Sign in to use this feature.

Years

Between: -

Subjects

remove_circle_outline
remove_circle_outline
remove_circle_outline
remove_circle_outline
remove_circle_outline
remove_circle_outline
remove_circle_outline
remove_circle_outline
remove_circle_outline

Journals

Article Types

Countries / Regions

remove_circle_outline
remove_circle_outline
remove_circle_outline
remove_circle_outline

Search Results (219)

Search Parameters:
Keywords = thermal spray technology

Order results
Result details
Results per page
Select all
Export citation of selected articles as:
22 pages, 1933 KB  
Systematic Review
Bioactive Compounds, Technological Processing, and Functional Applications of Solanum betaceum: A Systematic Review (2020–2025)
by Hexon Omar Anticona Coello, Jheyson Revilla Alva, Bruno Diaz Delgado, Armstrong Barnard Fernández Jeri, Lucas Dalvil Muñoz Astecker, Robert Javier Cruzalegui Fernández, Flavio Lozano-Isla and Erick Aldo Auquiñivin Silva
Appl. Sci. 2026, 16(2), 880; https://doi.org/10.3390/app16020880 - 15 Jan 2026
Viewed by 95
Abstract
Solanum betaceum (tamarillo) is Andean fruit rich in secondary metabolites with increasing relevance in food, nutraceutical, and biotechnological research. Despite growing scientific interest, the available evidence remains fragmented and methodologically heterogeneous. This systematic review consolidates and critically analyzes recent studies on the bioactive [...] Read more.
Solanum betaceum (tamarillo) is Andean fruit rich in secondary metabolites with increasing relevance in food, nutraceutical, and biotechnological research. Despite growing scientific interest, the available evidence remains fragmented and methodologically heterogeneous. This systematic review consolidates and critically analyzes recent studies on the bioactive composition of S. betaceum, the effects of conventional and emerging processing technologies, and the functional activities reported for fresh fruits, by-products, and processed matrices. A comprehensive search of Lens.org, Scopus, and PubMed was conducted following PRISMA 2020 guidelines. From 1049 records identified, 65 studies published between 2020 and 2025 met the inclusion criteria and were included in the qualitative synthesis. The literature reveals substantial variability in polyphenols, anthocyanins, carotenoids, vitamin C, and other metabolites, driven by cultivar, maturity stage, edaphoclimatic conditions, and analytical approaches. Emerging technologies such as ultrasound-assisted extraction, high-pressure homogenization, and spray drying generally improved the recovery and stability of bioactive compounds, whereas intensive thermal treatments were associated with degradation of thermolabile constituents. Functional evidence supports antioxidant, antimicrobial, metabolic modulatory, and cytotoxic activities; however, interpretation is limited by inconsistent reporting practices, limited bioaccessibility assessment, and the predominance of in vitro models. Overall, S. betaceum shows considerable functional and technological potential, but further standardized methodologies, mechanistic studies, and human-relevant models are required to support translational and industrial validation. Full article
(This article belongs to the Section Food Science and Technology)
Show Figures

