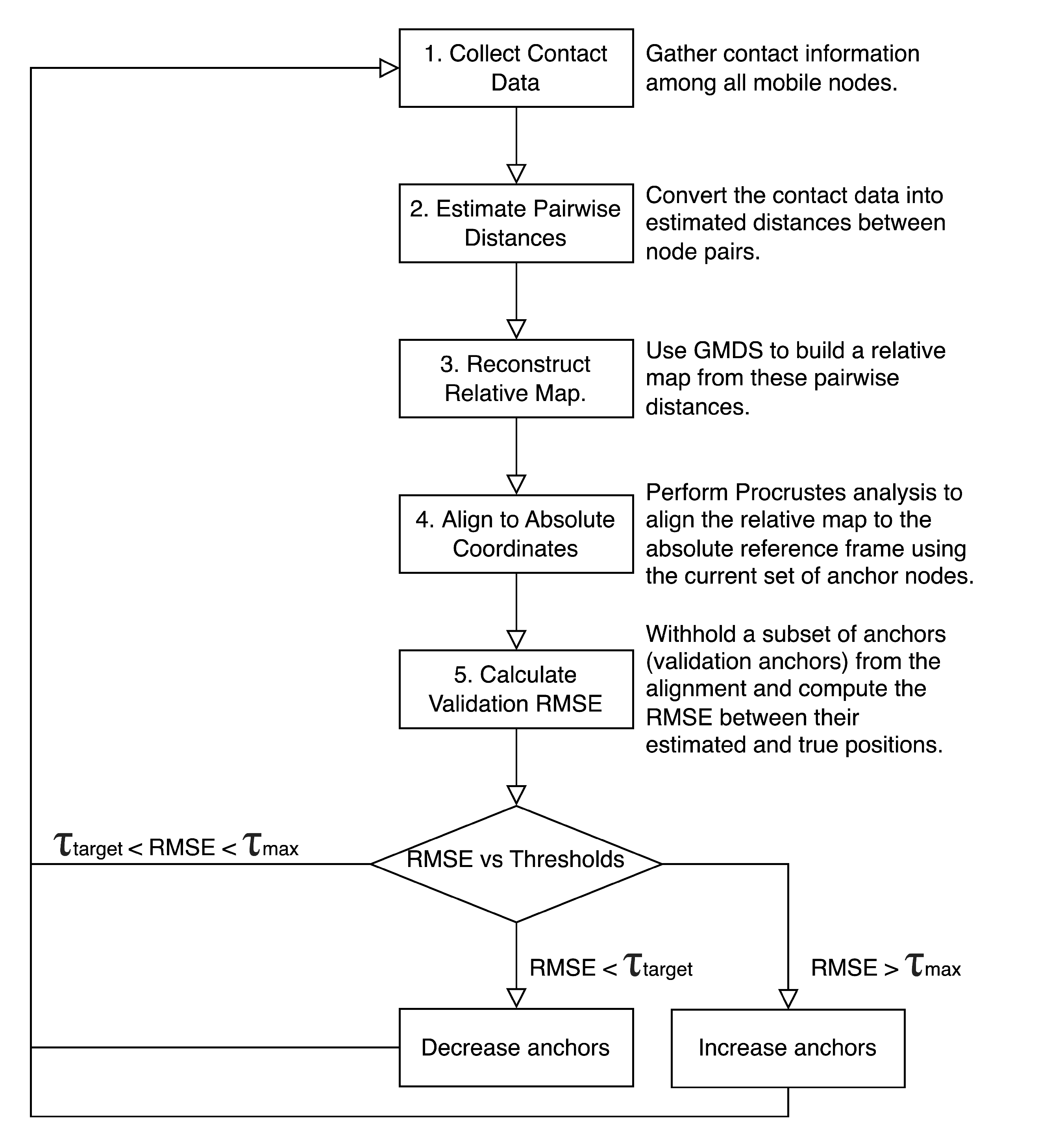
3.3. Contact-Based Location Estimation
| Algorithm 1: Localization and mapping in window t (GMDS + Procrustes + validation) |
Input: Contact logs over window t; decay factor (default ); probability floor (default ); Current anchor set with known absolute positions ; Withheld validation anchors ; Previous absolute estimate (optional); GMDS/SMACOF solver hyperparameters. Output: Absolute estimates for all nodes; Validation error on ; Self-consistency metrics ; Per-window energy .
|
| Algorithm 2: Self-adaptive anchor presence (validation-driven + energy-aware) |
![]() |
3.4. Self-Adaptive Anchor Presence
3.5. Computational Complexity
3.6. Energy Optimization
- 1.
- Per-window limit: A maximum instantaneous energy consumption (in J/window) is enforced for each window, ensuring that a sudden increase in anchor count does not exceed device or network capacity.
- 2.
- Cumulative budget: Over the operational period T, the cumulative consumption (in J) must not exceed a global energy budget . This prevents scenarios in which the adaptation mechanism gradually depletes system energy reserves.
- Reassigning existing anchors to maximize geometric coverage without increasing their number.
- Temporarily increasing the reflection-correction evaluation frequency to mitigate positioning error.
- Dynamically adjusting and thresholds to operate in a more energy-efficient regime.
4. Evaluation
4.1. Simulated Setup
4.1.1. Proof-of-Concept
- Weak anchor geometry. Nearly collinear or clustered train anchors make the alignment unstable. Then, the implementation uses coverage-aware selection with a farthest first rule to improve spatial spread.