Figure 1

25 pages, 4000 KB  
Article
Development and Performance of a Vacuum-Based Seawater Desalination System Driven by a Solar Water Heater
by Wichean Singmai, Pichet Janpla, Suparat Jamsawang, Kittiwoot Sutthivirode and Tongchana Thongtip
Thermo 2026, 6(1), 3; https://doi.org/10.3390/thermo6010003 - 26 Dec 2025
Viewed by 325
Abstract
This work proposes the design, construction, and field test of a vacuum seawater desalination system (VSDS) driven by an evacuated tube solar collector (with a total absorption area of 1.86 m2) under tropical climatic condition (Thailand ambient at latitude 13°43′06.0″ N, [...] Read more.
This work proposes the design, construction, and field test of a vacuum seawater desalination system (VSDS) driven by an evacuated tube solar collector (with a total absorption area of 1.86 m2) under tropical climatic condition (Thailand ambient at latitude 13°43′06.0″ N, longitude 100°32′25.4″ E). The VSDS prototype was designed and constructed to be driven by hot water, which is produced by two heat source conditions: (1) an electric heater for laboratory tests and (2) an evacuated tube solar collector for field tests under real climatic conditions. A comparative experimental study to assess the ability to produce fresh water between a conventional dripping/pipe feed column and spray falling film column is proposed in the first part of the discussion. This is to demonstrate the advantage of the spray falling film distillation column. The experimental method is implemented based on the batch system, in which the cycle time (distillation time) considered is 10–20 min so that heat loss via the concentrated seawater blow down is minimized. Later, the field test with solar irradiance under real climatic conditions is demonstrated to assess the freshwater yield and the system performance. The aim is to provide evidence of the proposed vacuum desalination system in real operation. It is found experimentally that the VSDS working with spray falling film provides better performance than the dripping/pipe feed column under the specified working conditions. The spray falling film column can increase the distillated freshwater volume from 1.33 to 2.16 L under identical cycle time and working conditions. The improvement potential is up to 62.4%. The overall thermal efficiency can be increased from 33.7 to 70.8% (improvement of 110.1%). Therefore, the VSDS working with spray falling film is selected for implementing field tests based on real solar irradiance powered by an evacuated tube solar collector. The ability to produce fresh water is assessed, and the overall performance via the average distillation rate and the thermal efficiency (or Gain Output Ratio) is discussed with the real solar irradiance. It is found from the field test with solar time (8.00–16.00) that the VSDS can produce a daily freshwater yield of up to 4.5 L with a thermal efficiency of up to 19%. The freshwater production meets the requirement for international standard drinking water criteria, indicating suitability for household/community use in tropical regions. This work demonstrates the feasibility of VSDS working under real solar irradiance as an alternative technology for sustainable fresh water. Full article
Show Figures

Figure 1

11 pages, 3561 KB  
Article
Effect of Graphene on Interfacial Microstructure and Thermal Conductivity in Copper/Aluminum Composite Plate
by Yifan Liu, Zhaoyang Yang, Yusha Shen, Rui Wang and Lianbo Wang
Coatings 2025, 15(12), 1468; https://doi.org/10.3390/coatings15121468 - 11 Dec 2025
Viewed by 641
Abstract
This study prepared Copper(Cu)/Aluminum(Al) composite materials using hot-rolling technology. The influence of annealing treatment on the interfacial microstructure was systematically investigated, thereby elucidating the correlation between microstructural characteristics and thermal conductivity. The results demonstrated that annealing treatment induced the formation of a continuous [...] Read more.
This study prepared Copper(Cu)/Aluminum(Al) composite materials using hot-rolling technology. The influence of annealing treatment on the interfacial microstructure was systematically investigated, thereby elucidating the correlation between microstructural characteristics and thermal conductivity. The results demonstrated that annealing treatment induced the formation of a continuous intermetallic compound layer at the Cu/Al interface, with its thickness increasing proportionally to elevated temperature and prolonged duration. After spraying graphene onto the aluminum surface via ultrasonic spraying technology, followed by rolling and an annealing treatment, the intermetallic compounds at the Cu/Al interface exhibited a discontinuous distribution pattern. When annealed at 300 °C, the thermal conductivity of the Cu/Al composite plate increased progressively with prolonged duration. For instance, in the absence of graphene, the value increased from 39.288 to 61.827; when graphene was applied via ultrasonic spraying with a spraying distance of 1 mm, the value increased from 49.884 to 73.203, whereas at 400 °C annealing, it exhibited a notable decline as annealing time extended. Graphene at the interface inhibits the diffusion of Cu/Al atoms, reduces the formation of intermetallic compounds, establishes efficient thermal conduction paths, and ultimately enhances the thermal conductivity of the composite material. Full article
Show Figures

Figure 1

19 pages, 7475 KB  
Article
Research into the Properties of Wear-Resistant Coatings Produced Using HVOF Technology on the Functional Surfaces of Injection Molds
by Janette Brezinová, Milan Fiľo, Viktor Puchý, Ján Viňáš, Jakub Brezina and Ema Nováková-Marcinčínová
Metals 2025, 15(12), 1341; https://doi.org/10.3390/met15121341 - 7 Dec 2025
Viewed by 399
Abstract
The paper presents the results of research aimed at verifying the possibility of creating renovation layers using HVOF (High Velocity Oxygen Fuel) technology. HVOF ceramic coatings represent a promising way to increase the efficiency, reliability, and sustainability of manufacturing processes. Molds for high-pressure [...] Read more.
The paper presents the results of research aimed at verifying the possibility of creating renovation layers using HVOF (High Velocity Oxygen Fuel) technology. HVOF ceramic coatings represent a promising way to increase the efficiency, reliability, and sustainability of manufacturing processes. Molds for high-pressure injection of aluminum alloys were analyzed. The degradation mechanism of the functional surfaces of the molds was determined. The paper analyzes two types of HVOF coatings—Cr2O3-TiO2 and Al2O3-TiO2. For both coatings, a Ni-Al interlayer was used for mechanical stability, durability, and reliable functionality in demanding operating conditions. The interlayer is used in thermal spraying as a so-called bond coat—a layer that mediates adhesion between the metal substrate and the ceramic coating. EDX maps of chemical elements from the coating surface and cross-sections were determined. The tribological properties of the coatings were evaluated by a ball-on-disk test at 20 °C and 250 °C. SEM analysis of the surface after the tribological test was performed. The resistance of the coatings was evaluated by COF and friction resistance. Full article
Show Figures

Figure 1

17 pages, 4812 KB  
Article
Turn Milling of Inconel 718 Produced via Additive Manufacturing Using HVOF and DMLS Methods
by Michal Povolný, Michal Straka, Miroslav Gombár, Jan Hnátík, Jan Kutlwašer, Josef Sklenička and Jaroslava Fulemová
J. Manuf. Mater. Process. 2025, 9(12), 399; https://doi.org/10.3390/jmmp9120399 - 4 Dec 2025
Viewed by 591
Abstract
Additive and coating technologies, such as high-velocity oxy-fuel (HVOF) thermal spraying and direct metal laser sintering (DMLS), often require extensive post-processing to meet dimensional and surface quality requirements, which remains challenging for nickel-based superalloys such as Inconel 718. This study presents the design [...] Read more.
Additive and coating technologies, such as high-velocity oxy-fuel (HVOF) thermal spraying and direct metal laser sintering (DMLS), often require extensive post-processing to meet dimensional and surface quality requirements, which remains challenging for nickel-based superalloys such as Inconel 718. This study presents the design and topology optimisation of a cutting tool with a linear cutting edge, capable of operating in turn-milling or turning modes, offering a viable alternative to conventional grinding. A non-optimised tool served as a baseline for comparison with a topology-optimised variant improving cutting-force distribution and stiffness-to-mass ratio. Finite element analyses and experimental turn-milling trials were performed on DMLS and HVOF Inconel 718 using carbide and CBN inserts. The optimised tool achieved significantly reduced roughness values: for DMLS, Ra decreased from 0.514 ± 0.069 µm to 0.351 ± 0.047 µm, and for HVOF from 0.606 ± 0.069 µm to 0.407 ± 0.069 µm. Rz was similarly improved, decreasing from 4.234 ± 0.343 µm to 3.340 ± 0.439 µm (DMLS) and from 5.349 ± 0.552 µm to 4.521 ± 0.650 µm (HVOF). The lowest measured Ra, 0.146 ± 0.030 µm, was obtained using CBN inserts at the highest tested cutting speed. All improvements were statistically significant (p < 0.005). No measurable tool wear was observed due to the small engagement and the use of a fresh cutting edge for each pass. The resulting surface quality was comparable to grinding and clearly superior to conventional turning. These findings demonstrate that combining topology optimisation with a linear-edge tool provides a practical and efficient finishing approach for additively manufactured and thermally sprayed Inconel 718 components. Full article
Show Figures