- Too few anchors. A small increases variance in the estimated pose. Thus, the implementation enforces a minimum anchor count , preferably three anchors that are not collinear in two dimensions.
- Reflection ambiguity. With limited geometry, direct and mirrored fits can score similarly. Aiming to address this, the simulator performs an explicit reflection check and keeps the fit with the smaller anchor error.
- Inter window pose jitter. Promotions and demotions change and can cause small jumps in . As a response to this, the proposal applies temporal smoothing to the values.
4.1.2. Simulated Scenarios
- Node density. Defined as the number of nodes in the scenario. This variable directly impacts network connectivity, completeness of the distance matrix, and contact frequency.
- Anchor configuration. The number and spatial distribution of anchors influence the accuracy of the Procrustes alignment and the resulting absolute position estimates. Simulations considered both fixed-anchor and dynamic-anchor configurations.
- Localization update strategy. This parameter specifies an estimation based on the windows, where positions are updated once per fixed-length time interval. The window length is set to 40 s based on sensitivity tests, balancing responsiveness and computational cost.
- Energy model. Energy consumption is modeled at the per-window level, with each active anchor incurring a fixed cost in Joules (J/window). This cost accounts for beacon broadcasts, synchronization traffic, and processing overhead in anchor mode. The parameter is calibrated for a representative IoT-class device, such as ESP32, operating at 1 Hz beaconing, yielding J/window, which enables realistic battery lifetime projections.
- Low-Density scenario. This is characterized by sparse connectivity, incomplete distance matrices, and longer inter-contact times. This scenario stresses the localization process, as fewer anchor opportunities and longer gaps between encounters increase the uncertainty in pairwise distance estimation. The context settings emulate large open spaces with few moving devices, such as warehouses, low-occupancy office floors, or industrial facilities during off-peak hours.
- High-Density scenario. This is characterized by frequent contacts and more complete distance matrices, improving the reliability of GMDS reconstruction. However, the higher number of simultaneous transmissions increases the likelihood of energy consumption. The context settings model environments such as conference halls, crowded factories, or open-plan offices during peak activity.
4.1.3. Benchmark Algorithms
- Fixed-anchor MDS (FIXK). These approaches perform classical MDS alignment to a fixed set of anchors with known absolute positions. We evaluate variants with different numbers of anchors, FIXK3, FIXK6, FIXK9, and FIXK12, and two selection schemes: S1, where anchors are preselected based on a uniform spatial distribution, and S2, where anchors are chosen using a farthest-first criterion to maximize geometric diversity. During the simulation, the anchor set remains constant across all time windows, enabling a direct assessment of how anchor quantity affect accuracy and energy usage.
- SMACOF-based MDS. This method applies the SMACOF iterative optimization framework [28] to refine the multidimensional scaling results. Unlike classical MDS, which has a closed decomposition solution, SMACOF iteratively minimizes stress, making it better suited for noisy or incomplete distance matrices, reducing the cost of higher computational complexity.
- GMDS. The original algorithm first constructs a graph from observed pairwise connectivity or contact probabilities [31]. GMDS is well established in network localization, particularly when direct Euclidean distances are unavailable or sparse, and serves as a representative of approaches guided by topologies.
- Benchmark self-adaptive strategies. The proposed adaptive approach dynamically adjusts the number of active anchors and their selection based on recent localization performance and predefined hysteresis thresholds. To isolate the benefit of adaptive anchor control from the choice of the underlying position estimator, we also implement adaptive variants using SMACOF and classical MDS in place of GMDS. This enables a multi-dimensional comparison between static and adaptive anchor management, and between different estimation cores, but keeping identical mobility and noise conditions.