Figure 1

15 pages, 3843 KB  
Article
Optimization of Preparation Process Parameters for HVOF-Sprayed WC-10Co-4Cr Coatings and Study of Abrasive and Corrosion Performances
by Tao Liu, Jiajun Li, Haifeng Li, Jianwu Liu, Yueyu Huang, Qun Wang and Chidambaram Seshadri Ramachandran
Lubricants 2025, 13(12), 516; https://doi.org/10.3390/lubricants13120516 - 27 Nov 2025
Viewed by 501
Abstract
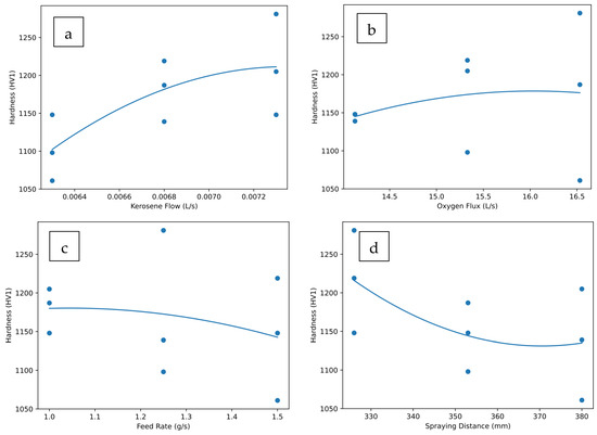
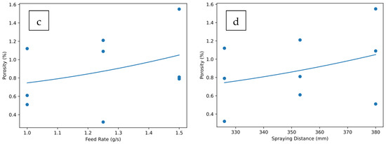
To enhance the abrasive wear resistance of mechanical components operating in corrosive environments, this study fabricated WC-10Co-4Cr coatings using high-velocity oxygen-fuel (HVOF) thermal spraying technology. A L9 (34) orthogonal array was designed to optimize four key process parameters (kerosene flow rate, [...] Read more.
To enhance the abrasive wear resistance of mechanical components operating in corrosive environments, this study fabricated WC-10Co-4Cr coatings using high-velocity oxygen-fuel (HVOF) thermal spraying technology. A L9 (34) orthogonal array was designed to optimize four key process parameters (kerosene flow rate, oxygen flow rate, powder feed rate, and spraying distance) at three levels each, aiming for minimal porosity. The phase composition, microstructure, hardness, abrasive wear resistance, and corrosion resistance of the coatings were systematically characterized by X-ray diffraction (XRD), scanning electron microscopy (SEM) with energy dispersive spectroscopy (EDS), microhardness tester, wet sand rubber wheel abrasion tester, and electrochemical workstation. The results indicated that the optimal parameters were a kerosene flow rate of 0.0073 L/s, oxygen flow rate of 15.33 L/s, powder feed rate of 1 g/s, and spraying distance of 326 mm. The coating prepared under these conditions exhibited high density with a porosity of only 0.32% and a high microhardness of 1281 HV1. Compared to the AISI 1020 steel substrate, the optimized WC-10Co-4Cr coating demonstrated a 122-fold improvement in abrasive wear resistance and a better corrosion resistance, showcasing its excellent overall performance and great potential for wear-resistant surface protection in corrosive environments. Full article
Show Figures

Figure 1

58 pages, 15734 KB  
Article
Study on Combustion Characteristics of Compression Ignition Marine Methanol/Diesel Dual-Fuel Engine
by Zhongcheng Wang, Jie Zhu, Xiaoyu Liu, Jingjun Zhong and Xin Jiang
J. Mar. Sci. Eng. 2025, 13(11), 2213; https://doi.org/10.3390/jmse13112213 - 20 Nov 2025
Viewed by 552
Abstract
With the increasing global demand for environmental protection and sustainable energy utilization, methanol, as a clean and renewable fuel, has become a research focus in the field of marine engines. However, its application in compression ignition engines faces bottlenecks such as low combustion [...] Read more.
With the increasing global demand for environmental protection and sustainable energy utilization, methanol, as a clean and renewable fuel, has become a research focus in the field of marine engines. However, its application in compression ignition engines faces bottlenecks such as low combustion efficiency and poor stability. Taking the L23/30H marine diesel engine as the research object, this paper establishes a combustion simulation model for a methanol/diesel dual-fuel direct-injection engine. The reliability of the model is ensured through grid independence verification and model calibration, and a coupled chemical reaction kinetic mechanism containing 126 species and 711 elementary reactions is constructed. A systematic study is conducted on the effects of injection strategies, including fuel operating modes, spray development patterns, injection intervals, and injection timing, on combustion characteristics. The results show that under the optimized injection strategy (vertical cross spray + synchronous injection) proposed in this study and operating conditions with a high methanol substitution ratio, the combustion efficiency, dynamic performance, and soot emission control effect of the dual-fuel mode are superior to those of the pure diesel mode. Simulation results show that the combined strategy of vertical cross injection and synchronous injection can significantly increase the indicated thermal efficiency (ITE) by 3.2%, reduce the brake specific fuel consumption (BSFC) by approximately 4.5%, advance the peak heat release by 2 °CA, and remarkably improve the combustion efficiency, while earlier injection timing is beneficial to air–fuel mixing. Further comparison of combustion and emission characteristics under different boundary conditions such as methanol energy ratios and injection pressures reveals that increasing methanol injection pressure, compression ratio, and initial pressure can improve combustion uniformity and reduce soot emissions, but NOx emissions increase, which requires the coordination of after-treatment technologies. Through the comprehensive optimization of multiple parameters, efficient and clean combustion under a high methanol substitution rate is achieved. This paper provides theoretical support and practical guidance for the technological development of marine methanol dual-fuel engines. In the future, industrial applications can be promoted by combining actual engine tests and after-treatment technologies. Full article
(This article belongs to the Special Issue Advanced Technologies for New (Clean) Energy Ships—2nd Edition)
Show Figures

Figure 1

45 pages, 4215 KB  
Review
Bilayer Coating Systems: Functional Interlayers and Top Layers for Enhanced Performance
by Natalia A. Shapagina and Vladimir V. Dushik
Materials 2025, 18(22), 5217; https://doi.org/10.3390/ma18225217 - 18 Nov 2025
Viewed by 1121
Abstract
This review article summarizes the most widely used and effective technologies for producing protective and functional bilayer coatings. Particular attention is given to methods such as electroplating and electroless metallization, chemical vapor deposition, thermal spray and vacuum arc deposition, conversion treatments, laser modification, [...] Read more.
This review article summarizes the most widely used and effective technologies for producing protective and functional bilayer coatings. Particular attention is given to methods such as electroplating and electroless metallization, chemical vapor deposition, thermal spray and vacuum arc deposition, conversion treatments, laser modification, and organic layer deposition. Bilayer architectures are highlighted for their ability to overcome the limitations of single-layer coatings by combining complementary functionalities, resulting in enhanced adhesion, improved corrosion resistance through pore sealing or superhydrophobic surface states, and increased wear and crack resistance. This article is intended for researchers, materials scientists, and engineers engaged in surface engineering, corrosion protection, and advanced manufacturing, providing them with a clear understanding of the mechanisms, advantages, and practical applications of bilayer coatings. By synthesizing recent developments, comparative analyses, and performance data, the review enables readers to make informed decisions about the selection, design, and implementation of bilayer coatings for diverse industrial applications, ranging from aerospace and automotive components to medical devices and energy systems. Full article
(This article belongs to the Special Issue Advances in Surface Corrosion Protection of Alloys)
Show Figures

Graphical abstract

15 pages, 6711 KB  
Article
Influence of Titanium Content on the Microstructure and Tensile Behavior of Cold-Spray Additively Manufactured Copper-Titanium Composites
by Jia Cheng, Jibo Huang, Haifan Li, Kejie Zhang, Tao Chen, Haiming Lan and Renzhong Huang
Materials 2025, 18(22), 5100; https://doi.org/10.3390/ma18225100 - 10 Nov 2025
Viewed by 482
Abstract
Cold-spray additive manufacturing (CSAM) is an emerging solid-state deposition technology that effectively mitigates common defects associated with conventional thermal processes, such as oxidation, phase transformation, and residual stresses. In this study, copper–titanium (Cu-Ti) composite coatings were fabricated via high-pressure CSAM using mixed powders [...] Read more.
Cold-spray additive manufacturing (CSAM) is an emerging solid-state deposition technology that effectively mitigates common defects associated with conventional thermal processes, such as oxidation, phase transformation, and residual stresses. In this study, copper–titanium (Cu-Ti) composite coatings were fabricated via high-pressure CSAM using mixed powders with Ti contents of 3, 6, and 10 wt.%. The influence of Ti content and post-heat treatment (350–400 °C) on the tensile properties of the composites was systematically investigated. The results indicate that the ultimate tensile strength (UTS) remained consistently within the range of 265–285 MPa under all conditions, showing only a mild positive correlation with Ti content. In contrast, ductility was significantly influenced by Ti addition, with elongation decreasing markedly as the Ti content increased. Notably, the composite with 3 wt.% Ti heat-treated at 400 °C exhibited a well-balanced combination of tensile strength (270 MPa) and ductility (20% elongation). These findings demonstrate that CSAM-fabricated Cu-Ti composites possess attractive mechanical properties, which can be tailored through Ti content and heat treatment. Full article
Show Figures