4.2. Results
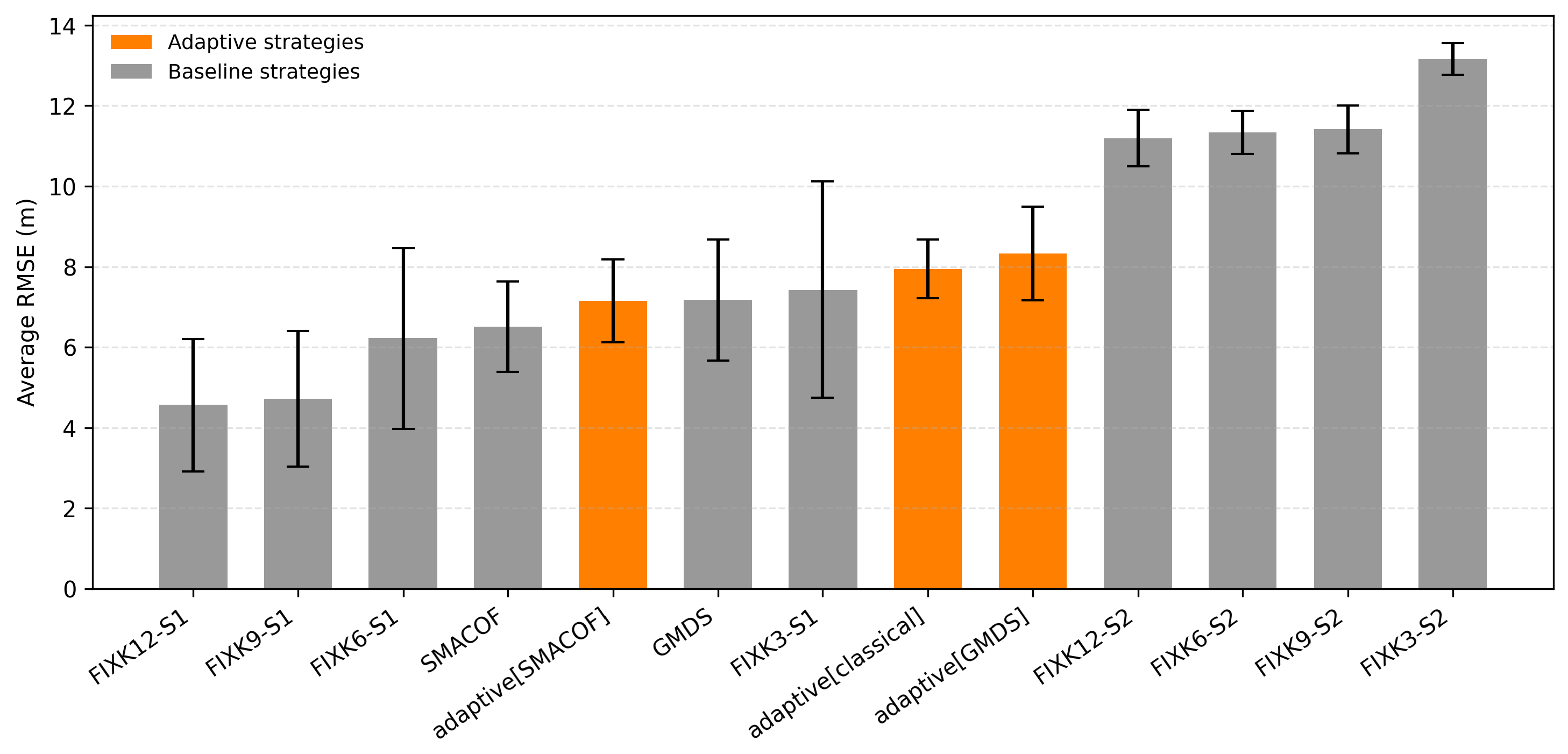
4.2.1. Low-Density Scenario
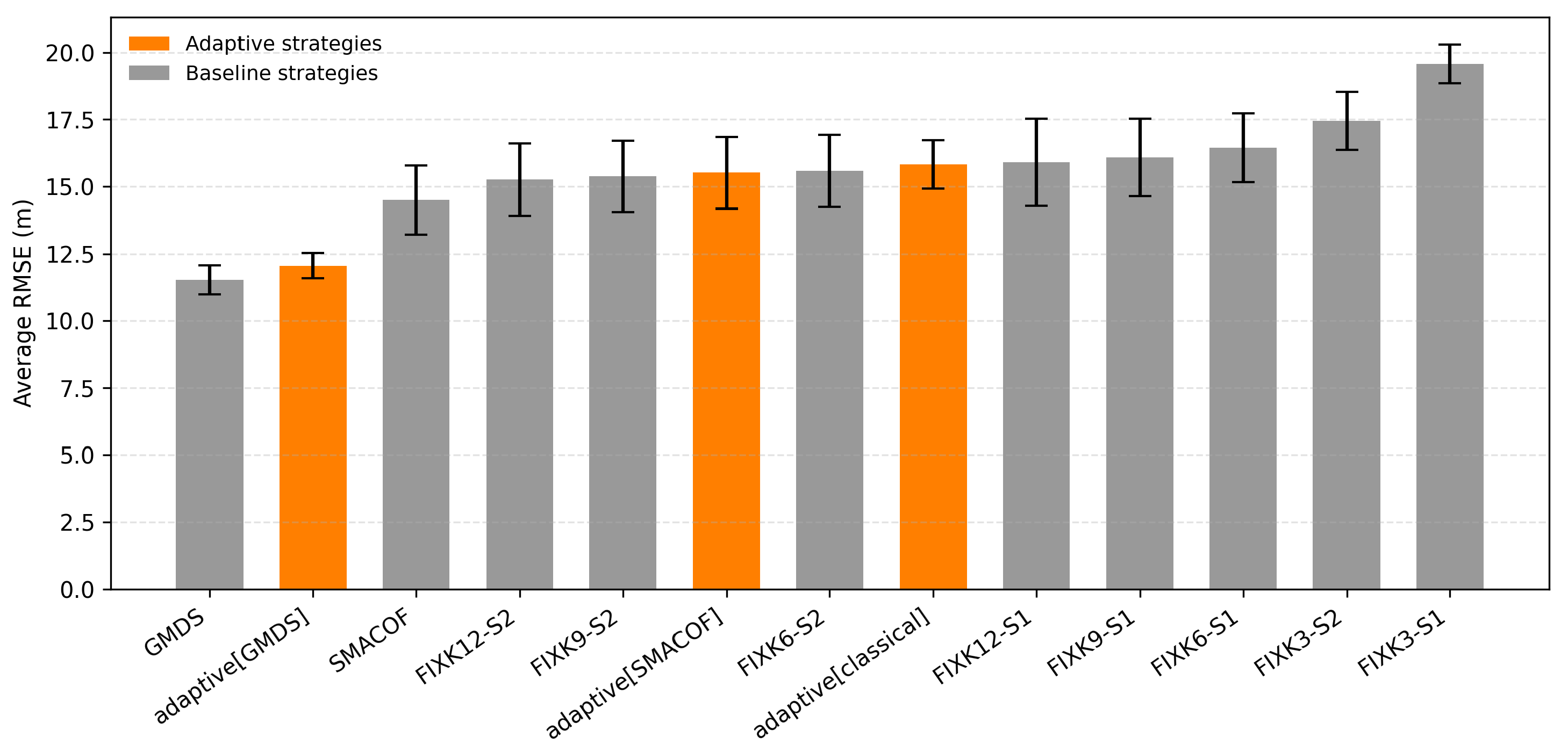
Accuracy Performance
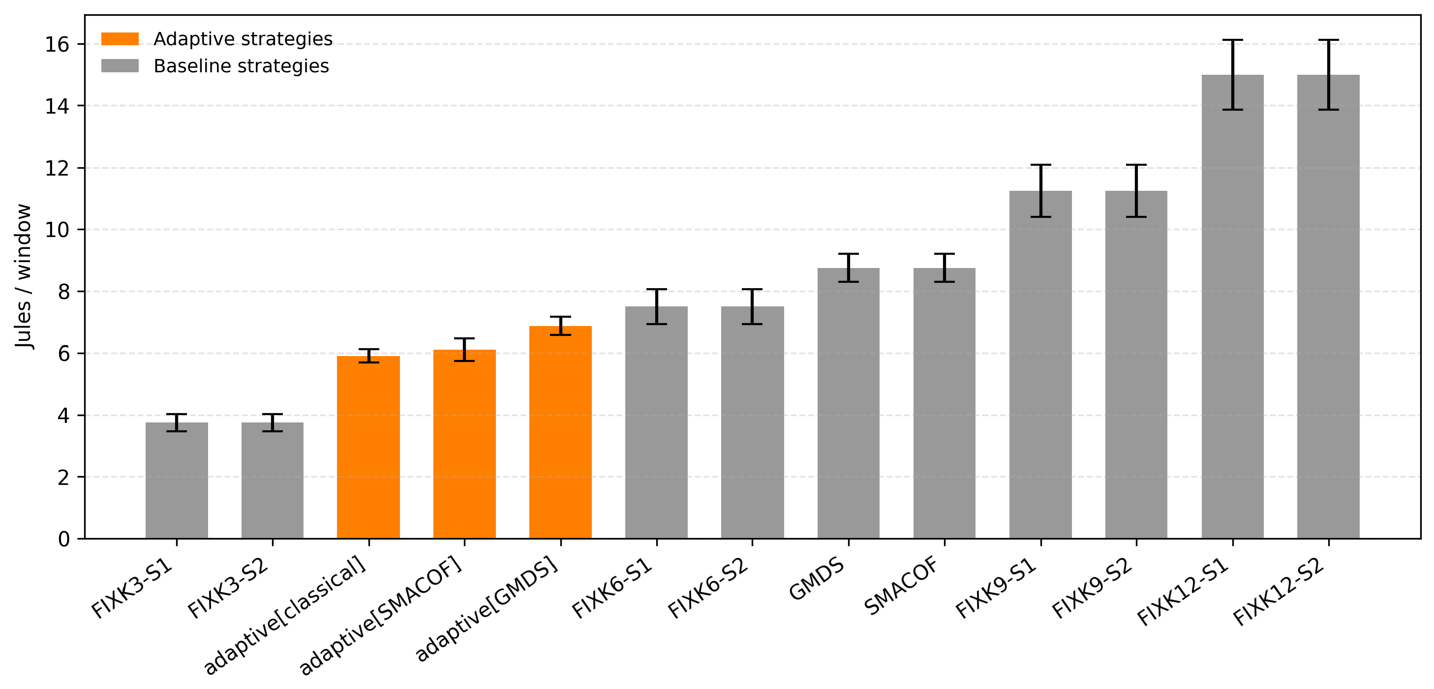
Energy Consumption
4.2.2. High-Density Scenario
Accuracy Performance
Energy Consumption
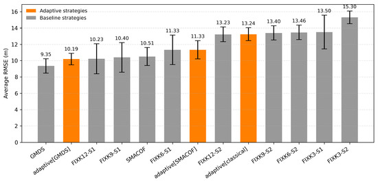