Figure 1

31 pages, 15908 KB  
Review
Fusion of Robotics, AI, and Thermal Imaging Technologies for Intelligent Precision Agriculture Systems
by Omar Shalash, Ahmed Emad, Fares Fathy, Abdallah Alzogby, Mohamed Sallam, Eslam Naser, Mohamed El-Sayed and Esraa Khatab
Sensors 2025, 25(22), 6844; https://doi.org/10.3390/s25226844 - 8 Nov 2025
Viewed by 1896
Abstract
The world population is expected to grow to over 10 billion by 2050 and therefore impose further stress on food production. Precision agriculture has become the main approach used to enhance productivity with sustainability in agricultural production. This paper conducts a technical review [...] Read more.
The world population is expected to grow to over 10 billion by 2050 and therefore impose further stress on food production. Precision agriculture has become the main approach used to enhance productivity with sustainability in agricultural production. This paper conducts a technical review of how robotics, artificial intelligence (AI), and thermal imaging (TI) technologies transform precision agriculture operations, focusing on sensing, automation, and farm decision making. Agricultural robots promote labor solutions and efficiency by utilizing their sensing devices and kinematics in planting, spraying, and harvesting. Through accurate assessment of pests/diseases and quality assurance of the harvested crops, AI and TI bring efficiency to the crop monitoring sector. Different deep learning models are employed for plant disease diagnosis and resource management, namely the VGG16 model, InceptionV3, and MobileNet; the PlantVillage, PlantDoc, and FieldPlant datasets are used respectively. To reduce crop losses, AI–TI integration enables early recognition of fluctuations caused by pests or diseases, allowing control and mitigation in good time. While the issues of cost and environmental variability (illumination, canopy moisture, and microclimate instability) are taken into consideration, the advancement in artificial intelligence, robotics technology, and combined technologies will offer sustainable solutions to the existing gaps. Full article
Show Figures

Figure 1

27 pages, 11627 KB  
Article
Wind Tunnel Tests on Anti-Icing Performance of Wind Turbine Blade with NACA0018 Airfoil with Bio-Wax PCMS-PUR Coating
by Zheng Sun, Yiting Wang, He Shen, Haotian Zheng, Hailin Li, Yan Li and Fang Feng
Coatings 2025, 15(11), 1305; https://doi.org/10.3390/coatings15111305 - 7 Nov 2025
Viewed by 640
Abstract
The increasing prominence of blade icing in wind power generation within cold regions has positioned anti-icing coating technology as a key research focus. This study synthesised phase-change microcapsules using bio-wax as the core material and isophorone diisocyanate as the shell material via interfacial [...] Read more.
The increasing prominence of blade icing in wind power generation within cold regions has positioned anti-icing coating technology as a key research focus. This study synthesised phase-change microcapsules using bio-wax as the core material and isophorone diisocyanate as the shell material via interfacial polymerisation. These microcapsules were then compounded with polyurethane to form an anti-icing coating, whose properties and anti-icing performance were systematically investigated. Key findings indicate that a 1% emulsifier concentration yielded microcapsules with a concentrated particle size distribution (≈20 μm). Microcapsules with a core-to-shell ratio of 7:3 exhibited optimal thermal storage performance, characterised by a melting enthalpy of 49.73 J/g and an encapsulation efficiency of 78%, establishing this as the optimal formulation. Icing wind tunnel tests demonstrated enhanced anti-icing efficacy with increasing microcapsule concentration. At 36% concentration, the coating achieved an anti-icing efficiency of 65.80% under conditions of −15 °C and 3 m/s wind speed, and 64.05% at −10 °C and 6 m/s. The coating maintained its effectiveness under high wind speeds, though its performance diminished with increased water spray flux. The coating functioned by delaying ice formation through phase-change heat release. It consistently demonstrated an anti-icing efficiency exceeding 60% across operational conditions −15 °C to −5 °C and wind speeds of 3–9 m/s. This work provides an efficient and environmentally friendly anti-icing solution for wind turbine blades in cold regions. Full article
Show Figures