4.2.3. Global Results
Runtime Results
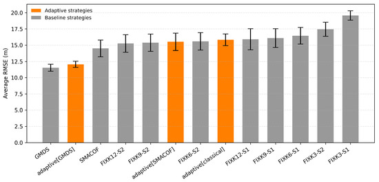
Global Accuracy
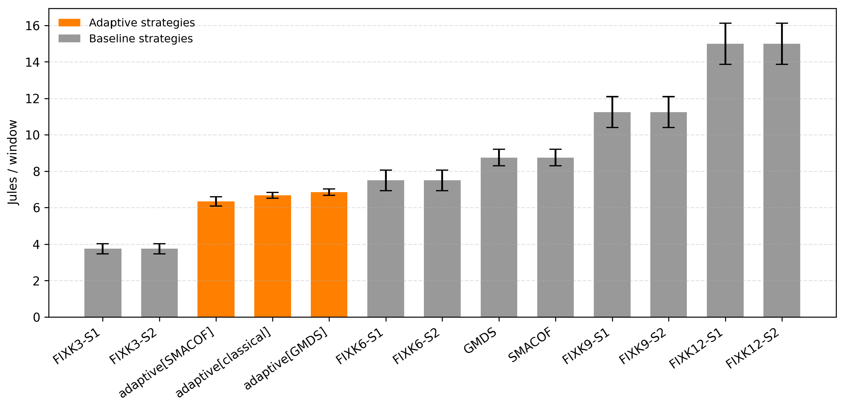
Global Energy Consumption
Combined Score and Pareto Analysis
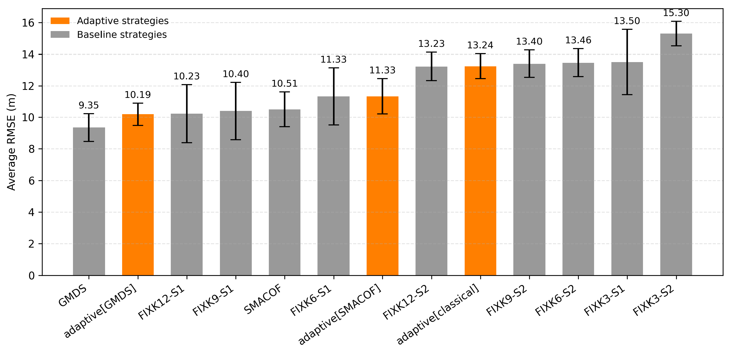
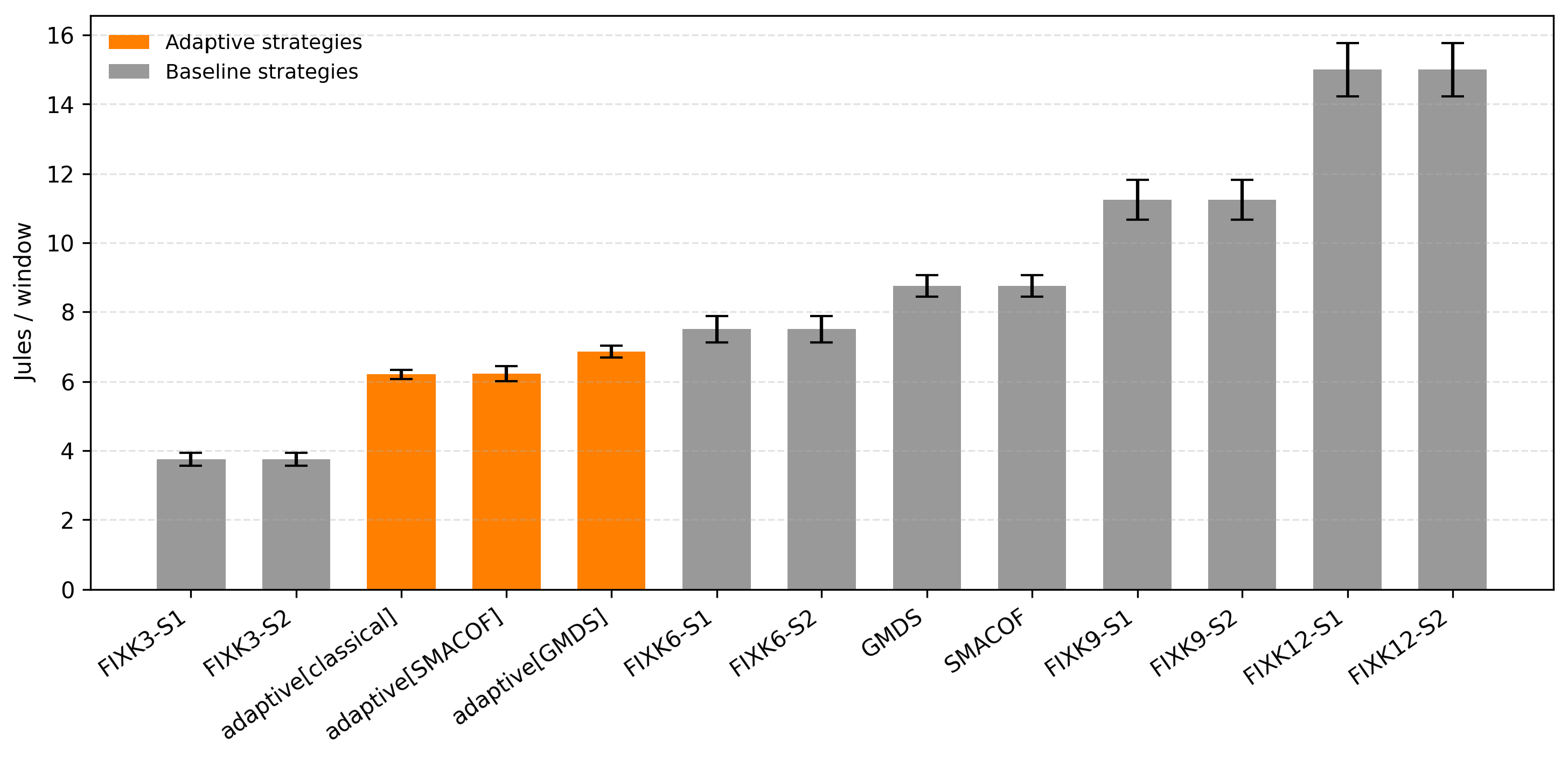
- Adaptive cluster, shaped by 6–7 energy J/window: adaptive[GMDS] sits around 10.2 m, 6.9 u; and adaptive[SMACOF] near 11.4 m, 6.2 u. Both are on the Pareto front: nothing beats them simultaneously in both accuracy and energy. They give sizable energy savings versus GMDS for a modest accuracy cost.