Figure 1

41 pages, 10559 KB  
Review
Interfacial Bonding and Residual Stress of Single Splats on Solid Substrates: A Literature Review
by Chao Kang and Motoki Sakaguchi
Coatings 2025, 15(11), 1259; https://doi.org/10.3390/coatings15111259 - 31 Oct 2025
Cited by 1 | Viewed by 1126
Abstract
The impingement of a molten droplet on a solid surface, forming a “splat,” is a fundamental phenomenon observed across numerous industrial surface engineering techniques. For example, thermal spray deposition is widely used to create metal, ceramic, polymer, and composite coatings that are vital [...] Read more.
The impingement of a molten droplet on a solid surface, forming a “splat,” is a fundamental phenomenon observed across numerous industrial surface engineering techniques. For example, thermal spray deposition is widely used to create metal, ceramic, polymer, and composite coatings that are vital for aerospace, biomedical, electronics, and energy applications. Significant progress has been made in understanding droplet impact behavior, largely driven by advancements in high-resolution and high-speed imaging techniques, as well as computational resources. Although droplet impact dynamics, splat morphology, and interfacial bonding mechanisms have been extensively reviewed, a comprehensive overview of the mechanical behaviors of single splats, which are crucial for coating performance, has not been reported. This review bridges that gap by offering an in-depth analysis of bonding strength and residual stress in single splats. The various experimental techniques used to characterize these properties are thoroughly discussed, and a detailed review of the analytical models and numerical simulations developed to predict and understand residual stress evolution is provided. Notably, the complex interplay between bonding strength and residual stress is then discussed, examining how these two critical mechanical attributes are interrelated and mutually influence each other. Subsequently, effective strategies for improving interfacial bonding are explored, and key factors that influence residual stress are identified. Furthermore, the fundamental roles of splat flattening and formation dynamics in determining the final mechanical properties are critically examined, highlighting the challenges in integrating fluid dynamics with mechanical analysis. Thermal spraying serves as the primary context, but other relevant applications are briefly considered. Cold spray splats are excluded because of their distinct bonding and stress generation mechanisms. Finally, promising future research directions are outlined to advance the understanding and control of the mechanical properties in single splats, ultimately supporting the development of more robust and reliable coating technologies. Full article
(This article belongs to the Section Surface Characterization, Deposition and Modification)
Show Figures

Figure 1

24 pages, 3803 KB  
Review
Review of Preparation and Key Functional Properties of Micro-Arc Oxidation Coatings on Various Metal Substrates
by Ningning Li, Huiyi Wang, Qiuzhen Liu, Zhenjie Hao, Da Xu, Xi Chen, Datian Cui, Lei Xu and Yaya Feng
Coatings 2025, 15(10), 1201; https://doi.org/10.3390/coatings15101201 - 12 Oct 2025
Cited by 4 | Viewed by 2041
Abstract
Micro-arc oxidation (MAO) technology demonstrates remarkable advantages in fabricating ceramic coatings on lightweight alloys. For aluminum alloys, MAO rapidly forms dense, pore-free ceramic layers within minutes, significantly enhancing corrosion and wear resistance at low processing costs. In magnesium alloys, optimized electrolyte compositions and [...] Read more.
Micro-arc oxidation (MAO) technology demonstrates remarkable advantages in fabricating ceramic coatings on lightweight alloys. For aluminum alloys, MAO rapidly forms dense, pore-free ceramic layers within minutes, significantly enhancing corrosion and wear resistance at low processing costs. In magnesium alloys, optimized electrolyte compositions and process parameters enable composite coatings with a combination of high hardness and self-lubrication properties, while post-treatments like laser melting or corrosion inhibitors extend salt spray corrosion resistance. Titanium alloys benefit from MAO coatings with exceptional interfacial bonding strength and mechanical performance, making them ideal for biomedical implants and aerospace components. Notably, dense ceramic oxide films grown in situ via MAO on high-entropy alloys (HEAs) triple surface hardness and enhance wear/corrosion resistance. However, MAO applications on steel require pretreatments like aluminizing, thermal spraying, or ion plating. Current challenges include coating uniformity control, efficiency for complex geometries, and long-term stability. Future research focuses on multifunctional coatings (self-healing, antibacterial) and eco-friendly electrolyte systems to expand engineering applications. Full article
Show Figures