- GMDS baseline, positioned at 9.4 m, 8.8 u. This approach obtains the best accuracy among reduced anchor baselines but at higher energy than the adaptive front. GMDS and adaptive[GMDS] mutually non-dominate each other. As a result, GMDS is more accurate, while adaptive uses less energy.
- Mid/high-anchor fixed baselines, located around 7.5–15 u: FIXK6-S1 sometimes grazes the front in the mid-energy band, but FIXK9/FIXK12 variants clearly fall off the front. These strategies only improve accuracy marginally at a large energy premium, so they are dominated by adaptive methods or GMDS.
- Ultra-low-energy corner, composed by FIXK3. This strategy sits at 3.7 u but with a high RMSE, around 13 and 15 m. It can touch the extreme low-energy end of the front, yet it is far from optimal in accuracy; any practical budget above 4 J/window is better served by an adaptive strategy.
4.3. Discussion
5. Conclusions and Future Work
Author Contributions
Funding
Institutional Review Board Statement
Informed Consent Statement
Data Availability Statement
Conflicts of Interest
References
- Anagnostopoulos, G.G.; Barsocchi, P.; Crivello, A.; Pendão, C.; Silva, I.; Torres-Sospedra, J. ORDIP: Principle, Practice and Guidelines for Open Research Data in Indoor Positioning. Internet Things 2025, 30, 101485. [Google Scholar] [CrossRef]
- Aziz, T.; Koo, I. A Comprehensive Review of Indoor Localization Techniques and Applications in Various Sectors. Appl. Sci. 2025, 15, 1544. [Google Scholar] [CrossRef]
- Sarkar, N.I.; Ali, M.J. A Study of MANET Routing Protocols in Heterogeneous Networks: A Review and Performance Comparison. Electronics 2025, 14, 872. [Google Scholar] [CrossRef]
- Yamazaki, T.; Ohta, T. A MANET-based Building Evacuation System Considering User Characteristics. In Proceedings of the 2021 IEEE Intl Conf on Dependable, Autonomic and Secure Computing, Intl Conf on Pervasive Intelligence and Computing, Intl Conf on Cloud and Big Data Computing, Intl Conf on Cyber Science and Technology Congress (DASC/PiCom/CBDCom/CyberSciTech), Virtual, 25–28 October 2021; pp. 124–129. [Google Scholar] [CrossRef]
- Tongesai, M. Enhancing MANETs for military applications: A comprehensive review of innovations, challenges, and research gaps. I-Manag. J. Wirel. Commun. Netw. 2025, 13, 46. [Google Scholar] [CrossRef]
- Wan, S.; Gu, C.; Shu, Y.; Shi, Z. Last-seen time is critical: Revisiting RSSI-based WiFi indoor localization. Signal Process. 2025, 231, 109756. [Google Scholar] [CrossRef]
- Mohsen, M.; Rizk, H.; Yamaguchi, H.; Youssef, M. TimeSense: Multiperson Device-Free Indoor Localization via RTT. IEEE Internet Things J. 2024, 11, 39593–39605. [Google Scholar] [CrossRef]
- Furfari, F.; Girolami, M.; Mavilia, F.; Barsocchi, P. Indoor localization algorithms based on Angle of Arrival with a benchmark comparison. Ad Hoc Netw. 2025, 166, 103691. [Google Scholar] [CrossRef]
- Kharmeh, S.A.; Natsheh, E.; Nasrallah, R.; Masri, M. Triangulation-Enhanced WiFi-Based Autonomous Localization and Navigation System: A Low-Cost Approach. In Proceedings of the 2024 22nd International Conference on Research and Education in Mechatronics (REM), Amman, Jordan, 24–26 September 2024; pp. 69–74. [Google Scholar] [CrossRef]
- Fathalizadeh, A.; Moghtadaiee, V.; Alishahi, M. A survey and future outlook on indoor location fingerprinting privacy preservation. Comput. Netw. 2025, 262, 111199. [Google Scholar] [CrossRef]
- Gomi, H.; Tsubouchi, K.; Teraoka, T. Indoor Trajectory Estimation with Passerby Data without GPS nor WiFi Signals. In Proceedings of the 2025 IEEE International Conference on Pervasive Computing and Communications Workshops and other Affiliated Events (PerCom Workshops), Los Alamitos, CA, USA, 17–21 March 2025; pp. 588–593. [Google Scholar] [CrossRef]
- Wang, Y.; Fu, J.; Cao, Y. A weighted hybrid indoor positioning method based on path loss exponent estimation. Ad Hoc Netw. 2025, 166, 103684. [Google Scholar] [CrossRef]
- Souissi, R.; Sahnoun, S.; Baazaoui, M.K.; Fromm, R.; Fakhfakh, A.; Derbel, F. A Self-Localization Algorithm for Mobile Targets in Indoor Wireless Sensor Networks Using Wake-Up Media Access Control Protocol. Sensors 2024, 24, 802. [Google Scholar] [CrossRef]
- Yu, H.; She, C.; Hu, Y.; Wang, G.; Wang, R.; Vucetic, B.; Li, Y. Floor-Plan-Aided Indoor Localization: Zero-Shot Learning Framework, Data Sets, and Prototype. IEEE J. Sel. Areas Commun. 2024, 42, 2472–2486. [Google Scholar] [CrossRef]
- Li, S.; Tang, Z.; Kim, K.S.; Smith, J.S. On the Use and Construction of Wi-Fi Fingerprint Databases for Large-Scale Multi-Building and Multi-Floor Indoor Localization: A Case Study of the UJIIndoorLoc Database. Sensors 2024, 24, 3827. [Google Scholar] [CrossRef] [PubMed]
- Juston, M.F.R.; Norris, W.R. Ad Hoc Mesh Network Localization Using Ultra-Wideband for Mobile Robotics. Sensors 2024, 24, 1154. [Google Scholar] [CrossRef]
- Di Franco, C.; Marinoni, M.; Bini, E.; Buttazzo, G.C. Dynamic Multidimensional Scaling with anchors and height constraints for indoor localization of mobile nodes. Robot. Auton. Syst. 2018, 108, 28–37. [Google Scholar] [CrossRef]
- Fabris, A.; Kerusauskas Rayel, O.; Luiz Rebelatto, J.; Luiz Moritz, G.; Demo Souza, R. AoA and RSSI-Based BLE Indoor Positioning System With Kalman Filter and Data Fusion. IEEE Internet Things J. 2025, 12, 15348–15359. [Google Scholar] [CrossRef]
- Gaona Juárez, R.; García-Barrientos, A.; Acosta-Elias, J.; Stevens-Navarro, E.; Galván, C.G.; Palavicini, A.; Monroy Cruz, E. Design and Implementation of an Indoor Localization System Based on RSSI in IEEE 802.11ax. Appl. Sci. 2025, 15, 2620. [Google Scholar] [CrossRef]
- Shanthi, C.; Porselvi, R.; A, B.R.; Ganesan, S. Optimizing Indoor Localization and Tracking: An Energy-Efficient Approach Using Received Signal Strength and Mixstyle Neural Networks with Implicit Unscented Particle Filtering. Int. J. Commun. Syst. 2025, 38, e70069. [Google Scholar] [CrossRef]
- Li, Z.; Liu, W. An improved algorithm for indoor localization fingerprint database construction. Ad Hoc Netw. 2025, 175, 103858. [Google Scholar] [CrossRef]
- Liu, J.; Yang, Z.; Zlatanova, S.; Li, S.; Yu, B. Indoor Localization Methods for Smartphones with Multi-Source Sensors Fusion: Tasks, Challenges, Strategies, and Perspectives. Sensors 2025, 25, 1806. [Google Scholar] [CrossRef]
- Zhang, W.; Yang, X. DV-Hop Location Algorithm Based on RSSI Correction. Electronics 2023, 12, 1141. [Google Scholar] [CrossRef]
- Shang, Y.; Ruml, W. Improved MDS-based localization. In Proceedings of the IEEE INFOCOM 2004, Hong Kong, China, 7–11 March 2004; Volume 4, pp. 2640–2651. [Google Scholar] [CrossRef]
- Xia, X.; Yan, J.; Wu, C.; Meng, C.; Yan, X. ASL: An Accurate and Stable Localization algorithm for multi-hop irregular networks. J. Netw. Comput. Appl. 2025, 239, 104172. [Google Scholar] [CrossRef]
- Costa, J.A.; Patwari, N.; Hero, A.O. Distributed weighted-multidimensional scaling for node localization in sensor networks. ACM Trans. Sen. Netw. 2006, 2, 39–64. [Google Scholar] [CrossRef]
- Yan, W.; Yin, F.; Wang, J.; Leus, G.; Zoubir, A.M.; Tian, Y. Attentional Graph Neural Network Is All You Need for Robust Massive Network Localization. IEEE J. Sel. Top. Signal Process. 2025, 1–16. [Google Scholar] [CrossRef]
- Lyu, Z.; Bai, S.; Wang, X.; Li, L.; Zhang, G. Wi-Fi RTT Indoor Positioning Using Visibility Matching with NLOS Receptions. IEEE Internet Things J. 2025, 12, 18779–18790. [Google Scholar] [CrossRef]
- Shang, S.; Wang, L. Overview of WiFi fingerprinting-based indoor positioning. IET Commun. 2022, 16, 725–733. [Google Scholar] [CrossRef]
- Tao, Y.; Tan, S.; Yan, R.; Liu, N.; Wang, W.; Lü, J. CBWF+: Collaboratively Enhanced Lightweight Circular-Boundary-Based WiFi Fingerprinting. IEEE Internet Things J. 2025, 12, 650–662. [Google Scholar] [CrossRef]
- Saeed, N.; Nam, H.; Al-Naffouri, T.Y.; Alouini, M.S. A State-of-the-Art Survey on Multidimensional Scaling-Based Localization Techniques. IEEE Commun. Surv. Tutor. 2019, 21, 3565–3583. [Google Scholar] [CrossRef]












| Reference | Core Technique | Distance Metric | Anchor Strategy | Energy Awareness | Suitability for Mobile/Sparse MANETs |
|---|---|---|---|---|---|
| Shang et al. [24] | Classical MDS (MDS-MAP) | Hop-Count/RSSI | Fixed | Not a primary goal | Low (assumes near-complete data) |