Figure 1

24 pages, 4192 KB  
Article
Investigation on Dynamic Thermal Transfer Characteristics of Electromagnetic Rail Spray Cooling in Transient Processes
by Shuo Ma and Hongting Ma
Energies 2025, 18(19), 5254; https://doi.org/10.3390/en18195254 - 3 Oct 2025
Viewed by 553
Abstract
Electromagnetic Railguns Face Severe Ablation and Melting Risks Due to Extremely High Transient Thermal Loads During High-Speed Launching, Directly Impacting Launch Reliability and Service Life. To address this thermal management challenge, this study proposes and validates the effectiveness of spray cooling technology. Leveraging [...] Read more.
Electromagnetic Railguns Face Severe Ablation and Melting Risks Due to Extremely High Transient Thermal Loads During High-Speed Launching, Directly Impacting Launch Reliability and Service Life. To address this thermal management challenge, this study proposes and validates the effectiveness of spray cooling technology. Leveraging its high heat transfer coefficient, exceptional critical heat flux (CHF) carrying capacity, and strong transient cooling characteristics, it is particularly suitable for the unsteady thermal control during the initial launch phase. An experimental platform was established, and a three-dimensional numerical model was developed to systematically analyze the dynamic influence mechanisms of nozzle inlet pressure, flow rate, spray angle, and spray distance on cooling performance. Experimental results indicate that the system achieves maximum critical heat flux (CHF) and rail temperature drop at an inlet pressure of 0.5 MPa and a spray angle of 0°. Numerical simulations further reveal that a 45° spray cone angle simultaneously achieves the maximum temperature drop and optimal wall temperature uniformity. Key parameter sensitivity analysis demonstrates that while increasing spray distance leads to larger droplet diameters, the minimal droplet velocity decay combined with a significant increase in overall momentum markedly enhances convective heat transfer efficiency. Concurrently, increasing spray distance effectively improves rail surface temperature uniformity by optimizing the spatial distribution of droplet size and velocity. Full article
(This article belongs to the Section J: Thermal Management)
Show Figures

Figure 1

31 pages, 1983 KB  
Review
Integrating Remote Sensing and Autonomous Robotics in Precision Agriculture: Current Applications and Workflow Challenges
by Magdalena Łągiewska and Ewa Panek-Chwastyk
Agronomy 2025, 15(10), 2314; https://doi.org/10.3390/agronomy15102314 - 30 Sep 2025
Cited by 1 | Viewed by 3310
Abstract
Remote sensing technologies are increasingly integrated with autonomous robotic platforms to enhance data-driven decision-making in precision agriculture. Rather than replacing conventional platforms such as satellites or UAVs, autonomous ground robots complement them by enabling high-resolution, site-specific observations in real time, especially at the [...] Read more.
Remote sensing technologies are increasingly integrated with autonomous robotic platforms to enhance data-driven decision-making in precision agriculture. Rather than replacing conventional platforms such as satellites or UAVs, autonomous ground robots complement them by enabling high-resolution, site-specific observations in real time, especially at the plant level. This review analyzes how remote sensing sensors—including multispectral, hyperspectral, LiDAR, and thermal—are deployed via robotic systems for specific agricultural tasks such as canopy mapping, weed identification, soil moisture monitoring, and precision spraying. Key benefits include higher spatial and temporal resolution, improved monitoring of under-canopy conditions, and enhanced task automation. However, the practical deployment of such systems is constrained by terrain complexity, power demands, and sensor calibration. The integration of artificial intelligence and IoT connectivity emerges as a critical enabler for responsive, scalable solutions. By focusing on how autonomous robots function as mobile sensor platforms, this article contributes to the understanding of their role within modern precision agriculture workflows. The findings support future development pathways aimed at increasing operational efficiency and sustainability across diverse crop systems. Full article
Show Figures

Figure 1

Back to TopTop