| Costa et al. [26] | Distributed Weighted-MDS | Assumed known/measured | Pre-selected, Static | No | Medium (focus on distributed computation) |
| Souissi et al. [13] | MDS-based | RSSI | Fixed | Indirect (Wake-Up Protocol) | Low (assumes stable sensor network) |
| Modern works [30] | Probabilistic/ML | Wi-Fi Proximity Events | Static | Not a primary goal | Medium (focus on pedestrian tracking) |
| This Work | GMDS + Procrustes | Contact Duration/Frequency | Dynamic/Self-Adaptive | Explicit/Primary Goal | High (designed for this context) |
| Symbol | Definition |
|---|---|
| anchor energy cost per window (J/window) | |
| per-window anchor energy, (J) | |
| per-window energy cap (J/window) | |
| cumulative energy budget over a run (J) | |
| cumulative energy consumed up to window t (J) |
| Block | Parameter | Low Setting | High Setting |
|---|---|---|---|
| Density | Nodes N | 15 (LD) | 40 (HD) |
| Area (m)2 | |||
| Windows | Windows per run T | 40 | |
| Mobility | Mobility sigma | (L) | (H) |
| Reflection allowed | true | ||
| Noise | Position noise std | (L) | (H) |
| Energy model | Per-window anchor cost (J/window) | (E = L) | (E = H) |
| Cumulative budget (J) | 80 (E = L) | 400 (E = H) | |
| Controller | |||
| Initial anchors ; step | 2; 1 | ||
| Patience ; cooldown | ; 2 | ||
| Target bands (logged) | |||
| Distances | Decay | ||
| Probability floor | as in core text | ||
| Methods | Adaptive cores | classical, GMDS, SMACOF | |
| Baselines (fixed-K) | FIXK3, FIXK6, FIXK9, FIXK12 | ||
| GMDS/SMACOF baselines | GMDS (contact_threshold ); SMACOF (iters 100) | ||
| Costs & guards | Objective weights | , cost_per_anchor = | |
| Spike/per-node guards | spike_guard = false, per_node_jump_guard = false | ||
| Max node jump (m) | |||
| Execution | Seeds (independent runs) | 2 | |
| Output frames/GIF | disabled (save_frames = false, gif = false, fps = 4) | ||
| Contact threshold (GMDS) | |||
| Strategy | LD (s) | HD (s) |
|---|---|---|
| adaptive[GMDS] | 32 | 72 |
| adaptive[SMACOF] | 34 | 75 |
| adaptive[classical] | 31 | 67 |
| GMDS baseline | 32 | 83 |
| SMACOF baseline | 36 | 79 |
| FIXK3 | 48 | 41 |
| FIXK6 | 34 | 35 |
| FIXK9 | 29 | 48 |
| FIXK12 | 32 | 59 |
| Strategy Category | Avg. RMSE (m) | Avg. Energy (J/Window) | Combined Score |
|---|---|---|---|
| - Proposed Adaptive Methods | |||
| adaptive[GMDS] | 10.19 | 6.9 | 0.791 (Best) |
| adaptive[SMACOF] | 11.33 | 6.2 (Lowest Energy in Group) | 0.724 |
| - High-Performance Fixed Baselines | |||
| GMDS Baseline | 9.35 (Best Accuracy) | 8.8 | 0.778 |
| FIXK9 (High-Anchor) | 11.82 | 9.6 | 0.453 |
| - Low-Energy Fixed Baseline | |||
| FIXK3 (Low-Anchor) | 14.40 | 3.7 | 0.608 |
Disclaimer/Publisher’s Note: The statements, opinions and data contained in all publications are solely those of the individual author(s) and contributor(s) and not of MDPI and/or the editor(s). MDPI and/or the editor(s) disclaim responsibility for any injury to people or property resulting from any ideas, methods, instructions or products referred to in the content. |
© 2025 by the authors. Licensee MDPI, Basel, Switzerland. This article is an open access article distributed under the terms and conditions of the Creative Commons Attribution (CC BY) license (https://creativecommons.org/licenses/by/4.0/).
Share and Cite
Jesús-Azabal, M.; Zheng, M.; Soares, V.N.G.J. Dynamic Energy-Aware Anchor Optimization for Contact-Based Indoor Localization in MANETs. Information 2025, 16, 855. https://doi.org/10.3390/info16100855
Jesús-Azabal M, Zheng M, Soares VNGJ. Dynamic Energy-Aware Anchor Optimization for Contact-Based Indoor Localization in MANETs. Information. 2025; 16(10):855. https://doi.org/10.3390/info16100855
Chicago/Turabian StyleJesús-Azabal, Manuel, Meichun Zheng, and Vasco N. G. J. Soares. 2025. "Dynamic Energy-Aware Anchor Optimization for Contact-Based Indoor Localization in MANETs" Information 16, no. 10: 855. https://doi.org/10.3390/info16100855
APA StyleJesús-Azabal, M., Zheng, M., & Soares, V. N. G. J. (2025). Dynamic Energy-Aware Anchor Optimization for Contact-Based Indoor Localization in MANETs. Information, 16(10), 855. https://doi.org/10.3390/info16100855

